High-Temperature Cracking of Pentene to Ethylene and Propylene over H-ZSM-5 Zeolites: Effect of Reaction Conditions and Mechanistic Insights
Abstract
:1. Introduction
2. Results
2.1. Pentene Cracking Reaction over H-ZSM-5 with Different Conditions
2.1.1. Effect of Reaction Temperature on the Yields and Selectivities of Pentene Cracking Products
2.1.2. Effect of WHSV on the Yields and Selectivities of Pentene Cracking Products
2.2. Roles of Thermal Cracking and Catalytic Cracking in Pentene Cracking over H-ZSM-5 at High Temperatures
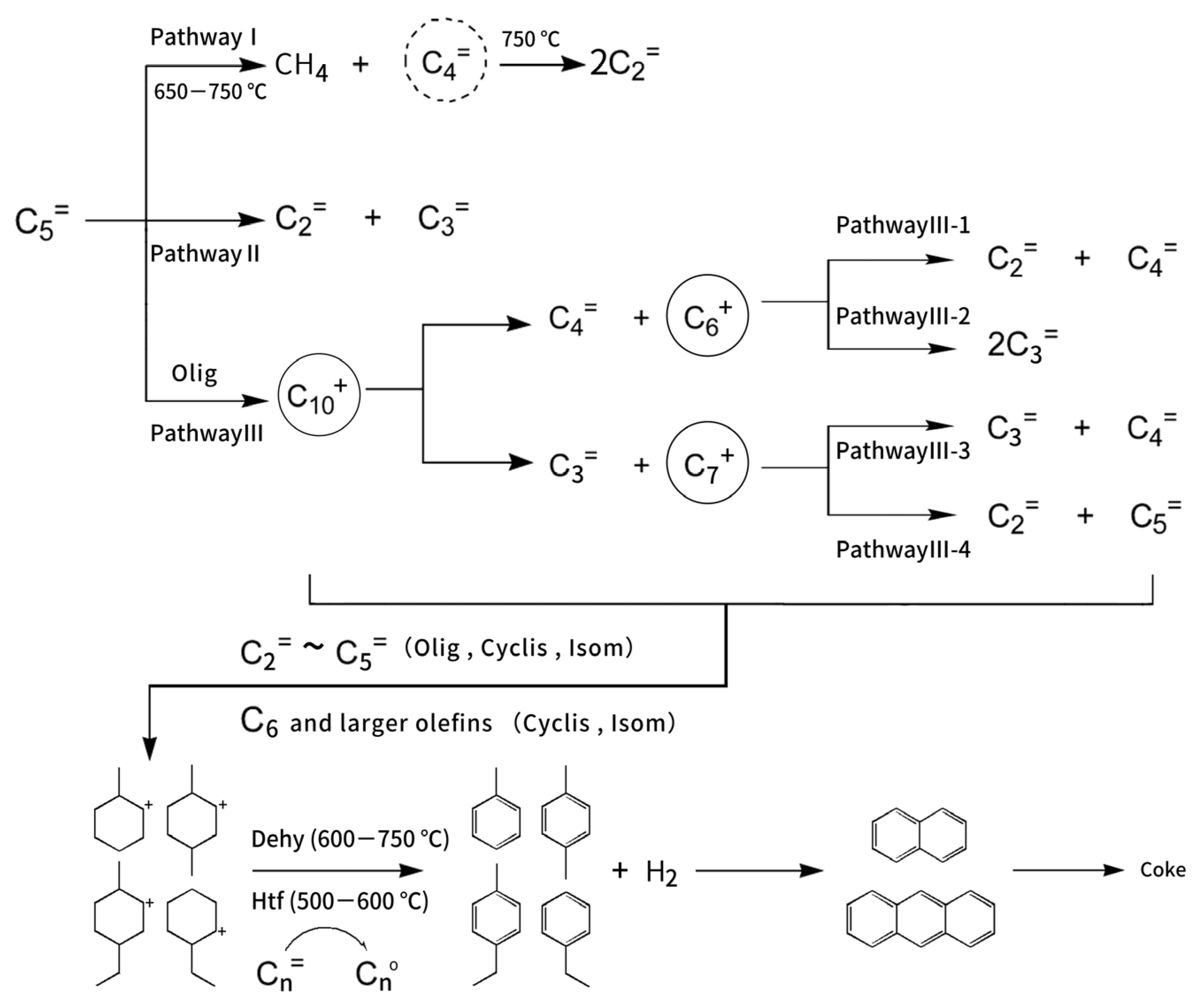
2.3. Deduction and Estimation of Reaction Pathways for Pentene Catalytic Cracking
2.4. Regeneration Performance of the Zeolite
3. Materials and Methods
3.1. Feedstock and Catalyst Preparation
3.2. Catalyst Characterization
3.3. Reaction Equipment and Product Analysis
3.4. Operating Conditions and Reaction Indices
4. Conclusions
Supplementary Materials
Author Contributions
Funding
Data Availability Statement
Conflicts of Interest
References
- Gao, Y.; Neal, L.; Ding, D.; Wu, W.; Li, F. Recent Advances in Intensified Ethylene Production—A Review. ACS Catal. 2019, 9, 8592–8621. [Google Scholar] [CrossRef]
- Propylene: 2022 World Market Outlook and Forecast Up to 2031. Available online: https://mcgroup.co.uk/researches/propylene (accessed on 3 May 2022).
- Zhang, R.; Wang, Z. Catalytic cracking of 1-butene to propylene by Ag modified HZSM-5. Chin. J. Chem. Eng. 2015, 23, 1131–1137. [Google Scholar] [CrossRef]
- Wattanapaphawong, P.; Reubroycharoen, P.; Mimura, N.; Sato, O.; Yamaguchi, A. Effect of carbon number on the production of propylene and ethylene by catalytic cracking of straight-chain alkanes over phosphorus-modified ZSM-5. Fuel Process. Technol. 2020, 202, 106367. [Google Scholar] [CrossRef]
- Liu, W.; Placke, T.; Chau, K.T. Overview of batteries and battery management for electric vehicles. Energy Rep. 2022, 8, 4058–4084. [Google Scholar] [CrossRef]
- Cong, X. The study on China’s peak gasoline consumption from automobile industry changes. Int. Pet. Econ. 2019, 27, 60–70. [Google Scholar]
- Fan, Y.; Bao, X.; Gang, S. H β/HZSM-5 Composite Carrier Supported Catalysts for Olefins Reduction of FCC Gasoline via Hydroisomerization and Aromatization. Catal. Lett. 2005, 105, 67–75. [Google Scholar] [CrossRef]
- Sun, H.; Zhang, B.; Wei, C.; Cao, L.; Zhang, Y.; Zhao, L.; Gao, J.; Xu, C. Intensifying Ethylene and Propylene of Pentene Cracking of FCC Gasoline by Modulating the Brønsted Acid Site Concentrations. Ind. Eng. Chem. Res. 2021, 60, 17469–17479. [Google Scholar] [CrossRef]
- Xu, Y.; Zuo, Y.; Bai, X.; Du, L.; Han, Y. Development background, development idea and conceptual design of FCC process for targeted cracking to light olefins. Chin. Petrol. Process. Petrochem. Technol. 2021, 52, 1–11. [Google Scholar]
- Blay, V.; Epelde, E.; Miravalles, R.; Perea, L.A. Converting olefins to propene: Ethene to propene and olefin cracking. Cat. Rev. Sci. Eng. 2018, 60, 278–335. [Google Scholar] [CrossRef]
- Chen, W.; Yi, X.; Liu, Z.; Tang, X.; Zheng, A. Carbocation chemistry confined in zeolites: Spectroscopic and theoretical characterizations. Chem. Soc. Rev. 2022, 51, 4337–4385. [Google Scholar] [CrossRef]
- Lin, L.F.; Zhao, S.F.; Zhang, D.W.; Fan, H.; Liu, Y.M.; He, M.Y. Acid Strength Controlled Reaction Pathways for the Catalytic Cracking of 1-Pentene to Propene over ZSM-5. ACS Catal. 2015, 5, 4048–4059. [Google Scholar] [CrossRef]
- Miyaji, A.; Sakamoto, Y.; Iwase, Y.; Yashima, T.; Koide, R.; Motokura, K.; Baba, T. Selective production of ethylene and propylene via monomolecular cracking of pentene over proton-exchanged zeolites: Pentene cracking mechanism determined by spatial volume of zeolite cavity. J. Catal. 2013, 302, 101–114. [Google Scholar] [CrossRef]
- Zhu, X.; Liu, S.; Song, Y.; Xie, S.; Xu, L. Catalytic cracking of 1-butene to propene and ethene on MCM-22 zeolite. Appl. Catal. A Gen. 2005, 290, 191–199. [Google Scholar] [CrossRef]
- Chen, J.; Yan, H.; Gong, H.; Zhang, H.; Zhou, Y.; Gao, C.; Liu, Y.; Chen, X.; Yang, C. Tetrahedrally coordinated W (VI) species induced Lewis acid for stable catalytic cracking of 1-hexene to propene. Chem. Eng. J. 2022, 448, 137504. [Google Scholar] [CrossRef]
- Sun, H.; Cao, L.; Zhang, Y.; Zhao, L.; Gao, J.; Xu, C. Effect of Catalyst Acidity and Reaction Temperature on Hexene Cracking Reaction to Produce Propylene. Energy Fuel 2021, 35, 3295–3306. [Google Scholar] [CrossRef]
- Berta, A.H.; Hwang, H.D.; Asfha, H.B.; Kang, N.Y.; Kim, K.; Park, Y.-K. Reaction mechanism and kinetic modeling of olefin conversion over phosphorus modified ZSM-5 catalyst. Korean J. Chem. Eng. 2022, 39, 1460–1471. [Google Scholar] [CrossRef]
- Huang, X.; Aihemaitijiang, D.; Xiao, W.-D. Reaction pathway and kinetics of C3–C7 olefin transformation over high-silicon HZSM-5 zeolite at 400–490 °C. Chem. Eng. J. 2015, 280, 222–232. [Google Scholar] [CrossRef]
- Aretin, T.V.; Schallmoser, S.; Standl, S.; Tonigold, M.; Lercher, J.A.; Hinrichsen, O. Single-event kinetic model for 1-pentene cracking on ZSM-5. Ind. Eng. Chem. Res. 2015, 54, 11792–11803. [Google Scholar] [CrossRef]
- Aretin, T.V.; Hinrichsen, O. Single-Event Kinetic Model for Cracking and Isomerization of 1-Hexene on ZSM-5. Ind. Eng. Chem. Res. 2014, 53, 19460–19470. [Google Scholar] [CrossRef]
- Chen, C.-J.; Rangarajan, S.; Hill, I.M.; Bhan, A. Kinetics and Thermochemistry of C4–C6 Olefin Cracking on H-ZSM-5. ACS Catal. 2014, 4, 2319–2327. [Google Scholar] [CrossRef]
- Zhang, R.; Wang, Z.; Liu, H.; Liu, Z.; Liu, G.; Meng, X. Thermodynamic equilibrium distribution of light olefins in catalytic pyrolysis. Appl. Catal. A Gen. 2016, 522, 165–171. [Google Scholar] [CrossRef]
- Warnecke, F.; Lin, L.; Haag, S.; Freund, H. Identification of Reaction Pathways and Kinetic Modeling of Olefin Interconversion over an H-ZSM-5 Catalyst. Ind. Eng. Chem. Res. 2020, 59, 12696–12709. [Google Scholar] [CrossRef]
- Standl, S.; Kühlewind, T.; Tonigold, M.; Hinrichsen, O. On Reaction Pathways and Intermediates during Catalytic Olefin Cracking over ZSM-5. Ind. Eng. Chem. Res. 2019, 58, 18107–18124. [Google Scholar] [CrossRef]
- Li, J.; Li, T.; Ma, H.; Sun, Q.; Li, C.; Ying, W.; Fang, D. Kinetics of coupling cracking of butene and pentene on modified HZSM-5 catalyst. Chem. Eng. J. 2018, 346, 397–405. [Google Scholar] [CrossRef]
- Sadrameli, S.M. Thermal/catalytic cracking of hydrocarbons for the production of olefins: A state-of-the-art review I: Thermal cracking review. Fuel 2015, 140, 102–115. [Google Scholar] [CrossRef]
- Poutsma, M.L. Fundamental reactions of free radicals relevant to pyrolysis reactions. J. Anal. Appl. Pyrolysis 2000, 54, 5–35. [Google Scholar] [CrossRef]
- Sadrameli, S.M. Thermal/catalytic cracking of liquid hydrocarbons for the production of olefins: A state-of-the-art review II: Catalytic cracking review. Fuel 2016, 173, 285–297. [Google Scholar] [CrossRef]
- Fakhroleslam, M.; Sadrameli, S.M. Thermal/catalytic cracking of hydrocarbons for the production of olefins; a state-of-the-art review III: Process modeling and simulation. Fuel 2019, 252, 553–566. [Google Scholar] [CrossRef]
- Buchanan, J.S.; Santiesteban, J.G.; Haag, W.O. Mechanistic Considerations in Acid-Catalyzed Cracking of Olefins. J. Catal. 1996, 158, 279–287. [Google Scholar] [CrossRef]
- Yamaguchi, A.; Jin, D.; Ikeda, T.; Sato, K.; Hiyoshi, N.; Hanaoka, T.; Mizukami, F.; Shirai, M. P-ZSM-5 Pretreated by High-Temperature Calcination as Durable Catalysts for Steam Cracking of n-Hexane. Catal. Lett. 2014, 144, 44–49. [Google Scholar] [CrossRef]
- Kubo, K.; Iida, H.; Namba, S.; Igarashi, A. Comparison of steaming stability of Cu-ZSM-5 with those of Ag-ZSM-5, P/H-ZSM-5, and H-ZSM-5 zeolites as naphtha cracking catalysts to produce light olefin at high temperatures. Appl. Catal. A Gen. 2015, 489, 272–279. [Google Scholar] [CrossRef]
- Lin, L.; Qiu, C.; Zhuo, Z.; Zhang, D.; Zhao, S.; Wu, H.; Liu, Y.; He, M. Acid strength controlled reaction pathways for the catalytic cracking of 1-butene to propene over ZSM-5. J. Catal. 2014, 309, 136–145. [Google Scholar] [CrossRef]
- Choudhary, V.R.; Banerjee, S.; Panjala, D. Influence of Temperature on the Product Selectivity and Distribution of Aromatics and C8 Aromatic Isomers in the Conversion of Dilute Ethene over H-Galloaluminosilicate (ZSM-5 type) Zeolite. J. Catal. 2002, 205, 398–403. [Google Scholar] [CrossRef]
- Chen, Z.; Song, W.; Hou, Y.; Wang, H.; Qian, W. Temperature-dependent secondary conversion of primary products from methanol aromatization in a two-stage fluidized bed. Fuel 2020, 267, 117204. [Google Scholar] [CrossRef]
- Choudhary, V.R.; Banerjee, S.; Panjala, D. Product distribution in the aromatization of dilute ethene over H-GaAlMFI zeolite: Effect of space velocity. Microporous Mesoporous Mater. 2002, 51, 203–210. [Google Scholar] [CrossRef]
- Sazama, P.; Dědeek, J.; Gábová, V.; Wichterlová, B.; Spoto, G.; Bordiga, S. Effect of aluminium distribution in the framework of ZSM-5 on hydrocarbon transformation. Cracking of 1-butene. J. Catal. 2008, 254, 180–189. [Google Scholar] [CrossRef]
- Hou, X.; Ni, N.; Wang, Y.; Zhu, W.; Qiu, Y.; Diao, Z.; Liu, G.; Zhang, X. Roles of the free radical and carbenium ion mechanisms in pentane cracking to produce light olefins. J. Anal. Appl. Pyrolysis 2019, 138, 270–280. [Google Scholar] [CrossRef]
- Longstaff, D.C. Naphtha cracking kinetics and process chemistry on Y and ZSM5 type catalysts. Energy Fuel 2019, 33, 2445–2452. [Google Scholar] [CrossRef]
- Teraishi, K. Computational study on the product selectivity of FCC zeolitic catalyst. J. Mol. Catal. A Chem. 1998, 132, 73–85. [Google Scholar] [CrossRef]
- Ma, Z.; Hou, X.; Chen, B.; Zhao, L.; Yuan, E.; Cui, T. Analysis of n-hexane, 1-hexene, cyclohexane and cyclohexene catalytic cracking over HZSM-5 zeolites: Effects of molecular structure. React. Chem. Eng. 2022, 7, 1762–1778. [Google Scholar] [CrossRef]
- Castro-Marcano, F.; van Duin, A.C.T. Comparison of thermal and catalytic cracking of 1-heptene from ReaxFF reactive molecular dynamics simulations. Combust. Flame 2013, 160, 766–775. [Google Scholar] [CrossRef]
- Lukyanov, D.B. Reactivity of Propene, n-Butene, and Isobutene in the Hydrogen Transfer Steps of n-Hexane Cracking over Zeolites of Different Structure. J. Catal. 1994, 147, 494–499. [Google Scholar] [CrossRef]















| Reaction Temperature, °C | Ccatalytic | a |
|---|---|---|
| 650 | 87.1–100% | 85.8–100% |
| 700 | 91.6–100% | 89.5–100% |
| 750 | 93.0–100% | 88.4–100% |
| Reaction Temperature, °C | Product Selectivity, mol% | |||
|---|---|---|---|---|
| C1 a | C2 b | C3 c | C4 d | |
| 500 | trace | 11.33 | 46.69 | 44.17 |
| 550 | trace | 21.79 | 56.05 | 44.58 |
| 600 | trace | 33.23 | 58.90 | 38.75 |
| 650 | 2.31 | 47.77 | 63.56 | 33.85 |
| 700 | 5.71 | 64.61 | 68.92 | 26.65 |
| 750 | 14.39 | 69.32 | 60.30 | 13.74 |
| Reaction Temperature, °C | Cracking Pathway Proportions | ||||
|---|---|---|---|---|---|
| b | c | 1 − b − c | d | k | |
| 500 | 0.99 | 0.01 | 0.00 | 0.32 | - |
| 550 | 0.86 | 0.14 | 0.00 | 0.33 | - |
| 600 | 0.71 | 0.29 | 0.00 | 0.37 | - |
| 650 | 0.52 | 0.45 | 0.03 | 0.42 | - |
| 700 | 0.30 | 0.64 | 0.06 | 0.56 | - |
| 750 | 0.05 | 0.76 | 0.19 | 0.79 | 0.23 |
| Zeolite | Surface Area (m2·g−1) a | Pore Volume (cm3·g−1) a | Acid Concentration (μmol·g−1) b | |||
|---|---|---|---|---|---|---|
| Total | Micro | Total | Micro | LAS | BAS | |
| Fresh zeolite | 366 | 334 | 0.192 | 0.171 | 116.1 | 27.1 |
| Regenerated zeolite | 352 | 322 | 0.185 | 0.162 | 113.3 | 25.2 |
| Spent zeolite | 301 | 284 | 0.152 | 0.139 | 52.3 | 2.5 |
Disclaimer/Publisher’s Note: The statements, opinions and data contained in all publications are solely those of the individual author(s) and contributor(s) and not of MDPI and/or the editor(s). MDPI and/or the editor(s) disclaim responsibility for any injury to people or property resulting from any ideas, methods, instructions or products referred to in the content. |
© 2022 by the authors. Licensee MDPI, Basel, Switzerland. This article is an open access article distributed under the terms and conditions of the Creative Commons Attribution (CC BY) license (https://creativecommons.org/licenses/by/4.0/).
Share and Cite
Han, Y.; Du, L.; Zhu, Y.; Xu, Y.; Bai, X.; Ouyang, Y.; Luo, Y.; Shu, X. High-Temperature Cracking of Pentene to Ethylene and Propylene over H-ZSM-5 Zeolites: Effect of Reaction Conditions and Mechanistic Insights. Catalysts 2023, 13, 73. https://doi.org/10.3390/catal13010073
Han Y, Du L, Zhu Y, Xu Y, Bai X, Ouyang Y, Luo Y, Shu X. High-Temperature Cracking of Pentene to Ethylene and Propylene over H-ZSM-5 Zeolites: Effect of Reaction Conditions and Mechanistic Insights. Catalysts. 2023; 13(1):73. https://doi.org/10.3390/catal13010073
Chicago/Turabian StyleHan, Yueyang, Lingyin Du, Yuan Zhu, Youhao Xu, Xuhui Bai, Ying Ouyang, Yibin Luo, and Xingtian Shu. 2023. "High-Temperature Cracking of Pentene to Ethylene and Propylene over H-ZSM-5 Zeolites: Effect of Reaction Conditions and Mechanistic Insights" Catalysts 13, no. 1: 73. https://doi.org/10.3390/catal13010073
APA StyleHan, Y., Du, L., Zhu, Y., Xu, Y., Bai, X., Ouyang, Y., Luo, Y., & Shu, X. (2023). High-Temperature Cracking of Pentene to Ethylene and Propylene over H-ZSM-5 Zeolites: Effect of Reaction Conditions and Mechanistic Insights. Catalysts, 13(1), 73. https://doi.org/10.3390/catal13010073
