Effect of Modifying Carbon Materials with Metal Phthalocynines and Palladium on Their Catalytic Activity in ORR
Abstract
1. Introduction
2. Results and Discussions
2.1. Synthesis of Catalysts
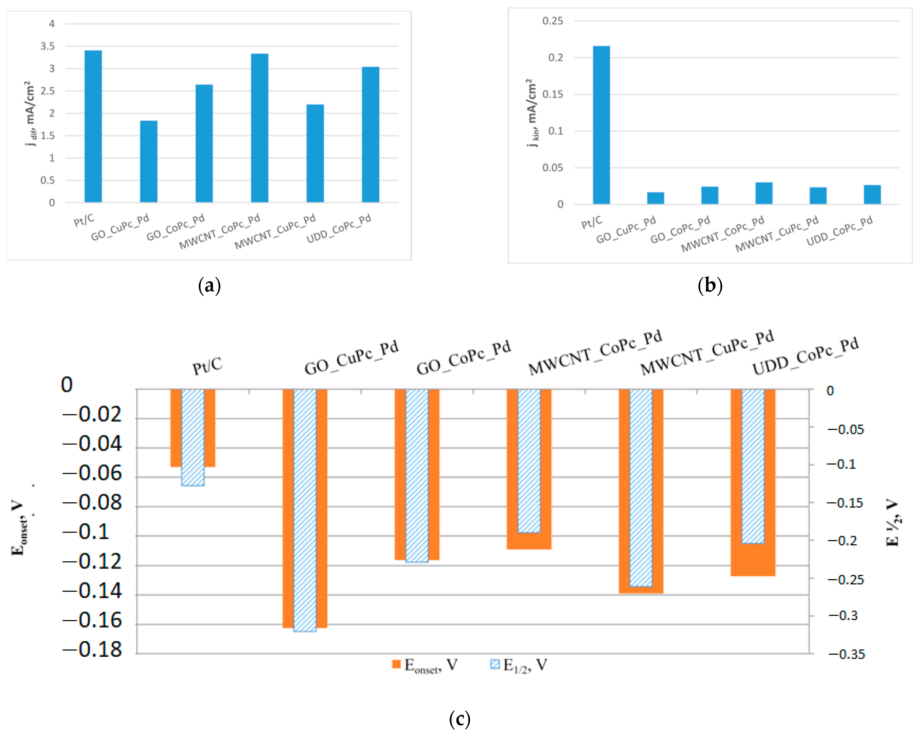
2.2. Electrochemical Experiment
3. Materials and Methods
3.1. Chemicals and Materials
3.2. Characteristics of Catalysts
3.3. Electrochemical Experiment
3.4. Preparation of Catalytic Ink
4. Conclusions
Author Contributions
Funding
Data Availability Statement
Conflicts of Interest
References
- Huya-Kouadio, J. Doe Hydrogen and Fuel Cells Program Record. 2017. Available online: https://www.hydrogen.energy.gov/pdfs/17007_fuel_cell_system_cost_2017.pdf (accessed on 29 July 2022).
- Han, A.; Zhang, Z.; Yang, J.; Wang, D.; Li, Y. Carbon-Supported Single-Atom Catalysts for Formic Acid Oxidation and Oxygen Reduction Reactions. Small 2021, 17, 2004500. [Google Scholar] [CrossRef]
- Zhang, X.; Zhang, X.; Zhao, S.; Wang, Y.Q.; Lin, X.; Tian, Z.Q.; Shen, P.K.; Jiang, S.P. Precursor modulated active sites of nitrogen doped graphene-based carbon catalysts via one-step pyrolysis method for the enhanced oxygen reduction reaction. Electrochim. Acta 2021, 370, 137712. [Google Scholar] [CrossRef]
- Mazzucato, M.; Daniel, G.; Mehmood, A.; Kosmala, T.; Granozzi, G.; Kucernak, A.; Durante, C. Effects of the induced micro-and meso-porosity on the single site density and turn over frequency of Fe-NC carbon electrodes for the oxygen reduction reaction. Appl. Catal. B Environ. 2021, 291, 120068. [Google Scholar] [CrossRef]
- Wang, M.; Yang, W.; Li, X.; Xu, Y.; Zheng, L.; Su, C.; Liu, B. Atomically Dispersed Fe–Heteroatom (N, S) Bridge Sites Anchored on Carbon Nanosheets for Promoting Oxygen Reduction Reaction. ACS Energy Lett. 2021, 6, 379–386. [Google Scholar] [CrossRef]
- Lopes, T.; Kucernak, A.; Malko, D.; Ticianelli, E.A. Mechanistic Insights into the Oxygen Reduction Reaction on Metal-N-C Electrocatalysts under Fuel Cell Conditions. ChemElectroChem 2016, 3, 1580–1590. [Google Scholar] [CrossRef]
- Truong, V.M.; Yang, M.-K.; Yang, H. Functionalized Carbon Black Supported Silver (Ag/C) Catalysts in Cathode Electrode for Alkaline Anion Exchange Membrane Fuel Cells. Int. J. Precis. Eng. Manuf. Technol. 2019, 6, 711–721. [Google Scholar] [CrossRef]
- Ruiz-Camacho, B.; Medina-Ramírez, A.; Fuentes-Ramírez, R.; Navarro, R.; Goméz, C.M.; Pérez-Larios, A. Pt and Pt–Ag nanoparticles supported on carbon nanotubes (CNT) for oxygen reduction reaction in alkaline medium. Int. J. Hydrogen Energy 2022, 47, 30147–30159. [Google Scholar] [CrossRef]
- Liu, Y.; Zhao, B.; Zhang, Y.; Zhang, H.; Zhan, K.; Yang, J.; Li, J. Co-supported catalysts on nitrogen and sulfur co-doped vertically-aligned carbon nanotubes for oxygen reduction reaction. RSC Adv. 2016, 6, 32676–32684. [Google Scholar] [CrossRef]
- Wu, G.; Nie, Y.; Zhang, D.; Zhang, C.; Guo, J.; Zhang, D.; Qi, G.; Jiao, W.; Yuan, Z. The MOF/GO-based derivatives with Co@ CoO core-shell structure supported on the N-doped graphene as electrocatalyst for oxygen reduction reaction. J. Chin. Chem. Soc. 2020, 67, 1189–1194. [Google Scholar] [CrossRef]
- Ning, R.; Tian, J.; Asiri, A.M.; Qusti, A.H.; Al-Youbi, A.O.; Sun, X. Spinel CuCo2O4 Nanoparticles Supported on N-Doped Reduced Graphene Oxide: A Highly Active and Stable Hybrid Electrocatalyst for the Oxygen Reduction Reaction. Langmuir 2013, 29, 13146–13151. [Google Scholar] [CrossRef] [PubMed]
- Van Hung, T.; Karunagaran, R.; Tung, T.T.; Dang, N.N.; Nguyen, S.X.; Losic, D. Nitrogen-doped carbon-coated nanodiamonds for electrocatalytic applications. J. Phys. D Appl. Phys. 2020, 54, 085303. [Google Scholar] [CrossRef]
- Li, M.; Hu, Z.; Li, H.; Zhao, W.; Zhou, W.; Yang, Q.; Hu, S. Pt–Ni Alloy Nanoparticles via High-Temperature Shock as Efficient Electrocatalysts in the Oxygen Reduction Reaction. ACS Appl. Nano Mater. 2022, 5, 8243–8250. [Google Scholar] [CrossRef]
- Xue, Z.; Zhang, X.; Qin, J.; Liu, R. TMN4 complex embedded graphene as bifunctional electrocatalysts for high efficiency OER/ORR. J. Energy Chem. 2021, 55, 437–443. [Google Scholar] [CrossRef]
- Wei, P.; Li, X.; He, Z.; Sun, X.; Liang, Q.; Wang, Z.; Fang, C.; Li, Q.; Yang, H.; Han, J.; et al. Porous N, B co-doped carbon nanotubes as efficient metal-free electrocatalysts for ORR and Zn-air batteries. Chem. Eng. J. 2021, 422, 130134. [Google Scholar] [CrossRef]
- Sirirak, R.; Jarulertwathana, B.; Laokawee, V.; Susingrat, W.; Sarakonsri, T. FeNi alloy supported on nitrogen-doped graphene catalysts by polyol process for oxygen reduction reaction (ORR) in proton exchange membrane fuel cell (PEMFC) cathode. Res. Chem. Intermed. 2017, 43, 2905–2919. [Google Scholar] [CrossRef]
- Nematollahi, P.; Barbiellini, B.; Bansil, A.; Lamoen, D.; Qingying, J.; Mukerjee, S.; Neyts, E.C. Identification of a Robust and Durable FeN4C x Catalyst for ORR in PEM Fuel Cells and the Role of the Fifth Ligand. ACS Catal. 2022, 12, 7541–7549. [Google Scholar] [CrossRef]
- Yang, H.; Li, Z.; Kou, S.; Lu, G.; Liu, Z. A complex-sequestered strategy to fabricate Fe single-atom catalyst for efficient oxygen reduction in a broad pH-range. Appl. Catal. B Environ. 2020, 278, 119270. [Google Scholar] [CrossRef]
- Ge, F.; Qiao, Q.; Chen, X.; Wu, Y. Probing the catalytic activity of M-N4−xOx embedded graphene for the oxygen reduction reaction by density functional theory. Front. Chem. Sci. Eng. 2021, 15, 1206–1216. [Google Scholar] [CrossRef]
- Domínguez, C.; Pérez-Alonso, F.J.; Al-Thabaiti, S.A.; Basahel, S.N.; Obaid, A.Y.; Alyoubi, A.O.; de la Fuente, J.L.G.; Rojas, S. Effect of N and S co-doping of multiwalled carbon nanotubes for the oxygen reduction. Electrochim. Acta 2015, 157, 158–165. [Google Scholar] [CrossRef]
- Mohammadi, F.; Tavakol, H. Synthesis of phosphorus doped carbon nanotubes using chemical vapor deposition. Full-Nanotub. Carbon Nanostruct. 2018, 26, 218–225. [Google Scholar] [CrossRef]
- Wang, T.; Chutia, A.; Brett, D.J.L.; Shearing, P.R.; He, G.; Chai, G.; Parkin, I.P. Palladium alloys used as electrocatalysts for the oxygen reduction reaction. Energy Environ. Sci. 2021, 14, 2639–2669. [Google Scholar] [CrossRef]
- Sravani, B.; Raghavendra, P.; Chandrasekhar, Y.; Reddy, Y.V.M.; Sivasubramanian, R.; Venkateswarlu, K.; Madhavi, G.; Sarma, L.S. Immobilization of platinum-cobalt and platinum-nickel bimetallic nanoparticles on pomegranate peel extract-treated reduced graphene oxide as electrocatalysts for oxygen reduction reaction. Int. J. Hydrogen Energy 2020, 45, 7680–7690. [Google Scholar] [CrossRef]
- He, X.; Li, D.; Bai, Z.; Chang, F.; Qiao, J.; Yang, L. Multi-wall carbon nanotube-supported palladium–cobalt oxide nanoparticle as efficient catalyst for oxygen reduction reaction. Ionics 2019, 25, 5929–5937. [Google Scholar] [CrossRef]
- Ma, M.; Zhu, W.; Shao, Q.; Shi, H.; Liao, F.; Shao, C.; Shao, M. Palladium–copper bimetallic nanoparticles loaded on carbon black for oxygen reduction and zinc–air batteries. ACS Appl. Nano Mater. 2021, 4, 1478–1484. [Google Scholar] [CrossRef]
- Kumar, Y.; Kibena-Põldsepp, E.; Mooste, M.; Kozlova, J.; Kikas, A.; Aruväli, J.; Käärik, M.; Kisand, V.; Leis, J.; Tamm, A.; et al. Iron and Nickel Phthalocyanine-Modified Nanocarbon Materials as Cathode Catalysts for Anion-Exchange Membrane Fuel Cells and Zinc-Air Batteries. 2022. Available online: https://ssrn.com/abstract=4049705 (accessed on 29 July 2022).
- Kumar, Y.; Kibena-Põldsepp, E.; Kozlova, J.; Kikas, A.; Käärik, M.; Aruväli, J.; Kisand, V.; Leis, J.; Tamm, A.; Tammeveski, K. Bimetal Phthalocyanine-Modified Carbon Nanotube-Based Bifunctional Catalysts for Zinc-Air Batteries. ChemElectroChem 2021, 8, 2662–2670. [Google Scholar] [CrossRef]
- Kumar, Y.; Kibena-Põldsepp, E.; Kozlova, J.; Rähn, M.; Treshchalov, A.; Kikas, A.; Kisand, V.; Aruväli, J.; Tamm, A.; Douglin, J.C.; et al. Bifunctional Oxygen Electrocatalysis on Mixed Metal Phthalocyanine-Modified Carbon Nanotubes Prepared via Pyrolysis. ACS Appl. Mater. Interfaces 2021, 13, 41507–41516. [Google Scholar] [CrossRef]
- Zhang, C.; Yang, H.; Zhong, D.; Xu, Y.; Wang, Y.; Yuan, Q.; Liang, Z.; Wang, B.; Zhang, W.; Zheng, H.; et al. A yolk–shell structured metal–organic framework with encapsulated iron-porphyrin and its derived bimetallic nitrogen-doped porous carbon for an efficient oxygen reduction reaction. J. Mater. Chem. A 2020, 8, 9536–9544. [Google Scholar] [CrossRef]
- Liao, Z.; Wang, Y.; Wang, Q.; Cheng, Y.; Xiang, Z. Bimetal-phthalocyanine based covalent organic polymers for highly efficient oxygen electrode. Appl. Catal. B Environ. 2019, 243, 204–211. [Google Scholar] [CrossRef]
- Sing, K.S. Reporting physisorption data for gas/solid systems with special reference to the determination of surface area and porosity (Recommendations 1984). Pure Appl. Chem. 1985, 57, 603–619. [Google Scholar] [CrossRef]
- Zhao, Y.; Dong, F.; Han, W.; Zhao, H.; Tang, Z. Construction of Cu–Ce/graphene catalysts via a one-step hydrothermal method and their excellent CO catalytic oxidation performance. RSC Adv. 2018, 8, 1583–1592. [Google Scholar] [CrossRef]
- Li, F.; Cao, B.; Zhu, W.; Song, H.; Wang, K.; Li, C. Hydrogenation of Phenol over Pt/CNTs: The Effects of Pt Loading and Reaction Solvents. Catalysts 2017, 7, 145. [Google Scholar] [CrossRef]
- Jeon, I.Y.; Noh, H.J.; Baek, J.B. Nitrogen-Doped Carbon Nanomaterials: Synthesis, Characteristics and Applications. Chem. Asian J. 2020, 15, 2282–2293. [Google Scholar] [CrossRef] [PubMed]
- Das, A.; Pisana, S.; Chakraborty, B.; Piscanec, S.; Saha, S.K.; Waghmare, U.V.; Novoselov, K.S.; Krishnamurthy, H.R.; Geim, A.K.; Ferrari, A.C.; et al. Monitoring dopants by Raman scattering in an electrochemically top-gated graphene transistor. Nat. Nanotechnol. 2008, 3, 210–215. [Google Scholar] [CrossRef]
- Lin, Y.C.; Lin, C.Y.; Chiu, P.W. Controllable graphene N-doping with ammonia plasma. Appl. Phys. Lett. 2010, 96, 133110. [Google Scholar] [CrossRef]
- Wu, J.; Zhang, D.; Wang, Y.; Hou, B. Electrocatalytic activity of nitrogen-doped graphene synthesized via a one-pot hydrothermal process towards oxygen reduction reaction. J. Power Source 2013, 227, 185–190. [Google Scholar] [CrossRef]
- Levich, V.G. Physicochemical Hydrodynamics; Prentice-Hall: Englewood Cliffs, NJ, USA, 1962; pp. 689–700. Available online: https://onlinelibrary.wiley.com/doi/book/10.1002/0471725137 (accessed on 29 July 2022).
- Koutecky, J.; Levich, V.G. The use of a rotating disk electrode in the studies of electrochemical kinetics and electrolytic processes. Russ. J. Phys. Chem. A 1958, 32, 1565–1575. [Google Scholar]
- Kruusenberg, I.; Matisen, L.; Shah, Q.; Kannan, A.M.; Tammeveski, K. Non-platinum cathode catalysts for alkaline membrane fuel cells. Int. J. Hydrogen Energy 2012, 37, 4406–4412. [Google Scholar] [CrossRef]
- Jiang, L.; Hsu, A.; Chu, D.; Chen, R. A highly active Pd coated Ag electrocatalyst for oxygen reduction reactions in alkaline media. Electrochim. Acta 2010, 55, 4506–4511. [Google Scholar] [CrossRef]
- Bogdanovskaya, V.; Vernigor, I.; Radina, M.; Andreev, V.; Korchagin, O.; Novikov, V. Carbon Nanotube Modified by (O, N, P) Atoms as Effective Catalysts for Electroreduction of Oxygen in Alkaline Media. Catalysts 2020, 10, 892. [Google Scholar] [CrossRef]
- Raghavendra, P.; Reddy, G.V.; Sivasubramanian, R.; Chandana, P.S.; Sarma, L.S. Reduced graphene oxide-supported Pd@Au bimetallic nano electrocatalyst for enhanced oxygen reduction reaction in alkaline media. Int. J. Hydrogen Energy 2018, 43, 4125–4135. [Google Scholar] [CrossRef]
- Fashedemi, O.O.; Ozoemena, K.I. Oxygen reduction reaction at MWCNT-modified nanoscale iron (II) tetrasulfophthalocyanine: Remarkable performance over platinum and tolerance toward methanol in alkaline medium. RSC Adv. 2015, 5, 22869–22878. [Google Scholar] [CrossRef][Green Version]
- Dong, G.; Huang, M.; Guan, L. Iron phthalocyanine coated on single-walled carbon nanotubes composite for the oxygen reduction reaction in alkaline media. Phys. Chem. Chem. Phys. 2012, 14, 2557–2559. [Google Scholar] [CrossRef] [PubMed]














| Sample | Surface Area, SBET, m2/g | Pore Volume, VP, cm3/g | Micropore Volume, Vmicro, cm3/g |
|---|---|---|---|
| MWCNT | 14.9 | 0.08 | - |
| UDD | 296.2 | 0.54 | - |
| MWCNT_CoPc_Pd | 52.1 | 0.23 | 0.02 |
| MWCNT_CuPc_Pd | 58.5 | 0.21 | 0.02 |
| GO_CoPc_Pd | 36.8 | 0.15 | 0.02 |
| UDD_CoPc_Pd | 88.8 | 0.25 | 0.11 |
| Sample | ν(D), cm−1 | ν(G), cm−1 | ν(2D), cm−1 | ID | IG | I2D | IG/ID | I2D/IG |
|---|---|---|---|---|---|---|---|---|
| MWCNT | 1336 | 1565 | 2666 | 187 | 1942 | 1273 | 10.4 | 0.66 |
| MWCNT_CoPc_Pd | 1345 | 1574 | 2684 | 425 | 1792 | 1436 | 4.2 | 0.80 |
| MWCNT_CuPc_Pd | 1350 | 1582 | 2698 | 639 | 2537 | 2068 | 4.0 | 0.82 |
| GO | 1357 | 1598 | - | 791 | 1004 | - | 1.3 | - |
| GO_CoPc_Pd | 1350 | 1588 | - | 1036 | 967 | - | 0.9 | - |
| UDD_CoPc_Pd | 1337 | 1593 | - | 852 | 845 | - | 1.0 | - |
| UDD | 1328 | 1608 | - | 3537 | 2898 | - | 0.8 | - |
| MWCNT_CoPc | 1343 | 1577 | 2690 | 855 | 3359 | 2504 | 3.9 | 0.75 |
| MWCNT_CuPc | 1338 | 1568 | 2674 | 348 | 3010 | 2114 | 8.6 | 0.70 |
| Catalyst | jdif (−0.75 V), mA/cm2 | E1/2, V | Eonset, V | jkin (−0.05 V), mA/cm2 |
|---|---|---|---|---|
| Pt/C | 3.41 | −0.128 | −0.053 | 0.2160 |
| GO_CuPc_Pd | 1.84 | −0.321 | −0.163 | 0.0168 |
| GO_CoPc_Pd | 2.64 | −0.229 | −0.116 | 0.0245 |
| MWCNT_CoPc_Pd | 3.33 | −0.190 | −0.109 | 0.0302 |
| MWCNT_CuPc_Pd | 2.20 | −0.261 | −0.139 | 0.0235 |
| UDD_CoPc_Pd | 3.04 | −0.204 | −0.127 | 0.0265 |
| GO | - * | - * | - * | - * |
| MWCNT | 1.52 | −0.361 | −0.247 | 0.0133 |
| MWCNT_CuPc | 2.76 | −0.343 | −0.165 | 0.0267 |
| MWCNT_CoPc | 3.45 | −0.215 | −0.116 | 0.0278 |
| UDD | 1.33 | −0.370 | −0.227 | 0.0049 |
| Catalyst | q(as SEAS), mC/cm2 |
|---|---|
| Pt/C | 26.4 |
| GO_CuPc_Pd | 8.6 |
| GO_CoPc_Pd | 9.7 |
| MWCNT_CoPc_Pd | 12.1 |
| MWCNT_CuPc_Pd | 9.6 |
| UDD_CoPc_Pd | 11.1 |
| Catalyst | E1/2, V | Eonset, V | Source |
|---|---|---|---|
| Pt/C | −0.128 | −0.053 | This work |
| GO_CoPc_Pd | −0.229 | −0.116 | This work |
| MWCNT_CoPc_Pd | −0.190 | −0.109 | This work |
| UDD_CoPc_Pd | −0.204 | −0.127 | This work |
| Pd@Au/RGO | −0.157 | 0.183 | [43] |
| Pd@Ag/RGO | −0.174 | 0.183 | [43] |
| nanoFeTSPc-0-MWCNT | −0.32 | −0.020 | [44] |
| nanoFeTSPc-s-MWCNT | −0.40 | −0.200 | [44] |
| FePc/SWCNT | −0.10 | n/a | [45] |
Publisher’s Note: MDPI stays neutral with regard to jurisdictional claims in published maps and institutional affiliations. |
© 2022 by the authors. Licensee MDPI, Basel, Switzerland. This article is an open access article distributed under the terms and conditions of the Creative Commons Attribution (CC BY) license (https://creativecommons.org/licenses/by/4.0/).
Share and Cite
Bulanova, A.V.; Shafigulin, R.V.; Vinogradov, K.Y.; Tokranova, E.O.; Martynenko, E.A.; Vostrikov, S.V.; Podlipnov, V.V. Effect of Modifying Carbon Materials with Metal Phthalocynines and Palladium on Their Catalytic Activity in ORR. Catalysts 2022, 12, 1013. https://doi.org/10.3390/catal12091013
Bulanova AV, Shafigulin RV, Vinogradov KY, Tokranova EO, Martynenko EA, Vostrikov SV, Podlipnov VV. Effect of Modifying Carbon Materials with Metal Phthalocynines and Palladium on Their Catalytic Activity in ORR. Catalysts. 2022; 12(9):1013. https://doi.org/10.3390/catal12091013
Chicago/Turabian StyleBulanova, Andzhela Vladimirovna, Roman Vladimirovich Shafigulin, Kirill Yurievich Vinogradov, Elena Olegovna Tokranova, Evgenia Andreevna Martynenko, Sergey Vladimirovich Vostrikov, and Vladimir Vladimirovich Podlipnov. 2022. "Effect of Modifying Carbon Materials with Metal Phthalocynines and Palladium on Their Catalytic Activity in ORR" Catalysts 12, no. 9: 1013. https://doi.org/10.3390/catal12091013
APA StyleBulanova, A. V., Shafigulin, R. V., Vinogradov, K. Y., Tokranova, E. O., Martynenko, E. A., Vostrikov, S. V., & Podlipnov, V. V. (2022). Effect of Modifying Carbon Materials with Metal Phthalocynines and Palladium on Their Catalytic Activity in ORR. Catalysts, 12(9), 1013. https://doi.org/10.3390/catal12091013

