Biochemical and Physical Characterization of Immobilized Candida rugosa Lipase on Metal Oxide Hybrid Support
Abstract
:1. Introduction
2. Results and Discussion
2.1. Effect of Metal Oxides Ratio to Al2O3 for Wetness Impregnation Method
2.2. Effect of Calcination Temperature
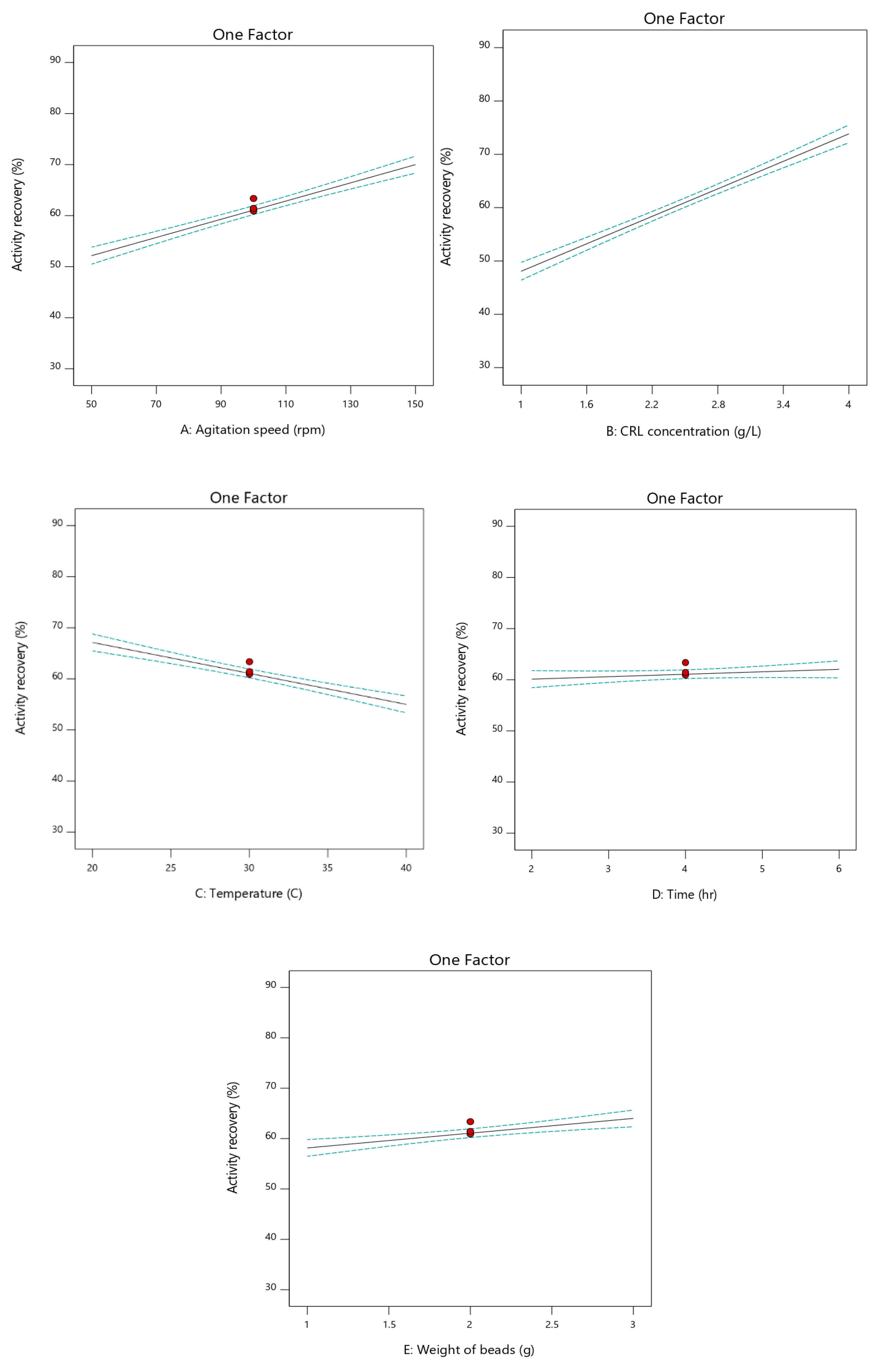
2.3. Optimization of CRL Immobilization Using RSM for Activity Recovery
2.4. Optimization of CRL Immobilization Using RSM for Immobilization Efficiency
2.5. Validation of the Model
2.6. Biochemical Characterization of CRL/MgO-Al2O3 and free CRL
2.6.1. Thermal and pH Stability
2.6.2. Optimum Temperature and pH
2.6.3. Mechanical Stability, Leaching Analysis, and Reusability
2.6.4. Solvent Tolerance Analysis
2.7. Physical Characterization of CRL/MgO-Al2O3
2.8. Mechanisms of CRL Adsorption on MgO-Al2O3
2.9. Application of CRL/MgO-Al2O3 for Biodiesel Production
3. Materials and Methods
3.1. Enzyme and Chemicals
3.2. Preparation of MO-Al2O3 Support
3.3. Determination of Lipase Activity
3.4. Experimental Design for Response Surface Methodology (RSM) and Statistical Analysis
3.5. Biochemical Characterization of Free CRL and Hybrid CRL/MgO-Al2O3
3.6. Physical Characterization of Support (MgO-Al2O3) and CRL/MgO-Al2O3
3.7. Biodiesel Production and Analysis of FAME Content
4. Conclusions
Supplementary Materials
Author Contributions
Funding
Conflicts of Interest
References
- Gandhi, N.N.; Patil, N.S.; Sawant, S.B.; Joshi, J.B.; Wangikar, P.P.; Mukesh, D. Lipase-Catalyzed Esterification. Catal. Rev. 2007, 42, 439–480. [Google Scholar] [CrossRef]
- Ishak, S.N.H.; Masomian, M.; Kamarudin, N.H.A.; Ali, M.S.M.; Leow, T.C.; Rahman, R. Changes of Thermostability, Organic Solvent, and pH Stability in Geobacillus zalihae HT1 and Its Mutant by Calcium Ion. Int. J. Mol. Sci. 2019, 20, 2561. [Google Scholar] [CrossRef] [PubMed] [Green Version]
- Pinto Brito, M.J.; Bauer, L.C.; Flores Santos, M.P.; Santos, L.S.; Ferreira Bonomo, R.C.; da Costa Ilhéu Fontan, R.; Veloso, C.M. Lipase immobilization on activated and functionalized carbon for the aroma ester synthesis. Microporous Mesoporous Mater. 2020, 309, 110576. [Google Scholar] [CrossRef]
- Chauhan, M.; Chauhan, R.S.; Garlapati, V.K. Evaluation of a New Lipase from Staphylococcus sp. for Detergent Additive Capability. BioMed Res. Int. 2013, 2013, 374967. [Google Scholar] [CrossRef] [PubMed] [Green Version]
- Hou, A.; Liang, L.; Du, J.; Yan, J.; Peng, B. Evaluation of lipases properties and degreasing effects in leather manufacture. In Proceedings of the 31st IULTCS Congress, Valencia, Spain, 28–30 September 2011. [Google Scholar]
- Sarac, N.; Ugur, A. A green alternative for oily wastewater treatment: Lipase from Acinetobacter haemolyticus NS02-30. Desalination Water Treat. 2016, 57, 19750–19759. [Google Scholar] [CrossRef]
- Costa, E.; Almeida, M.F.; Alvim-Ferraz, C.; Dias, J.M. Optimization of Crambe abyssinica enzymatic transesterification using response surface methodology. Renew. Energy 2021, 174, 444–452. [Google Scholar] [CrossRef]
- Ramlee, N.N.; Md Illias, R.; Toemen, S.; Abdul Manas, N.H.; Wan Azelee, N.I. Esterification of a waste cooking oil using metal-hybrid catalysts for chemoenzymatic reactions. Mater. Today Proc. 2021, 47, 1280–1286. [Google Scholar] [CrossRef]
- Lyu, X.; Gonzalez, R.; Horton, A.; Li, T. Immobilization of Enzymes by Polymeric Materials. Catalysts 2021, 11, 1211. [Google Scholar] [CrossRef]
- Rueda, N.; dos Santos, C.S.; Rodriguez, M.D.; Albuquerque, T.L.; Barbosa, O.; Torres, R.; Ortiz, C.; Fernandez-Lafuente, R. Reversible immobilization of lipases on octyl-glutamic agarose beads: A mixed adsorption that reinforces enzyme immobilization. J. Mol. Catal. B Enzym. 2016, 128, 10–18. [Google Scholar] [CrossRef]
- Sabi, G.J.; Gama, R.S.; Fernandez-Lafuente, R.; Cancino-Bernardi, J.; Mendes, A.A. Decyl esters production from soybean-based oils catalyzed by lipase immobilized on differently functionalized rice husk silica and their characterization as potential biolubricants. Enzym. Microb. Technol. 2022, 157, 110019. [Google Scholar] [CrossRef]
- Zhou, W.; Zhuang, W.; Ge, L.; Wang, Z.; Wu, J.; Niu, H.; Liu, D.; Zhu, C.; Chen, Y.; Ying, H. Surface functionalization of graphene oxide by amino acids for Thermomyces lanuginosus lipase adsorption. J. Colloid Interface Sci. 2019, 546, 211–220. [Google Scholar] [CrossRef]
- Romero Toledo, R.; Sánchez, M.B.; Porras, G.R.; Ramírez, R.F.; Pérez Larios, A.; Ramirez, A.M.; Rosales, M.M. Effect of Mg as Impurity on the Structure of Mesoporous γ-Al203: Efficiency as Catalytic Support in HDS of DBT. Int. J. Chem. React. Eng. 2018, 16. [Google Scholar] [CrossRef]
- Qiao, N.; Nong, Y.; Liu, N.; Liang, Y. Heterogeneous catalyst of porous anodic aluminum oxide with Al substrate supported metal nanoparticles. Mater. Chem. Phys. 2019, 225, 458–463. [Google Scholar] [CrossRef]
- Rutkowska, I.; Marchewka, J.; Jelen, P.; Odziomek, M.; Korpys, M.; Paczkowska, J.; Sitarz, M. Chemical and Structural Characterization of Amorphous and Crystalline Alumina Obtained by Alternative Sol-Gel Preparation Routes. Materials 2021, 14, 1761. [Google Scholar] [CrossRef]
- Mello, N.M.; Rego, A.S.C.; Brocchi, E.A.; Campos, J.B.d.; Moura, F.J.; Souza, R.F.M. Effect of an Alumina Supported Palladium Catalyst on the Magnesium Sulfate Decomposition Kinetics. Mater. Res. 2020, 23. [Google Scholar] [CrossRef]
- Coutinho, T.C.; Tardioli, P.W.; Farinas, C.S. Hydroxyapatite nanoparticles modified with metal ions for xylanase immobilization. Int. J. Biol. Macromol. 2020, 150, 344–353. [Google Scholar] [CrossRef]
- Wang, B.; Xiong, X.; Ren, H.; Huang, Z. Preparation of MgO nanocrystals and catalytic mechanism on phenol ozonation. RSC Adv. 2017, 7, 43464–43473. [Google Scholar] [CrossRef] [Green Version]
- Mulcahy, F.M.; Houalla, M.; Hercules, D.M. The Effect of The Isoelectric Point on The Adsorption on Molybdates on Fluoride-Modified Alumina. J. Catal. 1987, 106, 210–215. [Google Scholar] [CrossRef]
- Satyawali, Y.; Roy, S.V.; Roevens, A.; Meynen, V.; Mullens, S.; Jochems, P.; Doyen, W.; Cauwenberghs, L.; Dejonghe, W. Characterization and analysis of the adsorption immobilization mechanism of β-galactosidase on metal oxide powders. RSC Adv. 2013, 3, 24054–24062. [Google Scholar] [CrossRef]
- Eskandari, S.; Tate, G.; Leaphart, N.R.; Regalbuto, J.R. Nanoparticle Synthesis via Electrostatic Adsorption Using Incipient Wetness Impregnation. ACS Catal. 2018, 8, 10383–10391. [Google Scholar] [CrossRef]
- Zahan, K.; Kano, M. Biodiesel Production from Palm Oil, Its By-Products, and Mill Effluent: A Review. Energies 2018, 11, 2132. [Google Scholar] [CrossRef] [Green Version]
- Talha, N.S.; Sulaiman, S. Overview Of Catalyst In Biodiesel Production. ARPN J. Eng. Appl. Sci. 2016, 11, 439–442. [Google Scholar]
- Cesarini, S.; Pastor, F.I.J.; Nielsen, P.M.; Diaz, P. Moving towards a Competitive Fully Enzymatic Biodiesel Process. Sustainability 2015, 7, 7884–7903. [Google Scholar] [CrossRef] [Green Version]
- Zdarta, J.; Meyer, A.; Jesionowski, T.; Pinelo, M. A General Overview of Support Materials for Enzyme Immobilization: Characteristics, Properties, Practical Utility. Catalysts 2018, 8, 92. [Google Scholar] [CrossRef] [Green Version]
- Zhong, L.; Feng, Y.; Hu, H.; Xu, J.; Wang, Z.; Du, Y.; Cui, J.; Jia, S. Enhanced enzymatic performance of immobilized lipase on metal organic frameworks with superhydrophobic coating for biodiesel production. J. Colloid Interface Sci. 2021, 602, 426–436. [Google Scholar] [CrossRef]
- Zhong, L.; Feng, Y.; Wang, G.; Wang, Z.; Bilal, M.; Lv, H.; Jia, S.; Cui, J. Production and use ofimmobilized lipases in/on nanomaterials: A review from the waste to biodiesel production. Int. J. Biol. Macromol. 2020, 152, 207–222. [Google Scholar] [CrossRef] [PubMed]
- Ashok, A.; Kennedy, L.J.; Vijaya, J.J.; Aruldoss, U. Optimization of biodiesel production from waste cooking oil by magnesium oxide nanocatalyst synthesized using coprecipitation method. Clean Technol. Environ. Policy 2018, 20, 1219–1231. [Google Scholar] [CrossRef]
- Jing, J.-y.; Zhang, Z.-y.; Wang, S.-d.; Li, W.-y. Influence of calcination temperature on the structure and catalytic reforming performance of Ni/CaO-Al2O3 catalyst. J. Fuel Chem. Technol. 2018, 46, 673–679. [Google Scholar] [CrossRef]
- Wong, Y.C.; Tan, Y.P.; Taufiq-Yap, Y.H.; Ram, I. Effect of Calcination Temperatures of CaO/Nb2 Catalysts on Biodiesel Production. Sains Malays. 2014, 43, 783–790. [Google Scholar]
- Shahedi, M.; Habibi, Z.; Yousefi, M.; Brask, J.; Mohammadi, M. Improvement of biodiesel production from palm oil by co-immobilization of Thermomyces lanuginosa lipase and Candida antarctica lipase B: Optimization using response surface methodology. Int. J. Biol. Macromol. 2021, 170, 490–502. [Google Scholar] [CrossRef] [PubMed]
- Moreira, K.S.; Moura Júnior, L.S.; Monteiro, R.R.C.; de Oliveira, A.L.B.; Valle, C.P.; Freire, T.M.; Fechine, P.B.A.; de Souza, M.C.M.; Fernandez-Lorente, G.; Guisan, J.M.; et al. Optimization of the Production of Enzymatic Biodiesel from Residual Babassu Oil (Orbignya sp.) via RSM. Catalysts 2020, 10, 414. [Google Scholar] [CrossRef] [Green Version]
- Jamil, N.; Man, R.C.; Suhaimi, S.; Shaarani, S.M.; Arshad, Z.I.M.; Mudalip, S.K.A.; Sulaiman, S.Z. Effect of Immobilization Parameters on the Immobilization of Cyclodextrin Glucanotranferase on Hollow Fiber Membrane. J. Teknol. 2019, 82. [Google Scholar] [CrossRef] [Green Version]
- Masuda, Y.; Kugimiya, S.-i.; Kato, K. Improvement of thermal-stability of enzyme immobilized onto mesoporous zirconia. J. Asian Ceram. Soc. 2018, 2, 11–19. [Google Scholar] [CrossRef] [Green Version]
- Adnan, M.; Li, K.; Xu, L.; Yan, Y. X-Shaped ZIF-8 for Immobilization Rhizomucor miehei Lipase via Encapsulation and Its Application toward Biodiesel Production. Catalysts 2018, 8, 96. [Google Scholar] [CrossRef] [Green Version]
- Rios, N.S.; Arana-Peña, S.; Mendez-Sanchez, C.; Lokha, Y.; Cortes-Corberan, V.; Gonçalves, L.R.B.; Fernandez-Lafuente, R. Increasing the Enzyme Loading Capacity of Porous Supports by a Layer-by-Layer Immobilization Strategy Using PEI as Glue. Catalysts 2019, 9, 576. [Google Scholar] [CrossRef] [Green Version]
- Fernandez-Lopez, L.; Pedrero, S.G.; Lopez-Carrobles, N.; Gorines, B.C.; Virgen-Ortíz, J.J.; Fernandez-Lafuente, R. Effect of protein load on stability of immobilized enzymes. Enzym. Microb. Technol. 2017, 98, 18–25. [Google Scholar] [CrossRef]
- Silveira, M.H.L.; Rau, M.; Andreaus, J. Influence of mechanical agitation on the pH profile of total, soluble and insoluble filter paper activity of Hypocrea jecorina cellulase preparations. Biocatal. Biotransformation 2012, 30, 63–70. [Google Scholar] [CrossRef]
- Chang, S.-F.; Chang, S.-W.; Yen, Y.-H.; Shieh, C.-J. Optimum immobilization of Candida rugosa lipase on Celite by RSM. Appl. Clay Sci. 2007, 37, 67–73. [Google Scholar] [CrossRef]
- Andriano Jospin, D. Optimum Immobilization of Candida antartica B Lipase on Natural Silica by RSM. Am. J. Chem. Eng. 2017, 5, 43–48. [Google Scholar] [CrossRef]
- Yu, D.; Zhang, X.; Wang, T.; Geng, H.; Wang, L.; Jiang, L.; Elfalleh, W. Immobilized Candida antarctica lipase B (CALB) on functionalized MCM-41: Stability and catalysis of transesterification of soybean oil and phytosterol. Food Biosci. 2021, 40, 100906. [Google Scholar] [CrossRef]
- Rana, S.; Sharma, A.; Kumar, A.; Kanwar, S.S.; Singh, M. Utility of Silane-Modified Magnesium-Based Magnetic Nanoparticles for Efficient Immobilization of Bacillus thermoamylovorans Lipase. Appl. Biochem. Biotechnol. 2020, 192, 1029–1043. [Google Scholar] [CrossRef]
- Xie, W.; Huang, M. Immobilization of Candida rugosa lipase onto graphene oxide Fe3O4 nanocomposite characterization and application for biodiesel production. Energy Convers. Manag. 2018, 159, 42–53. [Google Scholar] [CrossRef]
- Morrell, R. Handbook of Properties of Technical Engineering Ceramics; Her Majesty’s Stationery Office: London, UK, 1989. [Google Scholar]
- Cui, J.D.; Liu, R.L.; Li, L.B. A facile technique to prepare cross-linked enzyme aggregates of bovine pancreatic lipase using bovine serum albumin as an additive. Korean J. Chem. Eng. 2016, 33, 610–615. [Google Scholar] [CrossRef]
- Cao, L. Carrier-Bound Immobilized Enzymes: Principles, Application and Design; Wiley-VCH Verlag GmbH & Co. KGaA: Weinheim, Germany, 2005. [Google Scholar] [CrossRef]
- Bussamara, R.; Dall’agnol, L.; Schrank, A.; Fernandes, K.F.; Vainstein, M.H. Optimal Conditions for Continuous Immobilization of Pseudozyma hubeiensis (Strain HB85A) Lipase by Adsorption in a Packed-Bed Reactor by Response Surface Methodology. Enzym. Res. 2012, 2012, 329178. [Google Scholar] [CrossRef] [Green Version]
- George, R.; Sugunan, S. Kinetics of adsorption of lipase onto different mesoporous materials: Evaluation of Avrami model and leaching studies. J. Mol. Catal. B Enzym. 2014, 105, 26–32. [Google Scholar] [CrossRef]
- Costantini, A.; Califano, V. Lipase Immobilization in Mesoporous Silica Nanoparticles for Biofuel Production. Catalysts 2021, 11, 629. [Google Scholar] [CrossRef]
- Jafarian, F.; Bordbar, A.K.; Zare, A.; Khosropour, A. The performance of immobilized Candida rugosa lipase on various surface modified graphene oxide nanosheets. Int. J. Biol. Macromol. 2018, 111, 1166–1174. [Google Scholar] [CrossRef]
- Gürdaş, S.; Güleç, H.A.; Mutlu, M. Immobilization of Aspergillus oryzae β-Galactosidase onto Duolite A568 Resin via Simple Adsorption Mechanism. Food Bioprocess Technol. 2010, 5, 904–911. [Google Scholar] [CrossRef]
- Virgen-Ortiz, J.J.; Pedrero, S.G.; Fernandez-Lopez, L.; Lopez-Carrobles, N.; Gorines, B.C.; Otero, C.; Fernandez-Lafuente, R. Desorption of Lipases Immobilized on Octyl-Agarose Beads and Coated with Ionic Polymers after Thermal Inactivation. Stronger Adsorption of Polymers/Unfolded Protein Composites. Molecules 2017, 22, 91. [Google Scholar] [CrossRef] [Green Version]
- Amini, Z.; Ong, H.C.; Harrison, M.D.; Kusumo, F.; Mazaheri, H.; Ilham, Z. Biodiesel production by lipase-catalyzed transesterification of Ocimum basilicum L. (sweet basil) seed oil. Energy Convers. Manag. 2017, 132, 82–90. [Google Scholar] [CrossRef] [Green Version]
- Zare, A.; Bordbar, A.K.; Razmjou, A.; Jafarian, F. The immobilization of Candida rugosa lipase on the modified polyethersulfone with MOF nanoparticles as an excellent performance bioreactor membrane. J. Biotechnol. 2019, 289, 55–63. [Google Scholar] [CrossRef] [PubMed]
- Cea, M.; González, M.E.; Abarzúa, M.; Navia, R. Enzymatic esterification of oleic acid by Candida rugosa lipase immobilized onto biochar. J. Environ. Manag. 2019, 242, 171–177. [Google Scholar] [CrossRef] [PubMed]
- Cao, S.L.; Huang, Y.M.; Li, X.H.; Xu, P.; Wu, H.; Li, N.; Lou, W.Y.; Zong, M.H. Preparation and Characterization of Immobilized Lipase from Pseudomonas Cepacia onto Magnetic Cellulose Nanocrystals. Sci. Rep. 2016, 6, 20420. [Google Scholar] [CrossRef] [Green Version]
- Badoei-Dalfard, A.; Shahba, A.; Zaare, F.; Sargazi, G.; Seyedalipour, B.; Karami, Z. Lipase immobilization on a novel class of Zr-MOF/electrospun nanofibrous polymers: Biochemical characterization and efficient biodiesel production. Int. J. Biol. Macromol. 2021, 192, 1292–1303. [Google Scholar] [CrossRef] [PubMed]
- Pulido, I.Y.; Prieto, E.; Jimenez-Junca, C. Ethanol as additive enhance the performance of immobilized lipase LipA from Pseudomonas aeruginosa on polypropylene support. Biotechnol. Rep. 2021, 31, e00659. [Google Scholar] [CrossRef]
- Kamal, M.Z.; Yedavalli, P.; Deshmukh, M.V.; Rao, N.M. Lipase in aqueous-polar organic solvents: Activity, structure, and stability. Protein Sci. 2013, 22, 904–915. [Google Scholar] [CrossRef] [Green Version]
- Ballal, D.; Chapman, W.G. Hydrophobic and hydrophilic interactions in aqueous mixtures of alcohols at a hydrophobic surface. J. Chem. Phys. 2013, 139, 114706. [Google Scholar] [CrossRef] [PubMed] [Green Version]
- Ycel, S.; Terziolu, P.; Zime, D. Lipase Applications in Biodiesel Production. In Biodiesel—Feedstocks, Production and Applications; Intech Open: London, UK, 2012. [Google Scholar] [CrossRef] [Green Version]
- Fu, B.; Vasudevan, P.T. Effect of Solvent−Co-solvent Mixtures on Lipase-Catalyzed Transesterification of Canola Oil. Energy Fuels 2010, 24, 4646–4651. [Google Scholar] [CrossRef]
- Sousa, R.R.; Silva, A.S.A.; Fernandez-Lafuente, R.; Ferreira-Leitão, V.S. Solvent-free esterifications mediated by immobilized lipases: A review from thermodynamic and kinetic perspectives. Catal. Sci. Technol. 2021, 11, 5696–5711. [Google Scholar] [CrossRef]
- Islam, M.A.; Chowdhury, M.A.; Shuvho, M.B.A.; Aziz, M.A.; Kchaou, M. Thermal analysis of hybrid composites reinforced with Al2O3 and SiO2 filler particles. Mater. Res. Express 2020, 6, 125361. [Google Scholar] [CrossRef]
- Asmat, S.; Husain, Q.; Khan, M.S. A polypyrrole–methyl anthranilate functionalized worm-like titanium dioxide nanocomposite as an innovative tool for immobilization of lipase: Preparation, activity, stability and molecular docking investigations. N. J. Chem. 2018, 42, 91–102. [Google Scholar] [CrossRef]
- Sulaiman, N.F.; Hashim, A.N.N.; Toemen, S.; Rosid, S.J.M.; Mokhtar, W.N.A.W.; Nadarajan, R.; Bakar, W.A.W.A. Biodiesel production from refined used cooking oil using co-metal oxide catalyzed transesterification. Renew. Energy 2020, 153, 1–11. [Google Scholar] [CrossRef]
- Li, Q.; Chen, Y.; Bai, S.; Shao, X.; Jiang, L.; Li, Q. Immobilized lipase in bio-based metal-organic frameworks constructed by biomimetic mineralization: A sustainable biocatalyst for biodiesel synthesis. Colloids Surf. B Biointerface 2020, 188, 110812. [Google Scholar] [CrossRef]
- Patel, V.; Shah, C.; Deshpande, M.; Madamwar, D. Zinc Oxide Nanoparticles Supported Lipase Immobilization for Biotransformation in Organic Solvents: A Facile Synthesis of Geranyl Acetate, Effect of Operative Variables and Kinetic Study. Appl. Biochem. Biotechnol. 2016, 178, 1630–1651. [Google Scholar] [CrossRef] [PubMed]
- Toledo, R.R.; Santoyo, V.R.; Sánchez, D.M.; Rosales, M.M. Effect of aluminum precursor on physicochemical properties of Al2O3 by hydrolysis/precipitation method. Nova Sci. 2018, 10, 83–89. [Google Scholar] [CrossRef]
- Zhang, L.; Wu, Y.; Zhang, L.; Wang, Y.; Li, M. Synthesis and characterization of mesoporous alumina with high specific area via coprecipitation method. Vacuum 2016, 133, 1–6. [Google Scholar] [CrossRef]
- Panasyuk, G.P.; Azarova, L.A.; Belan, V.N.; Semenov, E.A.; Danchevskaya, M.N.; Voroshilov, I.L.; Kozerozhets, I.V.; Pershikov, S.A.; Kharatyan, S.Y. Methods for High-Purity Aluminum Oxide Production for Growth of Leucosapphire Crystals (Review). Theor. Found. Chem. Eng. 2019, 53, 596–601. [Google Scholar] [CrossRef]
- Wang, J.; Lia, K.; He, Y.; Wang, Y.; Han, X.; Yan, Y. Enhanced performance of lipase immobilized onto Co2+-chelated magnetic nanoparticles and its application in biodiesel production. Fuel 2019, 255, 115794. [Google Scholar] [CrossRef]
- Nematian, T.; Shakeri, A.; Salehi, Z.; Saboury, A.A. Lipase immobilized on functionalized superparamagnetic few-layer graphene oxide as an efficient nanobiocatalyst for biodiesel production from Chlorella vulgaris bio-oil. Biotechnol Biofuels 2020, 13, 57. [Google Scholar] [CrossRef] [PubMed] [Green Version]
- Harun, Z.; Ismail, N.F.; Badarulzaman, N.A. Effect of MgO Additive on Microstructure of Al2O3. Adv. Mater. Res. 2012, 488–489, 335–339. [Google Scholar] [CrossRef] [Green Version]
- Alothman, Z. A Review: Fundamental Aspects of Silicate Mesoporous Materials. Materials 2012, 5, 2874–2902. [Google Scholar] [CrossRef] [Green Version]
- Mahlambi, M.M.; Mishra, A.K.; Mishra, S.B.; Krause, R.W.; Mamba, B.B.; Raichur, A.M. Synthesis and characterization of carbon-covered alumina (CCA) supported TiO2 nanocatalysts with enhanced visible light photodegradation of Rhodamine B. J. Nanoparticle Res. 2012, 14, 88–89. [Google Scholar] [CrossRef]
- Weber, S.; Abel, K.L.; Zimmermann, R.T.; Huang, X.; Bremer, J.; Rihko-Struckmann, L.K.; Batey, D.; Cipiccia, S.; Titus, J.; Poppitz, D.; et al. Porosity and Structure of Hierarchically Porous Ni/Al2O3 Catalysts for CO2 Methanation. Catalysts 2020, 10, 1471. [Google Scholar] [CrossRef]
- Farooq, M.; Ramli, A. The Determination of Point Zero Charge (PZC) of Al2O3-MgO Mixed Oxides; IEEE: Perak, Malaysia, 2011. [Google Scholar]
- Zhou, G.; Chen, Y.; Yang, S. Comparative studies on catalytic properties of immobilized Candida rugosa lipase in ordered mesoporous rod-like silica and vesicle-like silica. Microporous Mesoporous Mater. 2009, 119, 223–229. [Google Scholar] [CrossRef]
- Lotti, M.; Pleiss, J.; Valero, F.; Ferrer, P. Effects of methanol on lipases: Molecular, kinetic and process issues in the production of biodiesel. Biotechnol. J. 2015, 10, 22–30. [Google Scholar] [CrossRef] [PubMed]
- Lu, J.; Deng, L.; Zhao, R.; Zhang, R.; Wang, F.; Tan, T. Pretreatment of immobilized Candida sp. 99–125 lipase to improve its methanol tolerance for biodiesel production. J. Mol. Catal. B Enzym. 2010, 62, 15–18. [Google Scholar] [CrossRef]
- Winkler, U.K.; Stuckmann, M. Glycogen, Hyaluronate, and Some Other Polysaccharides Greatly Enhance the Formation of Exolipase by Serratia marcescens. J. Bacteriol. 1979, 138, 663–670. [Google Scholar] [CrossRef] [PubMed] [Green Version]















| Run Order | Agitation Speed (rpm) | CRL Concentration (g/L) | Temperature (°C) | Immobilization Time (hour) | Weight of MgO-Al2O3 Beads (g) | Activity Recovery (%) | Immobilization Efficiency (%) | ||
|---|---|---|---|---|---|---|---|---|---|
| Experimental Value | Predicted Value | Experimental Value | Predicted Value | ||||||
| 1 | 100 | 2.5 | 30 | 6 | 3 | 64.7 | 65.0 | 44.6 | 43.2 |
| 2 | 100 | 1 | 30 | 4 | 1 | 48.6 | 45.3 | 57.3 | 57.2 |
| 3 | 100 | 2.5 | 20 | 6 | 2 | 67.7 | 68.1 | 30.8 | 30.4 |
| 4 | 100 | 2.5 | 30 | 6 | 1 | 54.6 | 59.1 | 40.1 | 38.7 |
| 5 | 150 | 2.5 | 30 | 6 | 2 | 73.6 | 71.0 | 39.9 | 38.1 |
| 6 | 100 | 2.5 | 20 | 2 | 2 | 62.5 | 66.2 | 21.6 | 20.6 |
| 7 | 50 | 2.5 | 20 | 4 | 2 | 57.5 | 58.2 | 24.2 | 22.0 |
| 8 | 100 | 2.5 | 30 | 2 | 3 | 65.5 | 63.1 | 55.6 | 56.6 |
| 9 | 150 | 2.5 | 30 | 2 | 2 | 70.6 | 69.0 | 17.1 | 17.1 |
| 10 | 100 | 4 | 30 | 2 | 2 | 70.6 | 73.0 | 34.9 | 33.3 |
| 11 | 100 | 1 | 40 | 4 | 2 | 43.4 | 42.1 | 50.6 | 47.1 |
| 12 | 100 | 2.5 | 20 | 4 | 3 | 64.0 | 70.1 | 47.2 | 48.5 |
| 13 | 100 | 2.5 | 20 | 4 | 1 | 63.3 | 64.2 | 27.2 | 28.3 |
| 14 | 100 | 2.5 | 30 | 4 | 2 | 60.9 | 61.1 | 73.0 | 73.9 |
| 15 | 100 | 1 | 30 | 4 | 3 | 50.7 | 51.1 | 80.5 | 81.0 |
| 16 | 150 | 2.5 | 30 | 4 | 3 | 76.6 | 72.9 | 51.6 | 50.1 |
| 17 | 50 | 1 | 30 | 4 | 2 | 40.5 | 39.3 | 62.6 | 68.4 |
| 18 | 100 | 2.5 | 40 | 4 | 3 | 55.2 | 57.9 | 40.8 | 42.3 |
| 19 | 100 | 2.5 | 30 | 2 | 1 | 60.8 | 57.2 | 28.0 | 28.9 |
| 20 | 50 | 2.5 | 30 | 2 | 2 | 52.0 | 51.2 | 45.0 | 47.4 |
| 21 | 150 | 1 | 30 | 4 | 2 | 54.3 | 57.1 | 45.7 | 48.7 |
| 22 | 150 | 2.5 | 20 | 4 | 2 | 78.0 | 76.1 | 32.0 | 33.8 |
| 23 | 150 | 2.5 | 40 | 4 | 2 | 57.1 | 63.9 | 11.8 | 12.4 |
| 24 | 100 | 4 | 30 | 6 | 2 | 78.4 | 74.9 | 14.9 | 16.9 |
| 25 | 100 | 2.5 | 40 | 4 | 1 | 52.2 | 52.1 | 29.1 | 30.4 |
| 26 | 100 | 2.5 | 40 | 2 | 2 | 52.4 | 54.1 | 27.8 | 30.1 |
| 27 | 100 | 2.5 | 30 | 4 | 2 | 63.4 | 61.1 | 73.3 | 73.9 |
| 28 | 100 | 4 | 40 | 4 | 2 | 67.9 | 67.9 | 24.7 | 23.1 |
| 29 | 50 | 2.5 | 30 | 4 | 1 | 44.3 | 49.2 | 43.0 | 41.5 |
| 30 | 100 | 1 | 30 | 2 | 2 | 50.6 | 47.2 | 53.7 | 49.8 |
| 31 | 100 | 2.5 | 30 | 4 | 2 | 61.4 | 61.1 | 75.5 | 73.9 |
| 32 | 150 | 4 | 30 | 4 | 2 | 84.3 | 82.9 | 31.5 | 29.8 |
| 33 | 50 | 2.5 | 40 | 4 | 2 | 47.4 | 46.1 | 42.7 | 39.2 |
| 34 | 150 | 2.5 | 30 | 4 | 1 | 66.4 | 67.1 | 31.5 | 30.9 |
| 35 | 50 | 2.5 | 30 | 6 | 2 | 54.3 | 53.1 | 22.2 | 22.8 |
| 36 | 100 | 1 | 30 | 6 | 2 | 49.6 | 49.2 | 63.0 | 62.6 |
| 37 | 50 | 2.5 | 30 | 4 | 3 | 54.1 | 55.1 | 57.0 | 54.5 |
| 38 | 100 | 1 | 20 | 4 | 2 | 53.7 | 54.3 | 57.6 | 56.3 |
| 39 | 50 | 4 | 30 | 4 | 2 | 68.2 | 65.0 | 24.1 | 25.1 |
| 40 | 100 | 4 | 30 | 4 | 1 | 69.3 | 71.0 | 33.5 | 33.8 |
| 41 | 100 | 4 | 20 | 4 | 2 | 83.2 | 80.0 | 17.6 | 18.1 |
| 42 | 100 | 2.5 | 40 | 6 | 2 | 57.2 | 56.0 | 14.1 | 16.8 |
| 43 | 100 | 4 | 30 | 4 | 3 | 75.6 | 76.9 | 41.2 | 42.2 |
| Source | Sum of Squares | df | Mean Square | F-Value | p-Value | |
|---|---|---|---|---|---|---|
| Model | 4667.27 | 5 | 933.5 | 118.69 | <0.0001 | significant |
| A-Agitation speed | 1272.42 | 1 | 1272.42 | 161.79 | <0.0001 | |
| B-CRL concentration | 2655.22 | 1 | 2655.22 | 337.61 | <0.0001 | |
| C-Temperature | 587.62 | 1 | 587.62 | 74.71 | <0.0001 | |
| D-Time | 14.68 | 1 | 14.68 | 1.87 | 0.1802 | |
| E-Weight of beads | 137.33 | 1 | 137.33 | 17.46 | 0.0002 | |
| Residual | 291 | 37 | 7.86 | |||
| Lack of Fit | 287.7 | 35 | 8.22 | 4.98 | 0.1811 | not significant |
| Pure Error | 3.3 | 2 | 1.65 | |||
| Cor Total | 4958.27 | 42 | ||||
| Standard deviation | 2.80 | R2 | 0.9413 | |||
| Mean | 61.07 | Adjusted R2 | 0.9334 | |||
| C.V.% | 4.59 | Predicted R2 | 0.9195 | |||
| Adequate precision | 41.62 |
| Source | Sum of Squares | df | Mean Square | F-Value | p-Value | |
|---|---|---|---|---|---|---|
| Model | 13,152.38 | 20 | 657.62 | 92.08 | <0.0001 | significant |
| A-Agitation speed | 224.05 | 1 | 224.05 | 31.37 | <0.0001 | |
| B-CRL concentration | 3866.35 | 1 | 3866.35 | 541.38 | <0.0001 | |
| C-Temperature | 17.24 | 1 | 17.24 | 2.41 | 0.1345 | |
| D-Time | 12.54 | 1 | 12.54 | 1.76 | 0.1987 | |
| E-Weight of beads | 1037.16 | 1 | 1037.16 | 145.23 | <0.0001 | |
| AB | 147.14 | 1 | 147.14 | 20.60 | 0.0002 | |
| AC | 373.43 | 1 | 373.43 | 52.29 | <0.0001 | |
| AD | 521.23 | 1 | 521.23 | 72.99 | <0.0001 | |
| AE | 9.43 | 1 | 9.43 | 1.32 | 0.2629 | |
| BC | 49.98 | 1 | 49.98 | 7.00 | 0.0148 | |
| BD | 212.80 | 1 | 212.80 | 29.80 | <0.0001 | |
| BE | 60.07 | 1 | 60.07 | 8.41 | 0.0083 | |
| CD | 132.80 | 1 | 132.80 | 18.59 | 0.0003 | |
| CE | 17.03 | 1 | 17.03 | 2.38 | 0.1368 | |
| DE | 133.28 | 1 | 133.28 | 18.66 | 0.0003 | |
| A2 | 2585.85 | 1 | 2585.85 | 362.08 | <0.0001 | |
| B2 | 748.26 | 1 | 748.26 | 104.77 | <0.0001 | |
| C2 | 4647.83 | 1 | 4647.83 | 650.81 | <0.0001 | |
| D2 | 3236.97 | 1 | 3236.97 | 453.26 | <0.0001 | |
| E2 | 587.10 | 1 | 587.10 | 82.21 | <0.0001 | |
| Residual | 157.12 | 22 | 7.14 | |||
| Lack of Fit | 153.47 | 20 | 7.67 | 4.22 | 0.2090 | not significant |
| Pure Error | 3.64 | 2 | 1.82 | |||
| Cor Total | 13,309.49 | 42 | ||||
| Std. Dev. | 2.67 | R2 | 0.9882 | |||
| Mean | 40.46 | Adjusted R2 | 0.9775 | |||
| C.V.% | 6.61 | Predicted R2 | 0.9533 | |||
| Adequate Precision | 36.7178 |
| (a) Activity Recovery | ||||||||
|---|---|---|---|---|---|---|---|---|
| Agitation Speed (rpm) | CRL Concentration (g/L) | Temperature (°C) | Time (Hour) | Weight of MgO-Al2O3 Beads (g) | Activity Recovery (%) | Immobilization Efficiency (%) | ||
| Predicted Value | Experimental Value | Predicted Value | Experimental Value | |||||
| 147.20 | 3.83 | 20.63 | 5.98 | 2.44 | 88.9 | 85.7 | 16.2 | 17.9 |
| (b) Immobilization efficiency | ||||||||
| 97.96 | 1.41 | 28.06 | 4.13 | 2.36 | 53.7 | 53.5 | 82.3 | 80.0 |
| (c) Activity recovery and immobilization efficiency | ||||||||
| 121.527 | 2.845 | 26.964 | 4.076 | 2.690 | 71.8 | 70.6 | 65.1 | 63.2 |
| Sample | Concentration of Mg (mg/L) |
|---|---|
| Al2O3 | 0.10 |
| MgO-Al2O3 | 0.96 |
| CRL/MgO-Al2O3 | 1.05 |
| Sample | BET Surface Area (m2/g) | Total Pore Volume (cm³/g) | Pore Size BJH (Å) | IEP |
|---|---|---|---|---|
| Al2O3 | 275.69 | 0.40 | 60.53 | 3.71 |
| MgO-Al2O3 | 301.44 | 0.41 | 57.13 | 8.10 |
| CRL/MgO-Al2O3 | 246.88 | 0.38 | 61.53 | NA |
| Catalyst | Biodiesel Yield (%) | Mass Conversion (%) |
|---|---|---|
| Free CRL | 48.10 | 86.00 |
| MgO-Al2O3 | 23.00 | 80.90 |
| CRL/MgO-Al2O3 | 59.91 | 90.90 |
Publisher’s Note: MDPI stays neutral with regard to jurisdictional claims in published maps and institutional affiliations. |
© 2022 by the authors. Licensee MDPI, Basel, Switzerland. This article is an open access article distributed under the terms and conditions of the Creative Commons Attribution (CC BY) license (https://creativecommons.org/licenses/by/4.0/).
Share and Cite
Ramlee, N.N.; Md Illias, R.; A. Rahman, R.; Toemen, S.; Selvasembian, R.; Ahmad, R.A.; Abdul Manas, N.H.; Wan Azelee, N.I. Biochemical and Physical Characterization of Immobilized Candida rugosa Lipase on Metal Oxide Hybrid Support. Catalysts 2022, 12, 854. https://doi.org/10.3390/catal12080854
Ramlee NN, Md Illias R, A. Rahman R, Toemen S, Selvasembian R, Ahmad RA, Abdul Manas NH, Wan Azelee NI. Biochemical and Physical Characterization of Immobilized Candida rugosa Lipase on Metal Oxide Hybrid Support. Catalysts. 2022; 12(8):854. https://doi.org/10.3390/catal12080854
Chicago/Turabian StyleRamlee, Nurfadhila Nasya, Rosli Md Illias, Roshanida A. Rahman, Susilawati Toemen, Rangabhashiyam Selvasembian, Rabi’atul Adawiyah Ahmad, Nor Hasmaliana Abdul Manas, and Nur Izyan Wan Azelee. 2022. "Biochemical and Physical Characterization of Immobilized Candida rugosa Lipase on Metal Oxide Hybrid Support" Catalysts 12, no. 8: 854. https://doi.org/10.3390/catal12080854
APA StyleRamlee, N. N., Md Illias, R., A. Rahman, R., Toemen, S., Selvasembian, R., Ahmad, R. A., Abdul Manas, N. H., & Wan Azelee, N. I. (2022). Biochemical and Physical Characterization of Immobilized Candida rugosa Lipase on Metal Oxide Hybrid Support. Catalysts, 12(8), 854. https://doi.org/10.3390/catal12080854

