Sugarcane Bagasse Ash as a Catalyst Support for Facile and Highly Scalable Preparation of Magnetic Fenton Catalysts for Ultra-Highly Efficient Removal of Tetracycline
Abstract
:1. Introduction
2. Results and Discussion
2.1. Optimization of the Preparation Conditions
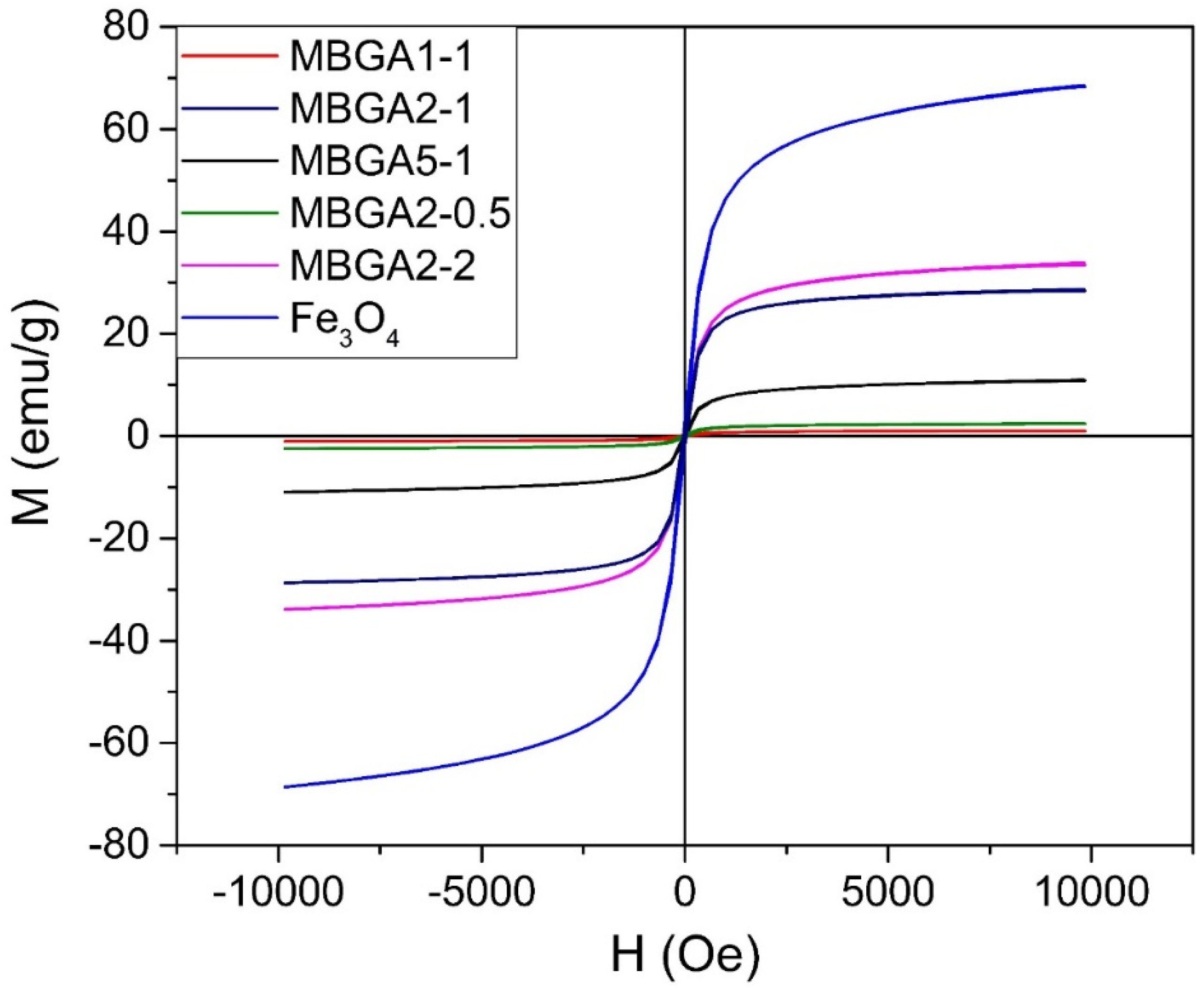
2.2. Characterization of MBGA2-0.5, MBGA2-1, and MBGA2-2
2.3. Preliminary Catalytic Heterogeneous Fenton Reaction Test of Magnetic Sugarcane Bagasse Ash
2.4. Catalytic Degradation of TC by MBGA2-1: Effect of pH
2.5. Catalytic Degradation of TC by MBGA2-1: Effect of H2O2 Concentration
2.6. Catalytic Degradation of TC by MBGA2-1: Effect of Scavenger and Its Mechanism
2.7. Catalytic Degradation of TC by MBGA2-1: Effect of TC Concentration
2.8. The Regeneration of MBGA2-1
2.9. Comparison Studies
3. Experimental Section
3.1. Materials
3.2. Characterization of Samples
3.3. Preparation of Magnetic Fe3O4@ash Composite
3.4. Experimental Procedure
4. Conclusions
Supplementary Materials
Author Contributions
Funding
Data Availability Statement
Acknowledgments
Conflicts of Interest
References
- Wang, J.; Zhuan, R. Degradation of antibiotics by advanced oxidation processes: An overview. Sci. Total Environ. 2020, 701, 135023. [Google Scholar] [CrossRef] [PubMed]
- Zhang, Y.; Shi, J.; Xu, Z.; Chen, Y.; Song, D. Degradation of tetracycline in a schorl/H2O2 system: Proposed mechanism and intermediates. Chemosphere 2018, 202, 661–668. [Google Scholar] [CrossRef] [PubMed]
- Xiang, Y.; Huang, Y.; Xiao, B.; Wu, X.; Zhang, G. Magnetic yolk-shell structure of ZnFe2O4 nanoparticles for enhanced visible light photo-Fenton degradation towards antibiotics and mechanism study. Appl. Surf. Sci. 2020, 513, 145820. [Google Scholar] [CrossRef]
- Dutta, J.; Mala, A.A. Removal of antibiotic from the water environment by the adsorption technologies: A review. Water Sci. Technol. 2020, 82, 401–426. [Google Scholar] [CrossRef] [PubMed]
- Priya, S.S.; Radha, K.V. A Review on the Adsorption Studies of Tetracycline onto Various Types of Adsorbents. Chem. Eng. Commun. 2017, 204, 821–839. [Google Scholar] [CrossRef]
- Krasucka, P.; Pan, B.; Ok, Y.S.; Mohan, D.; Sarkar, B.; Oleszczuk, P. Engineered biochar—A sustainable solution for the removal of antibiotics from water. Chem. Eng. J. 2021, 405, 126926. [Google Scholar] [CrossRef]
- Choi, K.-J.; Kim, S.-G.; Kim, S.-H. Removal of antibiotics by coagulation and granular activated carbon filtration. J. Hazard. Mater. 2008, 151, 38–43. [Google Scholar] [CrossRef]
- Saitoh, T.; Shibata, K.; Fujimori, K.; Ohtani, Y. Rapid removal of tetracycline antibiotics from water by coagulation-flotation of sodium dodecyl sulfate and poly(allylamine hydrochloride) in the presence of Al(III) ions. Sep. Purif. Technol. 2017, 187, 76–83. [Google Scholar] [CrossRef]
- Munoz, M.; de Pedro, Z.M.; Casas, J.A.; Rodriguez, J.J. Preparation of magnetite-based catalysts and their application in heterogeneous Fenton oxidation—A review. Appl. Catal. B Environ. 2015, 176–177, 249–265. [Google Scholar] [CrossRef] [Green Version]
- Wang, N.; Zheng, T.; Zhang, G.; Wang, P. A review on Fenton-like processes for organic wastewater treatment. J. Environ. Chem. Eng. 2016, 4, 762–787. [Google Scholar] [CrossRef] [Green Version]
- Ameta, R.; Chohadia, A.K.; Jain, A.; Punjabi, P.B. Fenton and Photo-Fenton Processes. In Advanced Oxidation Processes for Waste Water Treatment; Chapter 3; Ameta, S.C., Ameta, R., Eds.; Academic Press: Cambridge, MA, USA, 2018; pp. 49–87. [Google Scholar]
- Martínez, F.; Molina, R.; Rodríguez, I.; Pariente, M.I.; Segura, Y.; Melero, J.A. Techno-Economical assessment of coupling Fenton/biological processes for the treatment of a pharmaceutical wastewater. J. Environ. Chem. Eng. 2018, 6, 485–494. [Google Scholar] [CrossRef]
- Li, X.; Cui, K.; Guo, Z.; Yang, T.; Cao, Y.; Xiang, Y.; Chen, H.; Xi, M. Heterogeneous Fenton-like degradation of tetracyclines using porous magnetic chitosan microspheres as an efficient catalyst compared with two preparation methods. Chem. Eng. J. 2020, 379, 122324. [Google Scholar] [CrossRef]
- Lian, J.; Ouyang, Q.; Tsang, P.E.; Fang, Z. Fenton-like catalytic degradation of tetracycline by magnetic palygorskite nanoparticles prepared from steel pickling waste liquor. Appl. Clay Sci. 2019, 182, 105273. [Google Scholar] [CrossRef]
- Nie, M.; Li, Y.; He, J.; Xie, C.; Wu, Z.; Sun, B.; Zhang, K.; Kong, L.; Liu, J. Degradation of tetracycline in water using Fe3O4 nanospheres as Fenton-like catalysts: Kinetics, mechanisms and pathways. New J. Chem. 2020, 44, 2847–2857. [Google Scholar] [CrossRef]
- Du, D.; Shi, W.; Wang, L.; Zhang, J. Yolk-Shell structured Fe3O4@void@TiO2 as a photo-Fenton-like catalyst for the extremely efficient elimination of tetracycline. Appl. Catal. B Environ. 2017, 200, 484–492. [Google Scholar] [CrossRef]
- Xu, J.; Liu, Z.; Zhao, D.; Gao, N.; Fu, X. Enhanced adsorption of perfluorooctanoic acid (PFOA) from water by granular activated carbon supported magnetite nanoparticles. Sci. Total Environ. 2020, 723, 137757. [Google Scholar] [CrossRef]
- Du, C.; Song, Y.; Shi, S.; Jiang, B.; Yang, J.; Xiao, S. Preparation and characterization of a novel Fe3O4-graphene-biochar composite for crystal violet adsorption. Sci. Total Environ. 2020, 711, 134662. [Google Scholar] [CrossRef]
- Li, Y.; Zimmerman, A.R.; He, F.; Chen, J.; Han, L.; Chen, H.; Hu, X.; Gao, B. Solvent-Free synthesis of magnetic biochar and activated carbon through ball-mill extrusion with Fe3O4 nanoparticles for enhancing adsorption of methylene blue. Sci. Total Environ. 2020, 722, 137972. [Google Scholar] [CrossRef]
- Qu, L.; Han, T.; Luo, Z.; Liu, C.; Mei, Y.; Zhu, T. One-Step fabricated Fe3O4@C core–shell composites for dye removal: Kinetics, equilibrium and thermodynamics. J. Phys. Chem. Solids 2015, 78, 20–27. [Google Scholar] [CrossRef]
- Ai, L.; Zhang, C.; Liao, F.; Wang, Y.; Li, M.; Meng, L.; Jiang, J. Removal of methylene blue from aqueous solution with magnetite loaded multi-wall carbon nanotube: Kinetic, isotherm and mechanism analysis. J. Hazard. Mater. 2011, 198, 282–290. [Google Scholar] [CrossRef]
- Dong, Y.; Cui, X.; Lu, X.; Jian, X.; Xu, Q.; Tan, C. Enhanced degradation of sulfadiazine by novel β-alaninediacetic acid-modified Fe3O4 nanocomposite coupled with peroxymonosulfate. Sci. Total Environ. 2019, 662, 490–500. [Google Scholar] [CrossRef] [PubMed]
- Ma, M.; Hou, P.; Zhang, P.; Cao, J.; Liu, H.; Yue, H.; Tian, G.; Feng, S. Magnetic Fe3O4 nanoparticles as easily separable catalysts for efficient catalytic transfer hydrogenation of biomass-derived furfural to furfuryl alcohol. Appl. Catal. A Gen. 2020, 602, 117709. [Google Scholar] [CrossRef]
- Ma, C.; Jia, S.; Yuan, P.; He, Z. Catalytic ozonation of 2,2′-methylenebis (4-methyl-6-tert-butylphenol) over nano-Fe3O4@cow dung ash composites: Optimization, toxicity, and degradation mechanisms. Environ. Pollut. 2020, 265, 114597. [Google Scholar] [CrossRef] [PubMed]
- Yu, X.; Lin, X.; Li, W.; Feng, W. Effective Removal of Tetracycline by Using Biochar Supported Fe3O4 as a UV-Fenton Catalyst. Chem. Res. Chin. Univ. 2019, 35, 79–84. [Google Scholar] [CrossRef]
- Plakas, K.V.; Mantza, A.; Sklari, S.D.; Zaspalis, V.T.; Karabelas, A.J. Heterogeneous Fenton-like oxidation of pharmaceutical diclofenac by a catalytic iron-oxide ceramic microfiltration membrane. Chem. Eng. J. 2019, 373, 700–708. [Google Scholar] [CrossRef]
- Poza-Nogueiras, V.; Rosales, E.; Pazos, M.; Sanromán, M.Á. Current advances and trends in electro-Fenton process using heterogeneous catalysts—A review. Chemosphere 2018, 201, 399–416. [Google Scholar] [CrossRef]
- Xu, L.; Wang, J. Magnetic Nanoscaled Fe3O4/CeO2 Composite as an Efficient Fenton-Like Heterogeneous Catalyst for Degradation of 4-Chlorophenol. Environ. Sci. Technol. 2012, 46, 10145–10153. [Google Scholar] [CrossRef]
- Do, Q.C.; Kim, D.-G.; Ko, S.-O. Catalytic activity enhancement of a Fe3O4@SiO2 yolk-shell structure for oxidative degradation of acetaminophen by decoration with copper. J. Clean. Prod. 2018, 172, 1243–1253. [Google Scholar] [CrossRef]
- Fatimah, I.; Amaliah, S.N.; Andrian, M.F.; Handayani, T.P.; Nurillahi, R.; Prakoso, N.I.; Wicaksono, W.P.; Chuenchom, L. Iron oxide nanoparticles supported on biogenic silica derived from bamboo leaf ash for rhodamine B photodegradation. Sustain. Chem. Pharm. 2019, 13, 100149. [Google Scholar] [CrossRef]
- Chen, W.-H.; Huang, J.-R.; Lin, C.-H.; Huang, C.-P. Catalytic degradation of chlorpheniramine over GO-Fe3O4 in the presence of H2O2 in water: The synergistic effect of adsorption. Sci. Total Environ. 2020, 736, 139468. [Google Scholar] [CrossRef]
- Hu, X.; Liu, B.; Deng, Y.; Chen, H.; Luo, S.; Sun, C.; Yang, P.; Yang, S. Adsorption and heterogeneous Fenton degradation of 17α-methyltestosterone on nano Fe3O4/MWCNTs in aqueous solution. Appl. Catal. B Environ. 2011, 107, 274–283. [Google Scholar] [CrossRef]
- Yoo, S.H.; Jang, D.; Joh, H.-I.; Lee, S. Iron oxide/porous carbon as a heterogeneous Fenton catalyst for fast decomposition of hydrogen peroxide and efficient removal of methylene blue. J. Mater. Chem. A 2017, 5, 748–755. [Google Scholar] [CrossRef]
- Yang, Y.; Zhang, X.; Chen, Q.; Li, S.; Chai, H.; Huang, Y. Ultrasound-Assisted Removal of Tetracycline by a Fe/N–C Hybrids/H2O2 Fenton-like System. ACS Omega 2018, 3, 15870–15878. [Google Scholar] [CrossRef] [PubMed] [Green Version]
- Wang, X.; Xie, Y.; Ma, J.; Ning, P. Facile assembly of novel g-C3N4@expanded graphite and surface loading of nano zero-valent iron for enhanced synergistic degradation of tetracycline. RSC Adv. 2019, 9, 34658–34670. [Google Scholar] [CrossRef] [Green Version]
- Wu, Q.; Yang, H.; Kang, L.; Gao, Z.; Ren, F. Fe-Based metal-organic frameworks as Fenton-like catalysts for highly efficient degradation of tetracycline hydrochloride over a wide pH range: Acceleration of Fe(II)/Fe(III) cycle under visible light irradiation. Appl. Catal. B Environ. 2020, 263, 118282. [Google Scholar] [CrossRef]
- Ma, S.; Jing, J.; Liu, P.; Li, Z.; Jin, W.; Xie, B.; Zhao, Y. High selectivity and effectiveness for removal of tetracycline and its related drug resistance in food wastewater through schwertmannite/graphene oxide catalyzed photo-Fenton-like oxidation. J. Hazard. Mater. 2020, 392, 122437. [Google Scholar] [CrossRef]
- Khodadadi, M.; Panahi, A.H.; Al-Musawi, T.J.; Ehrampoush, M.H.; Mahvi, A.H. The catalytic activity of FeNi3@SiO2 magnetic nanoparticles for the degradation of tetracycline in the heterogeneous Fenton-like treatment method. J. Water Process Eng. 2019, 32, 100943. [Google Scholar] [CrossRef]
- To, L.S.; Seebaluck, V.; Leach, M. Future energy transitions for bagasse cogeneration: Lessons from multi-level and policy innovations in Mauritius. Energy Res. Soc. Sci. 2018, 35, 68–77. [Google Scholar] [CrossRef]
- Stanmore, B.R. Generation of Energy from Sugarcane Bagasse by Thermal Treatment. Waste Biomass Valorization 2010, 1, 77–89. [Google Scholar] [CrossRef]
- Wakamura, Y. Utilization of Bagasse Energy in Thailand. Mitig. Adapt. Strateg. Glob. Chang. 2003, 8, 253–260. [Google Scholar] [CrossRef]
- Tonnayopas, D. Green Building Bricks Made with Clays and Sugar Cane Bagasse Ash. In Proceedings of the 11th International Conference on Mining, Materials and Petroleum Engineering, Sinaia, Romania, 17–19 January 2013. [Google Scholar]
- Rattanachueskul, N.; Saning, A.; Kaowphong, S.; Chumha, N.; Chuenchom, L. Magnetic carbon composites with a hierarchical structure for adsorption of tetracycline, prepared from sugarcane bagasse via hydrothermal carbonization coupled with simple heat treatment process. Bioresour. Technol. 2017, 226, 164–172. [Google Scholar] [CrossRef] [PubMed]
- Novais, R.M.; Ascensão, G.; Tobaldi, D.M.; Seabra, M.P.; Labrincha, J.A. Biomass fly ash geopolymer monoliths for effective methylene blue removal from wastewaters. J. Clean. Prod. 2018, 171, 783–794. [Google Scholar] [CrossRef]
- Le Blond, J.S.; Woskie, S.; Horwell, C.J.; Williamson, B.J. Particulate matter produced during commercial sugarcane harvesting and processing: A respiratory health hazard? Atmos. Environ. 2017, 149, 34–46. [Google Scholar] [CrossRef] [Green Version]
- Rodríguez-Díaz, J.; García, J.; Sánchez, L.; Silva, M.; Silva, V.; Arteaga-Pérez, L. Comprehensive Characterization of Sugarcane Bagasse Ash for Its Use as an Adsorbent. Bioenergy Res. 2015, 8, 1885–1895. [Google Scholar] [CrossRef]
- Madurwar, M.; Mandavgane, S.; Ralegaonkar, R. Use of sugarcane bagasse ash as brick material. Curr. Sci. 2014, 117, 1044–1051. [Google Scholar]
- Xu, Q.; Ji, T.; Gao, S.-J.; Yang, Z.; Wu, N. Characteristics and Applications of Sugar Cane Bagasse Ash Waste in Cementitious Materials. Materials 2018, 12, 39. [Google Scholar] [CrossRef] [Green Version]
- Sales, A.; Lima, S.A. Use of Brazilian sugarcane bagasse ash in concrete as sand replacement. Waste Manag. 2010, 30, 1114–1122. [Google Scholar] [CrossRef]
- Webber, C.P., Jr.; Spaunhorst, D.; Petrie, E. Impact of Sugarcane Bagasse Ash as an Amendment on the Physical Properties, Nutrient Content and Seedling Growth of a Certified Organic Greenhouse Growing Media. J. Agric. Sci. 2017, 9, 1. [Google Scholar] [CrossRef] [Green Version]
- Purnomo, C.W.; Respito, A.; Sitanggang, E.P.; Mulyono, P. Slow release fertilizer preparation from sugar cane industrial waste. Environ. Technol. Innov. 2018, 10, 275–280. [Google Scholar] [CrossRef]
- Mane, V.S.; Mall, I.D.; Srivastava, V.C. Use of bagasse fly ash as an adsorbent for the removal of brilliant green dye from aqueous solution. Dyes Pigment. 2007, 73, 269–278. [Google Scholar] [CrossRef]
- Gaikwad, D.R. Low cost Sugarcane Bagasse Ash as an Adsorbent for Dye Removal from Dye Effluent. Int. J. Chem. Eng. Appl. 2010, 1, 309–318. [Google Scholar]
- Mor, S.; Negi, P.; Ravindra, K. Potential of agro-waste sugarcane bagasse ash for the removal of ammoniacal nitrogen from landfill leachate. Environ. Sci. Pollut. Res. 2019, 26, 24516–24531. [Google Scholar] [CrossRef] [PubMed]
- Abdul Mutalib, A.A.; Ibrahim, M.L.; Matmin, J.; Kassim, M.F.; Mastuli, M.S.; Taufiq-Yap, Y.H.; Shohaimi, N.A.M.; Islam, A.; Tan, Y.H.; Kaus, N.H.M. SiO2-Rich Sugar Cane Bagasse Ash Catalyst for Transesterification of Palm Oil. Bioenergy Res. 2020, 13, 986–997. [Google Scholar] [CrossRef]
- Meng, Q.; Xiang, S.; Zhang, K.; Wang, M.; Bu, X.; Xue, P.; Liu, L.; Sun, H.; Yang, B. A facile two-step etching method to fabricate porous hollow silica particles. J. Colloid Interface Sci. 2012, 384, 22–28. [Google Scholar] [CrossRef]
- Park, J.; Han, Y.; Kim, H. Formation of Mesoporous Materials from Silica Dissolved in Various NaOH Concentrations: Effect of pH and Ionic Strength. J. Nanomater. 2012, 2012, 528174. [Google Scholar] [CrossRef]
- Clark, M.W.; Despland, L.M.; Lake, N.J.; Yee, L.H.; Anstoetz, M.; Arif, E.; Parr, J.F.; Doumit, P. High-efficiency cogeneration boiler bagasse-ash geochemistry and mineralogical change effects on the potential reuse in synthetic zeolites, geopolymers, cements, mortars, and concretes. Heliyon 2017, 3, e00294. [Google Scholar] [CrossRef] [Green Version]
- Subramanian, V.; Ordomsky, V.V.; Legras, B.; Cheng, K.; Cordier, C.; Chernavskii, P.A.; Khodakov, A.Y. Design of iron catalysts supported on carbon–silica composites with enhanced catalytic performance in high-temperature Fischer–Tropsch synthesis. Catal. Sci. Technol. 2016, 6, 4953–4961. [Google Scholar] [CrossRef]
- Ma, S.; Gu, J.; Han, Y.; Gao, Y.; Zong, Y.; Ye, Z.; Xue, J. Facile Fabrication of C–TiO2 Nanocomposites with Enhanced Photocatalytic Activity for Degradation of Tetracycline. ACS Omega 2019, 4, 21063–21071. [Google Scholar] [CrossRef] [Green Version]
- Zhu, X.; Qian, F.; Liu, Y.; Matera, D.; Wu, G.; Zhang, S.; Chen, J. Controllable synthesis of magnetic carbon composites with high porosity and strong acid resistance from hydrochar for efficient removal of organic pollutants: An overlooked influence. Carbon 2016, 99, 338–347. [Google Scholar] [CrossRef]
- Mohan, D.; Sarswat, A.; Singh, V.K.; Alexandre-Franco, M.; Pittman, C.U. Development of magnetic activated carbon from almond shells for trinitrophenol removal from water. Chem. Eng. J. 2011, 172, 1111–1125. [Google Scholar] [CrossRef]
- Pompe, C.E.; Slagter, M.; de Jongh, P.E.; de Jong, K.P. Impact of heterogeneities in silica-supported copper catalysts on their stability for methanol synthesis. J. Catal. 2018, 365, 1–9. [Google Scholar] [CrossRef]
- Lai, C.; Huang, F.; Zeng, G.; Huang, D.; Qin, L.; Cheng, M.; Zhang, C.; Li, B.; Yi, H.; Liu, S.; et al. Fabrication of novel magnetic MnFe2O4/bio-char composite and heterogeneous photo-Fenton degradation of tetracycline in near neutral pH. Chemosphere 2019, 224, 910–921. [Google Scholar] [CrossRef] [PubMed]
- Ma, X.; Cheng, Y.; Ge, Y.; Wu, H.; Li, Q.; Gao, N.; Deng, J. Ultrasound-enhanced nanosized zero-valent copper activation of hydrogen peroxide for the degradation of norfloxacin. Ultrason. Sonochem. 2018, 40, 763–772. [Google Scholar] [CrossRef] [PubMed]
- Hou, L.; Wang, L.; Royer, S.; Zhang, H. Ultrasound-assisted heterogeneous Fenton-like degradation of tetracycline over a magnetite catalyst. J. Hazard. Mater. 2016, 302, 458–467. [Google Scholar] [CrossRef]
- Gan, Q.; Hou, H.; Liang, S.; Qiu, J.; Tao, S.; Yang, L.; Yu, W.; Xiao, K.; Liu, B.; Hu, J.; et al. Sludge-Derived biochar with multivalent iron as an efficient Fenton catalyst for degradation of 4-Chlorophenol. Sci. Total Environ. 2020, 725, 138299. [Google Scholar] [CrossRef]
- Tang, J.; Wang, J. Fenton-like degradation of sulfamethoxazole using Fe-based magnetic nanoparticles embedded into mesoporous carbon hybrid as an efficient catalyst. Chem. Eng. J. 2018, 351, 1085–1094. [Google Scholar] [CrossRef]
- Nitoi, I.; Oancea, P.; Constantin, L.A.; Raileanu, M.; Crisan, M.; Cristea, I.; Cosma, C. Relationship between structure of some nitroaromatic pollutants and their degradation kinetic parameters in UV-VIS./TiO2 system. J. Environ. Prot. Ecol. 2016, 17, 315–322. [Google Scholar]
- Wang, X.; Zhuang, Y.; Zhang, J.; Song, L.; Shi, B. Pollutant degradation behaviors in a heterogeneous Fenton system through Fe/S-doped aerogel. Sci. Total Environ. 2020, 714, 136436. [Google Scholar] [CrossRef]
- Qiu, Y.; Xu, X.; Xu, Z.; Liang, J.; Yu, Y.; Cao, X. Contribution of different iron species in the iron-biochar composites to sorption and degradation of two dyes with varying properties. Chem. Eng. J. 2020, 389, 124471. [Google Scholar] [CrossRef]
- Javid, A.; Mesdaghinia, A.; Nasseri, S.; Mahvi, A.H.; Alimohammadi, M.; Gharibi, H. Assessment of tetracycline contamination in surface and groundwater resources proximal to animal farming houses in Tehran, Iran. J. Environ. Health Sci. Eng. 2016, 14, 4. [Google Scholar] [CrossRef] [Green Version]
- Sayğılı, H.; Güzel, F. Effective removal of tetracycline from aqueous solution using activated carbon prepared from tomato (Lycopersicon esculentum Mill.) industrial processing waste. Ecotoxicol. Environ. Saf. 2016, 131, 22–29. [Google Scholar] [CrossRef] [PubMed]
- Chen, Z.; Mu, D.; Chen, F.; Tan, N. NiFe2O4@ nitrogen-doped carbon hollow spheres with highly efficient and recyclable adsorption of tetracycline. RSC Adv. 2019, 9, 10445–10453. [Google Scholar] [CrossRef] [Green Version]
- Chang, P.H.; Li, Z.; Jean, J.S.; Jiang, W.T.; Wu, Q.; Kuo, C.Y.; Kraus, J. Desorption of tetracycline from montmorillonite by aluminum, calcium, and sodium: An indication of intercalation stability. Int. J. Environ. Sci. Technol. 2014, 11, 633–644. [Google Scholar] [CrossRef] [Green Version]







| Sample | NaOH (M) | Ratio of Fe3O4/BGA | Overall Yield (%) | Ms (emu/g) | %C (wt%) | pHPZC | SBET (m2/g) |
|---|---|---|---|---|---|---|---|
| BGA | - | - | - | - | 11.68 | 2.62 | 55.2817 |
| Fe3O4 | 5 | - | 53.93 ± 3.41 | 68.603 | 0.14 | 3.98 | 62.0286 |
| MBGA2-0.5 | 2 | 1:2 | 26.37 ± 4.69 | 2.4508 | 7.45 | 3.62 | 85.4644 |
| MBGA2-1 | 2 | 1:1 | 68.67 ± 5.49 | 28.705 | 5.53 | 4.14 | 96.0017 |
| MBGA2-2 | 2 | 2:1 | 79.94 ± 3.91 | 33.878 | 3.44 | 4.32 | 60.0747 |
| MBGA1-1 | 1 | 1:1 | 19.42 ± 2.54 | 1.0193 | 6.12 | - | - |
| MBGA5-1 | 5 | 1:1 | 6.15 ± 2.82 | 10.943 | 5.81 | - | - |
Publisher’s Note: MDPI stays neutral with regard to jurisdictional claims in published maps and institutional affiliations. |
© 2022 by the authors. Licensee MDPI, Basel, Switzerland. This article is an open access article distributed under the terms and conditions of the Creative Commons Attribution (CC BY) license (https://creativecommons.org/licenses/by/4.0/).
Share and Cite
Rattanachueskul, N.; Dokkathin, O.; Dechtrirat, D.; Panpranot, J.; Watcharin, W.; Kaowphong, S.; Chuenchom, L. Sugarcane Bagasse Ash as a Catalyst Support for Facile and Highly Scalable Preparation of Magnetic Fenton Catalysts for Ultra-Highly Efficient Removal of Tetracycline. Catalysts 2022, 12, 446. https://doi.org/10.3390/catal12040446
Rattanachueskul N, Dokkathin O, Dechtrirat D, Panpranot J, Watcharin W, Kaowphong S, Chuenchom L. Sugarcane Bagasse Ash as a Catalyst Support for Facile and Highly Scalable Preparation of Magnetic Fenton Catalysts for Ultra-Highly Efficient Removal of Tetracycline. Catalysts. 2022; 12(4):446. https://doi.org/10.3390/catal12040446
Chicago/Turabian StyleRattanachueskul, Natthanan, Oraya Dokkathin, Decha Dechtrirat, Joongjai Panpranot, Waralee Watcharin, Sulawan Kaowphong, and Laemthong Chuenchom. 2022. "Sugarcane Bagasse Ash as a Catalyst Support for Facile and Highly Scalable Preparation of Magnetic Fenton Catalysts for Ultra-Highly Efficient Removal of Tetracycline" Catalysts 12, no. 4: 446. https://doi.org/10.3390/catal12040446
APA StyleRattanachueskul, N., Dokkathin, O., Dechtrirat, D., Panpranot, J., Watcharin, W., Kaowphong, S., & Chuenchom, L. (2022). Sugarcane Bagasse Ash as a Catalyst Support for Facile and Highly Scalable Preparation of Magnetic Fenton Catalysts for Ultra-Highly Efficient Removal of Tetracycline. Catalysts, 12(4), 446. https://doi.org/10.3390/catal12040446

