Synthesis and Use of Silica Xerogels Doped with Iron as a Photocatalyst to Pharmaceuticals Degradation in Water
Abstract
1. Introduction
2. Results and Discussion
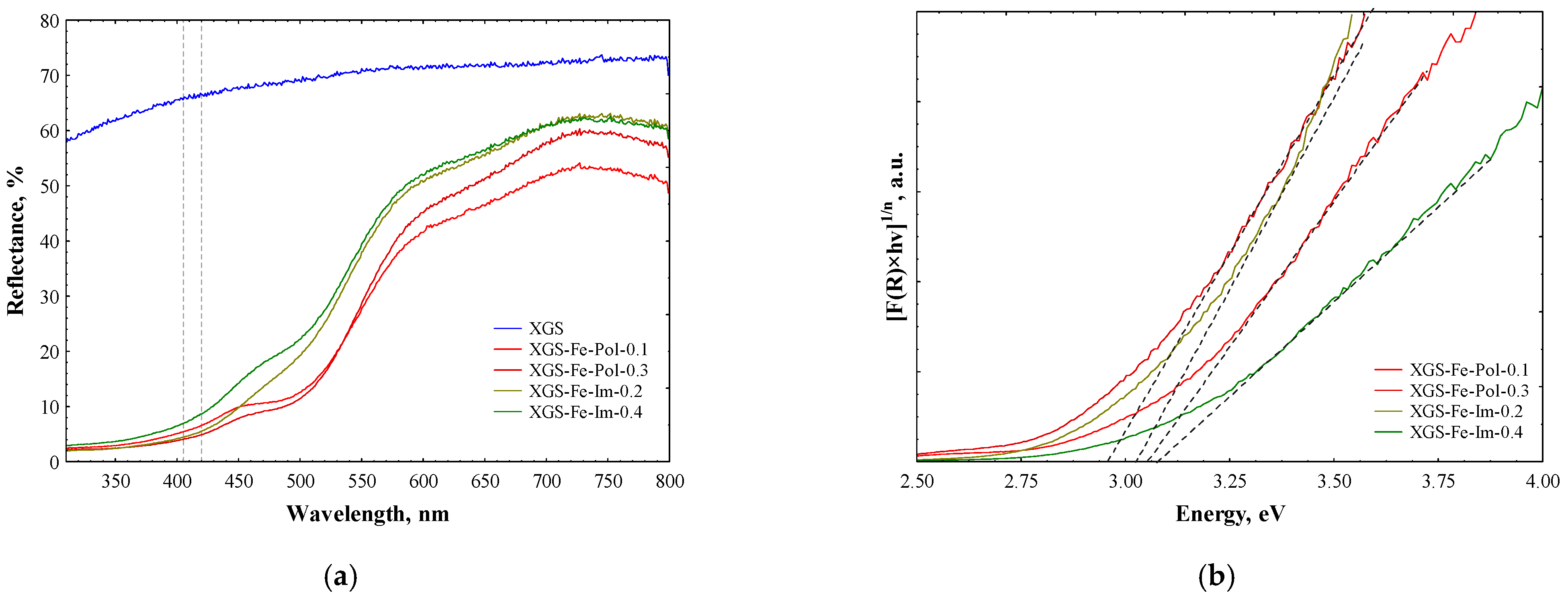
2.1. XGS Characterization
2.2. CPM Degradation
2.3. RNT and CIP Degradation
3. Materials and Methods
3.1. Reactants
3.2. Photocatalysts Synthesis
3.3. Photocatalyst Characterization
3.4. Pharmaceuticals Degradation Tests
3.5. Kinetic Models
4. Conclusions
Supplementary Materials
Author Contributions
Funding
Data Availability Statement
Conflicts of Interest
References
- aus der Beek, T.; Weber, F.-A.A.; Bergmann, A.; Hickmann, S.; Ebert, I.; Hein, A.; Küster, A. Pharmaceuticals in the Environment-Global Occurrences and Perspectives. Environ. Toxicol. Chem. 2016, 35, 823–835. [Google Scholar] [CrossRef] [PubMed]
- Alfonso-Muniozguren, P.; Serna-Galvis, E.A.; Bussemaker, M.; Torres-Palma, R.A.; Lee, J. A Review on Pharmaceuticals Removal from Waters by Single and Combined Biological, Membrane Filtration and Ultrasound Systems. Ultrason. Sonochem. 2021, 76, 105656. [Google Scholar] [CrossRef] [PubMed]
- Patel, M.; Kumar, R.; Kishor, K.; Mlsna, T.; Pittman, C.U.; Mohan, D. Pharmaceuticals of Emerging Concern in Aquatic Systems: Chemistry, Occurrence, Effects, and Removal Methods. Chem. Rev. 2019, 119, 3510–3673. [Google Scholar] [CrossRef] [PubMed]
- Dey, S.; Bano, F.; Malik, A. Pharmaceuticals and Personal Care Product (PPCP) Contamination—A Global Discharge Inventory. In Pharmaceuticals and Personal Care Products: Waste Management and Treatment Technology; Elsevier: Amsterdam, The Netherlands, 2019; pp. 1–26. ISBN 9780128161890. [Google Scholar]
- Tenorio-Chávez, P.; Cerro-López, M.; Castro-Pastrana, L.I.; Ramírez-Rodrigues, M.M.; Orozco-Hernández, J.M.; Gómez-Oliván, L.M. Effects of Effluent from a Hospital in Mexico on the Embryonic Development of Zebrafish, Danio Rerio. Sci. Total Environ. 2020, 727, 138716. [Google Scholar] [CrossRef] [PubMed]
- Kostich, M.S.; Flick, R.W.; Batt, A.L.; Mash, H.E.; Boone, J.S.; Furlong, E.T.; Kolpin, D.W.; Glassmeyer, S.T. Aquatic Concentrations of Chemical Analytes Compared to Ecotoxicity Estimates. Sci. Total Environ. 2017, 579, 1649–1657. [Google Scholar] [CrossRef] [PubMed]
- Berezina, N.A.; Sharov, A.N.; Chernova, E.N.; Malysheva, O.A. Effects of Diclofenac on the Reproductive Health, Respiratory Rate, Cardiac Activity, and Heat Tolerance of Aquatic Animals. Environ. Toxicol. Chem. 2022, 41, 677–686. [Google Scholar] [CrossRef]
- García-Reyes, C.B.; Salazar-Rábago, J.J.; Sánchez-Polo, M.; Loredo-Cancino, M.; Leyva-Ramos, R. Ciprofloxacin, Ranitidine, and Chlorphenamine Removal from Aqueous Solution by Adsorption. Mechanistic and Regeneration Analysis. Environ. Technol. Innov. 2021, 24, 102060. [Google Scholar] [CrossRef]
- Ávila, C.; García-Galán, M.J.; Uggetti, E.; Montemurro, N.; García-Vara, M.; Pérez, S.; García, J.; Postigo, C. Boosting Pharmaceutical Removal through Aeration in Constructed Wetlands. J. Hazard. Mater. 2021, 412, 125231. [Google Scholar] [CrossRef]
- Jain, M.; Mudhoo, A.; Ramasamy, D.L.; Najafi, M.; Usman, M.; Zhu, R.; Kumar, G.; Shobana, S.; Garg, V.K.; Sillanpää, M. Adsorption, Degradation, and Mineralization of Emerging Pollutants (Pharmaceuticals and Agrochemicals) by Nanostructures: A Comprehensive Review. Environ. Sci. Pollut. Res. 2020, 27, 34862–34905. [Google Scholar] [CrossRef]
- Chen, W.-H.; Wong, Y.-T.; Huang, T.-H.; Chen, W.-H.; Lin, J.-G. Removals of Pharmaceuticals in Municipal Wastewater Using a Staged Anaerobic Fluidized Membrane Bioreactor. Int. Biodeterior. Biodegrad. 2019, 140, 29–36. [Google Scholar] [CrossRef]
- Khan, A.H.; Khan, N.A.; Ahmed, S.; Dhingra, A.; Singh, C.P.; Khan, S.U.; Mohammadi, A.A.; Changani, F.; Yousefi, M.; Alam, S.; et al. Application of Advanced Oxidation Processes Followed by Different Treatment Technologies for Hospital Wastewater Treatment. J. Clean. Prod. 2020, 269, 122411. [Google Scholar] [CrossRef]
- Mirzaei, A.; Chen, Z.; Haghighat, F.; Yerushalmi, L. Removal of Pharmaceuticals and Endocrine Disrupting Compounds from Water by Zinc Oxide-Based Photocatalytic Degradation: A Review. Sustain. Cities Soc. 2016, 27, 407–418. [Google Scholar] [CrossRef]
- Acosta-Rangel, A.; Sánchez-Polo, M.; Polo, A.M.S.; Rivera-Utrilla, J.; Berber-Mendoza, M.S. Tinidazole Degradation Assisted by Solar Radiation and Iron-Doped Silica Xerogels. Chem. Eng. J. 2018, 344, 21–33. [Google Scholar] [CrossRef]
- el mehdi Benacherine, M.; Debbache, N.; Ghoul, I.; Mameri, Y. Heterogeneous Photoinduced Degradation of Amoxicillin by Goethite under Artificial and Natural Irradiation. J. Photochem. Photobiol. A Chem. 2017, 335, 70–77. [Google Scholar] [CrossRef]
- Velo-Gala, I.; López-Peñalver, J.J.; Sánchez-Polo, M.; Rivera-Utrilla, J. Comparative Study of Oxidative Degradation of Sodium Diatrizoate in Aqueous Solution by H2O2/Fe2+, H2O2/Fe3+, Fe (VI) and UV, H2O2/UV, K2S2O8/UV. Chem. Eng. J. 2014, 241, 504–512. [Google Scholar] [CrossRef]
- Shi, L.; Yang, L.; Zhang, H.; Chang, K.; Zhao, G.; Kako, T.; Ye, J. Implantation of Iron(III) in Porphyrinic Metal Organic Frameworks for Highly Improved Photocatalytic Performance. Appl. Catal. B Environ. 2018, 224, 60–68. [Google Scholar] [CrossRef]
- Shelton, T.L.; Bensema, B.L.; Brune, N.K.; Wong, C.; Yeh, M.; Osterloh, F.E. Photocatalytic Water Oxidation with Iron Oxide Hydroxide (Rust) Nanoparticles. J. Photonics Energy 2016, 7, 012003. [Google Scholar] [CrossRef]
- Andrade-Espinosa, G.; Escobar-Barrios, V.; Rangel-Mendez, R. Synthesis and Characterization of Silica Xerogels Obtained via Fast Sol–Gel Process. Colloid Polym. Sci. 2010, 288, 1697–1704. [Google Scholar] [CrossRef]
- Çok, S.S.; Koç, F.; Balkan, F.; Gizli, N. Exploring a New Preparation Pathway for the Synthesis of Silica Based Xerogels as Crack-Free Monoliths. Ceram. Int. 2019, 45, 1616–1626. [Google Scholar] [CrossRef]
- Hernández-Campos, M.; Polo, A.M.S.; Sánchez-Polo, M.; Rivera-Utrilla, J.; Berber-Mendoza, M.S.; Andrade-Espinosa, G.; López-Ramón, M.V. Lanthanum-Doped Silica Xerogels for the Removal of Fluorides from Waters. J. Environ. Manag. 2018, 213, 549–554. [Google Scholar] [CrossRef]
- Wang, R.; Ng, D.H.L.; Liu, S. Recovery of Nickel Ions from Wastewater by Precipitation Approach Using Silica Xerogel. J. Hazard. Mater. 2019, 380, 120826. [Google Scholar] [CrossRef] [PubMed]
- Morosanova, M.A.; Chaikun, K.V.; Morosanova, E.I. Silica and Silica–Titania Xerogels Doped with Iron(III) for Total Antioxidant Capacity Determination. Materials 2021, 14, 2019. [Google Scholar] [CrossRef] [PubMed]
- Rebbouh, L.; Rosso, V.; Renotte, Y.; Lion, Y.; Grandjean, F.; Heinrichs, B.; Pirard, J.P.; Delwiche, J.; Hubin-Franskin, M.J.; Long, G.J. The Nonlinear Optical, Magnetic, and Mössbauer Spectral Properties of Some Iron(III) Doped Silica Xerogels. J. Mater. Sci. 2006, 41, 2839–2849. [Google Scholar] [CrossRef]
- Fatimah, I.; Prakoso, N.I.; Sahroni, I.; Musawwa, M.M.; Sim, Y.L.; Kooli, F.; Muraza, O. Physicochemical Characteristics and Photocatalytic Performance of TiO2/SiO2 Catalyst Synthesized Using Biogenic Silica from Bamboo Leaves. Heliyon 2019, 5, e02766. [Google Scholar] [CrossRef]
- Chen, Q.; Shi, H.; Shi, W.; Xu, Y.; Wu, D. Enhanced Visible Photocatalytic Activity of Titania–Silica Photocatalysts: Effect of Carbon and Silver Doping. Catal. Sci. Technol. 2012, 2, 1213–1220. [Google Scholar] [CrossRef]
- Andrade Espinosa, G. Síntesis De Xerogeles De Sílice Como Soporte De Partículas De Hidro(Óxidos) De Hierro Para La Adsorción De Arsénico Presente En Solución Acuosa. Doctoral Thesis, Repositorio IPICYT, San Luis Potosí S.L.P., México, 2011. [Google Scholar]
- Barczak, M. Amine-Modified Mesoporous Silicas: Morphology-Controlled Synthesis toward Efficient Removal of Pharmaceuticals. Microporous Mesoporous Mater. 2019, 278, 354–365. [Google Scholar] [CrossRef]
- Das, S.; Hendry, M.J. Application of Raman Spectroscopy to Identify Iron Minerals Commonly Found in Mine Wastes. Chem. Geol. 2011, 290, 101–108. [Google Scholar] [CrossRef]
- Fu, H.; Ding, X.; Ren, C.; Li, W.; Wu, H.; Yang, H. Preparation of Magnetic Porous NiFe2O4/SiO2 Composite Xerogels for Potential Application in Adsorption of Ce(IV) Ions from Aqueous Solution. RSC Adv. 2017, 7, 16513–16523. [Google Scholar] [CrossRef]
- Ocampo-Pérez, R.; Sánchez-Polo, M.; Rivera-Utrilla, J.; Leyva-Ramos, R. Enhancement of the Catalytic Activity of TiO2 by Using Activated Carbon in the Photocatalytic Degradation of Cytarabine. Appl. Catal. B Environ. 2011, 104, 177–184. [Google Scholar] [CrossRef]
- Wang, L.; Yang, J.; Li, Y.; Lv, J.; Zou, J. Removal of Chlorpheniramine in a Nanoscale Zero-Valent Iron Induced Heterogeneous Fenton System: Influencing Factors and Degradation Intermediates. Chem. Eng. J. 2016, 284, 1058–1067. [Google Scholar] [CrossRef]
- Mar-Ortiz, A.F.; Salazar-Rábago, J.J.; Sánchez-Polo, M.; Rozalen, M.; Cerino-Córdova, F.J.; Loredo-Cancino, M. Photodegradation of Antihistamine Chlorpheniramine Using a Novel Iron-Incorporated Carbon Material and Solar Radiation. Environ. Sci. Water Res. Technol. 2020, 6, 2607–2618. [Google Scholar] [CrossRef]
- López-Velázquez, K.; Guzmán-Mar, J.L.; Montalvo-Herrera, T.J.; Mendiola-Alvarez, S.Y.; Villanueva-Rodríguez, M. Efficient Photocatalytic Removal of Four Endocrine-Disrupting Compounds Using N-Doped BiOBr Catalyst under UV-Vis Radiation. J. Environ. Chem. Eng. 2021, 9, 106185. [Google Scholar] [CrossRef]
- Kamarulzaman, N.; Kasim, M.F.; Chayed, N.F. Elucidation of the Highest Valence Band and Lowest Conduction Band Shifts Using XPS for ZnO and Zn0.99Cu0.01O Band Gap Changes. Results Phys. 2016, 6, 217–230. [Google Scholar] [CrossRef]
- Wu, D.; Yue, S.; Wang, W.; An, T.; Li, G.; Ye, L.; Yip, H.Y.; Wong, P.K. Influence of Photoinduced Bi-Related Self-Doping on the Photocatalytic Activity of BiOBr Nanosheets. Appl. Surf. Sci. 2017, 391, 516–524. [Google Scholar] [CrossRef]
- Chang, F.; Li, C.; Chen, J.; Wang, J.; Luo, J.; Xie, Y.; Deng, B.; Hu, X. Enhanced Photocatalytic Performance of G-C3N4 Nanosheets–BiOBr Hybrids. Superlattices Microstruct. 2014, 76, 90–104. [Google Scholar] [CrossRef]
- Zhang, B.; Fu, S.; Wang, D.; Jiao, S.; Zeng, Z.; Zhang, X.; Xu, Z.; Liu, Y.; Zhao, C.; Pan, J.; et al. Synthesis and Enhanced Light Photocatalytic Activity of Modulating Band BiOBrXI1−X Nanosheets. Nanomaterials 2021, 11, 2940. [Google Scholar] [CrossRef] [PubMed]
- Salazar-Rábago, J.J.; Sánchez-Polo, M.; Rivera-Utrilla, J.; Leyva-Ramos, R.; Ocampo-Pérez, R.; Carrasco-Marin, F. Organic Xerogels Doped with Tris (2,2′-Bipyridine) Ruthenium(II) as Hydroxyl Radical Promoters: Synthesis, Characterization, and Photoactivity. Chem. Eng. J. 2016, 306, 289–297. [Google Scholar] [CrossRef]
- Radjenović, J.; Sirtori, C.; Petrović, M.; Barceló, D.; Malato, S. Characterization of Intermediate Products of Solar Photocatalytic Degradation of Ranitidine at Pilot-Scale. Chemosphere 2010, 79, 368–376. [Google Scholar] [CrossRef]
- Zou, X.; Zhang, J.; Zhao, X.; Zhang, Z. MoS2/RGO Composites for Photocatalytic Degradation of Ranitidine and Elimination of NDMA Formation Potential under Visible Light. Chem. Eng. J. 2020, 383, 123084. [Google Scholar] [CrossRef]
- Zheng, X.; Xu, S.; Wang, Y.; Sun, X.; Gao, Y.; Gao, B. Enhanced Degradation of Ciprofloxacin by Graphitized Mesoporous Carbon (GMC)-TiO2 Nanocomposite: Strong Synergy of Adsorption-Photocatalysis and Antibiotics Degradation Mechanism. J. Colloid Interface Sci. 2018, 527, 202–213. [Google Scholar] [CrossRef]
- Núñez-Salas, R.E.; Hernández-Ramírez, A.; Santos-Lozano, V.; Hinojosa-Reyes, L.; Guzmán-Mar, J.L.; Gracia-Pinilla, M.Á.; de Lourdes Maya-Treviño, M. Synthesis, Characterization, and Photocatalytic Performance of FeTiO3/ZnO on Ciprofloxacin Degradation. J. Photochem. Photobiol. A Chem. 2021, 411, 113186. [Google Scholar] [CrossRef]
- Wade, L.G. Organic Chemistry; New in Organic Chemistry Series; Prentice Hall PTR: Hoboken, NJ, USA, 2011; ISBN 9780321768148. [Google Scholar]
- Olvera-Vargas, H.; Oturan, N.; Oturan, M.A.; Brillas, E. Electro-Fenton and Solar Photoelectro-Fenton Treatments of the Pharmaceutical Ranitidine in Pre-Pilot Flow Plant Scale. Sep. Purif. Technol. 2015, 146, 127–135. [Google Scholar] [CrossRef]
- Haddad, T.; Kümmerer, K. Characterization of Photo-Transformation Products of the Antibiotic Drug Ciprofloxacin with Liquid Chromatography-Tandem Mass Spectrometry in Combination with Accurate Mass Determination Using an LTQ-Orbitrap. Chemosphere 2014, 115, 40–46. [Google Scholar] [CrossRef] [PubMed]
- Durán-Álvarez, J.C.; Avella, E.; Ramírez-Zamora, R.M.; Zanella, R. Photocatalytic Degradation of Ciprofloxacin Using Mono- (Au, Ag and Cu) and Bi- (Au–Ag and Au–Cu) Metallic Nanoparticles Supported on TiO2 under UV-C and Simulated Sunlight. Catal. Today 2016, 266, 175–187. [Google Scholar] [CrossRef]









| ID | Synthesis Type | Fe/Si Molar Ratio |
|---|---|---|
| XGS | - | - |
| XGS-Fe-Pol-0.1 | Polymerization | 1:10 |
| XGS-Fe-Pol-0.3 | Polymerization | 1:3 |
| XGS-Fe-Im-0.1 | Impregnation | 1:10 |
| XGS-Fe-Im-0.2 | Impregnation | 1:5 |
| XGS-Fe-Im-0.4 | Impregnation | 1:3 |
| Material | Apparent Surface Area (m2/g) | Average Pore Diameter (A) | Pore Volume (cc/g) |
|---|---|---|---|
| XGS | 355.1 | 19.8 | 0.200 |
| XGS-Fe-Im-0.2 | 351.0 | 19.1 | 0.195 |
| XGS-Fe-Im-0.4 | 338.1 | 18.7 | 0.185 |
| XGS-Fe-Pol-0.3 * | 323.4 | - | 0.149 |
| Material | O 1s | Si 2p | Fe 2p | C 1s | N 1s | Cl 2p |
|---|---|---|---|---|---|---|
| XGS | 67.72 | 27.12 | - | 5.00 | 0.16 | - |
| XGS-Fe-Pol-0.3 | 59.05 | 23.97 | 1.42 | 14.10 | 0.29 | 1.18 |
| XGS-Fe-Im-0.2 | 57.66 | 19.19 | 3.96 | 15.89 | 0.41 | 2.90 |
| XGS-Fe-Im-0.4 | 55.24 | 21.88 | 2.65 | 16.67 | 0.55 | 3.01 |
| XGS-Fe-Im-0.2-O | 59.82 | 20.87 | 3.10 | 15.20 | 0.37 | 0.64 |
| XGS-Fe-Im-0.4-O | 62.46 | 24.01 | 1.45 | 11.32 | 0.47 | 0.28 |
| Pollutant | Material | Load, g/L | k1 (min−1) | %D | k2 (min−1) | βA | %D |
|---|---|---|---|---|---|---|---|
| CPM | - | - | 0.001 | 3% | - | - | - |
| CPM | XGS | 1 | 0.002 | 5% | 0.139 | 0.856 | 2% |
| CPM | XGS-Fe-Pol-0.1 | 1 | 0.001 | 2% | 0.020 | 0.945 | 2% |
| CPM | XGS-Fe-Pol-0.3 | 1 | 0.003 | 4% | 0.350 | 0.901 | 2% |
| CPM | XGS-Fe-Im-0.1 | 1 | 0.007 | 2% | 0.024 | 0.611 | 1% |
| CPM | XGS-Fe-Im-0.2 | 0.5 | 0.195 | 32% | 0.206 | 0.026 | 31% |
| CPM | XGS-Fe-Im-0.2 | 1 | 0.323 | 42% | 0.332 | 0.015 | 24% |
| CPM | XGS-Fe-Im-0.2-M | 1 | 0.065 | 10% | 0.085 | 0.096 | 7% |
| CPM | XGS-Fe-Im-0.2-L | 1 | 0.125 | 9% | 0.142 | 0.054 | 7% |
| CPM | XGS-Fe-Im-0.2 | 1.5 | 0.359 | 13% | 0.361 | 0.003 | 9% |
| CPM | XGS-Fe-Im-0.4 | 0.5 | 0.317 | 27% | 0.324 | 0.010 | 13% |
| CPM | XGS-Fe-Im-0.4 | 1 | 0.330 | 43% | 0.340 | 0.015 | 22% |
| CPM | XGS-Fe-Im-0.4 | 1.5 | 0.367 | 2% | 0.366 | 0.000 | 2% |
| CPM | XGS-Fe-Im-0.4-tBuOH | 1 | 0.006 | 4% | 0.213 | 0.873 | 2% |
| CPM | XGS-Fe-Im-0.4-NO3− | 1 | 0.349 | 16% | 0.350 | 0.007 | 11% |
| CPM | XGS-Fe-Im-0.4-Thiourea | 1 | 0.001 | 2% | 0.330 | 0.956 | 0% |
| CPM | XGS-Fe-Im-0.2-O | 0.5 | 0.005 | 4% | 0.075 | 0.789 | 3% |
| CPM | XGS-Fe-Im-0.4-O | 1 | 0.004 | 2% | 0.007 | 0.326 | 1% |
| CPM | XGS-Fe-Im-0.4-O | 1.5 | 0.009 | 5% | 0.011 | 0.172 | 5% |
| RNT | - | - | 0.125 | 11% | - | - | - |
| RNT | XGS-Fe-Im-0.2 | 1 | 0.336 | 47% | 0.390 | 0.069 | 10% |
| RNT | XGS-Fe-Im-0.4 | 1 | 0.465 | 49% | 0.544 | 0.066 | 5% |
| CIP | - | - | 0.029 | 12% | - | - | - |
| CIP | XGS-Fe-Im-0.2 | 1 | 0.020 | 5% | 0.043 | 0.325 | 3% |
| CIP | XGS-Fe-Im-0.4 | 1 | 0.015 | 7% | 0.068 | 0.508 | 5% |
Publisher’s Note: MDPI stays neutral with regard to jurisdictional claims in published maps and institutional affiliations. |
© 2022 by the authors. Licensee MDPI, Basel, Switzerland. This article is an open access article distributed under the terms and conditions of the Creative Commons Attribution (CC BY) license (https://creativecommons.org/licenses/by/4.0/).
Share and Cite
García-Reyes, C.B.; Salazar-Rábago, J.J.; Polo, M.S.; Ramos, V.C. Synthesis and Use of Silica Xerogels Doped with Iron as a Photocatalyst to Pharmaceuticals Degradation in Water. Catalysts 2022, 12, 1341. https://doi.org/10.3390/catal12111341
García-Reyes CB, Salazar-Rábago JJ, Polo MS, Ramos VC. Synthesis and Use of Silica Xerogels Doped with Iron as a Photocatalyst to Pharmaceuticals Degradation in Water. Catalysts. 2022; 12(11):1341. https://doi.org/10.3390/catal12111341
Chicago/Turabian StyleGarcía-Reyes, Cinthia Berenice, Jacob J. Salazar-Rábago, Manuel Sánchez Polo, and Ventura Castillo Ramos. 2022. "Synthesis and Use of Silica Xerogels Doped with Iron as a Photocatalyst to Pharmaceuticals Degradation in Water" Catalysts 12, no. 11: 1341. https://doi.org/10.3390/catal12111341
APA StyleGarcía-Reyes, C. B., Salazar-Rábago, J. J., Polo, M. S., & Ramos, V. C. (2022). Synthesis and Use of Silica Xerogels Doped with Iron as a Photocatalyst to Pharmaceuticals Degradation in Water. Catalysts, 12(11), 1341. https://doi.org/10.3390/catal12111341

