Titanium Dioxide–Reduced Graphene Oxide Composites for Photocatalytic Degradation of Dyes in Water
Abstract
1. Introduction
2. Results and Discussion
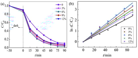
2.1. The Effect of Graphene Oxide Addition on the Degradation of Methyl Orange Solution
2.2. Characterization of TiO2-RGO
2.3. The Effect of pH Value on the Degradation Effect of TiO2-6%RGO
2.4. Degradation Effect of TiO2-6%RGO on Different Kinds of Dyes
2.5. Recycling Performance of TiO2-6%RGO
3. Materials and Methods
3.1. Materials
3.2. Preparation of Titanium Dioxide–Reduced Graphene Oxide Composites
3.3. Characterization
3.4. Photocatalytic Degradation Experiments of Dyes by TiO2-RGO
4. Conclusions
Author Contributions
Funding
Data Availability Statement
Conflicts of Interest
References
- Wang, Z.H.; Liang, W.B.; Guo, X.; Liu, L. Inactivation of Scrippsiella trochoidea cysts by different physical and chemical methods: Application to the treatment of ballast water. Mar. Pollut. Bull. 2018, 126, 150–158. [Google Scholar] [CrossRef] [PubMed]
- Al-Kaabi, M.A.; Zouari, N.; Dana, D.A.; Al-Ghouti, M.A. Adsorptive batch and biological treatments of produced water: Recent progresses, challenges, and potentials. J. Environ. Manag. 2021, 290, 112527. [Google Scholar] [CrossRef] [PubMed]
- Rezvani, F.; Sarrafzadeh, M.H.; Ebrahimi, S.; Oh, H.M. Nitrate removal from drinking water with a focus on biological methods: A review. Environ. Sci. Pollut. Res. 2019, 26, 1124–1141. [Google Scholar] [CrossRef] [PubMed]
- Camarillo, M.K.; Stringfellow, W.T. Biological treatment of oil and gas produced water: A review and meta-analysis. Clean Technol. Environ. Policy 2018, 20, 1127–1146. [Google Scholar] [CrossRef]
- Qiu, N. The method of general heat treatment of waste water from metal manufacture based on photocatalysis. Int. J. Environ. Pollut. 2019, 66, 117–126. [Google Scholar] [CrossRef]
- Pelosato, R.; Bolognino, I.; Fontana, F.; Sora, I.N. Applications of Heterogeneous Photocatalysis to the Degradation of Oxytetracycline in Water: A Review. Molecules 2022, 27, 2743. [Google Scholar] [CrossRef]
- Du, C.Y.; Zhang, Z.; Yu, G.L.; Wu, H.P.; Chen, H.; Zhou, L.; Zhang, Y.; Su, Y.H.; Tan, S.Y.; Yang, L.; et al. A review of metal organic framework (MOFs)-based materials for antibiotics removal via adsorption and photocatalysis. Chemosphere 2021, 272, 129501. [Google Scholar] [CrossRef]
- Yang, B.; Guan, B. Synergistic catalysis of ozonation and photooxidation by sandwich structured MnO2-NH2/GO/p-C3N4 on cephalexin degradation. J. Hazard. Mater. 2022, 439, 129540. [Google Scholar] [CrossRef]
- Ebrahimbabaie, P.; Yousefi, K.; Pichtel, J. Photocatalytic and biological technologies for elimination of microplastics in water: Current status. Sci. Total Environ. 2022, 806, 150603. [Google Scholar] [CrossRef]
- Fukugaichi, S. Fixation of Titanium Dioxide Nanoparticles on Glass Fiber Cloths for Photocatalytic Degradation of Organic Dyes. ACS Omega 2019, 4, 15175–15180. [Google Scholar] [CrossRef]
- Huang, S.Y.; Chen, C.C.; Tsai, H.Y.; Shaya, J.; Lu, C.S. Photocatalytic degradation of thiobencarb by a visible light-driven MoS2 photocatalyst. Sep. Purif. Technol. 2018, 197, 147–155. [Google Scholar] [CrossRef]
- Elango, G.; Roopan, S.M. Efficacy of SnO2 nanoparticles toward photocatalytic degradation of methylene blue dye. J. Photochem. Photobiol. B-Biol. 2016, 155, 34–38. [Google Scholar] [CrossRef] [PubMed]
- Heidarpour, H.; Padervand, M.; Soltanieh, M.; Vossoughi, M. Enhanced decolorization of rhodamine B solution through simultaneous photocatalysis and persulfate activation over Fe/C3N4 photocatalyst. Chem. Eng. Res. Des. 2020, 153, 709–720. [Google Scholar] [CrossRef]
- Padervand, M.; Ghasemi, S.; Hajiahmadi, S.; Rhimi, B.; Nejad, Z.G.; Karima, S.; Shahsavari, Z.; Wang, C.Y. Multifunctional Ag/AgCl/ZnTiO3 structures as highly efficient photocatalysts for the removal of nitrophenols, CO2 photoreduction, biomedical waste treatment, and bacteria inactivation. Appl. Catal. A-Gen. 2022, 643, 118794. [Google Scholar] [CrossRef]
- Cheng, L.; Xiang, Q.J.; Liao, Y.L.; Zhang, H.W. CdS-Based photocatalysts. Energy Environ. Sci. 2018, 11, 1362–1391. [Google Scholar] [CrossRef]
- Wen, Y.; Cao, S.; Fei, X.; Wang, H.; Wu, Z. One-step synthesized SO42−-TiO2 with exposed (001) facets and its application in selective catalytic reduction of NO by NH3. Chin. J. Catal. 2018, 39, 771–778. [Google Scholar] [CrossRef]
- Thompson, W.A.; Perier, C.; Maroto-Valer, M.M. Systematic study of sol-gel parameters on TiO2 coating for CO2 photoreduction. Appl. Catal. B-Environ. 2018, 238, 136–146. [Google Scholar] [CrossRef]
- Shende, T.P.; Bhanvase, B.A.; Rathod, A.P.; Pinjari, D.V.; Sonawane, S.H. Sonochemical synthesis of Graphene-Ce-TiO2 and Graphene-Fe-TiO2 ternary hybrid photocatalyst nanocomposite and its application in degradation of crystal violet dye. Ultrason. Sonochem. 2018, 41, 582–589. [Google Scholar] [CrossRef]
- Gao, Y.; Hu, M.; Mi, B.X. Membrane surface modification with TiO2-graphene oxide for enhanced photocatalytic performance. J. Membr. Sci. 2014, 455, 349–356. [Google Scholar] [CrossRef]
- Zabihi, F.; Ahmadian-Yazdi, M.R.; Eslamian, M. Photocatalytic Graphene-TiO2 Thin Films Fabricated by Low-Temperature Ultrasonic Vibration-Assisted Spin and Spray Coating in a Sol-Gel Process. Catalysts 2017, 7, 136. [Google Scholar] [CrossRef]
- Allen, M.J.; Tung, V.C.; Kaner, R.B. Honeycomb Carbon: A Review of Graphene. Chem. Rev. 2010, 110, 132–145. [Google Scholar] [CrossRef]
- Bolotin, K.I.; Sikes, K.J.; Jiang, Z.; Klima, M.; Fudenberg, G.; Hone, J.; Kim, P.; Stormer, H.L. Ultrahigh electron mobility in suspended graphene. Solid State Commun. 2008, 146, 351–355. [Google Scholar] [CrossRef]
- Tang, T.; Wang, T.; Gao, Y.; Xiao, H.; Xu, J.H. Two step method for preparing TiO2/Ag/rGO heterogeneous nanocomposites and its photocatalytic activity under visible light irradiation. J. Mater. Sci.-Mater. Electron. 2019, 30, 8471–8478. [Google Scholar] [CrossRef]
- Wang, G.H.; Dai, J.L.; Luo, Q.Y.; Deng, N.S. Photocatalytic degradation of bisphenol A by TiO2@aspartic acid-beta-cyclodextrin@reduced graphene oxide. Sep. Purif. Technol. 2021, 254, 117574. [Google Scholar] [CrossRef]
- Jing, L.; Yang, Z.Y.; Zhao, Y.F.; Zhang, Y.X.; Guo, X.; Yan, Y.M.; Sun, K.N. Ternary polyaniline-graphene-TiO2 hybrid with enhanced activity for visible-light photo-electrocatalytic water oxidation. J. Mater. Chem. A 2014, 2, 1068–1075. [Google Scholar] [CrossRef]
- Xu, W.L.; Chen, S.; Zhu, Y.N.; Xiang, X.X.; Bo, Y.Q.; Lin, Z.M.; Wu, H.; Liu, H. Preparation of hyperelastic graphene/carboxymethyl cellulose composite aerogels by ambient pressure drying and its adsorption applications. J. Mater. Sci. 2020, 55, 10543–10557. [Google Scholar] [CrossRef]
- ASham, Y.W.; Notley, S.M. Adsorption of organic dyes from aqueous solutions using surfactant exfoliated graphene. J. Environ. Chem. Eng. 2018, 6, 495–504. [Google Scholar]
- Chen, Y.Y.; Wang, L.H.; Sun, H.Y.; Zhang, D.D.; Zhao, Y.P.; Chen, L. Self-assembling TiO2 on aminated graphene based on adsorption and catalysis to treat organic dyes. Appl. Surf. Sci. 2021, 539, 147889. [Google Scholar] [CrossRef]
- Wang, D.T.; Li, X.; Chen, J.F.; Tao, X. Enhanced Visible-Light Photoelectrocatalytic Degradation of Organic Contaminants at Iodine-Doped Titanium Dioxide Film Electrode. Ind. Eng. Chem. Res. 2012, 51, 218–224. [Google Scholar] [CrossRef]
- Adamu, H.; Dubey, P.; Anderson, J.A. Probing the role of thermally reduced graphene oxide in enhancing performance of TiO2 in photocatalytic phenol removal from aqueous environments. Chem. Eng. J. 2016, 284, 380–388. [Google Scholar] [CrossRef]
- Liu, J.C.; Wang, L.; Tang, J.C.; Ma, J.L. Photocatalytic degradation of commercially sourced naphthenic acids by TiO2-graphene composite nanomaterial. Chemosphere 2016, 149, 328–335. [Google Scholar] [CrossRef] [PubMed]
- Wan, C.; Peng, T.J.; Sun, H.J.; Huang, Q. Preparation and Humidity-Sensitive Properties of Graphene Oxide in Different Oxidation Degree. Chin. J. Inorg. Chem. 2012, 28, 915–921. [Google Scholar]
- YMin, L.; Zhang, K.; Zhao, W.; Zheng, F.C.; Chen, Y.C.; Zhang, Y.G. Enhanced chemical interaction between TiO2 and graphene oxide for photocatalytic decolorization of methylene blue. Chem. Eng. J. 2012, 193, 203–210. [Google Scholar]
- Chou, P.W.; Wang, Y.S.; Lin, C.C.; Chen, Y.J.; Cheng, C.L.; Wong, M.S. Effect of carbon and oxygen on phase transformation of titania films during annealing. Surf. Coat. Technol. 2009, 204, 834–839. [Google Scholar] [CrossRef]
- di Valentin, C.; Pacchioni, G.; Selloni, A. Theory of carbon doping of titanium dioxide. Chem. Mater. 2005, 17, 6656–6665. [Google Scholar] [CrossRef]
- Ren, W.J.; Ai, Z.H.; Jia, F.L.; Zhang, L.Z.; Fan, X.X.; Zou, Z.G. Low temperature preparation and visible light photocatalytic activity of mesoporous carbon-doped crystalline TiO2. Appl. Catal. B-Environ. 2007, 69, 138–144. [Google Scholar] [CrossRef]
- CGuo, S.; Ge, M.; Liu, L.; Gao, G.D.; Feng, Y.C.; Wang, Y.Q. Directed Synthesis of Mesoporous TiO2 Microspheres: Catalysts and Their Photocatalysis for Bisphenol A Degradation. Environ. Sci. Technol. 2010, 44, 419–425. [Google Scholar]
- Zhang, Q.L.; Qin, Z.; Liu, Y.Z.; Ting, Y.T.; Zhang, J.W.; Zeng, G.P. Adsorption kinetics and photocatalytic activity of grapheneoxide-TiO2 composites for three dyes. Chem. Ind. Eng. Prog. 2019, 38, 2870–2879. [Google Scholar]
- Ali, I. New Generation Adsorbents for Water Treatment. Chem. Rev. 2012, 112, 5073–5091. [Google Scholar] [CrossRef]
- Kiwaan, H.A.; Atwee, T.M.; Azab, E.A.; El-Bindary, A.A. Photocatalytic degradation of organic dyes in the presence of nanostructured titanium dioxide. J. Mol. Struct. 2020, 1200, 127115. [Google Scholar] [CrossRef]
- Sadia, M.; Naz, R.; Khan, J.; Zahoor, M.; Ullah, R.; Khan, R.; Naz, S.; Almoallim, H.S.; Alharbi, S.A. Metal doped titania nanoparticles as efficient photocatalyst for dyes degradation. J. King Saud Univ. Sci. 2021, 33, 101312. [Google Scholar] [CrossRef]
- Inamuddin. Xanthan gum/titanium dioxide nanocomposite for photocatalytic degradation of methyl orange dye. Int. J. Biol. Macromol. 2019, 121, 1046–1053. [Google Scholar] [CrossRef] [PubMed]
- Jafri, N.N.M.; Jaafar, J.; Alias, N.H.; Samitsu, S.; Aziz, F.; Salleh, W.N.W.; Yusop, M.Z.M.; Othman, M.H.D.; Rahman, M.A.; Ismail, A.F.; et al. Synthesis and Characterization of Titanium Dioxide Hollow Nanofiber for Photocatalytic Degradation of Methylene Blue Dye. Membranes 2021, 11, 581. [Google Scholar] [CrossRef]
- Idris, N.J.; Bakar, S.A.; Mohamed, A.; Muqoyyanah, M.; Othman, M.H.D.; Mamat, M.H.; Ahmad, M.K.; Birowosuto, M.D.; Soga, T. Photocatalytic performance improvement by utilizing GO_MWCNTs hybrid solution on sand/ZnO/TiO2-based photocatalysts to degrade methylene blue dye. Environ. Sci. Pollut. Res. 2021, 28, 6966–6979. [Google Scholar] [CrossRef] [PubMed]
- Kocijan, M.; Curkovic, L.; Bdikin, I.; Otero-Irurueta, G.; Hortigueela, M.J.; Goncalves, G.; Radosevic, T.; Vengust, D.; Podlogar, M. Immobilised rGO/TiO2 Nanocomposite for Multi-Cycle Removal of Methylene Blue Dye from an Aqueous Medium. Appl. Sci. 2022, 12, 385. [Google Scholar] [CrossRef]
- Zhang, Y.J.; Qi, H.J.; Zhang, L.; Wang, Y.; Zhong, L.L.; Zheng, Y.G.; Wen, X.; Zhang, X.M.; Xue, J.Q. A RGO aerogel/TiO2/MoS2 composite photocatalyst for the removal of organic dyes by the cooperative action of adsorption and photocatalysis. Environ. Sci. Pollut. Res. 2022, 29, 8980–8995. [Google Scholar] [CrossRef] [PubMed]










| TiO2-RGO | k/min−1 | R2 |
|---|---|---|
| TiO2-0%RGO | 0.0267 | 0.9967 |
| TiO2-%RGO | 0.0364 | 0.9873 |
| TiO2-6%RGO | 0.0401 | 0.9936 |
| TiO2-9%RGO | 0.0333 | 0.9894 |
| TiO2-12%RGO | 0.0311 | 0.9853 |
| Samples | BET Surface Area (m²/g) | Pore Volume (cm³/g) |
|---|---|---|
| TiO2 | 35.68 | 0.0725 |
| TiO2-6%RGO | 347.33 | 0.2898 |
| pH Value | k/min−1 | R2 |
|---|---|---|
| pH = 2 | 0.0278 | 0.9984 |
| pH = 4 | 0.0442 | 0.9997 |
| pH = 7 | 0.0230 | 0.9976 |
| pH = 9 | 0.0111 | 0.9953 |
| pH = 11 | 0.0101 | 0.9958 |
| Dyes | k/min−1 | R2 |
|---|---|---|
| MB | 0.0478 | 0.9900 |
| RhB | 0.0655 | 0.9869 |
| MO | 0.0401 | 0.9936 |
| Photocatalyst | Degradation of Dyes | Degradation Rate (%) | Reference |
|---|---|---|---|
| Titanium dioxide | RhB | 93.8 | [40] |
| Ni/TiO2 | MB | 95 | [41] |
| Xanthan gum/titanium dioxide | MO | ~89 | [42] |
| THNF | MB | 95.2 | [43] |
| Sand/ZnO NRs/TiO2 NRs (5 h)/GO_MWCNTs | MB | 92.6 | [44] |
| rGO/TiO2 | MB | 92.7 | [45] |
| RGO aerogel/TiO2/MoS2 composite | RhB | 95 | [46] |
| TiO2-RGO | MO | 96.9 | This work |
| RhB | 97.9 | ||
| MB | 97 |
Publisher’s Note: MDPI stays neutral with regard to jurisdictional claims in published maps and institutional affiliations. |
© 2022 by the authors. Licensee MDPI, Basel, Switzerland. This article is an open access article distributed under the terms and conditions of the Creative Commons Attribution (CC BY) license (https://creativecommons.org/licenses/by/4.0/).
Share and Cite
Yu, L.; Xu, W.; Liu, H.; Bao, Y. Titanium Dioxide–Reduced Graphene Oxide Composites for Photocatalytic Degradation of Dyes in Water. Catalysts 2022, 12, 1340. https://doi.org/10.3390/catal12111340
Yu L, Xu W, Liu H, Bao Y. Titanium Dioxide–Reduced Graphene Oxide Composites for Photocatalytic Degradation of Dyes in Water. Catalysts. 2022; 12(11):1340. https://doi.org/10.3390/catal12111340
Chicago/Turabian StyleYu, Lei, Wenlong Xu, Huie Liu, and Yan Bao. 2022. "Titanium Dioxide–Reduced Graphene Oxide Composites for Photocatalytic Degradation of Dyes in Water" Catalysts 12, no. 11: 1340. https://doi.org/10.3390/catal12111340
APA StyleYu, L., Xu, W., Liu, H., & Bao, Y. (2022). Titanium Dioxide–Reduced Graphene Oxide Composites for Photocatalytic Degradation of Dyes in Water. Catalysts, 12(11), 1340. https://doi.org/10.3390/catal12111340

