A Study of the Degradation of LEV by Transparent PVA/NCD-TiO2 Nanocomposite Films with Enhanced Visible-Light Photocatalytic Activity
Abstract
1. Introduction
2. Results and Discussion
2.1. Physico-Chemical Characteristics of Synthesized Titania Catalysts
2.1.1. Immobilization of NCD-TiO2 Nanoparticles in PVA Matrix
2.1.2. X-ray Diffraction Analysis
2.1.3. FTIR Spectra of the Fabricated Membrane
2.2. Catalytic Activities of the PVA/NCD-TiO2 Membrane
2.2.1. Effect of Heating-Treatment Temperature on Photocatalytic Activity
2.2.2. Effect of NCD-TiO2 Loading on the Performance of Hybrid PVA/NCD-TiO2 Films
2.2.3. Effect of Different Molds of PVA/NCD-TiO2 Films on Photocatalytic Performance
2.2.4. Applications of PVA/NCD-TiO2 in Natural Water
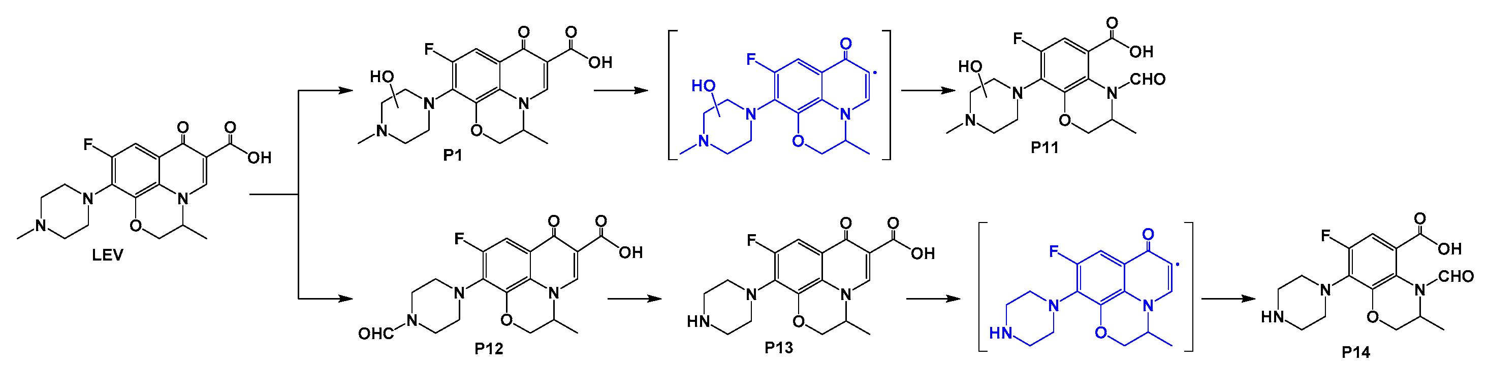
2.3. Byproducts of the Photodegradation of LEV Catalyzed by the PVA/NCD-TiO2 Film
3. Materials and Methods
3.1. Materials
3.2. Preparation of PVA/NCD-TiO2 Nanocomposites
3.3. Characterization
3.4. Photocatalytic Degradation
4. Conclusions
Supplementary Materials
Author Contributions
Funding
Institutional Review Board Statement
Conflicts of Interest
References
- Imran, M.; Shah, M.R.; Ullah, F.; Ullah, S.; Elhissi, A.M.; Nawaz, W.; Ahmad, F.; Sadiq, A.; Ali, I. Sugar-based novel niosomal nanocarrier system for enhanced oral bioavailability of levofloxacin. Drug Deliv. 2016, 23, 3653–3664. [Google Scholar] [CrossRef] [PubMed]
- Pi, Y.Q.; Feng, J.L.; Song, M.K.; Sun, J.H. Degradation potential of ofloxacin and its resulting transformation products during Fenton oxidation process. Chin. Sci. Bull. 2014, 59, 2618–2624. [Google Scholar] [CrossRef]
- Chen, Q.H.; Xin, Y.J.; Zhu, X.W. Au-Pd nanoparticles-decorated TiO2 nanobelts for photocatalytic degradation of antibiotic levofloxacin in aqueous solution. Electrochim. Acta 2015, 186, 34–42. [Google Scholar] [CrossRef]
- Wen, X.J.; Niu, C.G.; Guo, H.; Zhang, L.; Liang, C.; Zeng, G.M. Photocatalytic degradation of levofloxacin by ternary Ag2CO3/CeO2/AgBr photocatalyst under visible-light irradiation: Degradation pathways, mineralization ability, and an accelerated interfacial charge transfer process study. J. Catal. 2018, 358, 211–223. [Google Scholar] [CrossRef]
- Goel, S. Antibiotics in the environment: A review. In Emerging Micro-Pollutants in the Environment: Occurrence, Fate, and Distribution; Kurwadkar, S., Zhang, X.Q., Ramirez, D., Mitchell, F.L., Eds.; ACS Publications: Washington, DC, USA, 2015; pp. 19–42. [Google Scholar]
- Watkins, R.R.; Bonomo, R.A. Overview: Global and local impact of antibiotic resistance. Infect. Dis. Clin. 2016, 30, 313–322. [Google Scholar] [CrossRef] [PubMed]
- Baker, D.R.; Kasprzyk-Hordern, B. Spatial and temporal occurrence of pharmaceuticals and illicit drugs in the aqueous environment and during wastewater treatment: New developments. Sci. Total Environ. 2013, 454, 442–456. [Google Scholar] [CrossRef]
- Kasprzyk-Hordern, B.; Dinsdale, R.M.; Guwy, A.J. The removal of pharmaceuticals, personal care products, endocrine disruptors and illicit drugs during wastewater treatment and its impact on the quality of receiving waters. Water Res. 2009, 43, 363–380. [Google Scholar] [CrossRef]
- Cheng, D.L.; Ngo, H.H.; Guo, W.S.; Chang, S.W.; Nguyen, D.D.; Liu, Y.W.; Zhang, X.B.; Shan, X.; Liu, Y. Contribution of antibiotics to the fate of antibiotic resistance genes in anaerobic treatment processes of swine wastewater: A review. Bioresour. Technol. 2020, 299, 122654. [Google Scholar] [CrossRef]
- Shah, R.A.; Hsu, J.I.; Patel, R.R.; Mui, U.N.; Tyring, S.K. Antibiotic resistance in dermatology: The scope of the problem and strategies to address it. J. Am. Acad. Dermatol. 2022, 86, 1337–1345. [Google Scholar] [CrossRef]
- Han, Q.F.; Zhang, K.K.; Zhang, J.; Gong, S.; Wang, X.; Zhu, J.W. Effect of the counter ions on composition and morphology of bismuth oxyhalides and their photocatalytic performance. Chem. Eng. J. 2016, 299, 217–226. [Google Scholar] [CrossRef]
- Jin, X.L.; Ye, L.Q.; Xie, H.Q.; Chen, G. Bismuth-rich bismuth oxyhalides for environmental and energy photocatalysis. Coordin. Chem. Rev. 2017, 349, 84–101. [Google Scholar] [CrossRef]
- Zhang, L.; Yang, J.; Zhao, X.Y.; Xiao, X.; Sun, F.Q.; Zuo, X.X.; Nan, J.M. Small-molecule surface-modified bismuth-based semiconductors as a new class of visible-light-driven photocatalytic materials: Structure-dependent photocatalytic properties and photosensitization mechanism. Chem. Eng. J. 2020, 380, 122546. [Google Scholar] [CrossRef]
- Josephine, G.S.; Jayaprakash, K.; Suresh, M.; Sivasamy, A. Photocatalytic degradation of 2, 4-dicholorophenoxyacetic acid: A herbicide by nanocrystalline semiconductor material under visible light irradiation. Mater. Today Proc. 2019, 17, 345–353. [Google Scholar] [CrossRef]
- Li, S.Y.; Zhang, M.; Qu, Z.H.; Cui, X.; Liu, Z.Y.; Piao, C.C.; Li, S.G.; Wang, J.; Song, Y.T. Fabrication of highly active Z-scheme Ag/g-C3N4-Ag-Ag3PO4 (110) photocatalyst photocatalyst for visible light photocatalytic degradation of levofloxacin with simultaneous hydrogen production. Chem. Eng. J. 2020, 382, 122394. [Google Scholar] [CrossRef]
- Ruan, X.W.; Hu, H.; Che, H.N.; Che, G.B.; Li, C.M.; Liu, C.B.; Dong, H.J. Facile fabrication of Ag2O/Bi12GeO20 heterostructure with enhanced visible-light photocatalytic activity for the degradation of various antibiotics. J. Alloys Compd. 2019, 773, 1089–1098. [Google Scholar] [CrossRef]
- Zhang, Q.K.; Han, F.X.; Yan, Y.H.; Dai, Q.L.; Proctor, G.; Cheah, P.; Avijit, P.; Chandra, R.P.; Kang, N.; Hu, M.G. Preparation and properties of visible light responsive RGO/In2TiO5 nanobelts for photocatalytic degradation of organic pollutants. Appl. Surf. Sci. 2019, 485, 547–553. [Google Scholar] [CrossRef]
- Liu, X.H.; Yang, Y.; Li, H.P.; Yang, Z.G.; Fang, Y. Visible light degradation of tetracycline using oxygen-rich titanium dioxide nanosheets decorated by carbon quantum dots. Chem. Eng. J. 2021, 408, 127259. [Google Scholar] [CrossRef]
- Gong, S.Q.; Fan, J.C.; Cecen, V.; Huang, C.P.; Min, Y.L.; Xu, Q.J.; Li, H.X. Noble-metal and cocatalyst free W2N/C/TiO photocatalysts for efficient photocatalytic overall water splitting in visible and near-infrared light regions. Chem. Eng. J. 2021, 405, 126913. [Google Scholar] [CrossRef]
- Hu, X.L.; Li, C.Q.; Sun, Z.M.; Song, J.Y.; Zheng, S.L. Enhanced photocatalytic removal of indoor formaldehyde by ternary heterogeneous BiOCl/TiO2/sepiolite composite under solar and visible light. Build. Environ. 2020, 168, 106481. [Google Scholar] [CrossRef]
- Morad, I.; Alshehri, A.M.; Mansour, A.F.; Wasfy, M.H.; El-Desoky, M.M. Facile synthesis and comparative study for the optical performance of different TiO2 phases doped PVA nanocomposite films. Physica. B Condens. Matter 2020, 597, 412415. [Google Scholar] [CrossRef]
- Aljuboury, D.A.D.A.; Shaik, F. Optimization of the petroleum wastewater treatment process using TiO2/Zn photocatalyst. S. Afr. J. Chem. Eng. 2021, 38, 61–69. [Google Scholar] [CrossRef]
- Huang, M.H.; Chen, Y.S.; Huang, C.H.; Sun, P.Z.; Crittenden, J. Rejection and adsorption of trace pharmaceuticals by coating a forward osmosis membrane with TiO2. Chem. Eng. J. 2015, 279, 904–911. [Google Scholar] [CrossRef]
- Wang, F.F.; Yu, X.L.; Ge, M.F.; Wu, S.J. One-step synthesis of TiO2/γ-Fe2O3/GO nanocomposites for visible light-driven degradation of ciprofloxacin. Chem. Eng. J. 2020, 384, 123381. [Google Scholar] [CrossRef]
- Kaur, R.; Kaur, A.; Kaur, R.; Singh, S.; Bhatti, M.S.; Umar, A.; Baskoutas, S.; Kansal, S.K. Cu-BTC metal organic framework (MOF) derived Cu-doped TiO2 nanoparticles and their use as visible light active photocatalyst for the decomposition of ofloxacin (OFX) antibiotic and antibacterial activity. Adv. Powder Technol. 2021, 32, 1350–1361. [Google Scholar] [CrossRef]
- Khalid, N.R.; Ahmed, E.; Hong, Z.L.; Sana, L.; Ahmed, M. Enhanced photocatalytic activity of graphene–TiO2 composite under visible light irradiation. Curr. Appl. Phys. 2013, 13, 659–663. [Google Scholar] [CrossRef]
- López, J.G.P.; Pichardo, O.H.G.; Escobar, J.A.P.; Del Río, D.A.D.H.; Méndez, H.I.; Rodríguez, L.M.G. Photocatalytic degradation of metoprolol in aqueous medium using a TiO2/natural zeolite composite. Fuel 2021, 284, 119030. [Google Scholar] [CrossRef]
- Narzary, S.; Alamelu, K.; Raja, V.; Ali, B.J. Visible light active, magnetically retrievable Fe3O4@SiO2@g-C3N4/TiO2 nanocomposite as efficient photocatalyst for removal of dye pollutants. J. Environ. Chem. Eng. 2020, 8, 104373. [Google Scholar] [CrossRef]
- Yang, J.; Han, Y.S.; Choy, J. TiO2 thin-films on polymer substrates and their photocatalytic activity. Thin Solid Films 2006, 495, 266–271. [Google Scholar] [CrossRef]
- Cunha, D.L.; Kuznetsov, A.; Achete, C.A.; Da Hora Machado, A.E.; Marques, M. Immobilized TiO2 on glass spheres applied to heterogeneous photocatalysis: Photoactivity, leaching and regeneration process. PeerJ 2018, 6, e4464. [Google Scholar] [CrossRef]
- Singh, S.; Mahalingam, H.; Singh, P.K. Polymer-supported titanium dioxide photocatalysts for environmental remediation: A review. Appl. Catal. A Gen. 2013, 462, 178–195. [Google Scholar] [CrossRef]
- Tennakone, K.; Tilakaratne, C.; Kottegoda, I. Photocatalytic degradation of organic contaminants in water with TiO2 supported on polythene films. J. Photochem. Photobio. A 1995, 87, 177–179. [Google Scholar] [CrossRef]
- Chu, W.B.; Yang, J.W.; Liu, T.; Tiu, C.; Guo, J. The effects of pH, molecular weight and degree of hydrolysis of poly (vinyl alcohol) on slot die coating of PVA suspensions of TiO2 and SiO2. Colloids Surf. A. Physicochem. Eng. Asp. 2007, 302, 1–10. [Google Scholar] [CrossRef]
- Huang, X.W.; Yang, W.Q.; Zhang, G.; Yan, L.; Zhang, Y.C.; Jiang, A.H.; Xu, H.L.; Zhou, M.; Liu, Z.J.; Tang, H.D. Alternative synthesis of nitrogen and carbon co-doped TiO2 for removing fluoroquinolone antibiotics in water under visible light. Catal. Today 2021, 361, 11–16. [Google Scholar] [CrossRef]
- Li, T.; Chen, X.; Zhang, B.; Hong, X. Characterization of laterite nickel ore. In Characterization of Minerals, Metals, and Materials 2014; Carpenter, J.S., Bai, C., Hwang, J.Y., Ikhmayies, S., Li, B., Monteiro, S.N., Peng, Z., Zhang, M., Eds.; John Wiley & Sons: New York, NY, USA, 2014; pp. 541–548. [Google Scholar]
- Mansur, H.S.; Oréfice, R.L.; Mansur, A.A. Characterization of poly (vinyl alcohol)/poly (ethylene glycol) hydrogels and PVA-derived hybrids by small-angle X-ray scattering and FTIR spectroscopy. Polymer 2004, 45, 7193–7202. [Google Scholar] [CrossRef]
- Sugiura, K.; Hashimoto, M.; Matsuzawa, S.; Yamaura, K. Influence of degree of crystallinity and syndiotacticity on infrared spectra of solid PVA. J. Appl. Polym. Sci. 2001, 82, 1291–1298. [Google Scholar] [CrossRef]
- Mansur, H.S.; Sadahira, C.M.; Souza, A.N.; Mansur, A.A. FTIR spectroscopy characterization of poly (vinyl alcohol) hydrogel with different hydrolysis degree and chemically crosslinked with glutaraldehyde. Mater. Sci. Eng. C 2008, 28, 539–548. [Google Scholar] [CrossRef]
- Tzompantzi, F.; Castillo-Rodriguez, J.C.; Tzompantzi-Flores, C.; Gomez, R.; Santolalla-Vargas, C.E.; Frias-Marquez, M.; Ramos-Ramirez, E. Facile synthesis of ZrO2-Bi2O2CO3 composite materials prepared in one-pot synthesis for high photoactivity in efficient hydrogen production. J. Photoch. Photobio. A 2022, 423, 113594. [Google Scholar] [CrossRef]
- Hu, Y.G.; Zhang, N.; Li, Q.; Li, C.X.; Zhou, M. Crystallinity determination of polyvinyl alcohol by infrared spectrometry. Eng. Plast. Appl. 2014, 42, 73–77. [Google Scholar]
- Huang, H.; Malkov, S.; Coleman, M.M.; Painter, P.C. Application of generalized two-dimensional infrared correlation spectroscopy to the study of a hydrogen-bonded blend. Appl. Spectrosc. 2004, 58, 1074–1081. [Google Scholar] [CrossRef]
- Li, F.; Hao, X.H.; Wang, Z.Z.; Li, H.M. Performance research of PVA/TiO2 compound film by solution casting. Pack. J. 2010, 2, 67–70. [Google Scholar]
- Lou, Y.H.; Liu, M.H.; Miao, X.W.; Zhang, L.; Wang, X.P. Improvement of the mechanical properties of nano-TiO2/poly (vinyl alcohol) composites by enhanced interaction between nanofiller and matrix. Polym. Composite. 2010, 31, 1184–1193. [Google Scholar] [CrossRef]
- Lei, P.; Wang, F.; Gao, X.W.; Ding, Y.F.; Zhang, S.M.; Zhao, J.C.; Liu, S.R.; Yang, M.S. Immobilization of TiO2 nanoparticles in polymeric substrates by chemical bonding for multi-cycle photodegradation of organic pollutants. J. Hazard. Mater. 2012, 227, 185–194. [Google Scholar] [CrossRef] [PubMed]
- Bidsorkhi, H.C.; Riazi, H.; Emadzadeh, D.; Ghanbari, M.; Matsuura, T.; Lau, W.J.; Ismail, A.F. Preparation and characterization of a novel highly hydrophilic and antifouling polysulfone/nanoporous TiO2 nanocomposite membrane. Nanotechnology 2016, 27, 415706. [Google Scholar] [CrossRef]
- Diebold, U. The surface science of titanium dioxide. Surf. Sci. Rep. 2003, 48, 53–229. [Google Scholar] [CrossRef]
- Epold, I.; Trapido, M.; Dulova, N. Degradation of levofloxacin in aqueous solutions by Fenton, ferrous ion-activated persulfate and combined Fenton/persulfate systems. Chem. Eng. J. 2015, 279, 452–462. [Google Scholar] [CrossRef]
- Xia, Y.J.; Dai, Q.Z. Electrochemical degradation of antibiotic levofloxacin by PbO2 electrode: Kinetics, energy demands and reaction pathways. Chemosphere 2018, 205, 215–222. [Google Scholar] [CrossRef]
- Sturini, M.; Speltini, A.; Maraschi, F.; Profumo, A.; Pretali, L.; Irastorza, E.A.; Fasani, E.; Albini, A. Photolytic and photocatalytic degradation of fluoroquinolones in untreated river water under natural sunlight. Appl. Catal. B 2012, 119, 32–39. [Google Scholar] [CrossRef]
- Gong, Y.X.; Li, J.Y.; Zhang, Y.Y.; Zhang, M.; Tian, X.J.; Wang, A.M. Partial degradation of levofloxacin for biodegradability improvement by electro-Fenton process using an activated carbon fiber felt cathode. J. Hazard. Mater. 2016, 304, 320–328. [Google Scholar] [CrossRef]
- Ge, L.K.; Na, G.S.; Zhang, S.Y.; Li, K.; Zhang, P.; Ren, H.L.; Yao, Z.W. New insights into the aquatic photochemistry of fluoroquinolone antibiotics: Direct photodegradation, hydroxyl-radical oxidation, and antibacterial activity changes. Sci. Total Environ. 2015, 527, 12–17. [Google Scholar] [CrossRef]
- Furniss, B.S. Vogel’s Textbook of Practical Organic Chemistry; Pearson Education: London, UK, 1989. [Google Scholar]
- El Najjar, N.H.; Touffet, A.; Deborde, M.; Journel, R.; Leitner, N.K.V. Levofloxacin oxidation by ozone and hydroxyl radicals: Kinetic study, transformation products and toxicity. Chemosphere 2013, 93, 604–611. [Google Scholar] [CrossRef]









| Real Water | Initial CODCr (mg/L) | 2 h CODCr (mg/L) | pH | Removal Rate (%) |
|---|---|---|---|---|
| West Lake | 25.6 ± 0.3 | 6.7 ± 0.3 | 6.42 ± 0.2 | 73.8 |
| Shangtang River | 20.1 ± 0.2 | 7.1 ± 0.2 | 6.11 ± 0.1 | 64.7 |
| Guxin River | 23.2 ± 0.2 | 7.3 ± 0.3 | 6.33 ± 0.1 | 68.5 |
| Name | m/z | Retention Time (min) | Molecular Weight | Molecular Formula | Proposed Structure |
|---|---|---|---|---|---|
| LEV | 362 | 19.8 | 361 | C18H20FN3O4 | ![]() |
| P1 | 378 | 20.6 | 377 | C18H20FN3O5 | ![]() |
| P2 | 376 | 23.9 | 375 | C18H18FN3O5 | ![]() |
| P3a | 390 | 20.8/21.4 | 389 | C18H16FN3O6 | ![]() |
| P3b | 390 | 20.8/21.4 | 389 | C18H16FN3O6 | ![]() |
| P4 | 392 | 21.8 | 391 | C18H18FN3O6 | ![]() |
| P5a | 364 | 19.0/23.0 | 363 | C17H18FN3O5 | ![]() |
| P5b | 364 | 19.0/23.0 | 363 | C17H18FN3O5 | ![]() |
| P6 | 336 | 19.6 | 335 | C16H18FN3O4 | ![]() |
| P7a | 350 | 18.9/22.2 | 349 | C16H16FN3O5 | ![]() |
| P7b | 350 | 18.9/22.2 | 349 | C16H16FN3O5 | ![]() |
| P8 | 322 | 19.5 | 321 | C15H16FN3O4 | ![]() |
| P9 | 307 | 21.3 | 306 | C14H11FN2O5 | ![]() |
| P10 | 279 | 22.7 | 278 | C13H11FN2O4 | ![]() |
| P11 | 368 | 17.0 | 367 | C16H18FN3O6 | ![]() |
| P12 | 376 | 23.9 | 375 | C18H18FN3O5 | ![]() |
| P13 | 348 | 19.8 | 347 | C17H18FN3O4 | ![]() |
| P14 | 324 | 17.0 | 323 | C15H18FN3O4 | ![]() |
Publisher’s Note: MDPI stays neutral with regard to jurisdictional claims in published maps and institutional affiliations. |
© 2022 by the authors. Licensee MDPI, Basel, Switzerland. This article is an open access article distributed under the terms and conditions of the Creative Commons Attribution (CC BY) license (https://creativecommons.org/licenses/by/4.0/).
Share and Cite
Jiang, A.; Huang, X.; Zhang, G.; Yang, W. A Study of the Degradation of LEV by Transparent PVA/NCD-TiO2 Nanocomposite Films with Enhanced Visible-Light Photocatalytic Activity. Catalysts 2022, 12, 1336. https://doi.org/10.3390/catal12111336
Jiang A, Huang X, Zhang G, Yang W. A Study of the Degradation of LEV by Transparent PVA/NCD-TiO2 Nanocomposite Films with Enhanced Visible-Light Photocatalytic Activity. Catalysts. 2022; 12(11):1336. https://doi.org/10.3390/catal12111336
Chicago/Turabian StyleJiang, Anhua, Xinwen Huang, Geshan Zhang, and Wanquan Yang. 2022. "A Study of the Degradation of LEV by Transparent PVA/NCD-TiO2 Nanocomposite Films with Enhanced Visible-Light Photocatalytic Activity" Catalysts 12, no. 11: 1336. https://doi.org/10.3390/catal12111336
APA StyleJiang, A., Huang, X., Zhang, G., & Yang, W. (2022). A Study of the Degradation of LEV by Transparent PVA/NCD-TiO2 Nanocomposite Films with Enhanced Visible-Light Photocatalytic Activity. Catalysts, 12(11), 1336. https://doi.org/10.3390/catal12111336


















