Phosphotungstic Acid-Modified MnOx for Selective Catalytic Reduction of NOx with NH3
Abstract
1. Introduction
2. Results and Discussion
2.1. Textural and Structural Properties
2.1.1. XRD
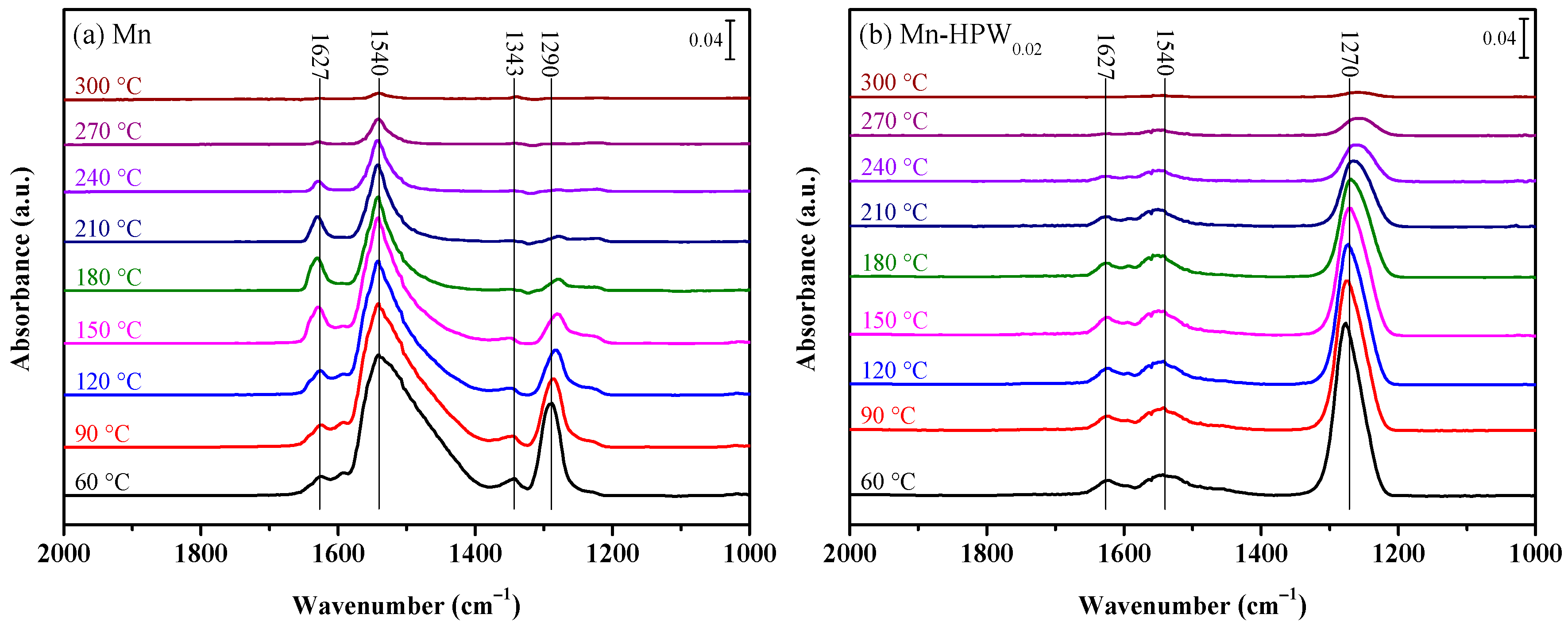
2.1.2. FTIR
2.1.3. N2 Adsorption-Desorption
2.1.4. Morphology Structure
2.2. Catalytic Performance
2.3. NO and NH3 Oxidation
2.4. H2-TPR
2.5. XPS
2.6. NH3 Adsorption
2.7. NOx Adsorption
2.8. Reaction Mechanism
2.8.1. Reaction between NO + O2 and Pre-Adsorbed NH3
2.8.2. Reaction between NH3 and Pre-Adsorbed NO + O2
3. Materials and Methods
3.1. Catalyst Preparation
3.2. Characterization
3.3. Catalytic Activity Test
4. Conclusions
Supplementary Materials
Author Contributions
Funding
Data Availability Statement
Conflicts of Interest
References
- Huang, R.J.; Zhang, Y.L.; Bozzetti, C.; Ho, K.F.; Cao, J.J.; Han, Y.M.; Daellenbach, K.R.; Slowik, J.G.; Platt, S.M.; Canonaco, F.; et al. High secondary aerosol contribution to particulate pollution during haze events in China. Nature 2014, 514, 218–222. [Google Scholar] [CrossRef]
- Han, L.P.; Cai, S.X.; Gao, M.; Hasegawa, J.Y.; Wang, P.L.; Zhang, J.P.; Shi, L.Y.; Zhang, D.S. Selective catalytic reduction of NOx with NH3 by using novel catalysts: State of the art and future prospects. Chem. Rev. 2019, 119, 10916–10976. [Google Scholar] [CrossRef]
- Xu, G.Y.; Guo, X.L.; Cheng, X.X.; Yu, J.; Fang, B.Z. A review of Mn-based catalysts for low-temperature NH3-SCR: NOx removal and H2O/SO2 resistance. Nanoscale 2021, 13, 7052–7080. [Google Scholar] [CrossRef]
- Wei, L.G.; Guo, R.T.; Zhou, J.; Qin, B.; Chen, X.; Bi, Z.X.; Pan, W.G. Chemical deactivation and resistance of Mn-based SCR catalysts for NOx removal from stationary sources. Fuel 2022, 316, 123438. [Google Scholar] [CrossRef]
- Guo, R.T.; Qin, B.; Wei, L.G.; Yin, T.Y.; Zhou, J.; Pan, W.G. Recent progress of low-temperature selective catalytic reduction of NOx with NH3 over manganese oxide-based catalysts. Phys. Chem. Chem. Phys. 2022, 24, 6363–6382. [Google Scholar] [CrossRef]
- Zhang, L.; Zhang, D.S.; Zhang, J.P.; Cai, S.X.; Fang, C.; Huang, L.; Li, H.R.; Gao, R.H.; Shi, L.Y. Design of meso-TiO2@MnOx-CeOx/CNTs with a core-shell structure as DeNOx catalysts: Promotion of activity, stability and SO2-tolerance. Nanoscale 2013, 5, 9821–9829. [Google Scholar] [CrossRef] [PubMed]
- Zhang, S.G.; Zhang, B.L.; Liu, B.; Sun, S.L. A review of Mn-containing oxide catalysts for low temperature selective catalytic reduction of NOx with NH3: Reaction mechanism and catalyst deactivation. RSC Adv. 2017, 7, 26226–26242. [Google Scholar] [CrossRef]
- Huang, C.Y.; Guo, R.T.; Pan, W.G.; Sun, X.; Liu, S.W.; Liu, J.; Wang, Z.Y.; Shi, X. SCR of NOx by NH3 over MnFeOx@TiO2 catalyst with a core-shell structure: The improved K resistance. J. Energy Inst. 2019, 92, 1364–1378. [Google Scholar] [CrossRef]
- Shi, Y.R.; Yi, H.H.; Gao, F.Y.; Zhao, S.Z.; Xie, Z.L.; Tang, X.L. Facile synthesis of hollow nanotube MnCoOx catalyst with superior resistance to SO2 and alkali metal poisons for NH3-SCR removal of NOx. Sep. Purif. Technol. 2021, 265, 118517. [Google Scholar] [CrossRef]
- Liu, C.; Shi, J.-W.; Gao, C.; Niu, C.M. Manganese oxide-based catalysts for low-temperature selective catalytic reduction of NOx with NH3: A review. Appl. Catal. A Gen. 2016, 522, 54–69. [Google Scholar] [CrossRef]
- Jiang, B.Q.; Lin, B.L.; Li, Z.G.; Zhao, S.; Chen, Z.Y. Mn/TiO2 catalysts prepared by ultrasonic spray pyrolysis method for NOx removal in low-temperature SCR reaction. Colloids Surf. A Physicochem. Eng. Asp. 2020, 586, 124210. [Google Scholar] [CrossRef]
- Wei, L.; Wang, Z.W.; Liu, Y.; Guo, G.S.; Dai, H.X.; Cui, S.P.; Deng, J.G. Support promotion effect on the SO2 and K+ co-poisoning resistance of MnO2/TiO2 for NH3-SCR of NO. J. Hazard. Mater. 2021, 416, 126117. [Google Scholar] [CrossRef] [PubMed]
- Kang, H.; Wu, M.X.; Li, S.Y.; Wei, C.H.; Chen, X.P.; Chen, J.J.; Jing, F.L.; Chu, W.; Liu, Y.F. Converting poisonous sulfate species to an active promoter on TiO2 predecorated MnOx catalysts for the NH3-SCR reaction. ACS Appl. Mater. Interfaces 2021, 13, 61237–61247. [Google Scholar] [CrossRef]
- Cao, F.; Xiang, J.; Su, S.; Wang, P.Y.; Sun, L.S.; Hu, S.; Lei, S.Y. The activity and characterization of MnOx-CeO2-ZrO2/γ-Al2O3 catalysts for low temperature selective catalytic reduction of NO with NH3. Chem. Eng. J. 2014, 243, 347–354. [Google Scholar] [CrossRef]
- Cao, F.; Su, S.; Xiang, J.; Wang, P.Y.; Hu, S.; Sun, L.S.; Zhang, A.C. The activity and mechanism study of Fe-Mn-Ce/γ-Al2O3 catalyst for low temperature selective catalytic reduction of NO with NH3. Fuel 2015, 139, 232–239. [Google Scholar] [CrossRef]
- Yang, G.; Zhao, H.T.; Luo, X.; Shi, K.Q.; Zhao, H.B.; Wang, W.K.; Chen, Q.H.; Fan, H.; Wu, T. Promotion effect and mechanism of the addition of Mo on the enhanced low temperature SCR of NOx by NH3 over MnOx/γ-Al2O3 catalysts. Appl. Catal. B Environ. 2019, 245, 743–752. [Google Scholar] [CrossRef]
- Wang, L.S.; Huang, B.C.; Su, Y.X.; Zhou, G.Y.; Wang, K.L.; Luo, H.C.; Ye, D.Q. Manganese oxides supported on multi-walled carbon nanotubes for selective catalytic reduction of NO with NH3: Catalytic activity and characterization. Chem. Eng. J. 2012, 192, 232–241. [Google Scholar] [CrossRef]
- Zhou, Y.H.; Su, B.X.; Ren, S.; Chen, Z.C.; Su, Z.H.; Yang, J.; Chen, L.; Wang, M.M. Nb2O5-modified Mn-Ce/AC catalyst with high ZnCl2 and SO2 tolerance for low-temperature NH3-SCR of NO. J. Environ. Chem. Eng. 2021, 9, 106323. [Google Scholar] [CrossRef]
- Yang, J.; Ren, S.; Su, B.X.; Wang, M.M.; Chen, L.; Liu, Q.C. Understanding the dual-acting of iron and sulfur dioxide over Mn-Fe/AC catalysts for low-temperature SCR of NO. Mol. Catal. 2022, 519, 112150. [Google Scholar] [CrossRef]
- Lou, X.R.; Liu, P.; Li, J.; Li, Z.; He, K. Effects of calcination temperature on Mn species and catalytic activities of Mn/ZSM-5 catalyst for selective catalytic reduction of NO with ammonia. Appl. Surf. Sci. 2014, 307, 382–387. [Google Scholar] [CrossRef]
- Li, J.; Guo, J.X.; Shi, X.K.; Wen, X.R.; Chu, Y.H.; Yuan, S.D. Effect of aluminum on the catalytic performance and reaction mechanism of Mn/MCM-41 for NH3-SCR reaction. Appl. Surf. Sci. 2020, 534, 147592. [Google Scholar] [CrossRef]
- Lu, P.; Ye, L.; Yan, X.H.; Fang, P.; Chen, X.B.; Chen, D.S.; Cen, C.P. Impact of toluene poisoning on MnCe/HZSM-5 SCR catalyst. Chem. Eng. J. 2021, 414, 128838. [Google Scholar] [CrossRef]
- Qi, G.; Yang, R.T.; Chang, R. MnOx-CeO2 mixed oxides prepared by co-precipitation for selective catalytic reduction of NO with NH3 at low temperatures. Appl. Catal. B Environ. 2004, 51, 93–106. [Google Scholar] [CrossRef]
- Liu, Z.M.; Yi, Y.; Zhang, S.X.; Zhu, T.L.; Zhu, J.Z.; Wang, J.G. Selective catalytic reduction of NOx with NH3 over Mn-Ce mixed oxide catalyst at low temperatures. Catal. Today 2013, 216, 76–81. [Google Scholar] [CrossRef]
- Li, W.M.; Liu, H.D.; Chen, Y.F. Fabrication of MnOx-CeO2-based catalytic filters and their application in low-temperature selective catalytic reduction of NO with NH3. Ind. Eng. Chem. Res. 2020, 59, 12657–12665. [Google Scholar] [CrossRef]
- Fang, X.; Liu, Y.J.; Cheng, Y.; Cen, W.L. Mechanism of Ce-modified birnessite-MnO2 in promoting SO2 poisoning resistance for low-temperature NH3-SCR. ACS Catal. 2021, 11, 4125–4135. [Google Scholar] [CrossRef]
- Yang, S.J.; Wang, C.Z.; Li, J.H.; Yan, N.Q.; Ma, L.; Chang, H.Z. Low temperature selective catalytic reduction of NO with NH3 over Mn-Fe spinel: Performance, mechanism and kinetic study. Appl. Catal. B Environ. 2011, 110, 71–80. [Google Scholar] [CrossRef]
- Fan, Z.Y.; Shi, J.W.; Gao, C.; Gao, G.; Wang, B.R.; Niu, C.M. Rationally designed porous MnOx-FeOx nanoneedles for low-temperature selective catalytic reduction of NOx by NH3. ACS Appl. Mater. Interfaces 2017, 9, 16117–16127. [Google Scholar] [CrossRef]
- Liu, Z.; Sun, G.X.; Chen, C.; Sun, K.; Zeng, L.Y.; Yang, L.Z.; Chen, Y.J.; Wang, W.H.; Liu, B.; Lu, Y.K.; et al. Fe-doped Mn3O4 spinel nanoparticles with highly exposed Feoct-O-Mntet sites for eficient selective catalytic reduction (SCR) of NO with ammonia at low temperatures. ACS Catal. 2020, 10, 6803–6809. [Google Scholar] [CrossRef]
- Zhang, L.; Shi, L.Y.; Huang, L.; Zhang, J.P.; Gao, R.H.; Zhang, D.S. Rational design of high-performance DeNOx catalysts based on MnxCo3-xO4 nanocages derived from metal-organic frameworks. ACS Catal. 2014, 4, 1753–1763. [Google Scholar] [CrossRef]
- Zhu, W.J.; Tang, X.L.; Gao, F.Y.; Yi, H.H.; Zhang, R.C.; Wang, J.E.; Yang, C.; Ni, S.Q. The effect of non-selective oxidation on the Mn2Co1Ox catalysts for NH3-SCR: Positive and non-positive. Chem. Eng. J. 2020, 385, 123797. [Google Scholar] [CrossRef]
- Cai, S.X.; Zhang, D.S.; Shi, L.Y.; Xu, J.; Zhang, L.; Huang, L.; Li, H.R.; Zhang, J.P. Porous Ni-Mn oxide nanosheets in situ formed on nickel foam as 3D hierarchical monolith de-NOx catalysts. Nanoscale 2014, 6, 7346–7353. [Google Scholar] [CrossRef]
- Wan, Y.P.; Zhao, W.R.; Tang, Y.; Li, L.; Wang, H.J.; Cui, Y.L.; Gu, J.L.; Li, Y.S.; Shi, J.L. Ni-Mn bi-metal oxide catalysts for the low temperature SCR removal of NO with NH3. Appl. Catal. B Environ. 2014, 148–149, 114–122. [Google Scholar] [CrossRef]
- Shi, Y.; Chu, Q.; Xiong, W.; Gao, J.S.; Huang, L.; Zhang, Y.Q.; Ding, Y. A new type bimetallic NiMn-MOF-74 as an efficient low-temperatures catalyst for selective catalytic reduction of NO by CO. Chem. Eng. Process. 2021, 159, 108232. [Google Scholar] [CrossRef]
- Xu, H.; Zhang, Q.L.; Qiu, C.T.; Lin, T.; Gong, M.C.; Chen, Y.Q. Tungsten modified MnOx-CeO2/ZrO2 monolith catalysts for selective catalytic reduction of NOx with ammonia. Chem. Eng. Sci. 2012, 76, 120–128. [Google Scholar] [CrossRef]
- Liu, L.J.; Su, S.; Chen, D.Z.; Shu, T.; Zheng, X.T.; Yu, J.Y.; Feng, Y.; Wang, Y.; Hu, S.; Xiang, J. Highly efficient NH3-SCR of NOx over MnFeW/Ti catalyst at low temperature: SO2 tolerance and reaction mechanism. Fuel 2022, 307, 121805. [Google Scholar] [CrossRef]
- Liu, Z.M.; Zhu, J.Z.; Li, J.H.; Ma, L.L.; Woo, S.I. Novel Mn-Ce-Ti mixed-oxide catalyst for the selective catalytic reduction of NOx with NH3. ACS Appl. Mater. Interfaces 2014, 6, 14500–14508. [Google Scholar] [CrossRef] [PubMed]
- Jiang, H.X.; Wang, C.X.; Wang, H.Q.; Zhang, M.H. Synthesis of highly efficient MnOx catalyst for low-temperature NH3-SCR prepared from Mn-MOF-74 template. Mater. Lett. 2016, 168, 17–19. [Google Scholar] [CrossRef]
- Yao, H.Y.; Cai, S.X.; Yang, B.; Han, L.P.; Wang, P.L.; Li, H.R.; Yan, T.T.; Shi, L.Y.; Zhang, D.S. In situ decorated MOF-derived Mn-Fe oxides on Fe mesh as novel monolithic catalysts for NOx reduction. New J. Chem. 2020, 44, 2357–2366. [Google Scholar] [CrossRef]
- Chen, R.Y.; Fang, X.Y.; Li, Z.G.; Liu, Z.M. Selective catalytic reduction of NOx with NH3 over a novel MOF- derived MnOx catalyst. Appl. Catal. A Gen. 2022, 643, 118754. [Google Scholar] [CrossRef]
- Ren, Z.Y.; Fan, H.; Wang, R. A novel ring-like Fe2O3-based catalyst: Tungstophosphoric acid modification, NH3-SCR activity and tolerance to H2O and SO2. Catal. Commun. 2017, 100, 71–75. [Google Scholar] [CrossRef]
- Ren, Z.Y.; Teng, Y.F.; Zhao, L.Y.; Wang, R. Keggin-tungstophosphoric acid decorated Fe2O3 nanoring as a new catalyst for selective catalytic reduction of NOx with ammonia. Catal. Today 2017, 297, 36–45. [Google Scholar] [CrossRef]
- Geng, Y.; Xiong, S.C.; Li, B.; Peng, Y.; Yang, S.J. Promotion of H3PW12O40 grafting on NOx abatement over γ-Fe2O3: Performance and reaction mechanism. Ind. Eng. Chem. Res. 2018, 57, 13661–13670. [Google Scholar] [CrossRef]
- Wu, J.H.; Jin, S.L.; Wei, X.D.; Gu, F.J.; Han, Q.; Lan, Y.X.; Qian, C.L.; Li, J.Q.; Wang, X.R.; Zhang, R.; et al. Enhanced sulfur resistance of H3PW12O40-modified Fe2O3 catalyst for NH3-SCR: Synergistic effect of surface acidity and oxidation ability. Chem. Eng. J. 2021, 412, 128712. [Google Scholar] [CrossRef]
- Weng, X.L.; Dai, X.X.; Zeng, Q.S.; Liu, Y.; Wu, Z.B. DRIFT studies on promotion mechanism of H3PW12O40 in selective catalytic reduction of NO with NH3. J. Colloid Interf. Sci. 2016, 461, 9–14. [Google Scholar] [CrossRef] [PubMed]
- Geng, Y.; Xiong, S.C.; Li, B.; Liao, Y.; Xiao, X.; Yang, S.J. H3PW12O40 grafted on CeO2: A high-performance catalyst for the selective catalytic reduction of NOx with NH3. Ind. Eng. Chem. Res. 2018, 57, 856–866. [Google Scholar] [CrossRef]
- Geng, Y.; Jin, K.; Mei, J.; Su, G.Y.; Ma, L.; Yang, S.J. CeO2 grafted with different heteropoly acids for selective catalytic reduction of NO with NH3. J. Hazard. Mater. 2020, 382, 121032. [Google Scholar] [CrossRef]
- Putluru, S.S.R.; Mossin, S.; Riisager, A.; Fehrmann, R. Heteropoly acid promoted Cu and Fe catalysts for the selective catalytic reduction of NO with ammonia. Catal. Today 2011, 176, 292–297. [Google Scholar] [CrossRef]
- Putluru, S.S.R.; Jensen, A.D.; Riisager, A.; Fehrmann, R. Heteropoly acid promoted V2O5/TiO2 catalysts for NO abatement with ammonia in alkali containing flue gases. Catal. Sci. Technol. 2011, 1, 631–637. [Google Scholar] [CrossRef]
- Tang, X.L.; Wang, C.Z.; Gao, F.Y.; Zhang, R.C.; Shi, Y.R.; Yi, H.H. Acid modification enhances selective catalytic reduction activity and sulfur dioxide resistance of manganese-cerium-cobalt catalysts: Insight into the role of phosphotungstic acid. J. Colloid Interf. Sci. 2021, 603, 291–306. [Google Scholar] [CrossRef]
- Xiao, X.; Sheng, Z.Y.; Yang, L.; Dong, F. Low-temperature selective catalytic reduction of NOx with NH3 over a manganese and cerium oxide/graphene composite prepared by a hydrothermal method. Catal. Sci. Technol. 2016, 6, 1507–1514. [Google Scholar] [CrossRef]
- Gao, F.Y.; Tang, X.L.; Yi, H.H.; Li, J.Y.; Zhao, S.Z.; Wang, J.G.; Chu, C.; Li, C.L. Promotional mechanisms of activity and SO2 tolerance of Co-or Ni-doped MnOx-CeO2 catalysts for SCR of NOx with NH3 at low temperature. Chem. Eng. J. 2017, 317, 20–31. [Google Scholar] [CrossRef]
- Meng, D.M.; Zhan, W.C.; Guo, Y.; Guo, Y.L.; Wang, L.; Lu, G.Z. A highly effective catalyst of Sm-MnOx for the NH3-SCR of NOx at low temperature: Promotional role of Sm and its catalytic performance. ACS Catal. 2015, 5, 5973–5983. [Google Scholar] [CrossRef]
- Jalil, P.A.; Faiz, M.; Tabet, N.; Hamdan, N.M.; Hussain, Z. A study of the stability of tungstophosphoric acid, H3PW12O40, using synchrotron XPS, XANES, hexane cracking, XRD, and IR spectroscopy. J. Catal. 2003, 217, 292–297. [Google Scholar] [CrossRef]
- Essayem, N.; Holmqvist, A.; Gayraud, P.Y.; Vedrine, J.C.; Taarit, Y.B. In situ FTIR studies of the protonic sites of H3PW12O40 and its acidic cesium salts MxH3-xPW12O40. J. Catal. 2001, 197, 273–280. [Google Scholar] [CrossRef]
- Jiang, Y.; Liu, T.Y.; Gao, W.Q.; Ge, H.W.; Yang, Z.D.; Lin, R.Y.; Wang, X.W. Three-dimensionally ordered macroporous Ce-W-Nb oxide catalysts for selective catalytic reduction of NO with NH3. Chem. Eng. J. 2022, 433, 134576. [Google Scholar] [CrossRef]
- Zhang, X.; Liu, Y.X.; Deng, J.G.; Zhao, X.T.; Zhang, K.F.; Yang, J.; Han, Z.; Jiang, X.Y.; Dai, H.X. Three-dimensionally ordered macroporous Cr2O3-CeO2: High-performance catalysts for the oxidative removal of trichloroethylene. Catal. Today 2020, 339, 200–209. [Google Scholar] [CrossRef]
- Lian, Z.H.; Liu, F.D.; He, H.; Shi, X.Y.; Mo, J.S.; Wu, Z.B. Manganese-niobium mixed oxide catalyst for the selective catalytic reduction of NOx with NH3 at low temperatures. Chem. Eng. J. 2014, 250, 390–398. [Google Scholar] [CrossRef]
- Sun, P.; Guo, R.T.; Liu, S.M.; Wang, S.X.; Pan, W.G.; Li, M.Y. The enhanced performance of MnOx catalyst for NH3-SCR reaction by the modification with Eu. Appl. Catal. A Gen. 2017, 531, 129–138. [Google Scholar] [CrossRef]
- Xiong, S.C.; Peng, Y.; Wang, D.; Huang, N.; Zhang, Q.F.; Yang, S.J.; Chen, J.J.; Li, J.H. The role of the Cu dopant on a Mn3O4 spinel SCR catalyst: Improvement of low-temperature activity and sulfur resistance. Chem. Eng. J. 2020, 387, 124090. [Google Scholar] [CrossRef]
- Wu, X.; Liu, L.L.; Liu, J.N.; Hou, B.H.; Du, Y.L.; Xie, X.M. NiMn mixed oxides with enhanced low-temperature deNOx performance: Insight into the coordinated decoration of MnOx by NiO phase via glycine combustion method. Appl. Catal. A Gen. 2021, 610, 117918. [Google Scholar] [CrossRef]
- Xiong, S.C.; Liao, Y.; Xiao, X.; Dang, H.; Yang, S.J. Novel effect of H2O on the low temperature selective catalytic reduction of NO with NH3 over MnOx-CeO2: Mechanism and kinetic Study. J. Phys. Chem. C 2015, 119, 4180–4187. [Google Scholar] [CrossRef]
- Wang, C.Z.; Gao, F.Y.; Ko, S.J.; Liu, H.H.; Yi, H.H.; Tang, X.L. Structural control for inhibiting SO2 adsorption in porous MnCe nanowire aerogel catalysts for low-temperature NH3-SCR. Chem. Eng. J. 2022, 434, 134729. [Google Scholar] [CrossRef]
- Chen, L.Q.; Yuan, F.L.; Li, Z.B.; Niu, X.Y.; Zhu, Y.J. Synergistic effect between the redox property and acidity on enhancing the low temperature NH3-SCR activity for NO removal over the Co0.2CexMn0.8-xTi10 (x = 0–0.40) oxides catalysts. Chem. Eng. J. 2018, 354, 393–406. [Google Scholar] [CrossRef]
- Kim, M.J.; Youn, J.R.; Lee, S.J.; Ryu, I.S.; Nam, S.C.; Jeong, S.K.; Jeon, S.K. Facile control of surface properties in CeO2-promoted Mn/TiO2 catalyst for low-temperature selective catalytic reduction of NO by NH3. J. Ind. Eng. Chem. 2022, 108, 438–448. [Google Scholar] [CrossRef]
- Yoon, W.; Kim, Y.; Kim, G.J.; Kim, J.-R.; Lee, S.; Han, H.; Park, G.H.; Chae, H.-J.; Kim, W.B. Boosting low temperature De-NOx performance and SO2 resistance over Ce-doped two dimensional Mn-Cr layered double oxide catalyst. Chem. Eng. J. 2022, 434, 134676. [Google Scholar] [CrossRef]
- Chen, L.; Yao, X.J.; Cao, J.; Yang, F.M.; Tang, C.J.; Dong, L. Effect of Ti4+ and Sn4+ co-incorporation on the catalytic performance of CeO2-MnOx catalyst for low temperature NH3-SCR. Appl. Surf. Sci. 2019, 476, 283–292. [Google Scholar] [CrossRef]
- Zhang, Y.P.; Li, G.B.; Wu, P.; Zhuang, K.; Shen, K.; Wang, S.; Huang, T.J. Effect of SO2 on the low-temperature denitrification performance of Ho-modified Mn/Ti catalyst. Chem. Eng. J. 2020, 400, 122597. [Google Scholar] [CrossRef]
- Li, C.X.; Shen, M.Q.; Yu, T.; Wang, J.Q.; Wang, J.; Zhai, Y.P. The mechanism of ammonium bisulfate formation and decomposition over V/WTi catalysts for NH3-selective catalytic reduction at various temperatures. Phys. Chem. Chem. Phys. 2017, 19, 15194–15206. [Google Scholar] [CrossRef]
- Xiong, Z.B.; Wang, W.; Li, J.; Huang, L.H.; Lu, W. The synergistic promotional effect of W doping and sulfate modification on the NH3-SCR activity of CeO2 catalyst. Mol. Catal. 2022, 522, 112250. [Google Scholar] [CrossRef]
- Liu, Y.P.; He, B.; Li, Q.; Liu, H.; Qiu, L.; Liu, J.; Xiang, W.; Liu, Y.X.; Wang, G.K.; Wu, Z.G.; et al. Relieving capacity decay and voltage fading of Li1.2Ni0.13Co0.13Mn0.54O2 by Mg2+ and PO43- dual doping. Mater. Res. Bull. 2020, 130, 110923. [Google Scholar] [CrossRef]
- Li, Y.F.; Hou, Y.Q.; Zhang, Y.Z.; Yang, Y.T.; Huang, Z.G. Confinement of MnOx@Fe2O3 core-shell catalyst with titania nanotubes: Enhanced N2 selectivity and SO2 tolerance in NH3-SCR process. J. Colloid Interf. Sci. 2022, 608, 2224–2234. [Google Scholar] [CrossRef] [PubMed]
- Xue, H.Y.; Guo, X.M.; Meng, T.; Guo, Q.S.; Mao, D.S.; Wang, S. Cu-ZSM-5 catalyst impregnated with Mn-Co oxide for the selected catalytic reduction of NO: Physicochemical property-catalytic activity relationship and in situ DRIFTS study for the reaction mechanism. ACS Catal. 2021, 11, 7702–7718. [Google Scholar] [CrossRef]
- Liu, Y.Y.; Gao, F.Y.; Ko, S.J.; Wang, C.Z.; Liu, H.H.; Tang, X.L.; Yi, H.H.; Zhou, Y.S. Superior catalytic performance within H2O-vapor of W-modified CoMn2O4/TiO2 catalyst for selective catalytic reduction of NOx with NH3. Chem. Eng. J. 2022, 434, 134770. [Google Scholar] [CrossRef]
- Fan, Z.Y.; Shi, J.W.; Gao, C.; Gao, G.; Wang, B.R.; Wang, Y.; He, C.; Niu, C.M. Gd-modified MnOx for the selective catalytic reduction of NO by NH3: The promoting effect of Gd on the catalytic performance and sulfur resistance. Chem. Eng. J. 2018, 348, 820–830. [Google Scholar] [CrossRef]
- Gao, E.H.; Feng, W.J.; Huang, B.; Zhu, J.L.; Wang, W.; Li, J.W.; He, Y. The enhanced resistance to Na+-poisoning of MnCoCrOx SCR catalyst by acidity regulation: The mechanism of sulfuric acid pretreatment. Mol. Catal. 2022, 518, 112084. [Google Scholar] [CrossRef]
- Hu, H.; Cai, S.X.; Li, H.R.; Huang, L.; Shi, L.Y.; Zhang, D.S. In situ DRIFTs investigation of the low-temperature reaction mechanism over Mn-doped Co3O4 for the selective catalytic reduction of NOx with NH3. J. Phys. Chem. C 2015, 119, 22924–22933. [Google Scholar] [CrossRef]
- Meng, D.M.; Xu, Q.; Jiao, Y.L.; Guo, Y.; Guo, Y.L.; Wang, L.; Lu, G.Z.; Zhan, W.C. Spinel structured CoaMnbOx mixed oxide catalyst for the selective catalytic reduction of NOx with NH3. Appl. Catal. B Environ. 2018, 221, 652–663. [Google Scholar] [CrossRef]
- Fan, A.D.; Jing, Y.; Guo, J.X.; Shi, X.K.; Yuan, S.D.; Li, J.J. Investigation of Mn doped perovskite La-Mn oxides for NH3-SCR activity and SO2/H2O resistance. Fuel 2022, 310, 122237. [Google Scholar] [CrossRef]
- Xu, Q.; Li, Z.Y.; Wang, L.; Zhan, W.C.; Guo, Y.L.; Guo, Y. Understand the role of redox property and NO adsorption over MnFeOx for NH3-SCR. Catal. Sci. Technol. 2022, 12, 2030–2041. [Google Scholar] [CrossRef]
- Hu, H.; Cai, S.X.; Li, H.R.; Huang, L.; Shi, L.Y.; Zhang, D.S. Mechanistic aspects of deNOx processing over TiO2 supported Co-Mn oxide catalysts: Structure-activity relationships and in situ DRIFTs analysis. ACS Catal. 2015, 5, 6069–6077. [Google Scholar] [CrossRef]
- Xue, H.Y.; Guo, X.M.; Meng, T.; Mao, D.S.; Ma, Z. NH3-SCR of NO over M/ZSM-5 (M = Mn, Co, Cu) catalysts: An in-situ DRIFTS study. Surf. Interfaces 2022, 29, 101722. [Google Scholar] [CrossRef]
- Qiu, L.; Pang, D.D.; Zhang, C.L.; Meng, J.J.; Zhu, R.S.; Ouyang, F. In situ IR studies of Co and Ce doped Mn/TiO2 catalyst for low-temperature selective catalytic reduction of NO with NH3. Appl. Surf. Sci. 2015, 357, 189–196. [Google Scholar] [CrossRef]
- Guo, R.T.; Wang, S.X.; Pan, W.G.; Li, M.Y.; Sun, P.; Liu, S.M.; Sun, X.; Liu, S.W.; Liu, J. Different poisoning effects of K and Mg on the Mn/TiO2 catalyst for selective catalytic reduction of NOx with NH3: A mechanistic study. J. Phys. Chem. C 2017, 121, 7881–7891. [Google Scholar] [CrossRef]
- Xie, S.Z.; Li, L.L.; Jin, L.J.; Wu, Y.H.; Liu, H.; Qin, Q.J.; Wei, X.L.; Liu, J.X.; Dong, L.H.; Li, B. Low temperature high activity of M (M = Ce, Fe, Co, Ni) doped M-Mn/TiO2 catalysts for NH3-SCR and in situ DRIFTS for investigating the reaction mechanism. Appl. Surf. Sci. 2020, 515, 146014. [Google Scholar] [CrossRef]
- Kijlstra, W.S.; Brands, D.S.; Poels, E.K.; Bliek, A. Mechanism of the selective catalytic reduction of NO by NH3 over MnOx/Al2O3 I. Adsorption and desorption of the single reaction components. J. Catal. 1997, 171, 208–218. [Google Scholar] [CrossRef]
- Wei, L.H.; Li, X.Y.; Mu, J.C.; Wang, X.Y.; Fan, S.Y.; Yin, Z.F.; Tadé, M.O.; Liu, S.M. Rationally tailored redox properties of a mesoporous Mn-Fe spinel nanostructure for boosting low-temperature selective catalytic reduction of NOx with NH3. ACS Sustain. Chem. Eng. 2020, 8, 17727–17739. [Google Scholar] [CrossRef]
- Sun, Q.; Gao, Z.X.; Wen, B.; Sachtler, W.M.H. Spectroscopic evidence for a nitrite intermediate in the catalytic reduction of NOx with ammonia on Fe/MFI. Catal. Lett. 2002, 78, 1–5. [Google Scholar] [CrossRef]
- Gao, F.Y.; Tang, X.L.; Yi, H.H.; Zhao, S.Z.; Wang, J.E.; Gu, T. Improvement of activity, selectivity and H2O & SO2-tolerance of micro-mesoporous CrMn2O4 spinel catalyst for low-temperature NH3-SCR of NOx. Appl. Surf. Sci. 2019, 466, 411–424. [Google Scholar] [CrossRef]
- Gao, F.Y.; Tang, X.L.; Yi, H.H.; Zhao, S.Z.; Wang, J.G.; Shi, Y.R.; Meng, X.M. Novel Co or Ni-Mn binary oxide catalysts with hydroxyl groups for NH3-SCR of NOx at low temperature. Appl. Surf. Sci. 2018, 443, 103–113. [Google Scholar] [CrossRef]













| Samples | BET Surface Area (m2/g) | Total Pore Volume (cm3/g) | Average Pore Diameter (nm) |
|---|---|---|---|
| Mn | 33.7 | 0.14 | 17.0 |
| Mn-HPW0.005 | 54.9 | 0.18 | 13.7 |
| Mn-HPW0.01 | 58.5 | 0.17 | 11.6 |
| Mn-HPW0.02 | 69.1 | 0.14 | 8.3 |
| Mn-HPW0.03 | 55.7 | 0.14 | 10.1 |
| Mn-HPW0.04 | 52.5 | 0.14 | 12.4 |
| HPW | 1.6 | 0.00 | 2.0 |
| Catalyst | Surface Atomic Concentration 1 (at. %) | Relative Ratio 2 (%) | Relative Concentration 3 (at. %) | |||||||||
|---|---|---|---|---|---|---|---|---|---|---|---|---|
| Mn | O | W | P | Mn4+/Mn | Mn3+/Mn | Mn2+/Mn | Oβ/O | Mn4+ | Mn3+ | Mn2+ | Oβ | |
| Mn | 30.7 | 51.2 | - | - | 26.7 | 52.2 | 21.1 | 35.1 | 8.2 | 16.0 | 6.5 | 18.0 |
| Mn-HPW0.005 | 27.4 | 52.8 | 2.0 | 1.2 | 26.6 | 51.8 | 21.6 | 32.2 | 7.3 | 14.2 | 5.9 | 17.0 |
| Mn-HPW0.01 | 26.1 | 54.1 | 3.1 | 1.4 | 25.9 | 51.5 | 22.6 | 32.3 | 6.8 | 13.4 | 5.9 | 17.5 |
| Mn-HPW0.02 | 24.6 | 54.0 | 4.0 | 1.7 | 24.6 | 52.3 | 23.1 | 32.3 | 6.1 | 12.8 | 5.7 | 17.5 |
| Mn-HPW0.03 | 21.6 | 54.5 | 5.3 | 2.1 | 24.3 | 53.1 | 22.6 | 32.3 | 5.3 | 11.4 | 4.9 | 17.6 |
| Mn-HPW0.04 | 21.2 | 55.2 | 6.1 | 2.3 | 24.2 | 53.4 | 22.4 | 32.3 | 5.1 | 11.3 | 4.8 | 17.8 |
Publisher’s Note: MDPI stays neutral with regard to jurisdictional claims in published maps and institutional affiliations. |
© 2022 by the authors. Licensee MDPI, Basel, Switzerland. This article is an open access article distributed under the terms and conditions of the Creative Commons Attribution (CC BY) license (https://creativecommons.org/licenses/by/4.0/).
Share and Cite
Xue, H.; Guo, X.; Mao, D.; Meng, T.; Yu, J.; Ma, Z. Phosphotungstic Acid-Modified MnOx for Selective Catalytic Reduction of NOx with NH3. Catalysts 2022, 12, 1248. https://doi.org/10.3390/catal12101248
Xue H, Guo X, Mao D, Meng T, Yu J, Ma Z. Phosphotungstic Acid-Modified MnOx for Selective Catalytic Reduction of NOx with NH3. Catalysts. 2022; 12(10):1248. https://doi.org/10.3390/catal12101248
Chicago/Turabian StyleXue, Hongyan, Xiaoming Guo, Dongsen Mao, Tao Meng, Jun Yu, and Zhen Ma. 2022. "Phosphotungstic Acid-Modified MnOx for Selective Catalytic Reduction of NOx with NH3" Catalysts 12, no. 10: 1248. https://doi.org/10.3390/catal12101248
APA StyleXue, H., Guo, X., Mao, D., Meng, T., Yu, J., & Ma, Z. (2022). Phosphotungstic Acid-Modified MnOx for Selective Catalytic Reduction of NOx with NH3. Catalysts, 12(10), 1248. https://doi.org/10.3390/catal12101248

