On a Response Surface Analysis: Hydrodeoxygenation of Phenol over a CoMoS-Based Active Phase
Abstract
1. Introduction
2. Results
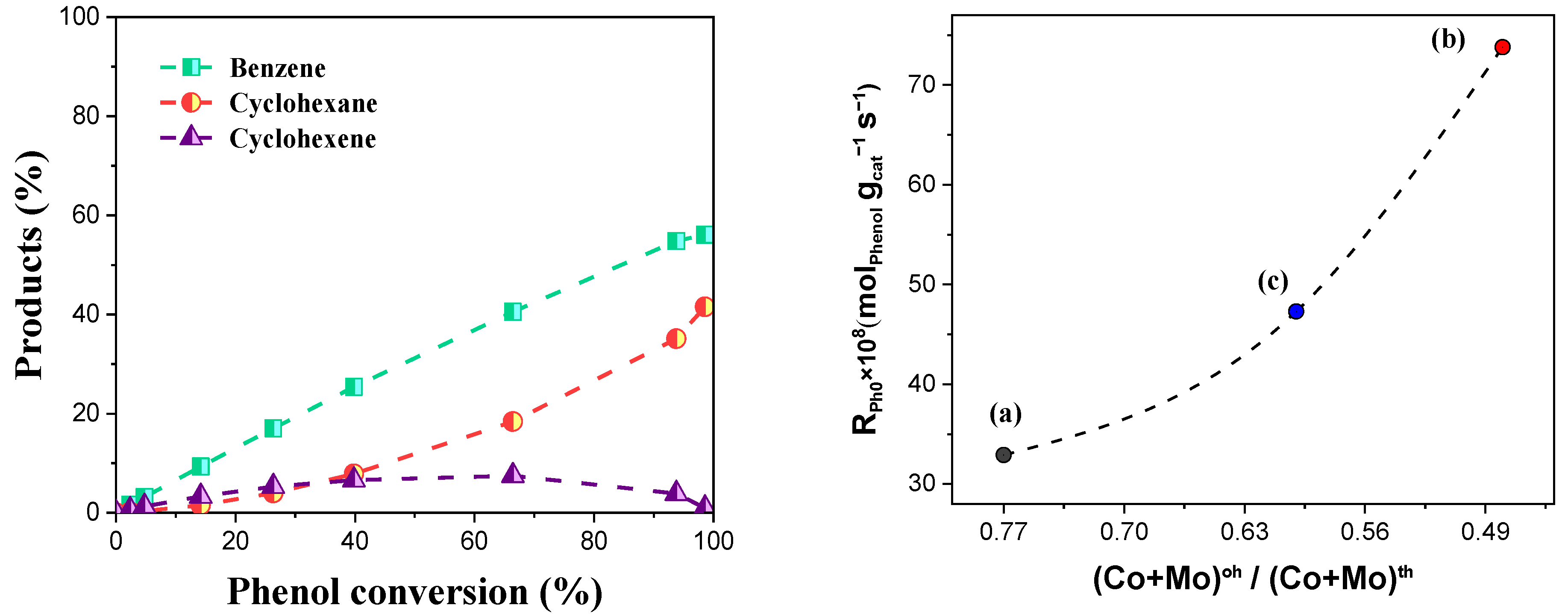
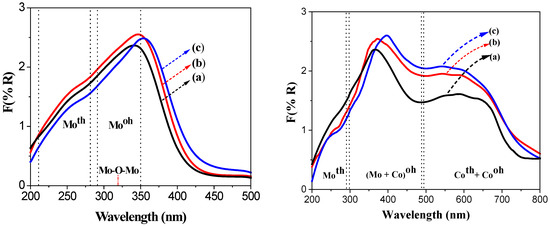
2.1. Catalyst Characterization
2.2. Catalytic Evaluation
3. Discussion
4. Methodology
4.1. Catalyst Synthesis
4.2. Catalysts Characterization
4.3. Catalytic Evaluation
4.4. Contribution Analysis
5. Conclusions
Supplementary Materials
Author Contributions
Funding
Data Availability Statement
Conflicts of Interest
References
- Ding, S.; Parlett, C.M.A.; Fan, X. Recent developments in multifunctional catalysts for fatty acid hydrodeoxygenation as a route towards biofuels. Mol. Catal. 2022, 523, 111492. [Google Scholar] [CrossRef]
- Valle, B.; Remiro, A.; García-Gómez, N.; Gayubo, A.G.; Bilbao, J. Recent research progress on bio-oil conversion into bio-fuels and raw chemicals: A review. J. Chem. Technol. Biotechnol. 2019, 94, 670–689. [Google Scholar] [CrossRef]
- Ambursa, M.M.; Juan, J.C.; Yahaya, Y.; Taufiq-Yap, Y.H.; Lin, Y.C.; Lee, H.V. A review on catalytic hydrodeoxygenation of lignin to transportation fuels by using nickel-based catalysts. Renew. Sustain. Energy Rev. 2021, 138, 110667. [Google Scholar] [CrossRef]
- Dabros, T.M.H.; Stummann, M.Z.; Høj, M.; Jensen, P.A.; Grunwaldt, J.D.; Gabrielsen, J.; Mortensen, P.M.; Jensen, A.D. Transportation fuels from biomass fast pyrolysis, catalytic hydrodeoxygenation, and catalytic fast hydropyrolysis. Progress Energy Combust. Sci. 2018, 68, 268–309. [Google Scholar] [CrossRef]
- Pourzolfaghar, H.; Abnisa, F.; Wan Daud, W.M.A.; Aroua, M.K. Atmospheric hydrodeoxygenation of bio-oil oxygenated model compounds: A review. J. Anal. Appl. Pyrolysis 2018, 133, 117–127. [Google Scholar] [CrossRef]
- Li, X.; Chen, G.; Liu, C.; Ma, W.; Yan, B.; Zhang, J. Hydrodeoxygenation of lignin-derived bio-oil using molecular sieves supported metal catalysts: A critical review. Renew. Sustain. Energy Rev. 2017, 71, 296–308. [Google Scholar] [CrossRef]
- Zhao, C.; Kou, Y.; Lemonidou, A.A.; Li, X.; Lercher, J.A. Highly Selective Catalytic Conversion of Phenolic Bio-Oil to Alkanes. Angew. Chem. 2009, 48, 3987–3990. [Google Scholar] [CrossRef]
- Patel, M.; Kumar, A. Production of renewable diesel through the hydroprocessing of lignocellulosic biomass-derived bio-oil: A review. Renew. Sustain. Energy Rev. 2016, 58, 1293–1307. [Google Scholar] [CrossRef]
- Gutierrez, A.; Turpeinen, E.M.; Viljava, T.R.; Krause, O. Hydrodeoxygenation of model compounds on sulfided CoMo/Γ-Al2O3 and NiMo/Γ-Al2O3 catalysts; Role of sulfur-containing groups in reaction networks. Catal. Today 2017, 285, 125–134. [Google Scholar] [CrossRef]
- Ryymin, E.M.; Honkela, M.L.; Viljava, T.R.; Krause, A.O.I. Competitive reactions and mechanisms in the simultaneous HDO of phenol and methyl heptanoate over sulphided NiMo/γ-Al2O3. Appl. Catal. A Gen. 2010, 389, 114–121. [Google Scholar] [CrossRef]
- Yoosuk, B.; Tumnantong, D.; Prasassarakich, P. Unsupported MoS2 and CoMoS2 catalysts for hydrodeoxygenation of phenol. Chem. Eng. Sci. 2012, 79, 1–7. [Google Scholar] [CrossRef]
- Nimmanwudipong, T.; Runnebaum, R.C.; Block, D.E.; Gates, B.C. Catalytic conversion of guaiacol catalyzed by platinum supported on alumina: Reaction network including hydrodeoxygenation reactions. Energy Fuels 2011, 25, 3417–3427. [Google Scholar] [CrossRef]
- Echeandia, S.; Arias, P.L.; Barrio, V.L.; Pawelec, B.; Fierro, J.L.G. Synergy effect in the HDO of phenol over Ni-W catalysts supported on active carbon: Effect of tungsten precursors. Appl. Catal. B. 2010, 101, 1–12. [Google Scholar] [CrossRef]
- Wildschut, J.; Mahfud, F.H.; Venderbosch, R.H.; Heeres, H.J. Hydrotreatment of fast pyrolysis oil using heterogeneous noble-metal catalysts. Ind. Eng. Chem. Res. 2009, 48, 10324–10334. [Google Scholar] [CrossRef]
- Yang, Y.; Gilbert, A.; Xu, C. Hydrodeoxygenation of bio-crude in supercritical hexane with sulfided CoMo and CoMoP catalysts supported on MgO: A model compound study using phenol. Appl. Catal. A Gen. 2009, 360, 242–249. [Google Scholar] [CrossRef]
- Bui, V.N.; Laurenti, D.; Afanasiev, P.; Geantet, C. Hydrodeoxygenation of guaiacol with CoMo catalysts. Part I: Promoting effect of cobalt on HDO selectivity and activity. Appl. Catal. B 2011, 101, 239–245. [Google Scholar] [CrossRef]
- Bui, V.N.; Laurenti, D.; Delichère, P.; Geantet, C. Hydrodeoxygenation of guaiacol. Part II: Support effect for CoMoS catalysts on HDO activity and selectivity. Appl. Catal. B. 2011, 101, 246–255. [Google Scholar] [CrossRef]
- Ryymin, E.M.; Honkela, M.L.; Viljava, T.R.; Krause, A.O.I. Insight to sulfur species in the hydrodeoxygenation of aliphatic esters over sulfided NiMo/γ-Al2O3 catalyst. Appl. Catal. A Gen. 2009, 358, 42–48. [Google Scholar] [CrossRef]
- Grilc, M.; Likozar, B.; Levec, J. Hydrotreatment of solvolytically liquefied lignocellulosic biomass over NiMo/Al2O3 catalyst: Reaction mechanism, hydrodeoxygenation kinetics and mass transfer model based on FTIR. Biomass Bioenergy 2014, 63, 300–312. [Google Scholar] [CrossRef]
- Dugulan, A.I.; van Veen, J.A.R.; Hensen, E.J.M. On the structure and hydrotreating performance of carbon-supported CoMo- and NiMo-sulfides. Appl. Catal. B 2013, 142–143, 178–186. [Google Scholar] [CrossRef]
- Ojagh, H.; Creaser, D.; Tamm, S.; Arora, P.; Nyström, S.; Lind Grennfelt, E.; Olsson, L. Effect of Dimethyl Disulfide on Activity of NiMo Based Catalysts Used in Hydrodeoxygenation of Oleic Acid. Ind. Eng. Chem. Res. 2017, 56, 5547–5557. [Google Scholar] [CrossRef]
- Lin, Y.C.; Li, C.L.; Wan, H.P.; Lee, H.T.; Liu, C.F. Catalytic hydrodeoxygenation of guaiacol on Rh-based and sulfided CoMo and NiMo catalysts. Energy Fuels 2011, 25, 890–896. [Google Scholar] [CrossRef]
- Sun, M.; Adjaye, J.; Nelson, A.E. Theoretical investigations of the structures and properties of molybdenum-based sulfide catalysts. Appl. Catal. A Gen. 2004, 263, 131–143. [Google Scholar] [CrossRef]
- Escobar, J.; de Los Reyes, J.A.; Viveros, T. Nickel on TiO2-modified Al2O3 sol-gel oxides: Effect of synthesis parameters on the supported phase properties. Appl. Catal. A Gen. 2003, 253, 151–163. [Google Scholar] [CrossRef]
- Tavizón-Pozos, J.A.; Suárez-Toriello, V.A.; del Ángel, P.; de Los Reyes Heredia, J.A. Hydrodeoxygenation of Phenol over Sulfided CoMo Catalysts Supported on a Mixed Al2O3-TiO2 Oxide. Int. J. Chem. React. Eng. 2016, 14, 1211–1223. [Google Scholar] [CrossRef]
- García-Martínez, J.C.; Castillo-Araiza, C.O.; de los Reyes Heredia, J.A.; Trejo, E.; Montesinos, A. Kinetics of HDS and of the inhibitory effect of quinoline on HDS of 4,6-DMDBT over a Ni-Mo-P/Al2O3 catalyst: Part I. Chem. Eng. J. 2012, 210, 53–62. [Google Scholar] [CrossRef]
- Wei, S.; Wang, F.; Dan, M.; Zeng, K.; Zhou, Y. The role of high oxygen vacancy concentration on modification of surface properties and H2S adsorption on the rutile TiO2 (110). Appl. Surf. Sci. 2017, 422, 990–996. [Google Scholar] [CrossRef]
- Popov, A.; Kondratieva, E.; Goupil, J.M.; Mariey, L.; Bazin, P.; Gilson, J.P.; Travert, A.; Maugé, F. Bio-oils hydrodeoxygenation: Adsorption of phenolic molecules on oxidic catalyst supports. J. Phys. Chem. C 2010, 114, 15661–15670. [Google Scholar] [CrossRef]
- Popov, A.; Kondratieva, E.; Mariey, L.; Goupil, J.M.; el Fallah, J.; Gilson, J.P.; Travert, A.; Maugé, F. Bio-oil hydrodeoxygenation: Adsorption of phenolic compounds on sulfided (Co)Mo catalysts. J. Catal. 2013, 297, 176–186. [Google Scholar] [CrossRef]
- Sharifvaghefi, S.; Yang, B.; Zheng, Y. New insights on the role of H2S and sulfur vacancies on dibenzothiophene hydrodesulfurization over MoS2 edges. Appl. Catal. A Gen. 2018, 566, 164–173. [Google Scholar] [CrossRef]
- Kibsgaard, J.; Tuxen, A.; Knudsen, K.G.; Brorson, M.; Topsøe, H.; Lægsgaard, E.; Lauritsen, J.V.; Besenbacher, F. Comparative atomic-scale analysis of promotional effects by late 3d-transition metals in MoS2 hydrotreating catalysts. J. Catal. 2010, 272, 195–203. [Google Scholar] [CrossRef]
- Zhao, Y.P.; Wu, F.P.; Song, Q.L.; Fan, X.; Jin, L.J.; Wang, R.Y.; Cao, J.P.; Wei, X.Y. Hydrodeoxygenation of lignin model compounds to alkanes over Pd–Ni/HZSM-5 catalysts. J. Energy Inst. 2020, 93, 899–910. [Google Scholar] [CrossRef]
- Rios-Escobedo, R.; Ortiz-Santos, E.; Colín-Luna, J.A.; Díaz de León, J.N.; Escobar, P.A.J.; de los Reyes Heredia, J.A. Anisole Hydrodeoxygenation: A Comparative Study of Ni/TiO2-ZrO2 and Commercial TiO2 Supported Ni and NiRu Catalysts. Top. Catal. 2022, 65, 1448–1461. [Google Scholar] [CrossRef]
- He, Y.; Bie, Y.; Lehtonen, J.; Liu, R.; Cai, J. Hydrodeoxygenation of guaiacol as a model compound of lignin-derived pyrolysis bio-oil over zirconia-supported Rh catalyst: Process optimization and reaction kinetics. Fuel 2019, 239, 1015–1027. [Google Scholar] [CrossRef]
- Ghampson, I.T.; Canales, R.; Escalona, N. A study of the hydrodeoxygenation of anisole over Re-MoOx/TiO2 catalyst. Appl. Catal. A Gen. 2018, 549, 225–236. [Google Scholar] [CrossRef]
- Bjelić, A.; Grilc, M.; Likozar, B. Catalytic hydrogenation and hydrodeoxygenation of lignin-derived model compound eugenol over Ru/C: Intrinsic microkinetics and transport phenomena. Chem. Eng. J. 2018, 333, 240–259. [Google Scholar] [CrossRef]
- Zhu, C.; Cao, J.P.; Zhao, X.Y.; Xie, T.; Zhao, M.; Wei, X.Y. Bimetallic effects in the catalytic hydrogenolysis of lignin and its model compounds on Nickel-Ruthenium catalysts. Fuel Process. Technol. 2019, 194, 106126. [Google Scholar] [CrossRef]
- Lu, M.; Du, H.; Wei, B.; Zhu, J.; Li, M.; Shan, Y.; Shen, J.; Song, C. Hydrodeoxygenation of Guaiacol on Ru Catalysts: Influence of TiO2-ZrO2 Composite Oxide Supports. Ind. Eng. Chem. Res. 2017, 56, 12070–12079. [Google Scholar] [CrossRef]
- Pan, C.J.; Tsai, M.C.; Su, W.N.; Rick, J.; Akalework, N.G.; Agegnehu, A.K.; Cheng, S.-Y.; Hwang, B.-J. Tuning/exploiting Strong Metal-Support Interaction (SMSI) in Heterogeneous Catalysis. J. Taiwan Inst. Chem. Eng. 2017, 74, 154–186. [Google Scholar] [CrossRef]
- Massoth, F.E.; Politzer, P.; Concha, M.C.; Murray, J.S.; Jakowski, J.; Simons, J. Catalytic hydrodeoxygenation of methyl-substituted phenols: Correlations of kinetic parameters with molecular properties. J. Phys. Chem. B 2006, 110, 14283–14291. [Google Scholar] [CrossRef]
- Mortensen, P.M.; Grunwaldt, J.D.; Jensen, P.A.; Jensen, A.D. Screening of catalysts for hydrodeoxygenation of phenol as a model compound for bio-oil. ACS Catal. 2013, 3, 1774–1785. [Google Scholar] [CrossRef]
- Broglia, F.; Rimoldi, L.; Meroni, D.; de Vecchi, S.; Morbidelli, M.; Ardizzone, S. Guaiacol hydrodeoxygenation as a model for lignin upgrading. Role of the support surface features on Ni-based alumina-silica catalysts. Fuel 2019, 243, 501–508. [Google Scholar] [CrossRef]
- Sirous-Rezaei, P.; Jae, J.; Cho, K.; Ko, C.H.; Jung, S.C.; Park, Y.K. Insight into the effect of metal and support for mild hydrodeoxygenation of lignin-derived phenolics to BTX aromatics. Chem. Eng. J. 2019, 377, 120121. [Google Scholar] [CrossRef]
- Gonçalves, V.O.O.; Brunet, S.; Richard, F. Hydrodeoxygenation of Cresols Over Mo/Al2O3 and CoMo/Al2O3 Sulfided Catalysts. Catal. Lett. 2016, 146, 1562–1573. [Google Scholar] [CrossRef]
- Venkatesan, K.; Krishna, J.V.J.; Anjana, S.; Selvam, P.; Vinu, R. Hydrodeoxygenation kinetics of syringol, guaiacol and phenol over H-ZSM-5. Catal. Commun. 2021, 148, 106164. [Google Scholar] [CrossRef]
- Prasomsri, T.; To, A.T.; Crossley, S.; Alvarez, W.E.; Resasco, D.E. Catalytic conversion of anisole over HY and HZSM-5 zeolites in the presence of different hydrocarbon mixtures. Appl. Catal. B 2011, 106, 204–211. [Google Scholar] [CrossRef]
- Ji, J.; Duan, X.; Qian, G.; Zhou, X.; Tong, G.; Yuan, W. Towards an efficient CoMo/γ-Al2O3 catalyst using metal amine metallate as an active phase precursor: Enhanced hydrogen production by ammonia decomposition. Int. J. Hydrogen Energy 2014, 39, 12490–12498. [Google Scholar] [CrossRef]
- Tavizón-Pozos, J.A.; Santolalla-Vargas, C.E.; Valdés-Martínez, O.U.; de los Reyes Heredia, J.A. Effect of metal loading in unpromoted and promoted CoMo/Al2O3–TiO2 catalysts for the hydrodeoxygenation of phenol. Catalysis 2019, 9, 550. [Google Scholar] [CrossRef]
- Reddy, B.M.; Khan, A. Recent advances on TiO2-ZrO2 mixed oxides as catalysts and catalysts supports. Catal. Rev. Sci. Eng. 2005, 47, 257–296. [Google Scholar] [CrossRef]
- Maity, S.K.; Ancheyta, J.; Soberanis, L.; Alonso, F.; Llanos, M.E. Alumina-titania binary mixed oxide used as support of catalysts for hydrotreating of Maya heavy crude. Appl. Catal. A Gen. 2003, 244, 141–153. [Google Scholar] [CrossRef]
- Maity, S.; Rana, M.; Bej, S.; Ancheyta-Juárez, J.; Murali Dhar, G.; Prasada Rao, T. TiO2-ZrO2 mixed oxide as a support for hydrotreating catalyst. Catal. Lett. 2001, 72, 115–119. [Google Scholar] [CrossRef]
- Vo, T.K.; Kim, W.S.; Kim, S.S.; Yoo, K.S.; Kim, J. Facile synthesis of Mo/Al2O3–TiO2 catalysts using spray pyrolysis and their catalytic activity for hydrodeoxygenation. Energy Convers. Manag. 2018, 158, 92–102. [Google Scholar] [CrossRef]
- Vakros, J.; Lycourghiotis, A.; Voyiatzis, G.A.; Siokou, A.; Kordulis, C. CoMo/Al2O3-SiO2 catalysts prepared by co-equilibrium deposition filtration: Characterization and catalytic behavior for the hydrodesulphurization of thiophene. Appl. Catal. B 2010, 96, 496–507. [Google Scholar] [CrossRef]
- Tavizón-Pozos, J.A.; Suárez-Toriello, V.A.; de Los Reyes Heredia, J.A.; Guevara-Lara, A.; Pawelec, B.; Fierro, J.L.G.; Vrinat, M.; Geantet, C. Deep Hydrodesulfurization of Dibenzothiophenes over NiW Sulfide Catalysts Supported on Sol-Gel Titania-Alumina. Top. Catal. 2016, 59, 241–251. [Google Scholar] [CrossRef]
- Murali Dhar, G.; Srinivas, B.N.; Rana, M.S.; Kumar, M.; Maity, S.K. Mixed oxide supported hydrodesulfurization catalysts—A review. Catal. Today 2003, 86, 45–60. [Google Scholar] [CrossRef]
- Pinzón-Ramos, I. Kinetic Evaluation of CoMo Materials Supported on Alumina/Titania in Phenol Hydrodeoxygenation Reactions. Master’s Thesis, Metropolitan Autonomous University, Ciudad de Mexico, Mexico, 2019. [Google Scholar] [CrossRef]
- Shetty, M.; Anderson, E.M.; Green, W.H.; Román-Leshkov, Y. Kinetic analysis and reaction mechanism for anisole conversion over zirconia-supported molybdenum oxide. J. Catal. 2019, 376, 248–257. [Google Scholar] [CrossRef]
- Tan, Q.; Wang, G.; Long, A.; Dinse, A.; Buda, C.; Shabaker, J.; Resasco, D.E. Mechanistic analysis of the role of metal oxophilicity in the hydrodeoxygenation of anisole. J. Catal. 2017, 347, 102–115. [Google Scholar] [CrossRef]
- Thommes, M.; Kaneko, K.; Neimark, A.; Olivier, J.P.; Rodriguez-Reinoso, F.; Rouquerol, J.; Sing, K.S.W. physisorption of gases, with special reference to the evaluation of surface area and pore size distribution (IUPAC Technical Report). Pure Appl. Chem. 2015, 87, 1051–1069. [Google Scholar] [CrossRef]
- Platanitis, P.; Panagiotou, G.D.; Bourikas, K.; Kordulis, C.; Fierro, J.L.G.; Lycourghiotis, A. Preparation of un-promoted molybdenum HDS catalysts supported on titania by equilibrium deposition filtration: Optimization of the preparative parameters and investigation of the promoting action of titania. J. Mol. Catal. A Chem. 2016, 412, 1–12. [Google Scholar] [CrossRef]
- Gajardo, P.; Grange, P.; Delmon, B. Structure of Oxide CoMo/y-Al2O3 Hydrodesulfurization Catalysts: An XPS and DRS Study. J. Catal. 1980, 63, 201–216. [Google Scholar] [CrossRef]
- Water, L.G.A.; Bezemer, G.L.; Bergwerff, J.A.; Versluijs-Helder, M.; Weckhuysen, B.M.; de Jong, K.P. Spatially resolved UV-vis microspectroscopy on the preparation of alumina-supported Co Fischer-Tropsch catalysts: Linking activity to Co distribution and speciation. J. Catal. 2006, 242, 287–298. [Google Scholar] [CrossRef]
- Vrinat, M.; Letourneur, D.; Bacaud, R.; Harlé, V.; Jouguet, B.; Leclercq, C. CoMo/Al2O3 and CoMo/TiO2-Al2O3 catalysts in hydrodesulfurization: Relationship between the promoting effect of cobalt and the nature of the support. Elsevier Sci. 1999, 127, 153–160. [Google Scholar] [CrossRef]
- Yocupicio, R.I.; Díaz De León, J.N.; Zepeda, T.A.; Fuentes, S. Estudio de catalizador CoMo soportado en zeolitas mesoporosas jerárquicas para hidrodesulfuración de dibenzotiofeno. Rev. Mex. Ing. Quim. 2017, 16, 503–520. [Google Scholar]
- Papadopoulou, C.; Vakros, J.; Matralis, H.K.; Kordulis, C.; Lycourghiotis, A. On the relationship between the preparation method and the physicochemical and catalytic properties of the CoMo/γ-Al2O3 hydrodesulfurization catalysts. J. Colloid Interface Sci. 2003, 261, 146–153. [Google Scholar] [CrossRef]
- Alvarez-Amparán, M.A.; Rodríguez-Gomeztagle, J.; Cedeño-Caero, L. Efecto del método de preparación de catalizadores de MoO3/Al2O3 para la desulfuración oxidativa de un diesel modelo. Rev. Mex. Ing. Quim. 2015, 28, 40–47. [Google Scholar]
- Williams, C.C.; Ekerdt, J.G.; Jehng, J.-M.; Hardcastle, F.D.; Wachs, I.E. A Raman and Ultraviolet Diffuse Reflectance Spectroscopic Investigation of Alumina-Supported Molybdenum Oxide. J. Phys. Chem. 1991, 95, 8781–8791. [Google Scholar] [CrossRef]
- Bergwerff, J.A.; Visser, T.; Weckhuysen, B.M. On the interaction between Co- and Mo-complexes in impregnation solutions used for the preparation of Al2O3-supported HDS catalysts: A combined Raman/UV-vis-NIR spectroscopy study. Catal. Today 2008, 130, 117–125. [Google Scholar] [CrossRef]
- Jeziorowski, H.; Knozinger, H. Raman and Ultraviolet Spectroscopic Characterization of Molybdena on Alumina Catalysts. J. Phys. Chem. 1979, 83, 1166–1173. [Google Scholar] [CrossRef]
- Thielemann, J.P.; Ressler, T.; Walter, A.; Tzolova-Müller, G.; Hess, C. Structure of molybdenum oxide supported on silica SBA-15 studied by Raman, UV-vis and X-ray absorption spectroscopy. Appl. Catal. A Gen. 2011, 399, 28–34. [Google Scholar] [CrossRef]
- Zhu, Y.; Zhang, Y.; Dan, Y.; Yuan, Y.; Zhang, L.; Li, W.; Li, D. optimization of reaction variables and macrokinetics for the hydrodeoxygenation of full range low temperature coal tar. React. Kinet. Mech. Catal. 2015, 116, 433–450. [Google Scholar] [CrossRef]
- Box, G.E.P.; Draper, N.R. Response Surfaces, Mixtures, and Ridge Analyses, 2nd ed.; Wiley: Madison, WI, USA, 2007; Chapter 15; Volume 1, pp. 495–498. ISBN 978-0-470-05357-7. [Google Scholar]










| Temperature °C | RPh0 × 108 [molPhenolgcat−1 s−1] | RPh0 × 107 [molPhenol gMo−1 s−1] | HYD/DDO |
|---|---|---|---|
| 280 | 2.3 | 2.0 | 0.97 |
| 320 | 74 | 62 | 0.53 |
| 360 | 482 | 400 | 0.46 |
| Model | R2 (%) |
|---|---|
| 91.9 | |
| 97.1 |
| Source | D. F. * | Sum of Squares | Mean Square | F-Value | p-Value |
|---|---|---|---|---|---|
| Model of Activity (RPh0) | |||||
| Regression | 7 | 2.3 × 10−5 | 3.0 × 10−6 | 8.16 | 0.017 |
| Linear effect | 3 | 1.6 × 10−5 | 6.0 × 10−6 | 13.78 | 0.007 |
| Quadratic effect | 3 | 6.0 × 10−6 | 2.0 × 10−6 | 4.65 | 0.066 |
| Interaction effect | 1 | 2.0 × 10−6 | 2.0 × 10−6 | 4.04 | 0.101 |
| Residual error | 5 | 2.0 × 10−6 | 22.0 × 10−7 | ||
| Total | 12 | 2.5 × 10−5 | |||
| Model of Selectivity (S) | |||||
| Regression | 6 | 6.95 × 10−0 | 1.159 × 10−1 | 33.38 | 0.001 |
| Linear effect | 3 | 6.45 × 10−1 | 2.1 × 10−1 | 60.42 | 0.001 |
| Quadratic effect | 2 | 4.87 × 10−2 | 2.43 × 10−2 | 7.02 | 0.027 |
| Interaction effect | 1 | 1.98 × 10−3 | 1.98 × 10−3 | 0.57 | 0.478 |
| Residual error | 6 | 2.08 × 10−2 | |||
| Total | 12 | 7.16 × 10−1 |
| Mo Loading [wt.%] | (Co + Mo)oh (400–550 °C) | (Co + Mo)oh,th (550–650 °C) | (Co + Mo)th (650–750 °C) | Ti4+ (≥750 °C) | (Co + Mo)oh/ (Co + Mo)th | |
|---|---|---|---|---|---|---|
| 10 | T (°C) | 497 | 599 | 700 | 832 | 0.77 |
| H2 * | 123.21 | 55.47 | 159.25 | 83.91 | ||
| 12 | T (°C) | 482 | 590 | 712 | 856 | 0.48 |
| H2 * | 133.82 | 76.04 | 273.04 | 147.49 | ||
| 15 | T (°C) | 467 | 557 | 681 | 841 | 0.6 |
| H2 * | 195.52 | 54.66 | 323.84 | 150.61 |
| Catalysts (wt.% de Mo) | 10 | 12 | 15 |
|---|---|---|---|
| RDDO[molPhenol/gcat s] × 108 | 18.6 ± 2 | 49.7 ± 3 | 31.5 ± 33 |
| RHYD1[molPhenol/gcat s] × 108 | 7.7 ± 1 | 20.4 ± 2 | 12 ± 1 |
| RHYD4[molPhenol/gcat s] × 108 | 6.8 ± 1 | 5.3 ± 1 | 5 ± 1 |
| (%) | 56 | 65 | 64 |
| (%) | 23 | 27 | 24 |
| (%) | 15 | 6.4 | 9.5 |
| (%) | 5 | 0.6 | 1.5 |
| Level B-BD | Pressure | Temperature | Load of Metal |
|---|---|---|---|
| (MPa) | (°C) | (wt/wt.%) | |
| −1 | 3 | 280 | 10 |
| 0 | 4 | 320 | 12 |
| 1 | 5.5 | 360 | 15 |
Publisher’s Note: MDPI stays neutral with regard to jurisdictional claims in published maps and institutional affiliations. |
© 2022 by the authors. Licensee MDPI, Basel, Switzerland. This article is an open access article distributed under the terms and conditions of the Creative Commons Attribution (CC BY) license (https://creativecommons.org/licenses/by/4.0/).
Share and Cite
Pinzón-Ramos, I.; Castillo-Araiza, C.O.; Tavizón-Pozos, J.A.; de los Reyes, J.A. On a Response Surface Analysis: Hydrodeoxygenation of Phenol over a CoMoS-Based Active Phase. Catalysts 2022, 12, 1139. https://doi.org/10.3390/catal12101139
Pinzón-Ramos I, Castillo-Araiza CO, Tavizón-Pozos JA, de los Reyes JA. On a Response Surface Analysis: Hydrodeoxygenation of Phenol over a CoMoS-Based Active Phase. Catalysts. 2022; 12(10):1139. https://doi.org/10.3390/catal12101139
Chicago/Turabian StylePinzón-Ramos, Itzayana, Carlos O. Castillo-Araiza, Jesús Andrés Tavizón-Pozos, and José Antonio de los Reyes. 2022. "On a Response Surface Analysis: Hydrodeoxygenation of Phenol over a CoMoS-Based Active Phase" Catalysts 12, no. 10: 1139. https://doi.org/10.3390/catal12101139
APA StylePinzón-Ramos, I., Castillo-Araiza, C. O., Tavizón-Pozos, J. A., & de los Reyes, J. A. (2022). On a Response Surface Analysis: Hydrodeoxygenation of Phenol over a CoMoS-Based Active Phase. Catalysts, 12(10), 1139. https://doi.org/10.3390/catal12101139

