Enhanced Catalytic Soot Oxidation by Ce-Based MOF-Derived Ceria Nano-Bar with Promoted Oxygen Vacancy
Abstract
:1. Introduction
2. Results and Discussion
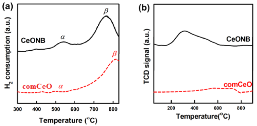
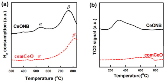
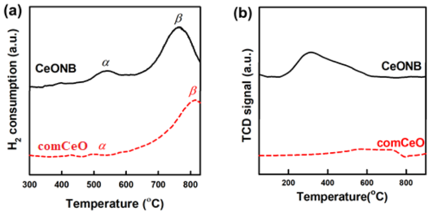
2.1. Characterization of CeONB
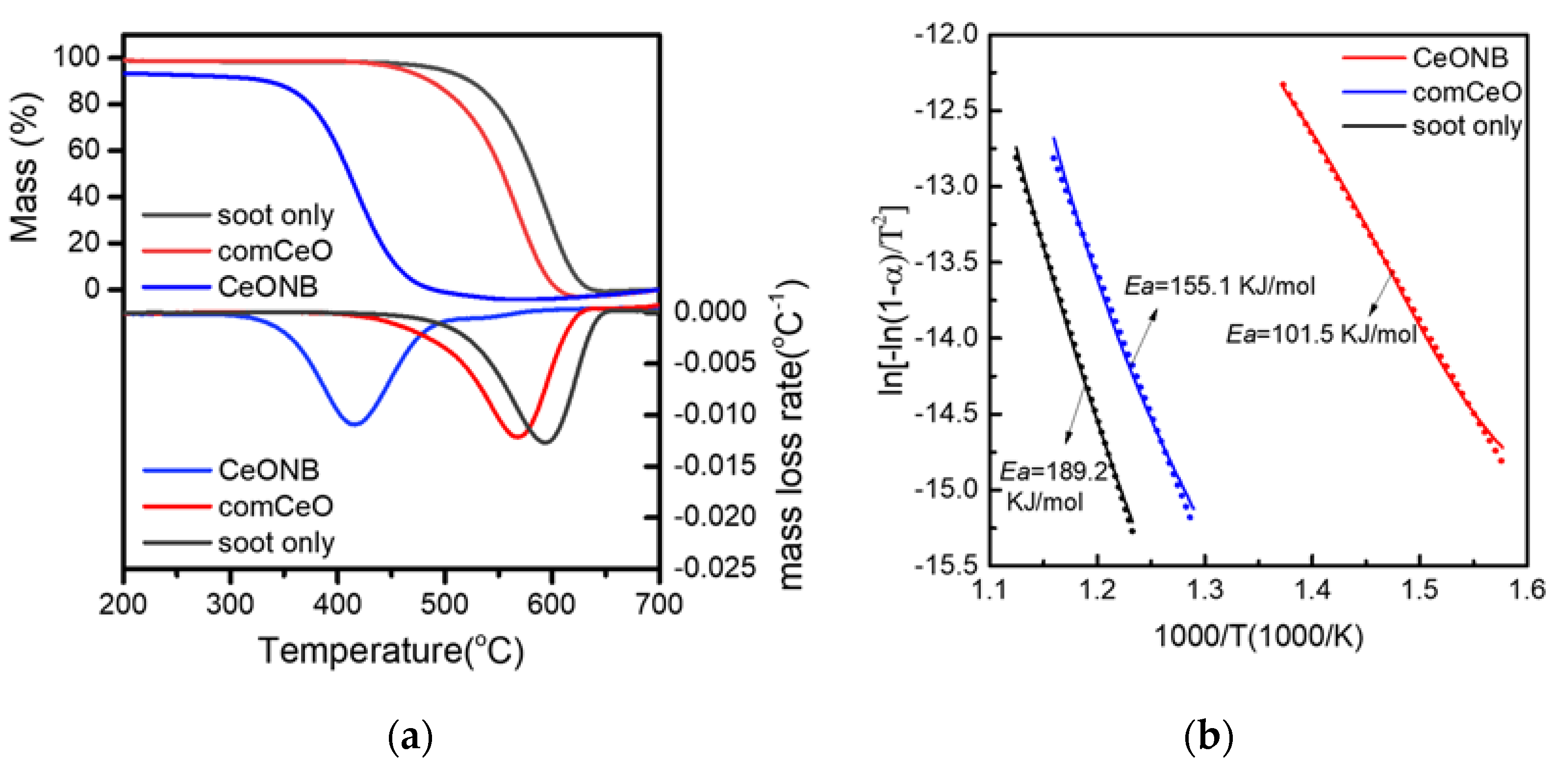
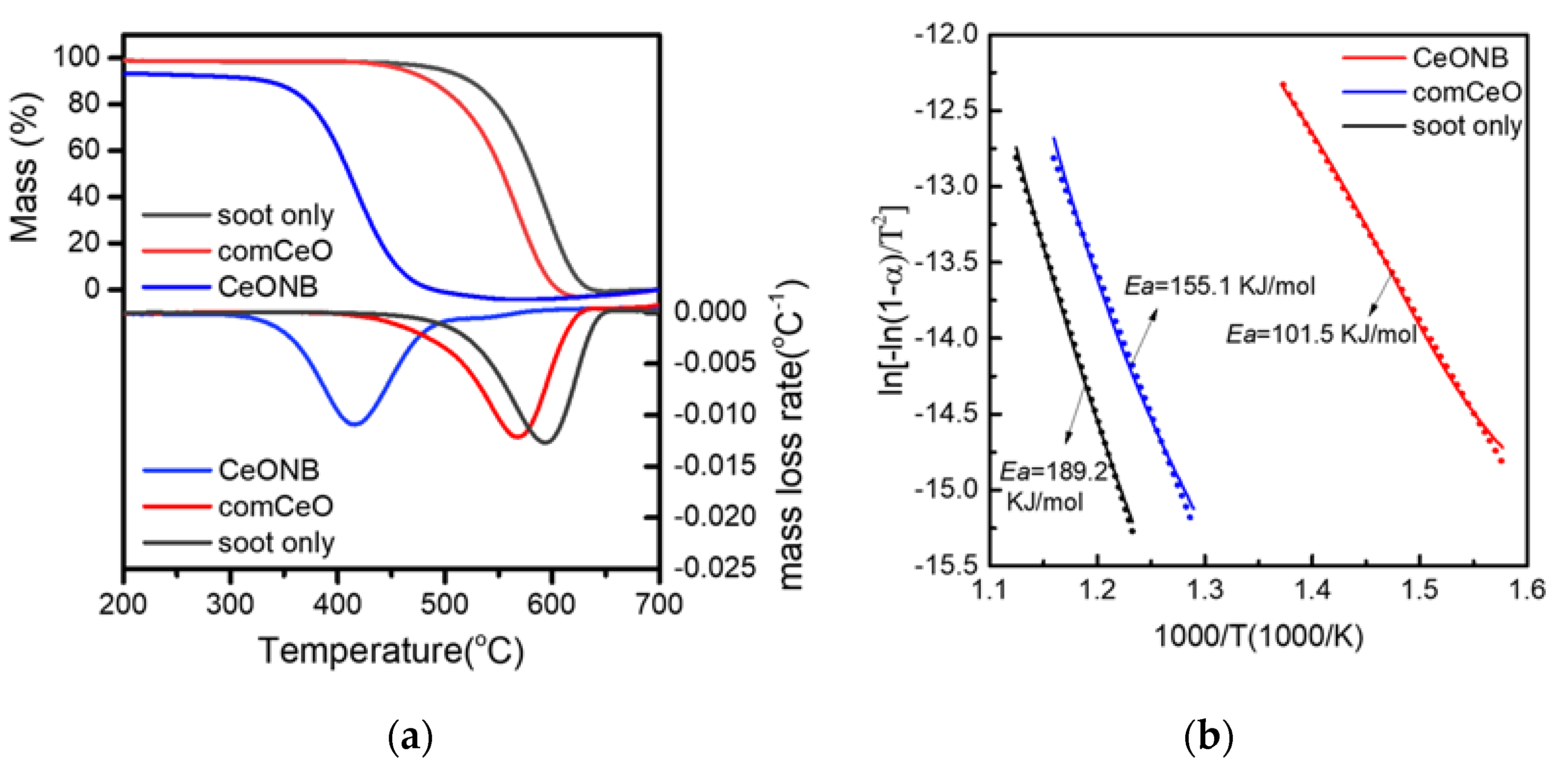
2.2. Soot Oxidation by CeONB and Commercial CeO2 NPs
2.3. Effect of Tight Contact and Loose Contact Conditions on Soot Oxidation by CeONB
2.4. Effect of NO on Soot Oxidation by CeONB
2.5. Recyclability
3. Materials and Methods
3.1. Materials
3.2. Preparation and Characterization of CeONB
3.3. Characterization
3.4. Catalytic Oxidation of Soot
3.5. Diffuse Reflectance Fourier Transform Spectroscopy (DRIFTS)
4. Conclusions
Supplementary Materials
Author Contributions
Funding
Data Availability Statement
Conflicts of Interest
References
- Fang, P.; Luo, M.-F.; Lu, J.-Q.; Cen, S.-Q.; Yan, X.-Y.; Wang, X.-X. Studies on the oxidation properties of nanopowder CeO2-based solid solution catalysts for model soot combustion. Thermochim. Acta 2008, 478, 45–50. [Google Scholar] [CrossRef]
- Neeft, J.P.A.; van Pruissen, O.P.; Makkee, M.; Moulijn, J.A. Catalysts for the oxidation of soot from diesel exhaust gases II. Contact between soot and catalyst under practical conditions. Appl. Catal. B 1997, 12, 21–31. [Google Scholar] [CrossRef]
- Stratakis, G.A.; Stamatelos, A.M. Thermogravimetric analysis of soot emitted by a modern diesel engine run on catalyst-doped fuel. Combust. Flame 2003, 132, 157–169. [Google Scholar] [CrossRef]
- Fino, D.; Bensaid, S.; Piumetti, M.; Russo, N. A review on the catalytic combustion of soot in Diesel particulate filters for automotive applications: From powder catalysts to structured reactors. Appl. Catal. A Gen. 2016, 509, 75–96. [Google Scholar] [CrossRef]
- van Setten, B.A.A.L.; Makkee, M.; Moulijn, J.A. Science and technology of catalytic diesel particulate filters. Catal. Rev. 2001, 43, 489–564. [Google Scholar] [CrossRef]
- Gao, Y.; Duan, A.; Liu, S.; Wu, X.; Liu, W.; Li, M.; Chen, S.; Wang, X.; Weng, D. Study of Ag/CexNd1-xO2 nanocubes as soot oxidation catalysts for gasoline particulate filters: Balancing catalyst activity and stability by Nd doping. Appl. Catal. B 2017, 203, 116–126. [Google Scholar] [CrossRef]
- Nanba, T.; Masukawa, S.; Abe, A.; Uchisawa, J.; Obuchi, A. Quantitative analysis of active oxygen for soot oxidation over Ag/ZrO2: Characterization with temperature-programmed reduction by NH3. Appl. Catal. B 2012, 123–124, 351–356. [Google Scholar] [CrossRef]
- Nanba, T.; Masukawa, S.; Abe, A.; Uchisawa, J.; Obuchi, A. Morphology of active species of Ag/ZrO2 for low-temperature soot oxidation by oxygen. Catal. Sci. Technol. 2012, 2, 1961–1966. [Google Scholar] [CrossRef]
- Wu, S.; Yang, Y.; Lu, C.; Ma, Y.; Yuan, S.; Qian, G. Soot Oxidation over CeO2 or Ag/CeO2: Influences of Bulk Oxygen Vacancies and Surface Oxygen Vacancies on Activity and Stability of the Catalyst. Eur. J. Inorg. Chem. 2018, 2018, 2944–2951. [Google Scholar] [CrossRef]
- Neelapala, S.D.; Patnaik, H.; Dasari, H. Enhancement of soot oxidation activity of manganese oxide (Mn2O3) through doping by the formation of Mn1.9M0.1O3–δ (M = Co, Cu, and Ni). Asia-Pac. J. Chem. Eng. 2018, 13, e2234. [Google Scholar] [CrossRef]
- Wagloehner, S.; Nitzer-Noski, M.; Kureti, S. Oxidation of soot on manganese oxide catalysts. Chem. Eng. J. 2015, 259, 492–504. [Google Scholar] [CrossRef]
- Aneggi, E.; de Leitenburg, C.; Dolcetti, G.; Trovarelli, A. Promotion effect of surface Lanthanum in soot oxidation over ceria-based catalysts. Top. Catal. 2007, 42, 319–322. [Google Scholar] [CrossRef]
- Nascimento, L.F.; Lima, J.F.; de Sousa Filho, P.C.; Serra, O.A. Effect of lanthanum loading on nanosized CeO2-ZnO solid catalysts supported on cordierite for diesel soot oxidation. J. Environ. Sci. 2018, 73, 58–68. [Google Scholar] [CrossRef] [PubMed]
- Tsai, Y.-C.; Huy, N.N.; Tsang, D.C.W.; Lin, K.-Y.A. Metal organic framework-derived 3D nanostructured cobalt oxide as an effective catalyst for soot oxidation. J. Colloid Interface Sci. 2020, 561, 83–92. [Google Scholar] [CrossRef]
- Tsai, Y.-C.; Nhat Huy, N.; Lee, J.; Lin, Y.-F.; Lin, K.-Y.A. Catalytic soot oxidation using hierarchical cobalt oxide microspheres with various nanostructures: Insights into relationships of morphology, property and reactivity. Chem. Eng. J. 2020, 395, 124939. [Google Scholar] [CrossRef]
- Machida, M.; Murata, Y.; Kishikawa, K.; Zhang, D.; Ikeue, K. On the Reasons for High Activity of CeO2 Catalyst for Soot Oxidation. Chem. Mater. 2008, 20, 4489–4494. [Google Scholar] [CrossRef]
- Deng, X.; Li, M.; Zhang, J.; Hu, X.; Zheng, J.; Zhang, N.; Chen, B.H. Constructing nano-structure on silver/ceria-zirconia towards highly active and stable catalyst for soot oxidation. Chem. Eng. J. 2017, 313, 544–555. [Google Scholar] [CrossRef]
- Shi, Q.; Liu, T.; Li, Q.; Xin, Y.; Lu, X.; Tang, W.; Zhang, Z.; Gao, P.-X.; Anderson, J.A. Multiple strategies to decrease ignition temperature for soot combustion on ultrathin MnO2-x nanosheet array. Appl. Catal. B Environ. 2019, 246, 312–321. [Google Scholar] [CrossRef]
- Aneggi, E.; Wiater, D.; de Leitenburg, C.; Llorca, J.; Trovarelli, A. Shape-Dependent Activity of Ceria in Soot Combustion. ACS Catal. 2014, 4, 172–181. [Google Scholar] [CrossRef]
- Miceli, P.; Bensaid, S.; Russo, N.; Fino, D. CeO2-based catalysts with engineered morphologies for soot oxidation to enhance soot-catalyst contact. Nanoscale Res. Lett. 2014, 9, 254. [Google Scholar] [CrossRef] [Green Version]
- Piumetti, M.; Bensaid, S.; Russo, N.; Fino, D. Nanostructured ceria-based catalysts for soot combustion: Investigations on the surface sensitivity. Appl. Catal. B Environ. 2015, 165, 742–751. [Google Scholar] [CrossRef]
- Zhang, W.; Niu, X.; Chen, L.; Yuan, F.; Zhu, Y. Soot Combustion over Nanostructured Ceria with Different Morphologies. Sci. Rep. 2016, 6, 29062. [Google Scholar] [CrossRef] [PubMed]
- Bensaid, S.; Russo, N.; Fino, D. CeO2 catalysts with fibrous morphology for soot oxidation: The importance of the soot–catalyst contact conditions. Catal. Today 2013, 216, 57–63. [Google Scholar] [CrossRef]
- Lee, C.; Shul, Y.-G.; Einaga, H. Silver and manganese oxide catalysts supported on mesoporous ZrO2 nanofiber mats for catalytic removal of benzene and diesel soot. Catal. Today 2017, 281, 460–466. [Google Scholar] [CrossRef]
- Lee, Y.; He, G.; Akey, A.J.; Si, R.; Flytzani-Stephanopoulos, M.; Herman, I.P. Raman Analysis of Mode Softening in Nanoparticle CeO2−δ and Au-CeO2−δ during CO Oxidation. J. Am. Chem. Soc. 2011, 133, 12952–12955. [Google Scholar] [CrossRef]
- Yap, M.H.; Fow, K.L.; Chen, G.Z. Synthesis and applications of MOF-derived porous nanostructures. Green Energy Environ. 2017, 2, 218–245. [Google Scholar] [CrossRef]
- Zhang, X.; Hou, F.; Li, H.; Yang, Y.; Wang, Y.; Liu, N.; Yang, Y. A strawsheave-like metal organic framework Ce-BTC derivative containing high specific surface area for improving the catalytic activity of CO oxidation reaction. Microporous Mesoporous Mater. 2018, 259, 211–219. [Google Scholar] [CrossRef]
- Zhang, X.; Hou, F.; Yang, Y.; Wang, Y.; Liu, N.; Chen, D.; Yang, Y. A facile synthesis for cauliflower like CeO2 catalysts from Ce-BTC precursor and their catalytic performance for CO oxidation. Appl. Surf. Sci. 2017, 423, 771–779. [Google Scholar] [CrossRef]
- Zheng, X.; Li, Y.; Zhang, L.; Shen, L.; Xiao, Y.; Zhang, Y.; Au, C.; Jiang, L. Insight into the effect of morphology on catalytic performance of porous CeO2 nanocrystals for H2S selective oxidation. Appl. Catal. B Environ. 2019, 252, 98–110. [Google Scholar] [CrossRef]
- Chen, Z.; Chen, L.; Jiang, M.; Gao, X.; Huang, M.; Li, Y.; Ren, L.; Yang, Y.; Yang, Z. Controlled synthesis of CeO2 nanorods and their promotional effect on catalytic activity and aging resistibility for diesel soot oxidation. Appl. Surf. Sci. 2020, 510, 145401. [Google Scholar] [CrossRef]
- Miceli, P.; Bensaid, S.; Russo, N.; Fino, D. Effect of the morphological and surface properties of CeO2-based catalysts on the soot oxidation activity. Chem. Eng. J. 2015, 278, 190–198. [Google Scholar] [CrossRef]
- Zhu, H.; Xu, J.; Yichuan, Y.; Wang, Z.; Gao, Y.; Liu, W.; Yin, H. Catalytic oxidation of soot on mesoporous ceria-based mixed oxides with cetyltrimethyl ammonium bromide (CTAB)-assisted synthesis. J. Colloid Interface Sci. 2017, 508, 1–13. [Google Scholar] [CrossRef] [PubMed]
- Zouaoui, N.; Issa, M.; Kehrli, D.; Jeguirim, M. CeO2 catalytic activity for soot oxidation under NO/O2 in loose and tight contact. Catal. Today 2012, 189, 65–69. [Google Scholar] [CrossRef]
- Christensen, J.M.; Grunwaldt, J.-D.; Jensen, A.D. Importance of the oxygen bond strength for catalytic activity in soot oxidation. Appl. Catal. B 2016, 188, 235–244. [Google Scholar] [CrossRef] [Green Version]
- Setiabudi, A.; Van Setten, B.A.; Makkee, M.; Moulijn, J.A. The influence of NOx on soot oxidation rate: Molten salt versus platinum. Appl. Catal. B Environ. 2002, 35, 159–166. [Google Scholar] [CrossRef]
- Jelles, S.; Krul, R.; Makkee, M.; Moulijn, J.A. The influence of NOx on the oxidation of metal activated diesel soot. Catal. Today 1999, 53, 623–630. [Google Scholar] [CrossRef]
- Hadjiivanov, K.I. Identification of Neutral and Charged NxOy Surface Species by IR Spectroscopy. Catal. Rev. 2000, 42, 71–144. [Google Scholar] [CrossRef]
- Setiabudi, A.; Chen, J.; Mul, G.; Makkee, M.; Moulijn, J.A. CeO2 catalysed soot oxidation: The role of active oxygen to accelerate the oxidation conversion. Appl. Catal. B 2004, 51, 9–19. [Google Scholar] [CrossRef]
- Wu, X.; Liu, S.; Lin, F.; Weng, D. Nitrate storage behavior of Ba/MnOx–CeO2 catalyst and its activity for soot oxidation with heat transfer limitations. J. Hazard. Mater. 2010, 181, 722–728. [Google Scholar] [CrossRef]














| Catalyst | (Ce3+/(Ce3+ + Ce4+) | Ovac/(Olat + Ovac + Oab) | ID/IF2g |
|---|---|---|---|
| CeONB | 20.5% | 23.7% | 1.2% |
| comCeO | 16.5% | 16.4% | 0.4% |
| Catalyst | 0.15 ≤ α ≤ 0.9 | Ea, KJ/mol | A, 1/S | R2 |
|---|---|---|---|---|
| Soot only | 538~616 °C | 189.2 | 1.44 × 109 | 0.997 |
| comCeO | 502~589 °C | 155.1 | 6.65 × 107 | 0.993 |
| CeONB | 361~455 °C | 101.5 | 3.75 × 106 | 0.999 |
| Catalyst | Contact | T10 | T50 | T90 | Tig | Tm | Te | SCO2 | Reference |
|---|---|---|---|---|---|---|---|---|---|
| CeONB | loose | 384 | 456 | 494 | 352 | 467 | 526 | 100% | This work |
| tight | 354 | 388 | 423 | 310 | 393 | 456 | 100% | This work | |
| CeONB (+NO) | loose | 329 | 363 | 398 | 300 | 364 | 432 | 100% | This work |
| Commercial CeO2 | loose | 482 | 514 | 540 | 461 | 520 | 560 | 73.8% | This work |
| CeO2NR | tight | 372 | 394 | 450 | - | 387 | - | - | [30] |
| SCS | loose | 483 | 562 | - | - | 562 | - | - | [31] |
| tight | 358 | 411 | - | - | 417 | - | - | [31] | |
| SA-stars | loose | 435 | 543 | - | - | 552 | - | - | [31] |
| tight | 354 | 410 | - | - | 403 | - | - | [31] | |
| Ce-NC | loose | 417 | 477 | 584 | - | - | 622 | - | [21] |
| tight | 396 | 400 | 425 | - | - | 618 | - | [21] | |
| CeO2 NR | loose | 429 | 536 | 623 | - | - | 656 | - | [21] |
| tight | 381 | 416 | 455 | - | - | 625 | - | [21] | |
| Ce-NC/ZSM-5 | loose | 394 | 525 | 590 | - | - | 620 | - | [21] |
| tight | 335 | 439 | 481 | - | - | 576 | - | [21] | |
| Ce-M | loose | 398 | 538 | 604 | - | - | 630 | - | [21] |
| tight | 374 | 564 | 510 | - | - | 590 | - | [21] | |
| Ce-SCS | loose | 436 | 580 | 633 | - | - | 670 | - | [21] |
| tight | 392 | 476 | 558 | - | - | 638 | - | [21] | |
| CeO2 | tight | 379 | 448 | - | - | - | - | 97% | [32] |
| CeO2(+NO) | tight | 351 | 422 | - | - | - | - | 92% | [32] |
| CeO2-co | tight | 381 | 460 | - | - | - | - | 93% | [32] |
| CeO2-co(+NO) | tight | 356 | 430 | - | - | - | - | 87% | [32] |
| MnCe | tight | 304 | 375 | - | - | - | - | 100% | [32] |
| MnCe (+NO) | tight | 300 | 358 | - | - | - | - | 98% | [32] |
| MOFs | Metal Organic Frameworks |
|---|---|
| CeONB | CeO2 nanobar |
| comCeO | commercial CeO2 nanoparticle |
| NPs | nanoparticles |
| PDFs | diesel particulate filters |
| Olat | lattice oxygen |
| Ovac | oxygen vacancy |
| Oab | absorbed oxygen species |
| F2g | the fluorite-type structure of CeO2 |
| ID | correlated to the formation of oxygen vacancy |
| DRIFTS | Diffuse Reflectance Infrared Fourier Transform Spectroscopy |
| Tig | ignition temperature |
| Tm | temperature at the maximum concentration of CO2 |
| T50 and T90 | the temperature at which 50% and 90% of the soot conversion, respectively |
| Te | the temperature at which 100% of soot oxidation |
| SCO2 | the CO2 selectivity |
| SmCO2 | the SCO2 at Tm |
Publisher’s Note: MDPI stays neutral with regard to jurisdictional claims in published maps and institutional affiliations. |
© 2021 by the authors. Licensee MDPI, Basel, Switzerland. This article is an open access article distributed under the terms and conditions of the Creative Commons Attribution (CC BY) license (https://creativecommons.org/licenses/by/4.0/).
Share and Cite
Tsai, Y.-C.; Lee, J.; Kwon, E.; Huang, C.-W.; Huy, N.N.; You, S.; Hsu, P.-S.; Oh, W.D.; Lin, K.-Y.A. Enhanced Catalytic Soot Oxidation by Ce-Based MOF-Derived Ceria Nano-Bar with Promoted Oxygen Vacancy. Catalysts 2021, 11, 1128. https://doi.org/10.3390/catal11091128
Tsai Y-C, Lee J, Kwon E, Huang C-W, Huy NN, You S, Hsu P-S, Oh WD, Lin K-YA. Enhanced Catalytic Soot Oxidation by Ce-Based MOF-Derived Ceria Nano-Bar with Promoted Oxygen Vacancy. Catalysts. 2021; 11(9):1128. https://doi.org/10.3390/catal11091128
Chicago/Turabian StyleTsai, Yu-Chih, Jechan Lee, Eilhann Kwon, Chao-Wei Huang, Nguyen Nhat Huy, Siming You, Pei-Syuan Hsu, Wen Da Oh, and Kun-Yi Andrew Lin. 2021. "Enhanced Catalytic Soot Oxidation by Ce-Based MOF-Derived Ceria Nano-Bar with Promoted Oxygen Vacancy" Catalysts 11, no. 9: 1128. https://doi.org/10.3390/catal11091128
APA StyleTsai, Y.-C., Lee, J., Kwon, E., Huang, C.-W., Huy, N. N., You, S., Hsu, P.-S., Oh, W. D., & Lin, K.-Y. A. (2021). Enhanced Catalytic Soot Oxidation by Ce-Based MOF-Derived Ceria Nano-Bar with Promoted Oxygen Vacancy. Catalysts, 11(9), 1128. https://doi.org/10.3390/catal11091128

