Synthesis of New Antibiotics Derivatives by the Photocatalytic Method: A Screening Research
Abstract
:1. Introduction
- reduction of energy consumption,
- use of environmentally safe reagents, and
- minimization of the amount and toxicity of generated waste.
2. Results and Discussion
2.1. Kinetics
2.2. Products of the Photocatalytic Transformation of Antibiotics
3. Materials and Methods
3.1. Screenings of Photocatalytic Transformation of Antibiotics, Chemotherapeutic Agents or Their Precursors
3.2. Analysis
3.3. Calculations
4. Conclusions
Author Contributions
Funding
Institutional Review Board Statement
Informed Consent Statement
Data Availability Statement
Conflicts of Interest
References
- DANMAP 2019—Use of Antimicrobial Agents and Occurrence of Antimicrobial Resistance in Bacteria from Food Animals, Food and Humans in Denmark, Statens Serum Institut National Food Institute, Technical University of Denmark. 2020. Available online: https://www.danmap.org/reports/2019 (accessed on 20 July 2021).
- Spellberg, B.; Bartlett, J.G.; Gilbert, D.N. The Future of Antibiotics and Resistance. N. Engl. J. Med. 2013, 368, 299–302. [Google Scholar] [CrossRef] [PubMed] [Green Version]
- Walsh, C.; Wencewicz, T. Antibiotics: Challenges, Mechanisms, Opportunities; John Wiley & Sons: Washington, DC, USA, 2020. [Google Scholar]
- Michelin, C.; Hoffmann, N. Photocatalysis applied to organic synthesis—A green chemistry approach. Curr. Opin. Green Sustain. Chem. 2018, 10, 40–45. [Google Scholar] [CrossRef]
- Friedmann, D.; Hakki, A.; Kim, H.; Choic, W.; Bahnemann, D. Heterogeneous photocatalytic organic synthesis: State-of-the-art and future perspectives. Green Chem. 2016, 18, 5391. [Google Scholar] [CrossRef] [Green Version]
- Kurniawan, Y.S.; Priyangga, K.T.A.; Krisbiantoro, P.A.; Imawan, A.C. Green Chemistry Influences in Organic Synthesis: A Review. J. Multidiscip. Appl. Nat. Sci. 2020, 1, 1–12. [Google Scholar] [CrossRef]
- Douglas, J.J.; Sevrin, M.J.; Stephenson, C.R.J. Visible Light Photocatalysis: Applications and New Disconnections in the Synthesis of Pharmaceutical Agents. Org. Process Res. Dev. 2016, 20, 1134–1147. [Google Scholar] [CrossRef]
- Lopes, J.C.; Sampaio, M.J.; Rosa, B.; Lima, M.J.; Faria, J.L.; Silva, C.G. Role of TiO2-based photocatalysts on the synthesis of the pharmaceutical precursor benzhydrol by UVA-LED radiation. J. Photochem. Photobiol. A Chem. 2020, 391, 112350. [Google Scholar] [CrossRef]
- Humayun, M.; Raziq, F.; Khan, A.; Luo, W. Modification strategies of TiO2 for potential applications in photocatalysis: A critical review. Green Chem. Lett. Rev. 2018, 11, 86–102. [Google Scholar] [CrossRef] [Green Version]
- Wenderich, K.; Mul, G. Methods, Mechanism, and Applications of Photodeposition in Photocatalysis: A Review. Chem. Rev. 2016, 116, 14587–14619. [Google Scholar] [CrossRef]
- Carp, O.; Huisman, C.L.; Reller, A. Photoinduced reactivity of titanium oxide pho-toinduced reactivity of titanium oxide. Solid State Chem. 2004, 32, 33–177. [Google Scholar] [CrossRef]
- Adamek, E.; Baran, W.; Ziemiańska, J.; Sobczak, A. Effect of FeCl3 on sulfonamide removal and reduction of antimicrobial activity of wastewater in a photocatalytic process with TiO2. Appl. Catal. B Environ. 2012, 126, 29–38. [Google Scholar] [CrossRef]
- Lampre, I.; Marignier, J.L.; Mirdamadi-Esfahani, M.; Pernot, P.; Archirel, P.; Mostafavi, M. Oxidation of bromide ions by hydroxyl radicals: Spectral characterization of the intermediate BrOH•–. J. Phys. Chem. A 2013, 117, 877–887. [Google Scholar] [CrossRef]
- Parrino, F.; Livraghi, S.; Giamello, E.; Ceccato, R.; Palmisano, L. Role of Hydroxyl, Superoxide, and Nitrate Radicals on the Fate of Bromide Ions in Photocatalytic TiO2 Suspensions. ACS Catal. 2020, 10, 7922–7931. [Google Scholar] [CrossRef]
- Zhang, K.; Parker, K.M. Halogen Radical Oxidants in Natural and Engineered Aquatic Systems. Environ. Sci. Technol. 2018, 52, 9579–9594. [Google Scholar] [CrossRef]
- Parker, K.M.; Mitch, W.A. Halogen radicals contribute to photooxidation in coastal and estuarine waters. Proc. Natl. Acad. Sci. USA 2016, 113, 5868–5873. [Google Scholar] [CrossRef] [Green Version]
- Zheng, P.; Pan, Z.; Li, H. Effect of different type of scavengers on the photocatalytic removal of copper and cyanide in the presence of TiO2@yeast hybrids. J. Mater. Sci. Mater. Electron. 2015, 26, 6399–6410. [Google Scholar] [CrossRef]
- Dugandžica, A.M.; Tomaševic, A.V.; Radišic, M.M.; Šekuljica, N.Ž.; Mijin, D.Ž.; Petrovic, S.D. Effect of inorganic ions, photosensitisers and scavengers on the photocatalytic degradation of nicosulfuron. J. Photochem. Photobiol. A Chem. 2017, 336, 146–155. [Google Scholar] [CrossRef]
- Mohamed, H.H. Biphasic TiO2 microspheres/reduced graphene oxide for effective simultaneous photocatalytic reduction and oxidation processes. Appl. Catal. A Gen. 2017, 541, 25–34. [Google Scholar] [CrossRef]
- Fernandes, R.A.; Sampaio, M.J.; Da Silva, E.S.; Serp, P.; Faria, J.L.; Silva, C.G. Synthesis of selected aromatic aldehydes under UV-LED irradiation over a hybrid photocatalyst of carbon nanofibers and zinc oxide. Catal. Today 2019, 328, 286–292. [Google Scholar] [CrossRef]
- Abdolmohammadi, S. TiO2 nanoparticles as an effective catalyst for the synthesis of hexahydro-2-quinolinecarboxylic acids derivatives. Chin. Chem. Lett. 2012, 9, 1003–1006. [Google Scholar] [CrossRef]
- Nilchan, N.; Phetsang, W.; Nowwarat, T.; Chaturongakul, S.; Jiarpinitnun, C. Halogenated trimethoprim derivatives as multidrug-resistant Staphylococcus aureus therapeutics. Bioorg. Med. Chem. 2018, 26, 5343–5348. [Google Scholar] [CrossRef] [PubMed]
- Wróbel, A.; Arciszewska, K.; Maliszewski, D.; Drozdowska, D. Trimethoprim and other nonclassical antifolates an excellent template for searching modifications of dihydrofolate reductase enzyme inhibitors. J. Antibiot. 2020, 73, 5–27. [Google Scholar] [CrossRef] [PubMed] [Green Version]
- Baran, W.; Adamek, E.; Makowski, A.; Sobczak, A. Assessment of Sulfonamides Occurrence in the Biosphere. Ecol. Chem. Eng. A 2012, 19, 1153–1171. [Google Scholar]
- Pham, T.D.M.; Ziora, Z.M.; Blaskovich, M.A.T. Quinolone antibiotics. Med. Chem. Commun. 2019, 10, 1719–1739. [Google Scholar] [CrossRef] [PubMed]
- Mukherjee, T.; Boshoff, H. Nitroimidazoles for the treatment of TB: Past, present and future. Future Med. Chem. 2011, 3, 1427–1454. [Google Scholar] [CrossRef] [Green Version]
- Lee, D.; Das, S.; Dawson, N.L.; Dobrijevic, D.; Ward, J.; Orengo, C. Novel Computational Protocols for Functionally Classifying and Characterising Serine Beta-Lactamases. PLoS Comput. Biol. 2016, 12, e1004926. [Google Scholar] [CrossRef] [Green Version]
- Mehlhorn, A.; Rahimi, P.; Joseph, Y. Aptamer-Based Biosensors for Antibiotic Detection: A Review. Biosensors 2018, 8, 54. [Google Scholar] [CrossRef] [PubMed] [Green Version]
- Svetlov, M.S.; Vázquez-Laslop, N.; Mankin, A.S. Kinetics of drug–ribosome interactions defines the cidality of macrolide antibiotics. Proc. Natl. Acad. Sci. USA 2017, 114, 13673–13678. [Google Scholar] [CrossRef] [Green Version]
- Cheng, S.; Zhang, X.; Yang, X.; Shang, C.; Song, W.; Fang, J.; Pan, Y. The multiple role of bromide ion in PPCPs degradation under UV/chlorine treatment. Environ. Sci. Technol. 2018, 52, 1806–1816. [Google Scholar] [CrossRef]
- Měštánková, H.; Mailhot, G.; Jirkovský, J.; Krýsa, J.; Bolte, M. Mechanistic approach of the combined (iron–TiO2) photocatalytic system for the degradation of pollutants in aqueous solution: An attempt of rationalisation. Appl. Catal. B Environ. 2005, 57, 257–265. [Google Scholar] [CrossRef]
- Adamek, E.; Baran, W.; Sobczak, A. Effect of FeCl3 on the photo-catalytic processes initiated by UVa and vis light in the presence of TiO2–P25. Appl. Catal. B Environ. 2015, 172–173, 136–144. [Google Scholar] [CrossRef]
- Hu, X.; Hu, X.; Peng, Q.; Zhou, L.; Tan, X.; Jiang, L.; Tang, C.; Wang, H.; Liu, S.; Wang, Y.; et al. Mechanisms underlying the photocatalytic degradation pathway of ciprofloxacin with heterogeneous TiO2. Chem. Eng. J. 2020, 380, 122366. [Google Scholar] [CrossRef]
- Boxi, S.S.; Paria, S. Visible light induced enhanced photocatalytic degradation of organic pollutants in aqueous media using Ag doped hollow TiO2 nanospheres. RSC Adv. 2015, 5, 37657–37668. [Google Scholar] [CrossRef]
- Giraldo-Aguirre, A.L.; Erazo-Erazo, E.D.; Flórez-Acosta, O.A.; Serna-Galvis, E.A.; Torres-Palma, R.A. TiO2 photocatalysis applied to the degradation and antimicrobial activity removal of oxacillin: Evaluation of matrix components, experimental parameters, degradation pathways and identification of organics by-products. J. Photochem. Photobiol. A Chem. 2015, 311, 95–103. [Google Scholar] [CrossRef]
- Shurbaji, S.; Huong, P.T.; Altahtamouni, T.M. Review on the Visible Light Photocatalysis for the Decomposition of Ciprofloxacin, Norfloxacin, Tetracyclines, and Sulfonamides Antibiotics in Wastewater. Catalysts 2021, 11, 437. [Google Scholar] [CrossRef]
- Anand, N. Sulfonamides: Structure-Activity Relationships and Mechanism of Action. In Inhibition of Folate Metabolism in Chemotherapy. Handbook of Experimental Pharmacology (Continuation of Handbuch der Experimentellen Pharmakolog(ie)); Hitchings, G.H., Ed.; Springer: Berlin/Heidelberg, Germany, 1983; Volume 64, pp. 25–54. [Google Scholar]
- Yunis, A.A. Chloramphenicol: Relation of Structure to Activity and Toxicity. Annu. Rev. Pharmacol. Toxicol. 1988, 28, 83–100. [Google Scholar] [CrossRef]
- Baran, W.; Adamek, E.; Makowski, A. The influence of selected parameters on the photocatalytic degradation of azo-dyes in the presence of TiO2 aqueous suspension. Chem. Eng. J. 2008, 145, 242–248. [Google Scholar] [CrossRef]
- Hatchard, C.G.; Parker, C.A. A new sensitive chemical actinometer—II. Potassium ferrioxalate as a standard chemical actinometer. Proc. R. Soc. Lond. A 1956, 235, 518–536. [Google Scholar]










| Name (Abbreviation), CAS Number | Summary Formula (Molar Mass) | Chemical Structure of Active Form [23,24,25,26,27,28,29] 1 | Manufacturer (Purity) |
|---|---|---|---|
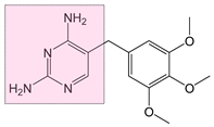
| Trimethoprim (TMP) 738-70-5 | C14H18N4O3 (290.32 g/mol) | ![]() | Sigma-Aldrich (≥98%) |
| Sulfamethoxazole (SMX) 723-46-6 | C10H11N3O3S (253.28 g/mol) | ![]() | Sigma-Aldrich (≥98%) |
| Norfloxacin (NOR) 70458-96-7 | C16H18FN3O3 (319.34 g/mol) | ![]() | Supelco (≥98%) |
| Metronidazole (MTZ) 443-48-1 | C6H9N3O3 (171.16 g/mol) | ![]() | Fluka (analytical standard) |
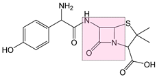
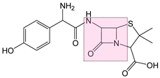
| Amoxicillin (AMX) 26787-78-0 | C16H19N3O5S (365.40 g/mol) | ![]() | Sigma-Aldrich (potency: ≥900 μg/mg) |
| Chloramphenicol (CAM) 56-75-7 | C11H12Cl2N2O5 (323.13 g/mol) | ![]() | Sigma-Aldrich (≥98%) |
| Doxycycline hyclate (DOX) 24390-14-5 | C22H24N2O8 (444.44 g/mol) | ![]() | Sigma-Aldrich (≥98%) |
| Erythromycin (ERY) 114-07-8 | C37H67NO13 (733.94 g/mol) | ![]() | Sigma-Aldrich (potency: ≥850 μg/mg) |
| Antibiotics | Catalytic System | Degree of Antibiotics Conversion (%) 1 | Derivatives with 2 | Oxidation, Elimination or Condensation Products | ||
|---|---|---|---|---|---|---|
| -OH | -Cl | -Br | ||||
| TMP | TiO2/HCl | 87 | ++ | + | - | + |
| TiO2/NaBr/HCl | ~100 | ++ | - | ++ | + | |
| TiO2/FeCl3 | 97 | ++ | ++ | - | - | |
| SMX | TiO2/HCl | 53 | + | - | - | - |
| TiO2/NaBr/HCl | ~100 | - | - | ++ | - | |
| TiO2/FeCl3 | 91 | - | - | - | - | |
| NOR | TiO2/HCl | 75 | + | - | - | ++ |
| TiO2/NaBr/HCl | 81 | + | - | - | ++ | |
| TiO2/FeCl3 | 78 | + | - | - | ++ | |
| MTZ | TiO2/HCl | 84 | + | - | - | - |
| TiO2/NaBr/HCl | 15 | - | - | - | - | |
| TiO2/FeCl3 | 89 | - | + | - | - | |
| AMX | TiO2/HCl | 64 | + | - | - | - |
| TiO2/NaBr/HCl | 33 | - | - | ++ | - | |
| TiO2/FeCl3 | ~100 | - | - | - | - | |
| CAM | TiO2/HCl | 50 | - | + | - | + |
| TiO2/NaBr/HCl | 23 | - | - | - | + | |
| TiO2/FeCl3 | 80 | - | - | - | + | |
| DOX | TiO2/HCl | 79 | + | - | - | + |
| TiO2/NaBr/HCl | 94 | ++ | - | - | ++ | |
| TiO2/FeCl3 | 75 | + | - | - | ++ | |
| ERY | TiO2/HCl | 65 | - | - | - | ++ |
| TiO2/NaBr/HCl | 18 | - | - | - | + | |
| TiO2/FeCl3 | 84 | - | - | - | ++ | |
| Antibiotic | Mobile Phase: A—H2O with 0.01% HCOOH, B—CH3CN with 0.01% HCOOH; Flow: 0.35 mL/min |
|---|---|
| TMP and SMX | initial- A 95%, B 5%; 3.5 min- A 80%, B 20%; 6.5 min- A 50%, B 50%; 7.5 min- A 50%, B 50%; 8.3 min- A 95%, B 5%. |
| NOR | initial- A 95%, B 5%; 6.0 min- A 80%, B 20%; 6.5 min- A 60%, B 40%; 8.0 min- A 60%, B 40%; 9.0 min- A 95%, B 5%. |
| MTZ | initial- A 95%, B 5%; 6.0 min- A 85%, B 15%; 7.0 min- A 50%, B 50%; 8.0 min- A 50%, B 50%; 8.5 min- A 95%, B 5%. |
| AMX | initial- A 99%, B 1%; 3.5 min- A 98%, B 2%; 6.5 min- A 70%, B 30%; 7.5 min- A 70%, B 30%; 8.3 min- A 99%, B 1%. |
| CAM | initial- A 90%, B 10%; 6.0 min- A 60%, B 40%; 7.0 min- A 40%, B 60%; 8.0 min- A 40%, B 60%; 9.0 min- A 90%, B 10%. |
| DOX | initial- A 90%, B 10%; 3.0 min- A 80%, B 20%; 8.0 min- A 10%, B 90%; 8.3 min- A 10%, B 90%; 9.0 min- A 90%, B 10%. |
| ERY | initial- A 93%, B 7%; 2.0 min- A 90%, B 10%; 6.0 min- A 60%, B 40%; 8.0 min- A 60%, B 40%; 9.0 min- A 93%, B 7%. |
Publisher’s Note: MDPI stays neutral with regard to jurisdictional claims in published maps and institutional affiliations. |
© 2021 by the authors. Licensee MDPI, Basel, Switzerland. This article is an open access article distributed under the terms and conditions of the Creative Commons Attribution (CC BY) license (https://creativecommons.org/licenses/by/4.0/).
Share and Cite
Baran, W.; Masternak, E.; Sapińska, D.; Sobczak, A.; Adamek, E. Synthesis of New Antibiotics Derivatives by the Photocatalytic Method: A Screening Research. Catalysts 2021, 11, 1102. https://doi.org/10.3390/catal11091102
Baran W, Masternak E, Sapińska D, Sobczak A, Adamek E. Synthesis of New Antibiotics Derivatives by the Photocatalytic Method: A Screening Research. Catalysts. 2021; 11(9):1102. https://doi.org/10.3390/catal11091102
Chicago/Turabian StyleBaran, Wojciech, Ewa Masternak, Dominika Sapińska, Andrzej Sobczak, and Ewa Adamek. 2021. "Synthesis of New Antibiotics Derivatives by the Photocatalytic Method: A Screening Research" Catalysts 11, no. 9: 1102. https://doi.org/10.3390/catal11091102
APA StyleBaran, W., Masternak, E., Sapińska, D., Sobczak, A., & Adamek, E. (2021). Synthesis of New Antibiotics Derivatives by the Photocatalytic Method: A Screening Research. Catalysts, 11(9), 1102. https://doi.org/10.3390/catal11091102









