Sign in to use this feature.

Years

Between: -

Subjects

remove_circle_outline
remove_circle_outline
remove_circle_outline
remove_circle_outline
remove_circle_outline
remove_circle_outline
remove_circle_outline
remove_circle_outline
remove_circle_outline

Journals

remove_circle_outline
remove_circle_outline
remove_circle_outline
remove_circle_outline
remove_circle_outline
remove_circle_outline
remove_circle_outline
remove_circle_outline
remove_circle_outline
remove_circle_outline
remove_circle_outline
remove_circle_outline
remove_circle_outline
remove_circle_outline
remove_circle_outline

Article Types

Countries / Regions

remove_circle_outline
remove_circle_outline
remove_circle_outline
remove_circle_outline
remove_circle_outline

Search Results (849)

Search Parameters:
Keywords = bromination

Order results
Result details
Results per page
Select all
Export citation of selected articles as:
27 pages, 2381 KB  
Article
Breast Adipose Tissue’s Xenobiotics and Fatty Acid Profile—A Preliminary Study in Portuguese Women with Breast Cancer
by Sara Sousa, Paula Paíga, Bárbara Araújo, Francisca Coelho, Inês Castela, Miguel Vasques, Clara Sampaio, Marta Duarte, Ana Correia, Diana Teixeira, Diogo Pestana, Ana Faria, Cristina Delerue-Matos, Maria João Ramalhosa, Conceição Calhau and Valentina Fernandes Domingues
Toxics 2026, 14(3), 224; https://doi.org/10.3390/toxics14030224 - 6 Mar 2026
Viewed by 397
Abstract
Countless environmental pollutants and xenobiotics, are widespread and linked to hazardous effects, including breast cancer. Due to their lipophilic properties, these accumulate in fat tissue, such as breast adipose tissue. However, little is still known about their combined effects and distribution within the [...] Read more.
Countless environmental pollutants and xenobiotics, are widespread and linked to hazardous effects, including breast cancer. Due to their lipophilic properties, these accumulate in fat tissue, such as breast adipose tissue. However, little is still known about their combined effects and distribution within the breast microenvironment. Alterations in fatty acid metabolism can be a biomarker for cancer progression and a potential bioindicator of pollutant exposure. In this study, the fatty acid profile and levels of organochlorine and organophosphate pesticides (OCPs and OPPs), polychlorinated biphenyls (PCBs), brominated flame retardants (BFRs), organophosphate esters (OPEs), polycyclic aromatic hydrocarbons (PAHs) and synthetic musks (SMs) were measured in 48 breast adipose tissue samples from breast cancer and healthy patients (controls). Twelve xenobiotics were detected at high frequency rates, and the distribution profile of these pollutants differed between cohorts. In total, 163 correlations were identified between specific fatty acids and breast cancer patients’ data, with distinct correlation patterns between cohorts. Fatty acids show the potential to be biomarkers of the presence of lipophilic xenobiotics in the breast microenvironment; however, more studies are needed. This preliminary study is the first to analyze OPPs, OPEs, and PAHs in breast adipose tissue and report associations between xenobiotics and specific fatty acids. Full article
Show Figures

Figure 1

16 pages, 2739 KB  
Article
Target and Non-Target Analysis of Polycyclic Aromatic Hydrocarbons and Emerging Aromatic Contaminants in Outdoor Dust from a Petrochemical-Impacted Residential Area
by Yimeng Si, Siyuan Li, Yu Wang, Hao Chen, Yanlong Zhang, Shaoping Kuang and Hongwen Sun
Toxics 2026, 14(3), 223; https://doi.org/10.3390/toxics14030223 - 5 Mar 2026
Viewed by 274
Abstract
The complex contamination characteristics and potential health risks of polycyclic aromatic hydrocarbons (PAHs) and their derivatives remain poorly understood. In this study, a comprehensive analysis of 16 parent PAHs and 34 derivatives was conducted in outdoor dust samples collected from a residential area [...] Read more.
The complex contamination characteristics and potential health risks of polycyclic aromatic hydrocarbons (PAHs) and their derivatives remain poorly understood. In this study, a comprehensive analysis of 16 parent PAHs and 34 derivatives was conducted in outdoor dust samples collected from a residential area constructed on an abandoned petrochemical site. The results showed that the total concentrations of PAHs, oxidized PAHs, nitro-PAHs, brominated PAHs, and chlorinated PAHs were in the ranges of 75.3–991 ng/g, 9.27–142 ng/g, 1.68–265 ng/g, 15.2–100 ng/g, and 1.23–14.8 ng/g, respectively. Additionally, the non-target screening analysis identified 29 potential aromatic compounds in dust samples. Toxicity assessment indicated that several PAH derivatives and newly identified compounds exhibited stronger acute toxicity than PAHs (ECOSAR model prediction). Incremental lifetime cancer risk (ILCR) values of target compounds ranged from 1.54 × 10−7 to 2.95 × 10−6 for adults and from 5.08 × 10−8 to 9.75 × 10−7 for children. Oral ingestion was identified as the dominant exposure pathway, accounting for 83.5% of total exposure, followed by dermal contact (16.5%). Overall, these findings highlight the complexity of human exposure to PAHs and related aromatic contaminants in petrochemical-impacted residential areas and underscore the need for continued attention to their associated environmental and health risks. Full article
Show Figures

Graphical abstract

39 pages, 5859 KB  
Review
Halogen-Containing Drugs in 2025: A Record Year for the Therapeutic Use and Synthesis of FDA-Approved Small Molecules
by Davide Benedetto Tiz, Marco D’Alì, Nunzio Iraci, Claudio Santi and Luca Sancineto
Biomolecules 2026, 16(3), 381; https://doi.org/10.3390/biom16030381 - 3 Mar 2026
Viewed by 616
Abstract
Halogens, particularly fluorine, chlorine, and bromine, play a pivotal role in modern drug discovery and development. Their incorporation into drug molecules significantly influences physicochemical properties, including lipophilicity, metabolic stability, and target binding affinity. Fluorine, the most commonly used halogen, enhances bioavailability and receptor [...] Read more.
Halogens, particularly fluorine, chlorine, and bromine, play a pivotal role in modern drug discovery and development. Their incorporation into drug molecules significantly influences physicochemical properties, including lipophilicity, metabolic stability, and target binding affinity. Fluorine, the most commonly used halogen, enhances bioavailability and receptor interactions, as seen in several blockbuster drugs. Chlorine and bromine contribute to hydrophobic interactions and modulate pharmacokinetics, while iodine is less frequently utilized due to its larger atomic size and reactivity. The strategic placement of halogens in drug scaffolds has led to the success of numerous FDA-approved pharmaceuticals across therapeutic areas, including oncology, infectious diseases, and central nervous system disorders. This review explores the structure–activity relationships (SAR) of halogen-containing drugs, highlighting recent approvals (2025), their synthesis (with yields, when available), therapeutic use, and, when experimentally available, the interaction with their biological target macromolecules. Full article
(This article belongs to the Section Biological Factors)
Show Figures

Graphical abstract

16 pages, 3005 KB  
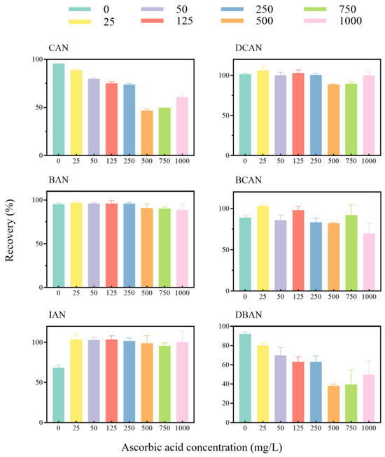
Article
A Purge-and-Trap Gas Chromatography–Mass Spectrometry Method for the Quantitative Determination of Six Haloacetonitriles in Drinking Water
by Yuan Wang, Yuyan Liu, Jiafu Li, Xueqin Huang, Junling Li and Xiaojun Liang
Toxics 2026, 14(3), 214; https://doi.org/10.3390/toxics14030214 - 28 Feb 2026
Viewed by 494
Abstract
Haloacetonitriles (HANs), toxic disinfection by-products, are unregulated in China, with no standardized analytical methods. This study established a simultaneous quantitative method for six typical HANs in drinking water using an optimized purge-and-trap gas chromatography–mass spectrometry (P&T-GC/MS) system. Key parameters, including sorbent trap selection, [...] Read more.
Haloacetonitriles (HANs), toxic disinfection by-products, are unregulated in China, with no standardized analytical methods. This study established a simultaneous quantitative method for six typical HANs in drinking water using an optimized purge-and-trap gas chromatography–mass spectrometry (P&T-GC/MS) system. Key parameters, including sorbent trap selection, purge time, and moisture control settings, were systematically optimized. The OI No. 7 trap and a 13 min purge time were selected to maximize sensitivity while minimizing moisture interference. Under optimal conditions, all target analytes showed good linearity (R2 > 0.999). The method detection limits (LODs) ranged from 0.007 to 0.202 μg/L, and the limits of quantitation (LOQs) ranged from 0.2 to 2.0 μg/L. Average spiked recoveries in tap water were 89.5–111.0%, with relative standard deviations (RSDs) below 5% (n = 7). A core optimization was omitting pH adjustment and ascorbic acid quenching to avoid non-target degradation of brominated HANs and ensure accurate in situ concentration determination. Application to 16 Kunshan tap water samples showed total HAN concentrations of 0.59–3.03 μg/L (average: 1.62 μg/L), dominated by bromochloroacetonitrile (BCAN) and dibromoacetonitrile (DBAN). Process analysis indicated significant synergistic HAN removal by sand filtration and activated carbon, while chloramination significantly increased brominated HANs via enhanced bromination. This efficient, sensitive P&T-GC/MS method is suitable for trace HAN monitoring and provides technical support for HAN control in water treatment. Full article
Show Figures

Graphical abstract

17 pages, 5070 KB  
Article
A Dual-Passivation Strategy to Enhance Exciton Luminescence and Bimodal Anticounterfeiting in Red Perovskite Quantum Dots
by Keyujia Zhong, Fang Lei, Shiqing Dang, Hongyang Zhang, Ying Shi and Haohong Chen
Chemistry 2026, 8(3), 30; https://doi.org/10.3390/chemistry8030030 - 26 Feb 2026
Viewed by 334
Abstract
Perovskite quantum dots (PQDs) face significant performance limitations due to surface defects, which are not sufficiently addressed by conventional single-passivation methods. We introduce a dual-passivation strategy that synergistically combines bifunctional ligand 3-(N,N-dimethyloctadecylammonium)-propanesulfonate (SB3-18) treatment with silica coating to simultaneously passivate undercoordinated Pb2+ [...] Read more.
Perovskite quantum dots (PQDs) face significant performance limitations due to surface defects, which are not sufficiently addressed by conventional single-passivation methods. We introduce a dual-passivation strategy that synergistically combines bifunctional ligand 3-(N,N-dimethyloctadecylammonium)-propanesulfonate (SB3-18) treatment with silica coating to simultaneously passivate undercoordinated Pb2+ ions and bromine vacancies in red-emitting CsPb(Br/I)3 PQDs. This approach nearly triples the photoluminescence quantum yield (PLQY, from 23% to 58%). Systematic structural, morphlogical, binding energy, Fermi level and optical analyses confirm effective defect suppression and enhanced exciton luminescence. The dual-passivated sample QDs:SB3-18@SiO2 also exhibit excellent environmental stability, retaining 85% of their initial emission after 30 min in air and exhibiting improved UV resistance. By combining the PQDs with a CGSO:Tb3+ mechanoluminescent phosphor, a composite film is fabricated with bimodal optical response—color-selective photoluminescence under UV excitation and stress-activated green emission upon scratching. This work presents a robust route to high-performance PQDs and demonstrates their potential for advanced anticounterfeiting and smart optical applications. Full article
(This article belongs to the Section Chemistry of Materials)
Show Figures

Graphical abstract

18 pages, 1912 KB  
Article
Synergistic Enhancement of Electrochemical-Oxidative Chlorine-Free Bromine Extraction from Oil and Gas Field Water by Zero-Gap Electrolyzer and Carbon Cloth Electrode: A Study on Efficient, Selective Extraction and Resistance to Other Ions
by Shiyong Zhou, Rong Ji and Yuan Li
Materials 2026, 19(5), 850; https://doi.org/10.3390/ma19050850 - 25 Feb 2026
Viewed by 250
Abstract
Bromine, as a strategic fundamental chemical raw material, is crucial for modern industry, but the traditional chlorine displacement method poses safety risks in oilfield brine development and faces challenges like resource depletion and inefficient utilization. Addressing the need for high-concentration bromine brine development [...] Read more.
Bromine, as a strategic fundamental chemical raw material, is crucial for modern industry, but the traditional chlorine displacement method poses safety risks in oilfield brine development and faces challenges like resource depletion and inefficient utilization. Addressing the need for high-concentration bromine brine development in underground oilfields, this study developed an electrochemical oxidation-based chlorine-free bromine extraction technology. Leveraging the standard redox potential difference between Br and Cl (0.271 V), the effective potential window for selective Br oxidation was determined as 1.0–1.52 V (vs. SHE) via linear sweep voltammetry (LSV). Within this window, efficient and preferential oxidation of Br over Cl and OH was achieved. In simulated brine with high chloride and low bromide concentrations, a Br conversion rate of 92.3% was attained with no Cl2 generation. The self-designed zero-gap electrolyzer with carbon cloth as the anode reduced the reaction time by over 75% compared to a traditional H-type cell, oxidizing over 90% of Br within 12 min. Kinetic studies revealed that the reaction follows first-order kinetics, with current intensity positively correlated with Br concentration. Investigation of coexisting ions revealed that low concentrations of Cl promote the reaction, while high concentrations exert inhibitory effects. CO32− exhibits a weak promoting effect, and Ca2+/Mg2+ show negligible impact. Notably, organic matter (e.g., ethylene glycol) concentrations exceeding 80 mg/L substantially compromise bromine recovery efficiency. This technology provides a feasible solution for the safe and green development of high-concentration bromine resources and holds significant importance for the upgrading of the bromine chemical industry. Full article
Show Figures

Graphical abstract

21 pages, 2248 KB  
Article
Influence of Dominant Phytoplankton Species on Disinfection By-Product Formation During Active-Substance Ballast Water Treatment: Skeletonema costatum vs. Akashiwo sanguinea
by Hyung-Gon Cha, Bonggil Hyun, Jin-Young Seo, Min-Chul Jang, Woo-Jin Lee, Kyoungsoon Shin and Pung-Guk Jang
J. Mar. Sci. Eng. 2026, 14(4), 372; https://doi.org/10.3390/jmse14040372 - 15 Feb 2026
Viewed by 309
Abstract
Active substance-based Ballast Water Management Systems (BWMS) can generate disinfection by-products (DBPs) by reacting with dissolved organic matter (DOM). However, current IMO G9-based assessments often overlook qualitative DOM variations. This study investigated DBP formation following NaDCC treatment in natural seawater dominated by the [...] Read more.
Active substance-based Ballast Water Management Systems (BWMS) can generate disinfection by-products (DBPs) by reacting with dissolved organic matter (DOM). However, current IMO G9-based assessments often overlook qualitative DOM variations. This study investigated DBP formation following NaDCC treatment in natural seawater dominated by the diatom Skeletonema costatum and the dinoflagellate Akashiwo sanguinea. Laboratory-cultured DOM was also analyzed using ATR-FT-IR, PCA, and 2D-COS to evaluate structural differences. In field experiments, S. costatum treatment primarily produced brominated trihalomethanes (THMs) and specific haloacetic acids (HAAs) with a limited composition. Conversely, A. sanguinea treatment yielded a diverse range of DBPs, including nitrogenous DBPs (HANs). FT-IR results, supported by 2D-COS, revealed that A. sanguinea-derived DOM underwent non-monotonic structural changes and distinct sequential functional group reactions, suggesting multiple, time-delayed precursor interactions. These findings demonstrate that phytoplankton species-specific DOM composition significantly dictates DBP profiles and temporal dynamics. Therefore, environmental risk assessments for BWMS must incorporate the qualitative characteristics of biogenic DOM and dominant species traits, particularly during coastal bloom events, to ensure more accurate management strategies. Full article
(This article belongs to the Section Marine Environmental Science)
Show Figures

Figure 1

24 pages, 5927 KB  
Article
Effect of Brominated Epoxy Resin Content on Thermophysical and Mechanical Properties of Intumescent Fire-Protective Coatings
by Vladimir Kukushkin, Vyacheslav Subbotin, Nikolay Yashin and Victor Avdeev
Polymers 2026, 18(4), 484; https://doi.org/10.3390/polym18040484 - 14 Feb 2026
Viewed by 546
Abstract
Intumescent fire-protective coatings based on epoxy binders are widely used to enhance the fire resistance of steel structures due to their high adhesion, mechanical strength, and durability. However, epoxy binders undergo exothermic thermo-oxidative degradation, which can adversely affect fire-protective performance. In this study, [...] Read more.
Intumescent fire-protective coatings based on epoxy binders are widely used to enhance the fire resistance of steel structures due to their high adhesion, mechanical strength, and durability. However, epoxy binders undergo exothermic thermo-oxidative degradation, which can adversely affect fire-protective performance. In this study, the effect of brominated epoxy resin content on the fire-retardant behavior of intumescent coatings was investigated using two systems: one initially supporting flame propagation and one inherently self-extinguishing. For the initially combustible coating, partial substitution of the epoxy diane resin with a brominated analogue at 12.5% resulted in complete self-extinguishing behavior according to UL-94, while higher substitution levels (≥50%) caused a 20–28% reduction in fire-protective efficacy as assessed by BS 476. For the initially non-combustible coating, a decrease in fire-protective performance of 15–20% was observed regardless of the substitution degree. Thermal analysis showed that coatings containing brominated resins exhibit an onset of thermal degradation approximately 80 °C lower than halogen-free analogues. FTIR and SEM analyses revealed that brominated resins alter the thermolysis mechanism, promoting the formation of oxygen-containing degradation products and a more heterogeneous, irregularly porous foamed char, thereby reducing its thermal insulation capacity. Overall, brominated epoxy resins exert a dual effect, improving self-extinguishing behavior while impairing fire-protective efficacy under prolonged thermal exposure. Brominated resin contents in the range of 10–50% represent a practical compromise, enabling self-extinguishing behavior while maintaining acceptable fire-protective performance. Full article
Show Figures

Graphical abstract

8 pages, 476 KB  
Short Note
(5R,5aR,8aR,9S)-9-(2-Bromo-3,4,5-trimethoxyphenyl)-8-oxo-5,5a,6,8,8a,9-hexahydrofuro[3′,4′:6,7]naphtho[2,3-d][1,3]dioxol-5-yl 3,4,5-trimethoxybenzoate
by Yuhan Xie, Alessandra Gianoncelli, Imran Khan, Giovanni Ribaudo and Paolo Coghi
Molbank 2026, 2026(1), M2140; https://doi.org/10.3390/M2140 - 13 Feb 2026
Viewed by 363
Abstract
In this report, we describe the synthesis and full spectroscopic characterization of a previously unreported podophyllotoxin (PTOX) analogue bearing a second 3,4,5-trimethoxyphenyl (TMP) unit at the C-4 position through an ester linkage. This dual-TMP PTOX derivative is obtained from a brominated PTOX intermediate. [...] Read more.
In this report, we describe the synthesis and full spectroscopic characterization of a previously unreported podophyllotoxin (PTOX) analogue bearing a second 3,4,5-trimethoxyphenyl (TMP) unit at the C-4 position through an ester linkage. This dual-TMP PTOX derivative is obtained from a brominated PTOX intermediate. In this precursor, the bromine atom is located on the TMP aromatic ring at the 2′-position. The new compound was fully characterized by proton (1H), carbon-13 (13C), heteronuclear single-quantum coherence (HSQC), and distortionless enhancement by polarization transfer (DEPT) NMR spectroscopy. Ultraviolet–visible (UV-Vis) spectroscopy, Fourier-transform infrared (FTIR) spectroscopy, mass spectrometry and elemental analysis were also performed to confirm the structure and purity of the synthesized ester derivative. Full article
(This article belongs to the Section Organic Synthesis and Biosynthesis)
Show Figures

Figure 1

13 pages, 1641 KB  
Article
Azomethines with Long Alkyl Chains: Synthesis, Characterization, Biological Properties and Computational Lipophilicity Assessment
by Nikita Yu. Serov, Khasan R. Khayarov, Irina V. Galkina, Marina P. Shulaeva, Vyacheslav A. Grigorev and Timur R. Gimadiev
Chemistry 2026, 8(2), 23; https://doi.org/10.3390/chemistry8020023 - 12 Feb 2026
Viewed by 258
Abstract
The search for new antibacterial agents is an important task due to the emergence of resistance to widely used drugs. Bromine-, chlorine-, and nitro-substituted phenyl ring azomethines with long alkyl chains (C12, C14, C16, and C18 [...] Read more.
The search for new antibacterial agents is an important task due to the emergence of resistance to widely used drugs. Bromine-, chlorine-, and nitro-substituted phenyl ring azomethines with long alkyl chains (C12, C14, C16, and C18) were synthesized and characterized using several experimental methods (NMR and IR spectroscopy, elemental analysis, mass spectrometry). Antibacterial and antifungal activity was tested on several cultures; the synthesized compounds show activity at the level of some commercial antiseptics. Lipophilicity (an important descriptor for predicting biological properties) of the experimentally synthesized and isomeric molecules was determined by three different approaches: quantum chemistry, machine learning (GraphormerLogP model), and an atom contribution model (RDKit library). The quantum-chemical method can account for any spatial arrangements and can be considered the most accurate of the approaches used, but it requires significant computational time. The atom contribution model is the fastest of the methods used, but it gives underestimated results, and different isomers have exactly the same values, in contrast to the quantum chemistry results. Machine learning-based methods (GraphormerLogP) demonstrate acceptable accuracy, sensitivity to isomerism, and orders-of-magnitude higher throughput, making them an optimal tool for high-throughput screening. Full article
(This article belongs to the Section Theoretical and Computational Chemistry)
Show Figures

Figure 1

10 pages, 2511 KB  
Article
Interfacial Characteristics of HgCdTe Infrared Detectors Grown on Alternative Substrates
by Yuanyuan Li, Qingjun Liao, Huihao Li, Jindong Wang, Hao Wu, Zhenhua Ye, Xiaoning Hu and Chun Lin
Sensors 2026, 26(4), 1132; https://doi.org/10.3390/s26041132 - 10 Feb 2026
Viewed by 219
Abstract
To overcome the limitations of CdZnTe substrates for large-format, low-cost HgCdTe infrared focal plane arrays (IRFPAs), the epitaxial growth of HgCdTe films on alternative substrates (e.g., GaAs and Si) has become an important research focus. The lattice mismatch of approximately 14% between the [...] Read more.
To overcome the limitations of CdZnTe substrates for large-format, low-cost HgCdTe infrared focal plane arrays (IRFPAs), the epitaxial growth of HgCdTe films on alternative substrates (e.g., GaAs and Si) has become an important research focus. The lattice mismatch of approximately 14% between the GaAs alternative substrate and the HgCdTe material generates a high density of interfacial defects, such as dislocations and twins. These defects induce a high density of interface states within the near-interface bandgap, resulting in interfacial recombination and consequently limiting device performance. This paper proposes an optimization method for the HgCdTe/GaAs interface that involves substrate removal and surface passivation after the fabrication of GaAs-based HgCdTe infrared (IR) detectors. The GaAs substrate was removed without damage through chemical mechanical polishing (CMP) and selective wet chemical etching. A bromine-based solution (Br2–HBr) was employed to eliminate the surface damage layer for interfacial optimization, and a composite dielectric film was deposited to achieve simultaneous surface passivation and optical antireflection. Experimental results on n-on-p devices operating at 80 K demonstrate that after interfacial optimization, the average quantum efficiency across the 3.5–6.1 μm wavelength range increased from 58% to 84% and the blackbody responsivity improved from 8.7 × 106 V/W to 1.6 × 107 V/W. Both quantum efficiency and blackbody responsivity reached levels comparable to those of CdZnTe-based detectors. Numerical fitting based on the carrier diffusion model indicated that interfacial optimization reduced the surface potential by approximately two orders of magnitude, effectively suppressing interfacial recombination. Full article
(This article belongs to the Section Electronic Sensors)
Show Figures

Figure 1

30 pages, 10018 KB  
Article
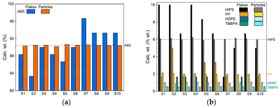
Taming Waste Heterogeneity for Plastics Circularity with Optimized Sample Preparation Protocols for Quality Assessment
by Christos Panagiotopoulos, Christina Podara, Eleni Gkartzou, Melpo Karamitrou, Tatjana Kosanovic-Milickovic, Mara Silber, Lars Meyer, Bernhard von Vacano, Ana Rita Carvalho Neiva, Jan-Hendrik Knoop, Asunción Martínez-García, Ana Ibáñez-García, Silvia Pavlidou, Leila Poudeh, Costas A. Charitidis and Stamatina N. Vouyiouka
Polymers 2026, 18(3), 409; https://doi.org/10.3390/polym18030409 - 4 Feb 2026
Viewed by 831
Abstract
From the perspective of the circular economy and minimization of environmental pollution, recycling plastics is key for transforming polymeric waste streams (PWSs) towards reusable and, if possible, upgraded, value-added products. The low homogeneity of PWSs, even when sorted, complicates sampling, analytical characterization, processability, [...] Read more.
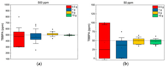
From the perspective of the circular economy and minimization of environmental pollution, recycling plastics is key for transforming polymeric waste streams (PWSs) towards reusable and, if possible, upgraded, value-added products. The low homogeneity of PWSs, even when sorted, complicates sampling, analytical characterization, processability, and quality assurance of the whole circular process. Therefore, sampling, sample preparation, and analysis methodologies that yield results accurate and representative enough to describe the contents and the safety of the bulk while being cost-effective are crucial. In this context, an experimental “model waste” approach was conceptualized to reliably assess and optimize sampling and sample preparation strategies towards specific goals, i.e., identifying and precisely quantifying different polymer types and non-polymeric contaminants (such as brominated flame retardants, BFR) along with establishing a correlation of the sample preparation steps with low deviation values between replicates. The results indicated that cryogenic grinding better preserved additive content, minimizing its degradation, i.e., 461 ± 17 ppm determined via HPLC-MS when the nominal concentration was 500 ppm. On the other hand, melt-based homogenization significantly improved homogeneity and hence reproducibility/variability of analytical results (RSD), albeit at the risk of partial additive thermal degradation (up to 70% reduction in BFR content). The current experimental approach allows a clear understanding of plastic waste characteristics in view of demonstrating analytical limits of detection (LoD), reliable verification of compliance with certain concentrations of unwanted contaminants, and eventually robust evaluation of the applied recycling scheme efficiency. Full article
(This article belongs to the Section Polymer Analysis and Characterization)
Show Figures

Figure 1

24 pages, 1974 KB  
Review
Catalytic Oxidation of Alkanes and Cycloalkanes: Overview
by Aygun Zabit Aliyeva, Ulviyya Aliman Karimova, Sahib Gadji Yunusov, Michael Vigdorowitsch and Sevinj Abdulhamid Mammadkhanova
ChemEngineering 2026, 10(2), 25; https://doi.org/10.3390/chemengineering10020025 - 3 Feb 2026
Viewed by 856
Abstract
Selective functionalisation of inert C(sp3)–H bonds in alkanes and cycloalkanes remains one of the main challenges in the field of environmentally sustainable chemistry. This review provides a critical assessment of current catalytic strategies, in particular addressing the persistent problem of overoxidation [...] Read more.
Selective functionalisation of inert C(sp3)–H bonds in alkanes and cycloalkanes remains one of the main challenges in the field of environmentally sustainable chemistry. This review provides a critical assessment of current catalytic strategies, in particular addressing the persistent problem of overoxidation and low selectivity. Going beyond traditional compartmentalised summaries, this work identifies a significant trend towards the integration of non-traditional activation methods, including ultrasonic cavitation, photocatalysis, and nanosecond pulse discharges, in both homogeneous and heterogeneous systems. Key contributions include a comparative analysis of radical control strategies, in particular highlighting how intermediate hydroperoxides can be used to shift reaction pathways towards selectivity of over 97% for alcohols and ketones. In addition, we discuss the emerging role of carbon nanomaterials (e.g., fullerenes and brominated nanotubes) as active electron-rich carriers and catalysts that lower the energy barriers for C–H activation under mild, ‘green’ conditions. The review concludes that the future of scalable hydrocarbon oxidation lies in ‘hybrid’ approaches such as stabilising active metal centres in protective matrices (zeolites, polymers) while using physical stimuli (ultrasound) to overcome diffusion limitations. This unique perspective highlights the transition from purely chemical catalyst design to integrated process intensification, offering a roadmap for energy-efficient and environmentally friendly industrial technologies. Full article
Show Figures

Figure 1

18 pages, 1929 KB  
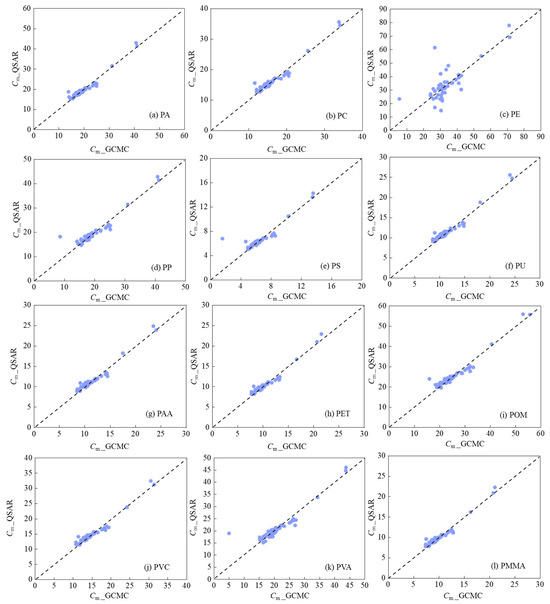
Article
In Silico Models for Predicting Adsorption of Organic Pollutants on Atmospheric Nanoplastics by Combining Grand Canonical Monte Carlo/Density Functional Theory and Quantitative Structure Activity Relationship Approach
by Ya Wang, Honghong Yi, Chao Li, Xiaolong Tang, Peng Zhao and Zhongfang Chen
Nanomaterials 2026, 16(3), 178; https://doi.org/10.3390/nano16030178 - 28 Jan 2026
Viewed by 520
Abstract
Estimating the adsorption data and understanding the adsorption behavior and mechanism of organic pollutants on nanoplastics are crucial for assessing their ecological risks. Herein, in silico techniques, i.e., grand canonical Monte Carlo simulations, density functional theory computations, and quantitative structure activity relationship (QSAR) [...] Read more.
Estimating the adsorption data and understanding the adsorption behavior and mechanism of organic pollutants on nanoplastics are crucial for assessing their ecological risks. Herein, in silico techniques, i.e., grand canonical Monte Carlo simulations, density functional theory computations, and quantitative structure activity relationship (QSAR) modeling, were integrated to examine the adsorption of 39 representative aliphatic and aromatic compounds and nine emerging pollutants (brominated flame retardants and phosphorus flame retardants) onto 12 different nanoplastics under atmospheric conditions. Three QSAR models were constructed to predict the adsorption equilibrium constant (logK) for polyethylene, polyoxymethylene, and polyvinyl alcohol nanoplastics individually, along with 12 QSAR models for separately estimating adsorption capacities (Cm) on different nanoplastics. Furthermore, a novel multi-dimensional prediction model was developed, enabling simultaneous, high-throughput prediction of adsorption capacities across multiple nanoplastics and pollutants with a single input. These results revealed that van der Waals and electrostatic interactions serve as the primary driving forces for the adsorption. The novel multi-dimensional prediction model facilitates rapid and comprehensive assessment of pollutant–nanoplastic interactions with one-click, and paves the way for improved risk evaluations and advancing predictive environmental research. Full article
Show Figures

Figure 1

16 pages, 5371 KB  
Article
2-Arylbenzofurans as Selective Cholinesterase Inhibitors: Design, Synthesis, and Evaluation as Alzheimer’s Disease Agents
by Giovanna Lucia Delogu, Michela Begala, Manuel Novás, Maria João Matos, Franca Piras, Sonia Floris, Francesca Pintus, Michele Mancinelli, Benedetta Era and Antonella Fais
Biomolecules 2026, 16(1), 178; https://doi.org/10.3390/biom16010178 - 22 Jan 2026
Viewed by 416
Abstract
New arylbenzofuran derivatives were designed, synthesized, and evaluated as potential inhibitors of acetylcholinesterase (AChE) and butyrylcholinesterase (BChE). Five hybrid compounds (3135) feature a 2-phenylbenzofuran core linked via a heptyloxy spacer to an N-methylbenzylamine moiety, to enhance interactions within [...] Read more.
New arylbenzofuran derivatives were designed, synthesized, and evaluated as potential inhibitors of acetylcholinesterase (AChE) and butyrylcholinesterase (BChE). Five hybrid compounds (3135) feature a 2-phenylbenzofuran core linked via a heptyloxy spacer to an N-methylbenzylamine moiety, to enhance interactions within the active site of BChE. Biological evaluation revealed that brominated derivatives 34 and 35 showed the highest cholinesterases (ChE) inhibition compared to their chlorinated analogs, with compound 34 showing the highest activity for both AChE (IC50 = 27.7 μM) and BChE (IC50 = 0.7 μM). These compounds proved to be non-cytotoxic and demonstrated significant antioxidant activity in SH-SY5Y cells exposed to hydrogen peroxide (H2O2), highlighting their potential to mitigate oxidative stress: a key pathological factor in Alzheimer’s disease. Structural activity analysis suggests that bromine substitution at position 7 and the presence of a seven-carbon linker are critical for dual ChE inhibition and selectivity towards BChE. ADMET prediction indicates favorable pharmacokinetic properties, including drug-likeness and oral bioavailability. Overall, these findings highlight the potential of the 2-arylbenzofuran as a promising scaffold for multitarget-directed ligands in Alzheimer’s disease therapy. Full article
(This article belongs to the Special Issue New Discoveries in the Field of Neuropharmacology)
Show Figures

Figure 1

Back to TopTop