Measures to Reduce the N2O Formation at Perovskite-Based Lean NOx Trap Catalysts under Lean Conditions
Abstract
:1. Introduction
2. Results
2.1. N2O Formation on Pt/La0.5Sr0.5Fe1-xMxO3-δ/Al2O3 (M = Nb, Ti, Zr; x = 0.25 or 0.5) during Lean Operation Conditions
2.2. Impact of Rh on the NOx Storage Capacity and N2O Evolution of the Infiltration Composites
2.3. Performance Study of a Mixed Composition of 80 vol.% LNT (Bottom) and 20 vol.% Oxidation Catalyst (Top)
3. Discussion
3.1. Catalyst Characterisation
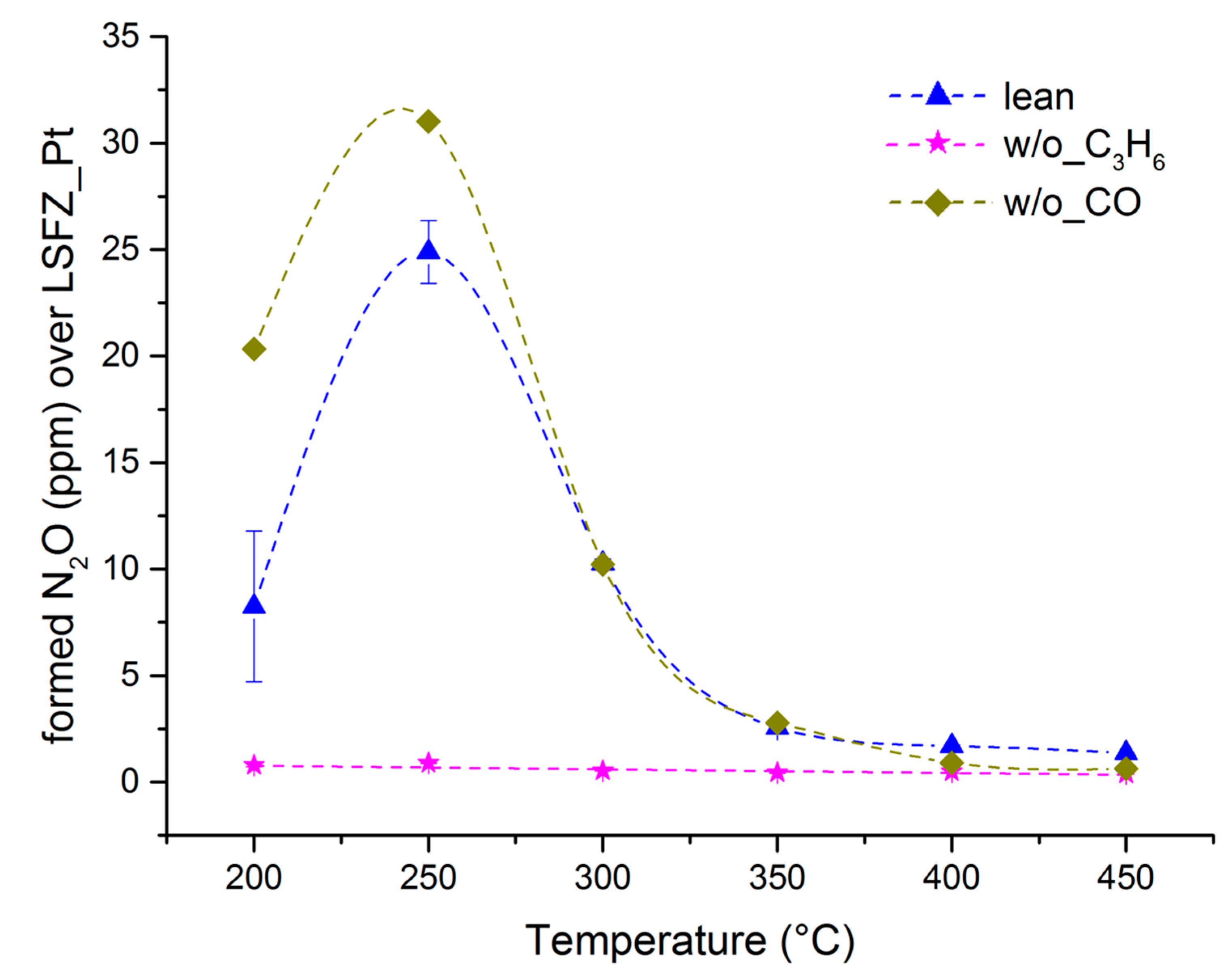
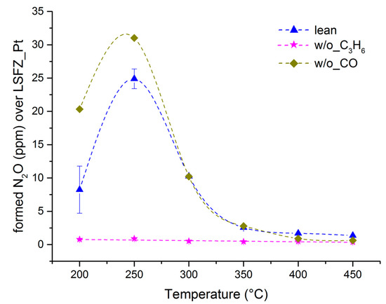
3.2. N2O Formation Investigations
3.3. Attempts to Reduce N2O Evolution
4. Materials and Methods
4.1. Lean NOx Trap Catalyst Preparation
4.2. Oxidation Catalyst Preparation
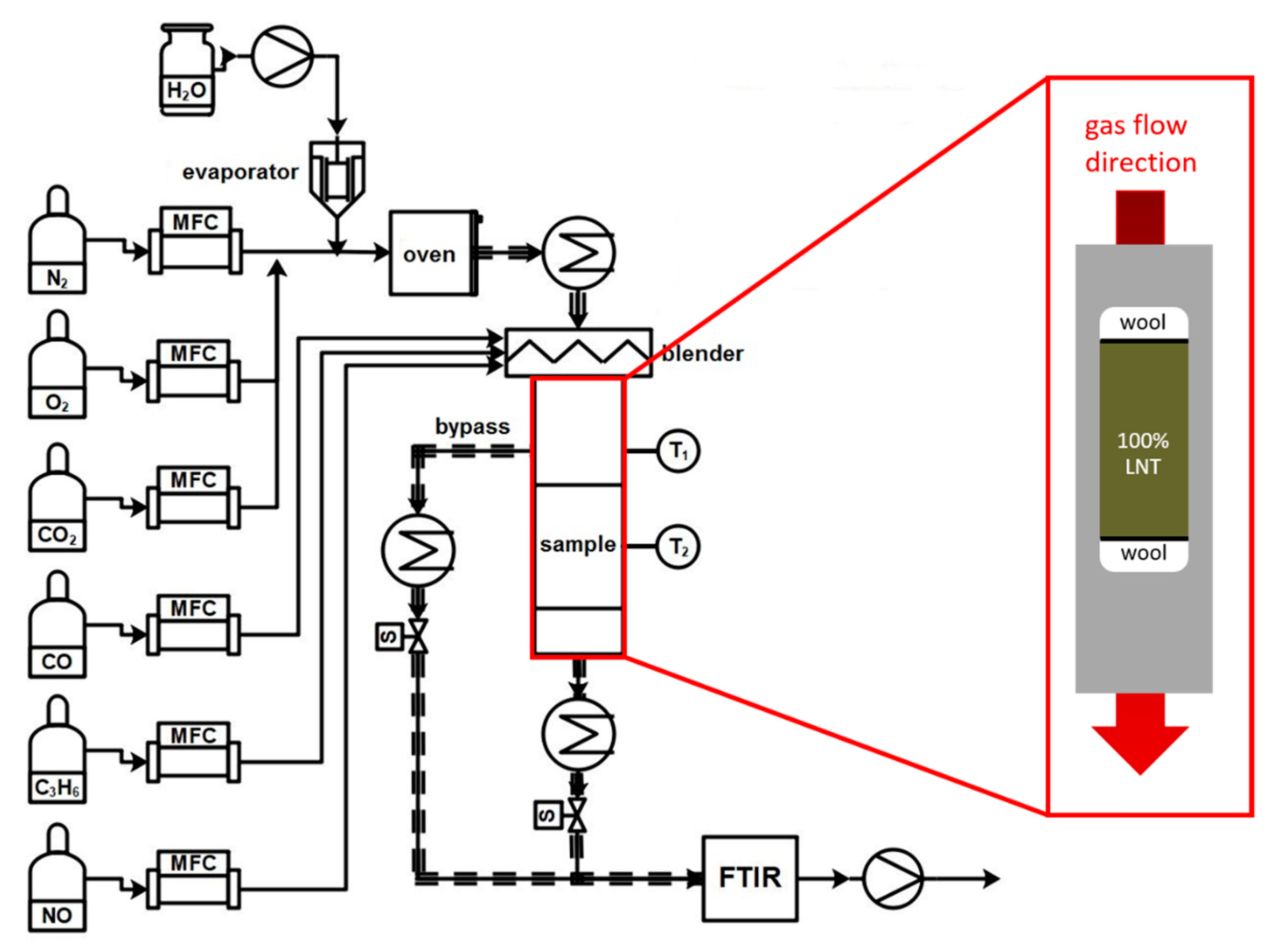
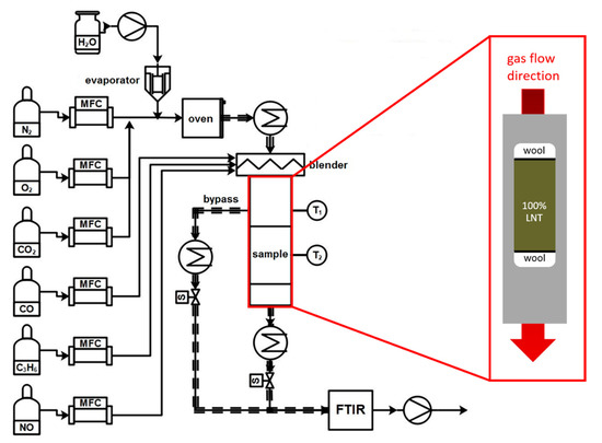
4.3. NOx Adsorption and N2O Evolution Measurements as a Function of Temperature
4.4. Propylene and CO Oxidation Measurements on 2 wt.% Pd/20 wt.% CeO2/Al2O3 as a Function of Temperature
5. Conclusions
Author Contributions
Funding
Data Availability Statement
Acknowledgments
Conflicts of Interest
References
- Brijesh, P.; Sreedhara, S. Exhaust emissions and its control methods in compression ignition engines: A review. Int. J. Automot. Technol. 2013, 14, 195–206. [Google Scholar] [CrossRef]
- Ayodhya, A.S.; Narayanappa, K.G. An overview of after-treatment systems for diesel engines. Environ. Sci. Pollut. Res. 2018, 25, 35034–35047. [Google Scholar] [CrossRef] [PubMed]
- Zhu, J.; Wang, J.; Wang, J.; Dong, M.; Shen, M. Controlling N2O formation during regeneration of NOx storage and reduction catalysts: From impact of platinum-group metal type to rational utilization. Phys. Chem. Chem. Phys. 2017, 19, 32361–32372. [Google Scholar] [CrossRef]
- Pieta, I.S.; Cortes-Reyes, M.; Larrubia, M.A.; Alemany, L.J.; Epling, W.S. Mechanistic Aspect of N2O Formation Over Pt–Ba/γ-Al2O3 Catalysts. Top. Catal. 2019, 62, 116–128. [Google Scholar] [CrossRef] [Green Version]
- Irfan, M.F.; Goo, J.H.; Kim, S.D. Co3O4 based catalysts for NO oxidation and NOx reduction in fast SCR process. Appl. Catal. B Environ. 2008, 78, 267–274. [Google Scholar] [CrossRef]
- Koebel, M.; Elsener, M.; Kleemann, M. Urea-SCR: A promising technique to reduce NOx emissions from automotive diesel engines. Catal. Today 2000, 59, 335–345. [Google Scholar] [CrossRef]
- Takahashi, N.; Shinjoh, H.; Iijima, T.; Suzuki, T.; Yamazaki, K.; Yokota, K.; Suzuki, H.; Miyoshi, N.; Matsumoto, S.-I.; Tanizawa, T.; et al. The new concept 3-way catalyst for automotive lean-burn engine: NOx storage and reduction catalyst. Catal. Today 1996, 27, 63–69. [Google Scholar] [CrossRef]
- Huang, H.Y.; Long, R.Q.; Yang, R.T. The Promoting Role of Noble Metals on NOx Storage Catalyst and Mechanistic Study of NOx Storage under Lean-Burn Conditions. Energy Fuel. 2001, 15, 205–213. [Google Scholar] [CrossRef]
- Mráček, D.; Kočí, P.; Marek, M.; Choi, J.-S.; Pihl, J.A.; Partridge, W.P. Dynamics of N2 and N2O peaks during and after the regeneration of lean NOx trap. Appl. Catal. B Environ. 2015, 166–167, 509–517. [Google Scholar] [CrossRef] [Green Version]
- Zhu, J.; Wang, J.; Wang, J.; Lv, L.; Wang, X.; Shen, M. New Insights into the N2O Formation Mechanism over Pt-BaO/Al2O3 Model Catalysts Using H2 As a Reductant. Environ. Sci. Technol. 2015, 49, 504–512. [Google Scholar] [CrossRef]
- Dasari, P.; Muncrief, R.; Harold, M.P. Cyclic Lean Reduction of NO by CO in Excess H2O on Pt–Rh/Ba/Al2O3: Elucidating Mechanistic Features and Catalyst Performance. Top. Catal. 2013, 56, 1922–1936. [Google Scholar] [CrossRef]
- Yamazaki, K.; Suzuki, T.; Takahashi, N.; Yokota, K.; Sugiura, M. Effect of the addition of transition metals to Pt/Ba/Al2O3 catalyst on the NOx storage-reduction catalysis under oxidizing conditions in the presence of SO2. Appl. Catal. B Environ. 2001, 30, 459–468. [Google Scholar] [CrossRef]
- Choi, J.-S.; Partridge, W.P.; Daw, C.S. Sulfur impact on NOx storage, oxygen storage, and ammonia breakthrough during cyclic lean/rich operation of a commercial lean NOx trap. Appl. Catal. B Environ. 2007, 77, 145–156. [Google Scholar] [CrossRef]
- Kuropka, J. Nitrous oxide emission- potential danger, balance and reduction possibilities. Environ. Protect. Eng. 2006, 32, 81–88. [Google Scholar]
- Jabłońska, M.; Palkovits, R. It is no laughing matter: Nitrous oxide formation in diesel engines and advances in its abatement over rhodium-based catalysts. Catal. Sci. Technol. 2016, 6, 7671–7687. [Google Scholar] [CrossRef]
- Bártová, Š.; Kočí, P.; Mráček, D.; Marek, M.; Pihl, J.A.; Choi, J.-S.; Toops, T.J.; Partridge, W.P. New insights on N2O formation pathways during lean/rich cycling of a commercial lean NOx trap catalyst. Catal Today 2014, 231, 145–154. [Google Scholar] [CrossRef]
- Dong, M.; Wang, J.; Zhu, J.; Wang, J.; Wang, W.; Shen, M. Effects of Pd doping on N2O formation over Pt/BaO/Al2O3 during NOx storage and reduction process. Front. Environ. Sci. Eng. 2017, 11, 93–102. [Google Scholar] [CrossRef]
- Regulations for Emissions from Vehicles and Engines. Available online: https://www.epa.gov/regulations-emissions-vehicles-and-engines/final-rule-model-year-2012-2016-light-duty-vehicle (accessed on 14 April 2021).
- Ren, Y.; Harold, M.P. NOx Storage and Reduction with H2 on Pt/Rh/BaO/CeO2: Effects of Rh and CeO2 in the Absence and Presence of CO2 and H2O. ACS Catal. 2011, 1, 969–988. [Google Scholar] [CrossRef]
- Abdulhamid, H.; Fridell, E.; Skoglundh, M. The reduction phase in NOx storage catalysis: Effect of type of precious metal and reducing agent. Appl. Catal. B Environ. 2006, 62, 319–328. [Google Scholar] [CrossRef]
- Abdulhamid, H.; Fridell, E.; Skoglundh, M. Influence of the type of reducing agent (H2, CO, C3H6 and C3H8) on the reduction of stored NOx in a Pt/BaO/Al2O3 model catalyst. Top. Catal. 2004, 30, 161–168. [Google Scholar] [CrossRef]
- Nova, I.; Lietti, L.; Forzatti, P.; Prinetto, F.; Ghiotti, G. Experimental investigation of the reduction of NOx species by CO and H2 over Pt–Ba/Al2O3 lean NOx trap systems. Catal. Today 2010, 151, 330–337. [Google Scholar] [CrossRef]
- Masdrag, L.; Courtois, X.; Can, F.; Royer, S.; Rohart, E.; Blanchard, G.; Marecot, P.; Duprez, D. Understanding the role of C3H6, CO and H2 on efficiency and selectivity of NOx storage reduction (NSR) process. Catal. Today 2012, 189, 70–76. [Google Scholar] [CrossRef]
- Amiridis, M.D.; Zhang, T.; Farrauto, R.J. Selective catalytic reduction of nitric oxide by hydrocarbons. Appl. Catal. B Environ. 1996, 10, 203–227. [Google Scholar] [CrossRef]
- Hamada, H.; Kintaichi, Y.; Sasaki, M.; Ito, T.; Tabata, M. Transition metal-promoted silica and alumina catalysts for the selective reduction of nitrogen monoxide with propane. Appl. Catal. 1991, 75, L1–L8. [Google Scholar] [CrossRef]
- Burch, R.; Millington, P. Selective reduction of nitrogen oxides by hydrocarbons under lean-burn conditions using supported platinum group metal catalysts. Catal. Today 1995, 26, 185–206. [Google Scholar] [CrossRef]
- Hamada, H.; Kintaichi, Y.; Sasaki, M.; Ito, T.; tabata, M. Selective reduction of nitrogen monoxide with propane over alumina and HZSM-5 zeolite: Effect of oxygen and nitrogen dioxide intermediate. Appl. Catal. 1991, 70, L15–L20. [Google Scholar] [CrossRef]
- Obuchi, A.; Ohi, A.; Nakamura, M.; Ogata, A.; Mizuno, K.; Ohuchi, H. Performance of platinum-group metal catalysts for the selective reduction of nitrogen oxides by hydrocarbons. Appl. Catal. B Environ. 1993, 2, 71–80. [Google Scholar] [CrossRef]
- Hamada, H. Selective reduction of NO by hydrocarbons and oxygenated hydrocarbons over metal oxide catalysts. Catal Today 1994, 22, 21–40. [Google Scholar] [CrossRef]
- Burch, R.; Millington, P.J. Selective reduction of NOx by hydrocarbons in excess oxygen by alumina- and silica-supported catalysts. Catal. Today 1996, 29, 37–42. [Google Scholar] [CrossRef]
- Garcıa-Cortés, J.; Pérez-Ramırez, J.; Illán-Gómez, M.; Kapteijn, F.; Moulijn, J.; de Lecea, C.S.-M. Comparative study of Pt-based catalysts on different supports in the low-temperature de-NOx-SCR with propene. Appl. Catal. B Environ. 2001, 30, 399–408. [Google Scholar] [CrossRef]
- Burch, R.; Breen, J.; Meunier, F. A review of the selective reduction of NOx with hydrocarbons under lean-burn conditions with non-zeolitic oxide and platinum group metal catalysts. Appl. Catal. B Environ. 2002, 39, 283–303. [Google Scholar] [CrossRef]
- Sasaki, M.; Hamada, H.; Kintaichi, Y.; Ito, T. Role of oxygen in selective reduction of nitrogen monoxide by propane over zeolite and alumina-based catalysts. Catal. Lett. 1992, 15, 297–304. [Google Scholar] [CrossRef]
- Centi, G.; Dall’Olio, L.; Perathoner, S. In situ activation phenomena of Rh supported on zirconia samples for the catalytic decomposition of N2O. Appl. Catal. A Gen. 2000, 194, 79–88. [Google Scholar] [CrossRef]
- Beyer, H.; Emmerich, J.; Chatziapostolou, K.; Köhler, K. Decomposition of nitrous oxide by rhodium catalysts: Effect of rhodium particle size and metal oxide support. Appl. Catal. A Gen. 2011, 391, 411–416. [Google Scholar] [CrossRef]
- Centi, G.; Perathoner, S.; Vazzana, F.; Marella, M.; Tomaselli, M.; Mantegazza, M. Novel catalysts and catalytic technologies for N2O removal from industrial emissions containing O2, H2O and SO2. Adv. Environ. Res. 2000, 4, 325–338. [Google Scholar] [CrossRef]
- Centi, G.; Dall’Olio, L.; Perathoner, S. Oscillating behavior in N2O decomposition over Rh supported on zirconia-based catalysts: 2. Analysis of the reaction mechanism. J. Catal. 2000, 194, 130–139. [Google Scholar] [CrossRef]
- Parres-Esclapez, S.; López-Suárez, F.; Bueno-López, A.; Illán-Gómez, M.; Ura, B.; Trawczynski, J. Rh–Sr/Al2O3 catalyst for N2O decomposition in the presence of O2. Top. Catal. 2009, 52, 1832–1836. [Google Scholar] [CrossRef]
- Song, S.; Zhang, S.; Zhang, X.; Verma, P.; Wen, M. Advances in Catalytic Oxidation of Volatile Organic Compounds over Pd-Supported Catalysts: Recent Trends and Challenges. Front. Mater. 2020, 7, 1–14. [Google Scholar] [CrossRef]
- Hadi, A.; Yaacob, I.I. Synthesis of PdO/CeO2 mixed oxides catalyst for automotive exhaust emissions control. Catal. Today 2004, 96, 165–170. [Google Scholar] [CrossRef]
- Shen, M.; Wei, G.; Yang, H.; Wang, J.; Wang, X. Different selections of active sites for CO, C3H6, and C10H22 oxidation on Pd/CeO2 catalysts. Fuel 2013, 103, 869–875. [Google Scholar] [CrossRef]
- Guimarães, A.L.; Dieguez, L.C.; Schmal, M. Surface Sites of Pd/CeO2/Al2O3 Catalysts in the Partial Oxidation of Propane. J. Phys. Chem. B 2003, 107, 4311–4319. [Google Scholar] [CrossRef]
- Faria, W.L.S.; Perez, C.A.C.; César, D.V.; Dieguez, L.C.; Schmal, M. In situ characterizations of Pd/Al2O3 and Pd/CeO2/Al2O3 catalysts for oxidative steam reforming of propane. Appl. Catal. B Environ. 2009, 92, 217–224. [Google Scholar] [CrossRef]
- Ecker, S.I.; Dornseiffer, J.; Werner, J.; Schlenz, H.; Sohn, Y.J.; Sauerwein, F.S.; Baumann, S.; Bouwmeester, H.J.M.; Guillon, O.; Weirich, T.E.; et al. Novel low-temperature lean NOx storage materials based on La0.5Sr0.5Fe1-xMxO3-δ/Al2O3 infiltration composites (M = Ti, Zr, Nb). Appl. Catal. B Environ. 2021, 286, 119919–119929. [Google Scholar] [CrossRef]
- Kubiak, L.; Matarrese, R.; Castoldi, L.; Lietti, L.; Daturi, M.; Forzatti, P. Study of N2O Formation over Rh- and Pt-Based LNT Catalysts. Catalysts 2016, 6, 36. [Google Scholar] [CrossRef] [Green Version]
- Gorte, R.J.; Zhao, S. Studies of the water-gas-shift reaction with ceria-supported precious metals. Catal. Today 2005, 104, 18–24. [Google Scholar] [CrossRef]
- Wieder, N.L.; Cargnello, M.; Bakhmutsky, K.; Montini, T.; Fornasiero, P.; Gorte, R.J. Study of the Water-Gas-Shift Reaction on Pd@CeO2/Al2O3 Core–Shell Catalysts. J. Phys. Chem. C 2011, 115, 915–919. [Google Scholar] [CrossRef]
- Hodjati, S.; Vaezzadeh, K.; Petit, C.; Pitchon, V.; Kiennemann, A. Absorption/desorption of NOx process on perovskites: Performances to remove NOx from a lean exhaust gas. Appl. Catal. B Environ. 2000, 26, 5–16. [Google Scholar] [CrossRef]
- Shannon, R.D. Revised effective ionic radii and systematic studies of interatomic distances in halides and chalcogenides. Acta Crystallograph. Sect. A 1976, 32, 751–767. [Google Scholar]
- Gervasini, A. Temperature Programmed Reduction/Oxidation (TPO/TPR) Methods in Calorimetry and Thermal Methods in Catalysis; Auroux, A., Ed.; Springer: New York, NY, USA, 2013; pp. 175–196. [Google Scholar]
- Kubiak, L.; Castoldi, L.; Lietti, L.; Andonova, S.; Olsson, L. Mechanistic Investigation of the Reduction of NOx over Pt- and Rh-Based LNT Catalysts. Catalysts 2016, 6, 46. [Google Scholar] [CrossRef] [Green Version]
- Andonova, S.; Marchionni, V.; Borelli, M.; Nedyalkova, R.; Lietti, L.; Olsson, L. Mechanistic investigations of the promoting role of Rh on the NSR performance of NOx storage BaO-based catalysts. Appl. Catal. B Environ. 2013, 132–133, 266–281. [Google Scholar] [CrossRef]
- Castoldi, L.; Matarrese, R.; Daturi, M.; Llorca, J.; Lietti, L. Al2O3-supported Pt/Rh catalysts for NOx removal under lean conditions. Appl. Catal. A Gen. 2019, 581, 43–57. [Google Scholar] [CrossRef]
- Raj, R.; Harold, M.P.; Balakotaiah, V. Steady-state and dynamic hysteresis effects during lean co-oxidation of CO and C3H6 over Pt/Al2O3 monolithic catalyst. Chem. Eng. J. 2015, 281, 322–333. [Google Scholar] [CrossRef] [Green Version]
- Arvajova, A.B.; Březina, J.; Pečinka, R.; Kočí, P. Modeling of two-step CO oxidation light-off on Pt/γ-Al2O3 in the presence of C3H6 and NOx. Appl. Catal. B Environ. 2018, 233, 167–174. [Google Scholar] [CrossRef]
- Hazlett, M.J.; Moses-Debusk, M.; Parks, J.E., II; Allard, L.F.; Epling, W.S. Kinetic and mechanistic study of bimetallic Pt-Pd/Al2O3 catalysts for CO and C3H6 oxidation. Appl. Catal. B Environ. 2017, 202, 404–417. [Google Scholar] [CrossRef] [Green Version]
- Ferre, G.; Aouine, M.; Bosselet, F.; Burel, L.; Aires, F.C.S.; Geantet, C.; Ntais, S.; Maurer, F.; Casapu, M.; Grunwaldt, J.-D. Exploiting the dynamic properties of Pt on ceria for low-temperature CO oxidation. Catal. Sci. Technol. 2020, 10, 3904–3917. [Google Scholar] [CrossRef]
- Lang, W.; Laing, P.; Cheng, Y.; Hubbard, C.; Harold, M.P. Co-oxidation of CO and propylene on Pd/CeO2-ZrO2 and Pd/Al2O3 monolith catalysts: A light-off, kinetics, and mechanistic study. Appl. Catal. B Environ. 2017, 218, 430–442. [Google Scholar] [CrossRef]






| Components | synthetic Exhaust Gas Mixtures (Balanced with N2) | ||
|---|---|---|---|
| lean | w/o_CO | w/o_C3H6 | |
| CO2 | 9 vol.% | 9 vol.% | 9 vol.% |
| H2O | 9 vol.% | 9 vol.% | 9 vol.% |
| O2 | 6.5 vol.% | 6.5 vol.% | 6.5 vol.% |
| CO | 500 ppm | - | 500 ppm |
| C3H6 | 200 ppm | 200 ppm | - |
| NO | 500 ppm | 500 ppm | 500 ppm |
Publisher’s Note: MDPI stays neutral with regard to jurisdictional claims in published maps and institutional affiliations. |
© 2021 by the authors. Licensee MDPI, Basel, Switzerland. This article is an open access article distributed under the terms and conditions of the Creative Commons Attribution (CC BY) license (https://creativecommons.org/licenses/by/4.0/).
Share and Cite
Ecker, S.I.; Dornseiffer, J.; Baumann, S.; Guillon, O.; Bouwmeester, H.J.M.; Meulenberg, W.A. Measures to Reduce the N2O Formation at Perovskite-Based Lean NOx Trap Catalysts under Lean Conditions. Catalysts 2021, 11, 917. https://doi.org/10.3390/catal11080917
Ecker SI, Dornseiffer J, Baumann S, Guillon O, Bouwmeester HJM, Meulenberg WA. Measures to Reduce the N2O Formation at Perovskite-Based Lean NOx Trap Catalysts under Lean Conditions. Catalysts. 2021; 11(8):917. https://doi.org/10.3390/catal11080917
Chicago/Turabian StyleEcker, Sabrina I., Jürgen Dornseiffer, Stefan Baumann, Olivier Guillon, Henny J. M. Bouwmeester, and Wilhelm A. Meulenberg. 2021. "Measures to Reduce the N2O Formation at Perovskite-Based Lean NOx Trap Catalysts under Lean Conditions" Catalysts 11, no. 8: 917. https://doi.org/10.3390/catal11080917
APA StyleEcker, S. I., Dornseiffer, J., Baumann, S., Guillon, O., Bouwmeester, H. J. M., & Meulenberg, W. A. (2021). Measures to Reduce the N2O Formation at Perovskite-Based Lean NOx Trap Catalysts under Lean Conditions. Catalysts, 11(8), 917. https://doi.org/10.3390/catal11080917

