Synergistic Effects of Bimetallic AuPd and La2O3 in the Catalytic Reduction of NO with CO
Abstract
1. Introduction
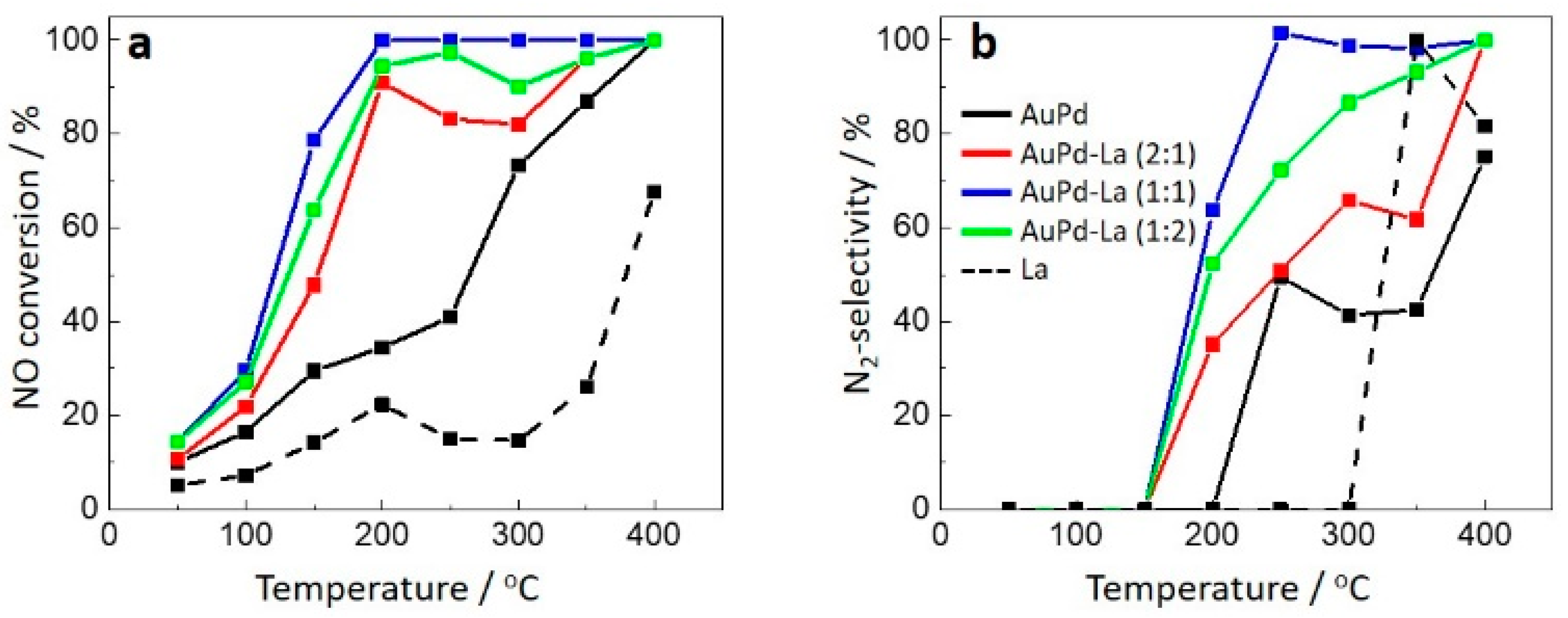
2. Results and Discussion
3. Materials and Methods
3.1. Catalyst Preparation
3.2. Catalytic Reaction
3.3. Catalyst Characterization
4. Conclusions
Supplementary Materials
Author Contributions
Funding
Acknowledgments
Conflicts of Interest
References
- Bond, G.C.; Thompson, D.T. Catalysis by Gold. Catal. Rev. 1999, 41, 319–388. [Google Scholar] [CrossRef]
- Haruta, M.; Kobayashi, T.; Sano, H.; Yamada, N. Novel Gold Catalysts for the Oxidation of Carbon Monoxide at a Temperature far Below 0 °C. Chem. Lett. 1987, 16, 405–408. [Google Scholar] [CrossRef]
- Zhang, S.; Wei, F.; Song, C.; Jia, J.; Xu, Z. Recent Advances of the Combination of Au/Acid Catalysis. Chin. J. Chem. 2014, 32, 937–956. [Google Scholar] [CrossRef]
- Bamwenda, G.R.; Tsubota, S.; Nakamura, T.; Haruta, M. The influence of the preparation methods on the catalytic activity of platinum and gold supported on TiO2 for CO oxidation. Catal. Lett. 1997, 44, 83–87. [Google Scholar] [CrossRef]
- Ishida, T.; Murayama, T.; Taketoshi, A.; Haruta, M. Importance of Size and Contact Structure of Gold Nanoparticles for the Genesis of Unique Catalytic Processes. Chem. Rev. 2020, 120, 464–525. [Google Scholar] [CrossRef]
- Yamazoe, S.; Koyasu, K.; Tsukuda, T. Nonscalable Oxidation Catalysis of Gold Clusters. Acc. Chem. Res. 2014, 47, 816–824. [Google Scholar] [CrossRef] [PubMed]
- Zhao, J.B.; Jin, R.C. Heterogeneous catalysis by gold and gold-based bimetal nanoclusters. Nano Today 2018, 18, 86–102. [Google Scholar] [CrossRef]
- Akram, M.O.; Banerjee, S.; Saswade, S.S.; Bedi, V.; Patil, N.T. Oxidant-free oxidative gold catalysis: The new paradigm in cross-coupling reactions. Chem. Commun. 2018, 54, 11069–11083. [Google Scholar] [CrossRef] [PubMed]
- Liu, X.; He, L.; Liu, Y.M.; Cao, Y. Supported Gold Catalysis: From Small Molecule Activation to Green Chemical Synthesis. Acc. Chem. Res. 2014, 47, 793–804. [Google Scholar] [CrossRef] [PubMed]
- Zidan, M.; Rohe, S.; McCallum, T.; Barriault, L. Recent advances in mono and binuclear gold photoredox catalysis. Catal. Sci. Technol. 2018, 8, 6019–6028. [Google Scholar] [CrossRef]
- Ciriminna, R.; Falletta, E.; Della Pina, C.; Teles, J.H.; Pagliaro, M. Industrial Applications of Gold Catalysis. Angew. Chem. Int. Ed. 2016, 55, 14209–14216. [Google Scholar] [CrossRef]
- Kim, K.H.; Jahan, S.A.; Kabir, E. A review of breath analysis for diagnosis of human health. Trends Anal. Chem. 2012, 33, 1–8. [Google Scholar] [CrossRef]
- Dallago, R.M.; Baibich, I.M. Pd-W and Pd-Mo catalysts for NO decomposition and NO/CO reduction reactions. J. Braz. Chem. Soc. 2009, 20, 873–879. [Google Scholar] [CrossRef][Green Version]
- Rasko, J.; Szabo, Z.; Bansagi, T.; Solymosi, F. FTIR study of the photo-induced reaction of NO + CO on Rh/TiO2. PCCP 2001, 3, 4437–4443. [Google Scholar] [CrossRef]
- Hirano, T.; Ozawa, Y.; Sekido, T.; Ogino, T.; Miyao, T.; Naito, S. Marked effect of In, Pb and Ce addition upon the reduction of NO by CO over SiO2 supported Pd catalysts. Catal. Commun. 2007, 8, 1249–1254. [Google Scholar] [CrossRef]
- Nováková, J.; Kubelková, L. Contribution to the mechanism of NO reduction by CO over Pt/NaX zeolite. Appl. Catal. B Environ. 1997, 14, 273–286. [Google Scholar] [CrossRef]
- Almusaiteer, K.; Chuang, S.S.C. Dynamic Behavior of Adsorbed NO and CO under Transient Conditions on Pd/Al2O3. J. Catal. 1999, 184, 189–201. [Google Scholar] [CrossRef]
- Xiao, P.; Davis, R.C.; Ouyang, X.; Li, J.; Thomas, A.; Scott, S.L.; Zhu, J. Mechanism of NO reduction by CO over Pt/SBA-15. Catal. Commun. 2014, 50, 69–72. [Google Scholar] [CrossRef]
- Beck, D.D.; Sommers, J.W.; DiMaggio, C.L. Impact of sulfur on model palladium-only catalysts under simulated three-way operation. Appl. Catal. B Environ. 1994, 3, 205–227. [Google Scholar] [CrossRef]
- Hoost, T.E.; Otto, K.; Laframboise, K.A. FTIR Spectroscopy of Nitric Oxide Adsorption on Pd/Al2O3: Evidence of Metal-Support Interaction. J. Catal. 1995, 155, 303–311. [Google Scholar] [CrossRef]
- Debeila, M.A.; Coville, N.J.; Scurrell, M.S.; Hearne, G.R. Direct observation of thermally activated NO adsorbate species on Au/TiO2: DRIFTS studies. J. Mol. Catal. A Chem. 2004, 219, 131–141. [Google Scholar] [CrossRef]
- Xu, Z.C.; Li, Y.R.; Lin, Y.T.; Zhu, T.Y. A review of the catalysts used in the reduction of NO by CO for gas purification. Environ. Sci. Pollut. Res. 2020, 27, 6723–6748. [Google Scholar] [CrossRef]
- Ferrer, V.; Finol, D.; Solano, R.; Moronta, A.; Ramos, M. Reduction of NO by CO using Pd-CeTb and Pd-CeZr catalysts supported on SiO2 and La2O3-Al2O3. J. Environ. Sci. 2015, 27, 87–96. [Google Scholar] [CrossRef] [PubMed]
- Higo, T.; Omori, Y.; Shigemoto, A.; Ueno, K.; Ogo, S.; Sekine, Y. Promotive effect of H2O on low-temperature NO reduction by CO over Pd/La0.9Ba0.1AlO3-delta. Catal. Today 2020, 352, 192–197. [Google Scholar] [CrossRef]
- Salker, A.V.; Desai, M.S.F. Catalytic activity and mechanistic approach of NO reduction by CO over M0.05Co2.95O4 (M = Rh, Pd & Ru) spinel system. Appl. Surf. Sci. 2016, 389, 344–353. [Google Scholar] [CrossRef]
- Schmal, M.; Baldanza, M.A.S.; Vannice, M.A. Pd-xMo/Al2O3 catalysts for NO reduction by CO. J. Catal. 1999, 185, 138–151. [Google Scholar] [CrossRef]
- Stoyanova, D.; Georgieva, P.; Kasabova, N. Pd-containing catalysts promoted by NiO designed for the reduction of NO with CO at stoichiometric NO/CO ratio. React. Kinet. Mech. Catal. 2013, 108, 391–402. [Google Scholar] [CrossRef]
- De Sarkar, A.; Khanra, B. CO oxidation and NO reduction over supported Pt-Rh and Pd-Rh nanocatalysts: A comparative study. J. Mol. Catal. A Chem. 2005, 229, 25–29. [Google Scholar] [CrossRef]
- Hirano, T.; Ozawa, Y.; Sekido, T.; Ogino, T.; Miyao, T.; Naito, S. The role of additives in the catalytic reduction of NO by CO over Pd-In/SiO2 and Pd-Pb/SiO2 catalysts. Appl. Catal. A Gen. 2007, 320, 91–97. [Google Scholar] [CrossRef]
- Wang, X.W.; Wang, H.J.; Maeda, N.; Baiker, A. Structure and Catalytic Behavior of Alumina Supported Bimetallic Au-Rh Nanoparticles in the Reduction of NO by CO. Catalysts 2019, 9, 937. [Google Scholar] [CrossRef]
- Wang, X.W.; Maeda, N.; Meier, D.M.; Baiker, A. Potassium Titanate Nanobelts: A Unique Support for Au and AuRh Nanoparticles in the Catalytic Reduction of NO with CO. Chemcatchem 2021, 13, 438–444. [Google Scholar] [CrossRef]
- Shin, H.U.; Lolla, D.; Nikolov, Z.; Chase, G.G. Pd-Au nanoparticles supported by TiO2 fibers for catalytic NO decomposition by CO. J. Ind. Eng. Chem. 2016, 33, 91–98. [Google Scholar] [CrossRef]
- Wang, X.W.; Maeda, N.; Baiker, A. Synergistic Effects of Au and FeOx Nanocomposites in Catalytic NO Reduction with CO. ACS Catal. 2016, 6, 7898–7906. [Google Scholar] [CrossRef]
- Wang, X.W.; Wu, X.L.; Maeda, N.; Baiker, A. Striking activity enhancement of gold supported on Al-Ti mixed oxide by promotion with ceria in the reduction of NO with CO. Appl. Catal. B Environ. 2017, 209, 62–68. [Google Scholar] [CrossRef]
- Samed, A.J.; Tanaka, T.; Ikeue, K.; Machida, M. NO–H2–CO–O2 Reactions Over Pt Catalysts Supported on Ln-incorporated FSM-16 (Ln = La, Ce and Pr). Top. Catal. 2010, 53, 591–596. [Google Scholar] [CrossRef]
- Barrera, A.; Viniegra, M.; Bosch, P.; Lara, V.H.; Fuentes, S. Pd/Al2O3-La2O3 catalysts prepared by sol–gel: Characterization and catalytic activity in the NO reduction by H2. Appl. Catal. B Environ. 2001, 34, 97–111. [Google Scholar] [CrossRef]
- Vidal, H.; Bernal, S.; Baker, R.T.; Finol, D.; Pérez Omil, J.A.; Pintado, J.M.; Rodríguez-Izquierdo, J.M. Characterization of La2O3/SiO2 mixed oxide catalyst supports. J. Catal. 1999, 183, 53–62. [Google Scholar] [CrossRef]
- Xu, J.; White, T.; Li, P.; He, C.; Yu, J.; Yuan, W.; Han, Y.-F. Biphasic Pd−Au Alloy Catalyst for Low-Temperature CO Oxidation. J. Am. Chem. Soc. 2010, 132, 10398–10406. [Google Scholar] [CrossRef]
- Deki, S.; Akamatsu, K.; Hatakenaka, Y.; Mizuhata, M.; Kajinami, A. Synthesis and characterization of nano-sized gold-palladium bimetallic particles dispersed in polymer thin film matrix. Nanostruct. Mater. 1999, 11, 59–65. [Google Scholar] [CrossRef]
- José-Yacamán, M.; Mejía-Rosales, S.; Pérez-Tijerina, E.; Blom, D.A.; Allard, L.F. Imaging Au-Pd Nanoparticles with the Aberration-Corrected STEM/TEM. Microsc. Microanal. 2006, 12, 772–773. [Google Scholar] [CrossRef][Green Version]
- Horváth, D.; Toth, L.; Guczi, L. Gold nanoparticles: Effect of treatment on structure and catalytic activity of Au/Fe2O3 catalyst prepared by co-precipitation. Catal. Lett. 2000, 67, 117–128. [Google Scholar] [CrossRef]
- Boccuzzi, F.; Chiorino, A.; Manzoli, M.; Andreeva, D.; Tabakova, T. FTIR Study of the Low-Temperature Water–Gas Shift Reaction on Au/Fe2O3 and Au/TiO2 Catalysts. J. Catal. 1999, 188, 176–185. [Google Scholar] [CrossRef]
- Fu, C.; Wang, J.; Yang, M.; Su, X.; Xu, J.; Jiang, B. Effect of La doping on microstructure of SnO2 nanopowders prepared by co-precipitation method. J. Non-Cryst. Solids 2011, 357, 1172–1176. [Google Scholar] [CrossRef]
- Kim, D.H.; Woo, S.I.; Lee, J.M.; Yang, O.B. The role of lanthanum oxide on Pd-only three-way catalysts prepared by co-impregnation and sequential impregnation methods. Catal. Lett. 2000, 70, 35–41. [Google Scholar] [CrossRef]
- Spezzati, G.; Su, Y.; Hofmann, J.P.; Benavidez, A.D.; DeLaRiva, A.T.; McCabe, J.; Datye, A.K.; Hensen, E.J.M. Atomically Dispersed Pd–O Species on CeO2(111) as Highly Active Sites for Low-Temperature CO Oxidation. ACS Catal. 2017, 7, 6887–6891. [Google Scholar] [CrossRef]
- Solymosi, F.; Bánsági, T.; Zakar, T.S. Infrared Study of the NO + CO Interaction over Au/TiO2 Catalyst. Catal. Lett. 2003, 87, 7–10. [Google Scholar] [CrossRef]
- Marx, S.; Krumeich, F.; Baiker, A. Surface Properties of Supported, Colloid-Derived Gold/Palladium Mono- and Bimetallic Nanoparticles. J. Phys. Chem. C 2011, 115, 8195–8205. [Google Scholar] [CrossRef]
- Grunwaldt, J.-D.; Kiener, C.; Wögerbauer, C.; Baiker, A. Preparation of Supported Gold Catalysts for Low-Temperature CO Oxidation via “Size-Controlled” Gold Colloids. J. Catal. 1999, 181, 223–232. [Google Scholar] [CrossRef]
- Duff, D.G.; Baiker, A.; Edwards, P.P. A new hydrosol of gold clusters. 1. Formation and particle size variation. Langmuir 1993, 9, 2301–2309. [Google Scholar] [CrossRef]
- Morlang, A.; Neuhausen, U.; Klementiev, K.V.; Schutze, F.W.; Miehe, G.; Fuess, H.; Lox, E.S. Bimetallic Pt/Pd diesel oxidation catalysts—Structural characterisation and catalytic behaviour. Appl. Catal. B Environ. 2005, 60, 191–199. [Google Scholar] [CrossRef]
- Schutz, J.; Stormer, H.; Lott, P.; Deutschmann, O. Effects of Hydrothermal Aging on CO and NO Oxidation Activity over Monometallic and Bimetallic Pt-Pd Catalysts. Catalysts 2021, 11, 300. [Google Scholar] [CrossRef]






| Catalyst | Mean Size of Metal Particles/nm | BET Surface Area/m2 g−1 |
|---|---|---|
| AuPd/TiO2 | 2.1 | 52.1 |
| AuPd-La(2:1)/TiO2 | 2.2 | 47.1 |
| AuPd-La(1:1)/TiO2 | 2.1 | 43.2 |
| AuPd-La(1:2)/TiO2 | 2.2 | 37 |
| La/TiO2 | - | 19.2 |
Publisher’s Note: MDPI stays neutral with regard to jurisdictional claims in published maps and institutional affiliations. |
© 2021 by the authors. Licensee MDPI, Basel, Switzerland. This article is an open access article distributed under the terms and conditions of the Creative Commons Attribution (CC BY) license (https://creativecommons.org/licenses/by/4.0/).
Share and Cite
Wang, X.; Maeda, N.; Meier, D.M. Synergistic Effects of Bimetallic AuPd and La2O3 in the Catalytic Reduction of NO with CO. Catalysts 2021, 11, 916. https://doi.org/10.3390/catal11080916
Wang X, Maeda N, Meier DM. Synergistic Effects of Bimetallic AuPd and La2O3 in the Catalytic Reduction of NO with CO. Catalysts. 2021; 11(8):916. https://doi.org/10.3390/catal11080916
Chicago/Turabian StyleWang, Xianwei, Nobutaka Maeda, and Daniel M. Meier. 2021. "Synergistic Effects of Bimetallic AuPd and La2O3 in the Catalytic Reduction of NO with CO" Catalysts 11, no. 8: 916. https://doi.org/10.3390/catal11080916
APA StyleWang, X., Maeda, N., & Meier, D. M. (2021). Synergistic Effects of Bimetallic AuPd and La2O3 in the Catalytic Reduction of NO with CO. Catalysts, 11(8), 916. https://doi.org/10.3390/catal11080916

