Catalytic Hydrothermal Liquefaction of Penicillin Residue for the Production of Bio-Oil over Different Homogeneous/Heterogeneous Catalysts
Abstract
1. Introduction
2. Results and Discussion
2.1. Effect of Catalyst Types on Product Distribution of Hydrothermal Liquefaction of PR
2.2. Effect of Catalyst Addition Amount on Product Distribution of Hydrothermal Liquefaction of PR
2.3. Analysis of Element Composition and HHV of Bio-Oil
2.4. Analysis of Main Functional Groups of Bio-Oil
2.5. Alteration of Main Organic Components in Bio-Oil
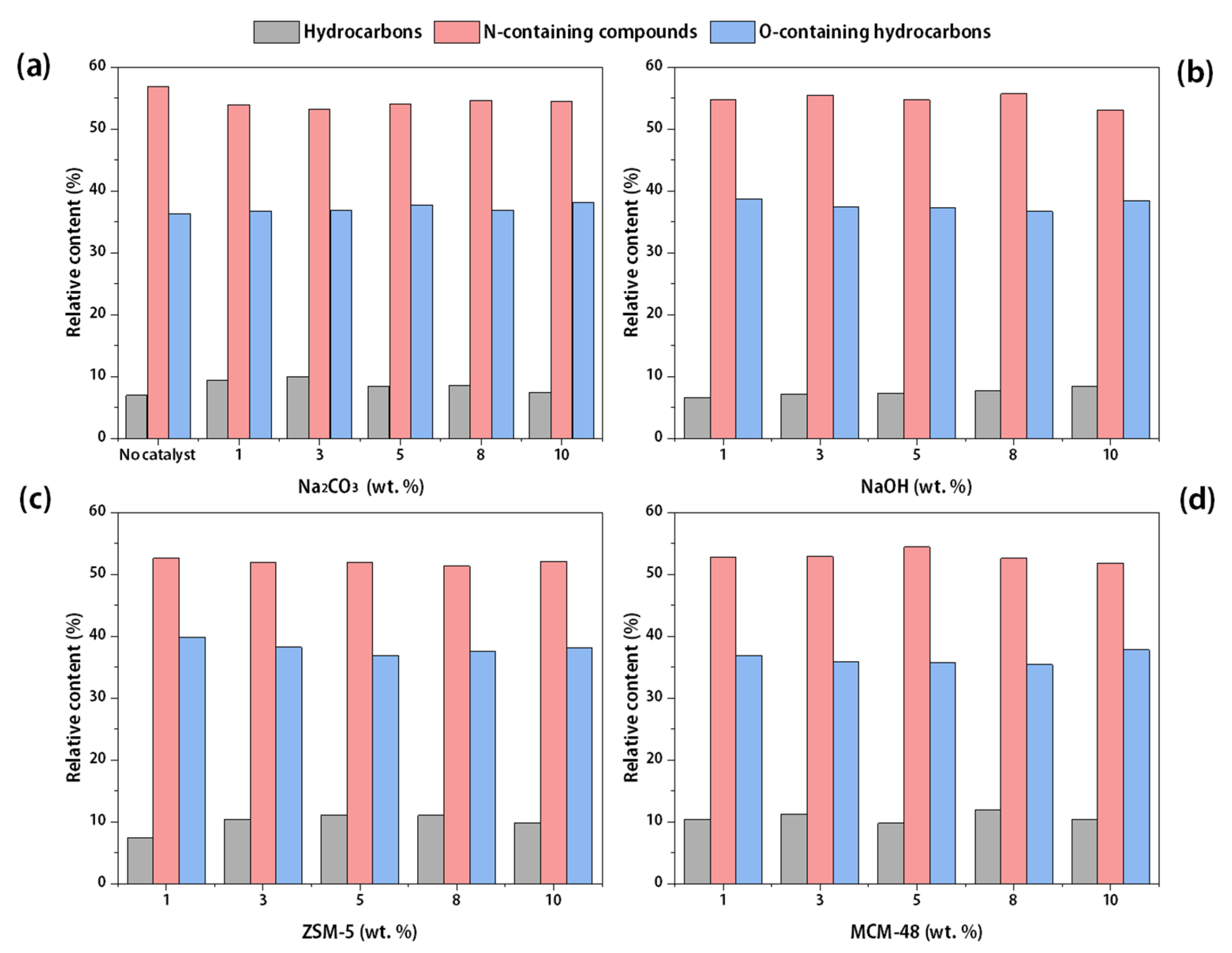
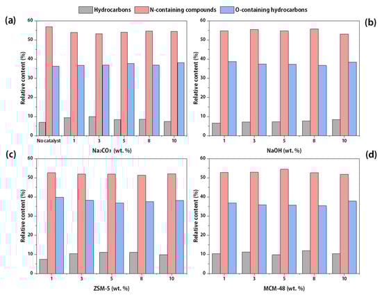
2.5.1. Distribution of Main Components in Bio-Oil
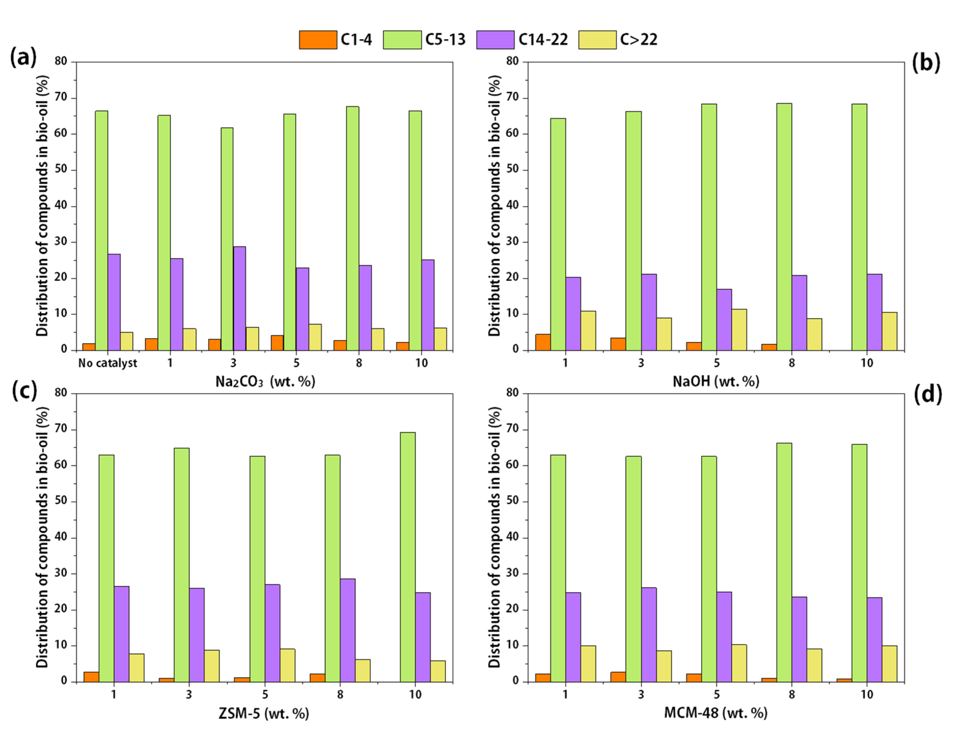
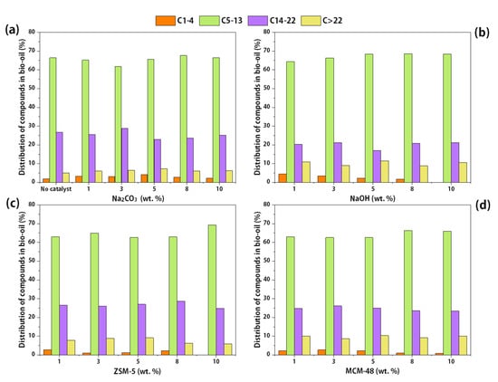
2.5.2. Length Distribution of Carbon Chain of Components in Bio-Oil
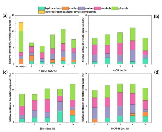
2.5.3. Distribution of Aromatic Hydrocarbons in Bio-Oil
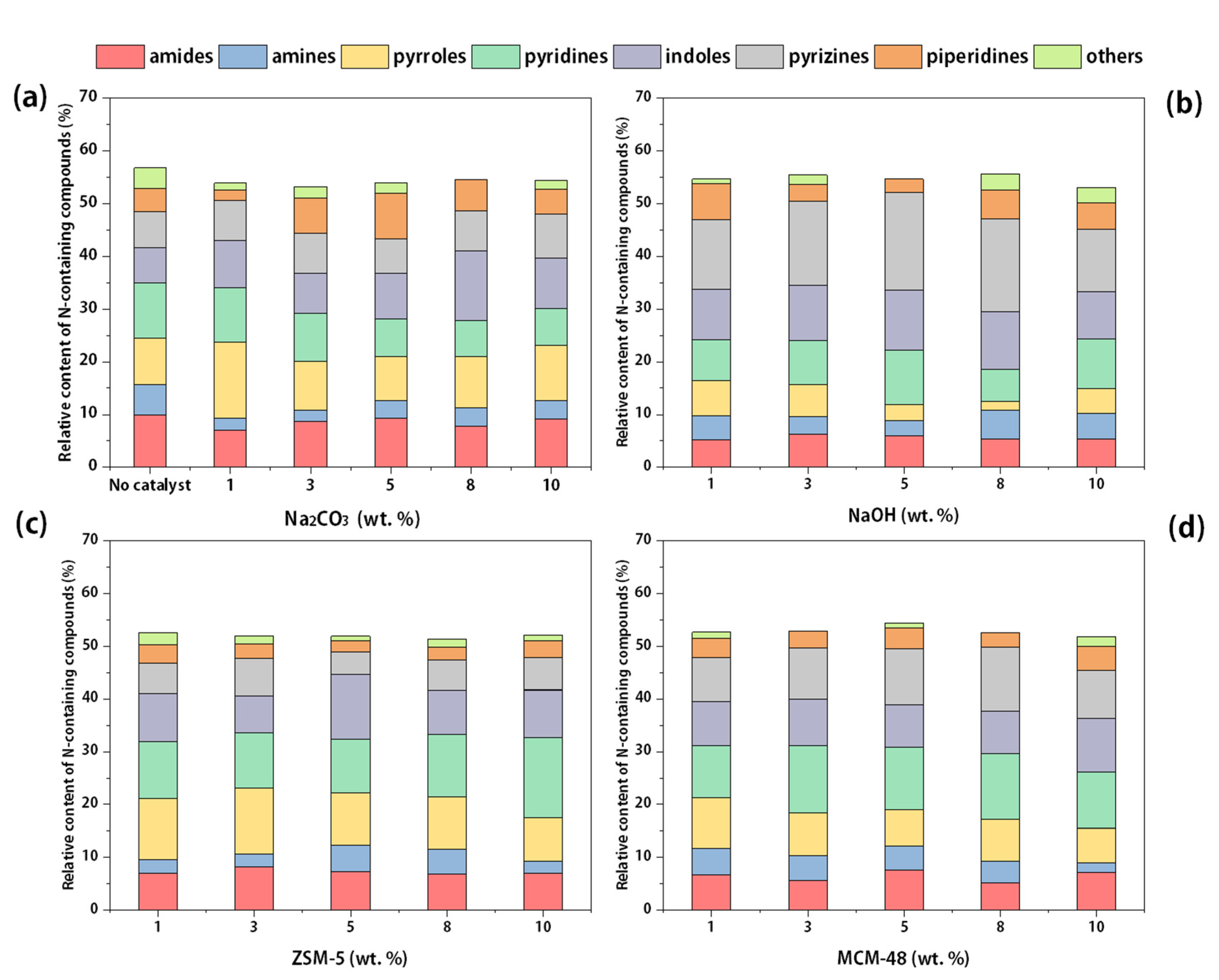
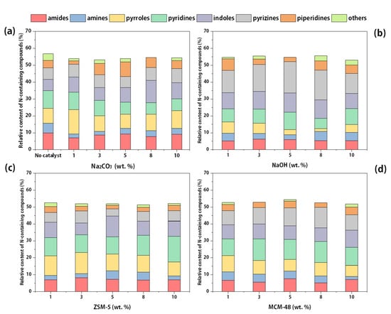
2.5.4. Distribution of Nitrogen-Containing Compounds in Bio-Oil
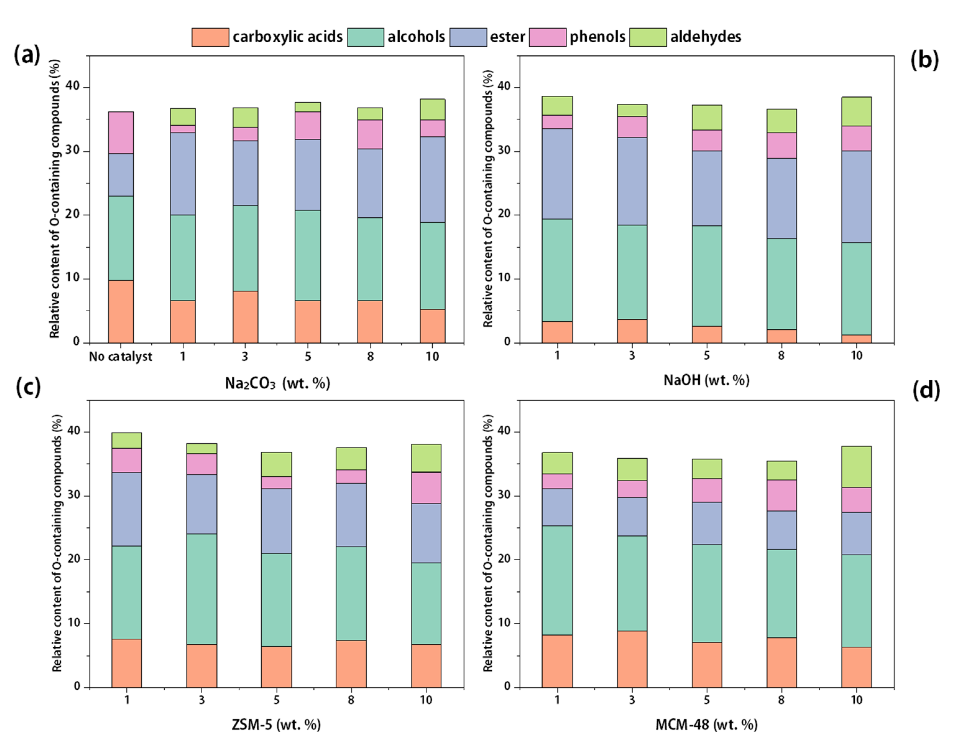
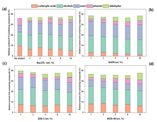
2.5.5. Distribution of Oxygen-Containing Components in Bio-Oil
3. Materials and Methods
3.1. Raw Materials
3.2. Experimental of Hydrothermal Liquefaction (HTL)
3.3. GC-MS Analysis
3.4. FTIR Analysis
4. Conclusions
Supplementary Materials
Author Contributions
Funding
Data Availability Statement
Conflicts of Interest
References
- Dhyani, V.; Bhaskar, T. A comprehensive review on the pyrolysis of lignocellulosic biomass. Renew. Energy 2018, 129, 695–716. [Google Scholar] [CrossRef]
- Hu, J.; Hong, C.; Li, Z.; Xing, Y.; Zheng, Z.; Zhao, X.; Wang, Z.; Zhao, H.; Zhang, Z.; Meng, J.; et al. Nitrogen release of hydrothermal treatment of antibiotic fermentation residue and preparation of struvite from hydrolysate. Sci. Total Environ. 2020, 713, 135174. [Google Scholar] [CrossRef] [PubMed]
- Kumar, M.; Oyedun, A.O.; Kumar, A. A review on the current status of various hydrothermal technologies on biomass feedstock. Renew. Sustain. Energy Rev. 2018, 81, 1742–1770. [Google Scholar] [CrossRef]
- Ma, D.; Zhang, G.; Zhao, P.; Areeprasert, C.; Shen, Y.; Yoshikawa, K.; Xu, G. Hydrothermal treatment of antibiotic mycelial dreg: More understanding from fuel characteristics. Chem. Eng. J. 2015, 273, 147–155. [Google Scholar] [CrossRef]
- Shakya, R.; Whelen, J.; Adhikari, S.; Mahadevan, R.; Neupane, S. Effect of temperature and Na2CO3 catalyst on hydrothermal liquefaction of algae. Algal Res. 2015, 12, 80–90. [Google Scholar] [CrossRef]
- Dimitriadis, A.; Bezergianni, S. Hydrothermal liquefaction of various biomass and waste feedstocks for biocrude production: A state of the art review. Renew. Sustain. Energy Rev. 2017, 68, 113–125. [Google Scholar] [CrossRef]
- Duan, P.; Savage, P.E. Hydrothermal liquefaction of a microalga with heterogeneous catalysts. Ind. Eng. Chem. Res. 2011, 50, 52–61. [Google Scholar] [CrossRef]
- Ross, A.B.; Biller, P.; Kubacki, M.L.; Li, H.; Lea-Langton, A.; Jones, J.M. Hydrothermal processing of microalgae using alkali and organic acids. Fuel 2010, 89, 2234–2243. [Google Scholar] [CrossRef]
- Bi, Z.; Zhang, J.; Peterson, E.; Zhu, Z.; Xia, C.; Liang, Y.; Wiltowski, T. Biocrude from pretreated sorghum bagasse through catalytic hydrothermal liquefaction. Fuel 2017, 188, 112–120. [Google Scholar] [CrossRef]
- Duan, P.; Savage, P.E. Catalytic treatment of crude algal bio-oil in supercritical water: Optimization studies. Energy Environ. Sci. 2011, 4, 1447–1456. [Google Scholar] [CrossRef]
- Saber, M.; Golzary, A.; Hosseinpour, M.; Takahashi, F.; Yoshikawa, K. Catalytic hydrothermal liquefaction of microalgae using nanocatalyst. Appl. Energy 2016, 183, 566–576. [Google Scholar] [CrossRef]
- Nazari, L.; Yuan, Z.; Souzanchi, S.; Ray, M.B.; Xu, C.C. Hydrothermal liquefaction of woody biomass in hot-compressed water: Catalyst screening and comprehensive characterization of bio-crude oils. Fuel 2015, 162, 74–83. [Google Scholar] [CrossRef]
- Yin, S.; Tan, Z. Hydrothermal liquefaction of cellulose to bio-oil under acidic, neutral and alkaline conditions. Appl. Energy 2012, 92, 234–239. [Google Scholar] [CrossRef]
- Hu, Y.; Feng, S.; Yuan, Z.; Xu, C.C.; Bassi, A. Investigation of aqueous phase recycling for improving bio-crude oil yield in hydrothermal liquefaction of algae. Bioresour. Technol. 2017, 239, 151–159. [Google Scholar] [CrossRef]
- Toor, S.S.; Rosendahl, L.; Rudolf, A. Hydrothermal liquefaction of biomass: A review of subcritical water technologies. Energy 2011, 36, 2328–2342. [Google Scholar] [CrossRef]
- Akhtar, J.; Kuang, S.K.; Amin, N.S. Liquefaction of empty palm fruit bunch (EPFB) in alkaline hot compressed water. Renew. Energy 2010, 35, 1220–1227. [Google Scholar] [CrossRef]
- Hita, I.; Cordero-Lanzac, T.; García-Mateos, F.J.; Azkoiti, M.J.; Rodríguez-Mirasol, J.; Cordero, T.; Bilbao, J. Enhanced production of phenolics and aromatics from raw bio-oil using HZSM-5 zeolite additives for PtPd/C and NiW/C catalysts. Appl. Catal. B Environ. 2019, 259, 118112. [Google Scholar] [CrossRef]
- Liao, W.; Wang, X.; Li, L.; Fan, D.; Wang, Z.; Chen, Y.; Li, Y.; Xie, X.A. Catalytic alcoholysis of lignin with HY and ZSM-5 zeolite catalysts. Energy Fuel 2019, 34, 599–606. [Google Scholar] [CrossRef]
- Yan, L.; Wang, Y.; Li, J.; Zhang, Y.; Ma, L.; Fu, F.; Chen, B.; Liu, H. Hydrothermal liquefaction of Ulva prolifera macroalgae and the influence of base catalysts on products. Bioresour. Technol. 2019, 292, 121286. [Google Scholar] [CrossRef]
- Ma, C.; Geng, J.; Zhang, D.; Ning, X. Hydrothermal liquefaction of macroalgae: Influence of zeolites based catalyst on products. J. Energy Inst. 2020, 93, 581–590. [Google Scholar] [CrossRef]
- Shu, R.; Long, J.; Yuan, Z.; Zhang, Q.; Wang, T.; Wang, C.; Ma, L. Efficient and product-controlled depolymerization of lignin oriented by metal chloride cooperated with Pd/C. Bioresour. Technol. 2015, 179, 84–90. [Google Scholar] [CrossRef]
- Alper, K.; Tekin, K.; Karagöz, S. Hydrothermal and supercritical ethanol processing of woody biomass with a high-silica zeolite catalyst. Biomass Convers. Biorefin. 2019, 9, 669–680. [Google Scholar] [CrossRef]
- Hu, Y.; Qi, L.; Feng, S.; Bassi, A.; Charles Xu, C. Comparative studies on liquefaction of low-lipid microalgae into bio-crude oil using varying reaction media. Fuel 2019, 238, 240–247. [Google Scholar] [CrossRef]
- Biller, P.; Madsen, R.B.; Klemmer, M.; Becker, J.; Bo, B.I.; Glasius, M. Effect of hydrothermal liquefaction aqueous phase recycling on bio-crude yields and composition. Bioresour. Technol. 2016, 220, 190–199. [Google Scholar] [CrossRef]
- Biswas, B.; Singh, R.; Krishna, B.B.; Kumar, J.; Bhaskar, T. Pyrolysis of azolla, sargassum tenerrimum and water hyacinth for production of bio-oil. Bioresour. Technol. 2017, 242, 139–145. [Google Scholar] [CrossRef]
- Bu, Q.; Lei, H.; Zacher, A.H.; Wang, L.; Ren, S.; Liang, J.; Wei, Y.; Liu, Y.; Tang, J.; Zhang, Q.; et al. A review of catalytic hydrodeoxygenation of lignin-derived phenols from biomass pyrolysis. Bioresour. Technol. 2012, 124, 470–477. [Google Scholar] [CrossRef] [PubMed]
- Li, Y.; Hong, C.; Li, Z.; Xing, Y.; Chang, X.; Zheng, Z.; Zhao, X. Study on the nitrogen migration mechanism during penicillin fermentation residue fast pyrolysis based on the substance transformation and canonical variational theory. Sci. Total Environ. 2020, 737, 139739. [Google Scholar] [CrossRef]
- Thangalazhy-Gopakumar, S.; Adhikari, S.; Chattanathan, S.A.; Gupta, R.B. Catalytic pyrolysis of green algae for hydrocarbon production using H+ZSM-5 catalyst. Bioresour. Technol. 2012, 118, 150–157. [Google Scholar] [CrossRef] [PubMed]
- Chen, Y.; Wu, Y.; Ding, R.; Zhang, P.; Liu, J.; Yang, M.; Zhang, P. Catalytic hydrothermal liquefaction of D. tertiolecta for the production of bio-oil over different acid/base catalysts. AICHE J. 2015, 61, 1118–1128. [Google Scholar] [CrossRef]
- Torri, C.; Garcia Alba, L.; Samori, C.; Fabbri, D.; Brilman, D.W.F.W. Hydrothermal treatment (HTT) of microalgae: Detailed molecular characterization of HTT oil in view of HTT mechanism elucidation. Energy Fuel 2012, 26, 658–671. [Google Scholar] [CrossRef]
- Li, Y.; Hong, C.; Wang, Y.; Xing, Y.; Chang, X.; Zheng, Z.; Li, Z.; Zhao, X. Nitrogen migration mechanism during pyrolysis of penicillin fermentation residue based on product characteristics and quantum chemical analysis. ACS Sustain. Chem. Eng. 2020, 8, 7721–7740. [Google Scholar] [CrossRef]
- Chen, W.; Yang, H.; Chen, Y.; Xia, M.; Chen, X.; Chen, H. Transformation of nitrogen and evolution of N-containing species during algae pyrolysis. Environ. Sci. Technol. 2017, 51, 6570–6579. [Google Scholar] [CrossRef] [PubMed]
- Duan, P.; Xu, Y.; Wang, F.; Wang, B.; Yan, W. Catalytic upgrading of pretreated algal bio-oil over zeolite catalysts in supercritical water. Biochem. Eng. J. 2016, 116, 105–112. [Google Scholar] [CrossRef]
- Park, J.; Oh, Y.; Lee, J.; Lee, K.; Jeong, M.; Choi, S. Acid-catalyzed hot-water extraction of lipids from Chlorella vulgaris. Bioresour. Technol. 2014, 153, 408–412. [Google Scholar] [CrossRef]
- Wang, Z.; Hong, C.; Xing, Y.; Li, Z.; Li, Y.; Yang, J.; Feng, L.; Hu, J.; Sun, H. Thermal characteristics and product formation mechanism during pyrolysis of penicillin fermentation residue. Bioresour. Technol. 2019, 277, 46–54. [Google Scholar] [CrossRef]
- Barrero, A.F.; Enrique Oltra, J.; Robinson, J.; Burke, P.V.; Jiménez, D.; Oliver, E. Sterols in erg mutants of Phycomyces: Metabolic pathways and physiological effects. Steroids 2002, 67, 403–409. [Google Scholar] [CrossRef][Green Version]








| Catalyst | Dosage (wt.%) | Yield of Bio-Oil (wt.%) | Solid Residue (wt.%) | Conversion (wt.%) |
|---|---|---|---|---|
| No catalyst | - | 26.09 ± 0.73 | 14.07 ± 0.53 | 85.93 ± 1.52 |
| Na2CO3 | 1 | 27.21 ± 0.51 | 13.85 ± 0.38 | 86.15 ± 2.66 |
| 3 | 29.86 ± 0.49 | 13.04 ± 0.44 | 86.96 ± 2.33 | |
| 5 | 31.29 ± 0.68 | 11.75 ± 0.63 | 88.25 ± 1.77 | |
| 8 | 31.44 ± 0.35 | 11.99 ± 0.57 | 88.01 ± 2.27 | |
| 10 | 30.35 ± 0.62 | 11.64 ± 0.27 | 88.36 ± 1.48 | |
| NaOH | 1 | 28.40 ± 0.27 | 13.16 ± 0.35 | 86.84 ± 1.41 |
| 3 | 30.91 ± 0.38 | 12.32 ± 0.26 | 87.68 ± 3.31 | |
| 5 | 30.83 ± 0.61 | 12.09 ± 0.44 | 87.91 ± 1.99 | |
| 8 | 29.33 ± 0.45 | 12.25 ± 0.31 | 87.75 ± 2.16 | |
| 10 | 27.65 ± 0.51 | 12.73 ± 0.42 | 87.27 ± 1.31 | |
| ZSM-5 | 1 | 28.54 ± 0.57 | 14.07 ± 0.36 | 85.93 ± 3.14 |
| 3 | 33.26 ± 0.75 | 13.33 ± 0.47 | 86.67 ± 1.97 | |
| 5 | 33.18 ± 0.34 | 11.37 ± 0.51 | 88.63 ± 4.43 | |
| 8 | 34.53 ± 0.48 | 10.03 ± 0.23 | 89.97 ± 3.74 | |
| 10 | 33.89 ± 0.51 | 10.42 ± 0.64 | 89.58 ± 2.52 | |
| MCM-48 | 1 | 29.76 ± 0.34 | 12.34 ± 0.39 | 87.66 ± 2.53 |
| 3 | 35.23 ± 0.61 | 10.33 ± 0.52 | 89.67 ± 2.36 | |
| 5 | 36.44 ± 0.56 | 10.19 ± 0.17 | 89.81 ± 3.60 | |
| 8 | 36.15 ± 0.47 | 10.15 ± 0.35 | 89.85 ± 2.98 | |
| 10 | 34.69 ± 0.75 | 9.75 ± 0.47 | 90.25 ± 4.00 |
| Catalyst | Dosage (wt.%) | C (wt.%) | H (wt.%) | N (wt.%) | S (wt.%) | O (wt.%) | H/C | O/C | HHV (MJ/kg) | ER (%) |
|---|---|---|---|---|---|---|---|---|---|---|
| No catalyst | - | 73.07 ± 0.72 | 9.69 ± 0.33 | 6.39 ± 0.22 | 0.85 ± 0.02 | 10.01 | 1.59 | 0.10 | 36.72 | 53.14 |
| Na2CO3 | 1 | 75.85 ± 0.96 | 10.65 ± 0.38 | 6.06 ± 0.25 | 0.60 ± 0.00 | 6.84 | 1.68 | 0.07 | 39.59 | 59.75 |
| 3 | 76.78 ±1.73 | 10.01 ± 0.40 | 6.28 ± 0.27 | 0.54 ± 0.01 | 6.39 | 1.56 | 0.06 | 39.07 | 64.70 | |
| 5 | 77.29 ± 1.24 | 10.42 ± 0.29 | 6.38 ± 0.31 | 0.66 ± 0.01 | 5.25 | 1.62 | 0.05 | 40.03 | 69.47 | |
| 8 | 78.17 ± 2.11 | 9.92 ± 0.17 | 6.18 ± 0.12 | 0.49 ± 0.01 | 5.24 | 1.52 | 0.05 | 39.62 | 69.09 | |
| 10 | 77.89 ±1.86 | 9.81 ± 0.31 | 6.11 ± 0.34 | 0.63 ± 0.00 | 5.56 | 1.51 | 0.05 | 39.31 | 66.17 | |
| NaOH | 1 | 74.72 ± 1.77 | 9.78 ± 0.43 | 5.94 ± 0.25 | 0.57 ± 0.01 | 8.99 | 1.57 | 0.09 | 37.59 | 59.21 |
| 3 | 74.36 ± 1.38 | 10.12 ± 0.36 | 5.72 ± 0.42 | 0.74 ± 0.01 | 9.06 | 1.63 | 0.09 | 37.94 | 65.04 | |
| 5 | 76.42 ± 1.19 | 9.42 ± 0.36 | 6.26 ± 0.25 | 0.51 ± 0.00 | 7.39 | 1.48 | 0.07 | 37.93 | 64.86 | |
| 8 | 77.38 ± 1.22 | 9.86 ± 0.25 | 6.04 ± 0.18 | 0.73 ± 0.02 | 5.99 | 1.53 | 0.06 | 39.13 | 63.65 | |
| 10 | 76.61 ± 2.07 | 9.85 ± 0.49 | 6.12 ± 0.29 | 0.46 ± 0.01 | 6.96 | 1.54 | 0.07 | 38.69 | 59.33 | |
| ZSM-5 | 1 | 76.33 ± 0.83 | 10.48 ± 0.48 | 6.45 ± 0.26 | 0.52 ± 0.01 | 6.22 | 1.65 | 0.06 | 39.62 | 62.72 |
| 3 | 75.76 ± 1.96 | 11.53 ± 0.29 | 6.17 ± 0.30 | 0.72 ± 0.00 | 5.82 | 1.83 | 0.06 | 40.99 | 75.61 | |
| 5 | 78.59 ± 1.35 | 10.41 ± 0.38 | 4.25 ± 0.19 | 0.66 ± 0.00 | 6.09 | 1.59 | 0.06 | 40.31 | 74.18 | |
| 8 | 78.65 ± 1.78 | 9.87 ± 0.31 | 5.32 ± 0.17 | 0.78 ± 0.01 | 5.38 | 1.51 | 0.05 | 39.69 | 76.01 | |
| 10 | 77.49 ± 1.24 | 10.12 ± 0.35 | 5.76 ± 0.18 | 0.81 ± 0.02 | 5.82 | 1.57 | 0.06 | 39.57 | 74.38 | |
| MCM-48 | 1 | 75.26 ± 0.94 | 10.78 ± 0.52 | 5.25 ± 0.23 | 0.92 ± 0.02 | 7.79 | 1.72 | 0.08 | 39.40 | 65.03 |
| 3 | 74.74 ± 1.65 | 11.02 ± 0.46 | 6.16 ± 0.42 | 0.85 ± 0.01 | 7.23 | 1.77 | 0.07 | 39.67 | 77.51 | |
| 5 | 76.58 ± 1.79 | 10.06 ± 0.43 | 5.71 ± 0.37 | 0.63 ± 0.01 | 7.02 | 1.58 | 0.07 | 38.96 | 78.74 | |
| 8 | 77.53 ± 1.26 | 9.92 ± 0.22 | 5.83 ± 0.34 | 0.59 ± 0.01 | 6.13 | 1.54 | 0.06 | 39.25 | 78.70 | |
| 10 | 78.59 ± 2.09 | 11.49 ± 0.34 | 4.96 ± 0.25 | 0.47 ± 0.01 | 4.49 | 1.75 | 0.04 | 42.13 | 81.06 |
| Elemental Analysis | wt.% | Industry Analysis | wt.% | Composition Analysis | wt.% |
|---|---|---|---|---|---|
| C | 44.88 | Volatile matter (VM) | 83.62 | Crude protein | 45.4 |
| H | 6.27 | Fixed carbon (FC) | 9.34 | Crude fat | 3.85 |
| N | 5.93 | Ash | 8.04 | Carbohydrate | 1.66 |
| S | 0.77 | - | - | Other | 49.09 |
| O 1 | 34.12 | - | - | - | - |
| Catalyst | Surface Area (m2/g) | Average Pore Size (nm) | Si/Al Ratio |
|---|---|---|---|
| ZSM-5 | 385 | 0.55 | 40–50 |
| ZSM-22 | 181 | 0.57 | 100–120 |
| ZSM-35 | 302 | 0.55 | 70–90 |
| MCM-41 | 705 | 2.5 | 30–35 |
| MCM-48 | 782 | 3.5 | 20–30 |
Publisher’s Note: MDPI stays neutral with regard to jurisdictional claims in published maps and institutional affiliations. |
© 2021 by the authors. Licensee MDPI, Basel, Switzerland. This article is an open access article distributed under the terms and conditions of the Creative Commons Attribution (CC BY) license (https://creativecommons.org/licenses/by/4.0/).
Share and Cite
Hong, C.; Wang, Z.; Si, Y.; Xing, Y.; Yang, J.; Feng, L.; Wang, Y.; Hu, J.; Li, Z.; Li, Y. Catalytic Hydrothermal Liquefaction of Penicillin Residue for the Production of Bio-Oil over Different Homogeneous/Heterogeneous Catalysts. Catalysts 2021, 11, 849. https://doi.org/10.3390/catal11070849
Hong C, Wang Z, Si Y, Xing Y, Yang J, Feng L, Wang Y, Hu J, Li Z, Li Y. Catalytic Hydrothermal Liquefaction of Penicillin Residue for the Production of Bio-Oil over Different Homogeneous/Heterogeneous Catalysts. Catalysts. 2021; 11(7):849. https://doi.org/10.3390/catal11070849
Chicago/Turabian StyleHong, Chen, Zhiqiang Wang, Yanxiao Si, Yi Xing, Jian Yang, Lihui Feng, Yijie Wang, Jiashuo Hu, Zaixing Li, and Yifei Li. 2021. "Catalytic Hydrothermal Liquefaction of Penicillin Residue for the Production of Bio-Oil over Different Homogeneous/Heterogeneous Catalysts" Catalysts 11, no. 7: 849. https://doi.org/10.3390/catal11070849
APA StyleHong, C., Wang, Z., Si, Y., Xing, Y., Yang, J., Feng, L., Wang, Y., Hu, J., Li, Z., & Li, Y. (2021). Catalytic Hydrothermal Liquefaction of Penicillin Residue for the Production of Bio-Oil over Different Homogeneous/Heterogeneous Catalysts. Catalysts, 11(7), 849. https://doi.org/10.3390/catal11070849
