Next Article in Journal
Membrane-Less Ethanol Electrooxidation over Pd-M (M: Sn, Mo and Re) Bimetallic Catalysts
Next Article in Special Issue
Tetramethylammonium Fluoride: Fundamental Properties and Applications in C-F Bond-Forming Reactions and as a Base
Previous Article in Journal
Catalyst Modeling Challenges for Electrified Powertrains
Previous Article in Special Issue
Metal-Free Catalysts for the Polymerization of Alkynyl-Based Monomers
 
 
Font Type:
Arial Georgia Verdana
Font Size:
Aa Aa Aa
Line Spacing:
Column Width:
Background:
Article

Effects of Structured Solids on Regioselectivity of Dibromination of Naphthalene

by
Keith Smith
1,
Alaa K. H. Al-Khalaf
2,
Kıymet Berkil Akar
3,
Doaa J. K. Al-Badri
2,
Benson M. Kariuki
1 and
Gamal A. El-Hiti
4,*
1
School of Chemistry, Cardiff University, Main Building, Park Place, Cardiff CF10 3AT, UK
2
Environment Department, College of Environmental Sciences, Al-Qasim Green University, Babylon Province, Hilla City, Al-Qasim Town 51013, Iraq
3
Department of Bioengineering, Faculty of Engineering and Architecture, Tokat Gaziosmanpasa University, TR-60150 Tokat, Turkey
4
Cornea Research Chair, Department of Optometry, College of Applied Medical Sciences, King Saud University, P.O. Box 10219, Riyadh 11433, Saudi Arabia
*
Author to whom correspondence should be addressed.
Catalysts 2021, 11(5), 540; https://doi.org/10.3390/catal11050540
Submission received: 7 April 2021 / Revised: 21 April 2021 / Accepted: 21 April 2021 / Published: 23 April 2021
(This article belongs to the Special Issue Organohalogen Chemistry and Catalysis)

Abstract

The influence of structured solids (amorphous, lamellar and 3D crystalline) on the regioselectivity of the dibromination of naphthalene using bromine at room temperature has been investigated. The more acidic amorphous catalysts and an acidic clay give rapid reactions and lead to a large preponderance of 1,4-dibromonaphthalene over the 1,5-dibromo compound, while calcined KSF clay, a bentonite material, after a short reaction time gives a small predominance of the 1,5-isomer. Longer reaction times lead to the equilibration of reaction mixtures, which means that the 1,4-isomer eventually predominates in all cases. Based on these observations, it has been possible to devise synthetically useful preparative procedures, involving direct room temperature reactions of bromine with naphthalene, for either 1,4-dibromonaphthalene or 1,5-dibromonaphthalene based on the use of different solids, namely Synclyst 13 and KSF clay, respectively.

Graphical Abstract

1. Introduction

Electrophilic substitution reactions of aromatics are very effective ways of producing valuable industrial materials [1,2,3,4,5]. However, the commercial production of these materials often still uses methodologies developed many years ago. Many traditional processes for producing substituted aromatics involve the substantial generation of waste, the production of isomers that require separation and purification, low yields, and poor selectivity [6,7,8,9]. Dibromonaphthalenes are important intermediates in the organic syntheses of a range of valuable compounds [10,11]. Two main direct routes are available for the production of dibromonaphthalenes; either from further bromination of a monobromonaphthalene or by direct dibromination of naphthalene.
The bromination of 1-bromonaphthalene using bromine (Br2; 1.5 mole equivalents) has been reported to give 1,4-dibromonaphthalene as the major product (73%) along with 1,5-dibromonaphthalene (21%) [12]. However, a high temperature (120 °C) was needed for the reaction to proceed. A higher yield of 1,4-dibromonaphthalene (90%) was produced by the bromination of 1-bromonaphthalene using Br2 in dichloromethane (DCM) at a very low temperature (−30 °C), but a long reaction time (48 h) was required [13]. Under those conditions, 1,5-dibromonapthalene was a minor (2%) side product. On the other hand, 1,5-dibromonaphthalene was the major product (80% yield) from the photo-bromination (250 W lamp) of 1-bromonaphthalene using Br2 (1.5 mole equivalents) in carbon tetrachloride (CCl4) at 77 °C [13]. The 1H NMR spectrum also showed the presence of 1,3,5-tribromonaphthalene (8%) in the reaction mixture.
The dibromination of naphthalene using dioxane dibromide (two mole equivalents) at 40 °C gave a mixture of 1,4-dibromonaphthalene, 2-bromonaphthalene and 1,5-dibromonaphthalene [14]. The bromination of naphthalene using copper(II) bromide in chlorobenzene over alumina at 130 °C gave 1,4-dibromonaphthalene in 92% yield [15]. Ionic liquids have been tested in the bromination of naphthalene, but early attempts were not successful at providing dibromonaphthalenes [16,17,18]. For example, the use of N-bromosuccinimide in the presence of an ionic liquid at 28 °C for 5 min was not effective in the bromination of naphthalene [16], while 3-methylimidazolium tribromide, acting as both solvent and brominating agent, at 70 °C for 23 h, resulted only in monobromination, with the production of 1-bromonaphthalene in quantitative yield [17]. The dibromination of naphthalene using Br2 in a mixture of ionic liquid and water at 70 °C has been reported to give a quantitative yield of 1,4-dibromonaphthalene, but the reaction was conducted on a small scale (0.4 mmol) and required a high temperature, the use of an autoclave, a large excess of Br2 (7.5 mole equivalents), and a series of crystallizations for purification [18]. None of these dibromination procedures is attractive for large-scale application.
The photolytic (150 W lamp) bromination of tetralin using Br2 (4.5 mole equivalents) in CCl4 gave 1,1,4,4-tetrabromotetralin in 92% yield, which was debrominated using potassium tert-butoxide (two mole equivalents) in tetrahydrofuran to give 1,4-dibromonaphthalene in 95% yield [19]. However, such a method is wasteful of bromine atoms, requires two steps and is not convenient for commercial use.
Clearly, there are many limitations associated with the existing processes for the production of dibromonaphthalenes, including the generation of excessive waste and the use of expensive reagents, inconvenient temperatures, or special equipment. Therefore, instead of dibromonaphthalenes being reagents of choice for the synthesis of other disubstituted naphthalenes, many such compounds have been synthesized from the corresponding derivatives containing nitro, amino, or other groups. Therefore, there is still room for a convenient method for the production of dibromonaphthalenes selectively and in high yields by the direct bromination of naphthalene. We have previously developed several simple, efficient, and high yielding synthetic procedures for the production of substituted aromatics [20,21,22,23,24,25,26,27,28] and in particular halogenated derivatives [29,30,31,32,33]. Many of the procedures involved the use of solid additives to catalyze or control the regioselectivity of reactions. Therefore, we became interested in studying the dibromination of naphthalene to produce dibromonaphthalenes using Br2 over various structured solids, and we now report our results.

2. Results and Discussion

The dibromination of naphthalene (1) using bromine (Br2; two mole equivalents) at 25 °C in dichloromethane (DCM) was attempted (Scheme 1) in the absence of any added catalyst to provide a baseline result. The reaction time was varied from 1 to 72 h (Table 1). Under the conditions attempted, the main products were 1-bromonaphthalene (2), 1,4-dibromonaphthane (3), and 1,5-dibromonaphthalene (4) based on quantitative gas chromatography (GC) analysis. 1-Bromonaphthalene (2; 63%) was produced as the only product when the reaction time was 1 h. The highest yield obtained for 3 was 20% when the reaction was carried out for a long reaction time (72 h). No evidence was found for the formation of 4 when the reaction time was 1–6 h. In addition, unreacted naphthalene (14–35%) was identified when the reaction time was less than 6 h.
It appeared that a reaction time of 6 h at 25 °C could be suitable to test the effect of various catalysts on the yield and selectivity of brominated naphthalenes. Therefore, several different kinds of additives were tested as catalysts. They included a traditional Brønsted mineral acid (sulfuric acid), a traditional Lewis acid (AlBr3) and a range of different kinds of commercial solids available in our laboratories following earlier research. The solids included amorphous materials (silicic acid, silica 60A, and two different “Synclysts”—silica–aluminas with different alumina content), lamella materials (two different commercial clays), and a range of zeolites with different pore and channel characteristics. Some features of the zeolites are listed Table 2. Zeolite lattices are negatively charged because they incorporate 4-coordinate aluminum atoms, the number of which determines how many counter cations are required to preserve neutrality, so in some cases zeolites with the same pore-channel structure but different Si/Al ratios were used. The counter cations can be protons, in which case the zeolite will be acidic (the strength depending on several factors), or can be a metal cation, the nature of which can affect the acid-base properties and available pore aperture/volume of the zeolite. For example, in molecular sieve 3A the predominant counter cation is K+, while in molecular sieve 5A the predominant counter cation is Ca2+. Both are zeolite A. For other zeolites used, the nature of the major counter cation is indicated by a prefix to the zeolite type designation (so NaY means zeolite Y with predominantly Na+ counter cations). The molecular sieves have a Si/Al ratio of around 1, but for the other zeolites the Si/Al ratio is given in parentheses after the zeolite designation when relevant.
In order to ensure consistency, all solids were calcined in an identical manner by heating at 550 °C in air for 6 h prior to use. Reactions were conducted under identical conditions. The results obtained are shown in Table 3.
In the absence of any catalyst under such conditions, both 2 (82%) and 3 (14%) were produced, but an insignificant quantity of 4 was seen. The reaction involving the use of H2SO4 led to a very low mass balance because the reaction was very messy and some products could not be identified. However, the only dibromonaphthalene observed in significant quantity was 3. The use of the Lewis acid AlBr3 led to a faster reaction than that involving no catalyst, and a significant amount of 4 was also observed in this case, but the conversion into dibromonaphthalenes was still only 49%. Several of the solid materials (notably silicic acid, 3A molecular sieve, NaY (Si/Al = 7.5) and NaY (Si/Al = 55)) gave low yields of dibromonaphthalenes (≤30%) involving little or no improvement compared to the reaction in the absence of a catalyst. In all of these cases, the amount of 4 recorded was very low (≤4%), but since the yield of 3 was also not large it is difficult to be confident about the precise ratio of 3:4 in these cases.
Some apparently quite similar solids gave rather higher yields of dibromonaphthalenes. For example, silica 60A gave more than silicic acid, molecular sieve 5A gave more than molecular sieve 3A, and samples of NaY with Si/Al ratios of 12.5 and 28 gave more than samples of NaY with Si/Al ratios of 7.5 and 55. In the reactions over NaY zeolites, there appeared to be a trend towards a higher conversion to dibromonaphthalenes with higher Si/Al ratio (lower number of Na+ cations), until the highest Si/Al ratio, when there may have been insufficient active sites available to have a great effect. However, the modest improvements in rates of reaction in all of these cases may be due to nothing more than differences in accessible surface area, particle size, stirring effectiveness or some other such physical factor. Differences in selectivity for the formation of 3 or 4 are more interesting. Apart from the case of silica 60A, which is a mild Brønsted acid, the other solids in this group all gave a much higher proportion of 4 than their apparently similar counterparts from the lower rate group. The solids concerned are not significantly acidic in the Brønsted sense, but neither are their counterparts, which gave lower proportions of 4. HZSM-5 (a medium pore zeolite) and H-mordenite (a large pore zeolite, but with linear channels that are therefore less accessible than more open three-dimensional channels) also led to modest rate enhancements but to a low proportion of 4. Both are fairly strong Brønsted acids.
The most interesting group of solids comprises those that led to a substantial increase in the yield of dibromonaphthalenes. This group included the two “Synclysts” (strongly acidic, amorphous silica–aluminas with different Si/Al ratios), two types of proton-exchanged zeolites (Hβ and HY) with large, three-dimensional pores, and the two commercial clays (K10 and KSF), one of which (K10) was strongly acidic. Most of the solids in this group not only led to a significantly higher yield of dibromonaphthalenes, but also gave a very high proportion of 1,4-dibromonaphthalene (ratio 3:4 ≥17). The exceptions were KSF clay and HY (Si/Al = 15), which both gave very high conversion into dibromonaphthalenes and a much higher proportion of 1,5-dibromonaphthalene (3:4 ratio of about 3:2). Interestingly, the dibromination reaction over HY (Si/Al = 15) was somewhat faster than any of those carried out over NaY zeolites.
From all of the above results, it seemed that it would be possible to provide access to 3 in a synthetically useful way by use of one of the Synclyst solids and possibly to 4 by use of KSF clay. However, the role played by the solids in influencing the regioselectivity was not very clear. In an attempt to increase the yields of 3 and 4 in some cases, and hopefully gain more insight into the regioselectivity of some of the reactions, a longer reaction time (72 h) was employed with some of the solids under otherwise identical conditions. The results achieved are presented in Table 4. The conversion into dibromonaphthalenes generally increased compared to that at 6 h, but in the case of HY (Si/Al = 15) the conversion was actually less. The major product was again 3 in all cases, but with the longer reaction time, some 4 was seen in all cases. The proportion of 4 in the cases that had previously given quite a lot of it was usually somewhat lower. For example, the yield of 4 over KSF clay decreased from 40% (6 h reaction) to 11% when the reaction time was 72 h, which was a surprise. It seems likely that 4 was isomerized to 3 over time. In the case of HY (Si/Al = 15), the reduction in the quantity of 4 from 35% at 6 h to 27% at 72 h was accompanied by a rise in the amount of 1-bromonaphthalene (2), suggesting that the further bromination of 2 was reversible, and that this could also be the mechanism by which 3 and 4 could be interconverted.
The reactions carried out over all zeolites (including molecular sieves) had not quite given complete conversion to dibromonaphthalenes even after 72 h. This could be due to the segregation between naphthalene, intermediates and bromine because of differential absorption within the zeolite pores. In particular, some molecular bromine could have been removed from availability for reaction either by possible absorption within zeolite small cavities or perhaps by evaporation over the long reaction time. In support of the former possibility, the overall yield of dibromonaphthalenes over zeolites could be improved by the addition of excess bromine, while the latter reason may be responsible for the reaction not going to completion in the case of silicic acid. Only the use of K10 and KSF clays led to the complete conversion of naphthalene to dibromonaphthalenes, along with 1,4,6-tribromonaphthalene as a minor product (2%). Both reactions had or had almost gone to completion even after 6 h, but the proportions of 3 and 4 after 6 h were very different for the two different clays, whereas after 72 h the proportions were almost the same. Again, this suggested that isomerization must be possible under the reaction conditions.
Since KSF clay (40%) and zeolite HY (Si/Al = 15; 35%) led to the highest yield of 4 in a 6 h reaction, the two catalysts were chosen for further investigation. A shorter reaction time (3 h) was employed to test if 4 could be produced in higher yields at the early stages of the reaction before its possible isomerization to 3. The quantity of catalyst was also varied from 0.5 g to 8.0 g for 7.64 mmol of 1 to test the effect of quantity on the yields and selectivity of the products (Table 5).
Table 5 shows that the total yield of dibromonaphthalenes 3 and 4 increased broadly in line with the quantity of solid used until the largest quantities of solids were used, where stirring efficiency may have been affected. However, the ratio between 3 and 4 remained almost constant. The period of 3 h was clearly not long enough for the complete conversion of 2 into 3 and 4 with up to 8 g of solid. Nevertheless, some interesting observations can be made. Even allowing for the fact that these heterogeneous reaction mixtures are more difficult to regulate, in terms of ensuring equal dispersion of materials, etc., it was clear that the proportion of 4 within the dibromonaphthalene portion of the products was higher than for the 6 h reactions over both solids, and that KSF clay gave a faster conversion into dibromonaphthalenes than HY (Si/Al = 15). In view of these findings, a broader study of the effect of reaction time on the yields and proportions of dibromonaphthalenes over 4 g of KSF clay was undertaken (Table 6). Due to difficulty in taking representative samples of the whole reaction mixture from such heterogeneous reactions, each time point relates to a separate reaction mixture, set up in an identical manner, rather than to samples of the same mixture taken at different times. This may account for some of the variability in the extent of reaction with time.
A high yield of dibromonaphthalenes was attained even after a short reaction time, and the reaction proportion of 4 was greater than the proportion of 3 in the early stages. Interestingly, the proportion changed with longer reaction times, and by 72 h 3 was easily the more abundant isomer. For example, the yield of 4 was 49% after 45 min and decreased to only 11% after 72 h. This confirmed the isomerization of 4 to 3 under the conditions. It appears that the higher selectivity for 4 in the early stages may be under kinetic control, while over a prolonged reaction time the thermodynamic proportions may be established. In an attempt to check whether the presence of HBr produced as a side product was responsible for catalyzing the isomerization, a reaction was conducted in which a stream of nitrogen was passed through the mixture. Unfortunately, it appeared that molecular bromine was also removed, so that the yields of both 3 and 4 suffered and no conclusion could be drawn.
It was of interest to test the effect of different solvents on the yields of dibromonaphthalenes 3 and 4 and their proportions over KSF clay for a short reaction time (1 h). The results obtained are recorded in Table 7. The reaction proceeded readily in n-pentane, n-hexane, chloroform and DCM, while the yields of dibromonaphthalenes were much lower when 1,2-dichloroethane, tetrachloroethylene, and especially more polar solvents were used. Indeed, with the latter group unreacted naphthalene (1) was present at the end of the reaction time, possibly because much of the bromine introduced into the reaction mixture was consumed by reaction with the solvent. The highest yield (82%) of 3 was obtained when n-hexane was used. Therefore, this reaction was attempted for a prolonged duration. The 24 h reaction in n-hexane led to the formation of a mixture of 2 (16%), 3 (67%), and 4 (13%). This may again be indicative of the reversibility of the reaction and some loss of bromine by other means.
As a result of all the above studies, Synclyst 13 was identified as a useful catalyst for highly regioselective synthesis of 1,4-dibromonaphthalene (3) and KSF clay was identified as a useful catalyst for regioselective synthesis of 1,5-dibromonaphthalene (4). Reactions were conducted for periods of 6 h (Synclyst) or 45 min (KSF) (4 g solid for 7.54 mmol reactions; for the Synclyst 13 reaction the bromine was added dropwise over 45 min, but for the KSF reaction involving a shorter reaction time, the bromine was added all at once) and worked up as for the analytical reactions, and then the products were simply recrystallized. The Synclyst 13 reaction gave 91% isolated yield of pure 3, while the KSF reaction gave 40% of pure 4. Each of these preparative reactions was performed on the same scale (using 0.98 g of naphthalene) as the analytical reactions. However, we also carried out reactions under identical conditions on a larger scale (7.83 g of naphthalene) and obtained virtually identical results. As explained earlier, the added solids were samples left over from earlier research. Unfortunately, neither of these materials is now commercially available and our supplies were limited, so conducting the reactions on an even larger scale was not considered. However, Synclyst 13 is just an amorphous silica–alumina with 13% alumina content and the preparation of such material is well documented [34,35], so it is expected that similar results could be reproduced with prepared materials.
The exact identity of KSF clay, on the other hand, was a commercial confidence, although it was believed to be based on bentonite. Therefore, we decided to investigate the dibromination of naphthalene (1) over readily available bentonite clay. In the early stages of this project, we had decided to treat all of the solids used in the same way, involving calcination at 550 °C, and so we again treated the bentonite clay in the same way. However, this is not the normal way to prepare clays before using them because such treatment can lead to irreversible loss of water and collapse of the lamellar structure of a clay. It is more usual simply to dry them at 100–120 °C, so we also treated a sample of bentonite in this way and compared the effects of the two samples of bentonite with that of KSF in reactions of 1 with two equivalents of bromine. The results suggested that the effect of calcined bentonite was qualitatively similar to that of calcined KSF. The formation of dibromo compounds was perhaps somewhat slower, so that at 3 h there was still a substantial amount of 2 remaining, but after 1 day the product was almost entirely a mixture of 3 and 4 with a 3:4 ratio of ca. 70:30. Additional experimentation would be required to identify the optimal conditions for the reaction, but it is clear that calcined bentonite could provide an alternative to calcined KSF for the synthesis of 4. Bentonite that had just been dried at 120 °C, however, behaved quite differently, giving a product that was almost entirely 3 after 1 day.
In order to try to gain some information about the differences between the samples of bentonite treated in the two different ways (drying or calcination), we subjected them to atomic force microscopy (AFM). The major physical differences between the two samples were that the calcined sample showed greater core roughness depth (difference between the minimum and maximum heights of the surface), surface roughness average (mean deviation from the arithmetical mean surface plane), and surface area ratio (percentage additional area contributed by the texture compared to that of the arithmetical mean surface plane), but smaller average diameter of granules (both mean and median) than the non-calcined sample (Table 8 and Supplementary Materials). More work would be required to characterize any chemical changes in the materials.
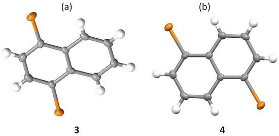
The pure samples of 3 and 4 obtained following the crystallizations reported above were used to confirm their structures using various spectroscopic techniques (see experimental section). In addition, their molecular structures were confirmed using X-ray crystallography (Figure 1) and were found to be consistent with those reported [36,37].

3. Materials and Methods

3.1. General

Most solid catalysts, reagents, and solvents were purchased from Zeolyst International (Kansas City, KS, USA) or Aldrich Chemical Company (Gillingham, UK). Synclysts were donated by Crosfield Catalysts (Warrington, UK). The solids were freshly calcined for 6 h at 550 °C before use. Melting points were recorded on a Gallenkamp melting point apparatus (Calgary, Canada). A FTIR-660 plus Fourier transform infrared spectrometer (Jasco, Tokyo, Japan) was used to record the IR spectra. UV-visible spectra were recorded on a U-750 UV-visible spectrophotometer (Jasco, Tokyo, Japan). 1H (400 MHz) and 13C (100 MHz) NMR spectra were recorded on a Bruker AV400 spectrometer (Zürich, Switzerland) in CDCl3 and chemical shifts (δ) are reported in ppm and coupling constants (J) are reported in Hz. Low- and high-resolution mass spectra were recorded on GCT Premier and Waters Q-TOF mass spectrometers (Milford, MA, USA), respectively. AFM images were made using a PHYWE Compact AFM atomic force microscope (Göttingen, Germany). A Nonius Kappa CCD diffractometer (Bruker, Madison, WI, USA) with a graphite-monochromated Mo-Kα, (λ = 0.71073 Å) radiation source was used to collect the X-ray crystal diffraction data. The crystallographic data for compounds 3 and 4 were deposited at the Cambridge Crystallographic Data Center with CCDC reference numbers 2060613 and 2060614.

3.2. Quantitative GC Analysis

The products from dibromination reactions of naphthalene were subjected to quantitative GC using a Hewlett Packard 5890 Series II Gas Chromatograph. The GC was equipped with a ZEBRON ZB-5 column (100% poly(dimethylsiloxane), 0.32 mm ID, 30 m length). The GC conditions involved the use of 170 °C for 0.5 min, ramped to 300 °C at 4 °C/min. The injection and detection temperatures were fixed as 295 °C. Hexadecane was used as a standard to quantify products.

3.3. General Procedure for the Investigative Dibromination Reactions of Naphthalene (1)

A solution of 1 (0.98 g, 7.65 mmol) in the appropriate solvent (10 mL) was added to a stirred calcined solid in the same solvent (30 mL) in a round bottom flask (100 mL) equipped with a dropping funnel. The flask was wrapped with aluminum foil and a freshly prepared solution of Br2 (2.44 g; 15.28 mmol) in the same solvent (10 mL) was added over 45 min. The mixture was stirred in the dark at 25 °C for the appropriate time. The catalyst was removed by filtration and washed with DCM (3 × 10 mL). The combined filtrates were washed with a saturated aqueous solution of Na2S2O5 (20 mL) followed by layer separation. The organic layer was dried (MgSO4) and evaporated at 40 °C (normal pressure) and the products were analyzed by GC.

3.4. Synthesis of 1,4-Dibromonaphthalene (3)

A solution of 1 (0.98 g, 7.65 mmol) in DCM (10 mL) was added to a stirred mixture of Synclyst 13 (4.0 g) and DCM (30 mL). A solution of Br2 (2.44 g; 15.3 mmol) in DCM (10 mL) was added dropwise over 45 min and the mixture was stirred in the dark at 25 °C for 6 h. The reaction was worked-up as reported in Section 3.3 and the crude product was recrystallized from DCM to give 3 (2.00 g, 91%) as colorless needles, Mp 80–82 °C (lit. 80–82 °C [13]). FTIR (KBr) υmax 3060, 1564, 1180, 757 cm−1. UV-visible λmax 310 nm, Abs. 1.58, ε 15.8 × 102, c 1 × 10−3 M (25 °C). 1H NMR δ 8.35 (dd, J 3.3, 6.5 Hz, 2H), 7.75 (dd, J 3.3, 6.5 Hz, 2H), 7.72 (s, 2H). 13C NMR δ 133.5, 131.3, 128.6, 127.8, 123.4. EI-MS m/z (%) 288 ([M81Br2]+, 45), 286 ([M79Br81Br]+, 96), 284 ([M79Br2]+, 52), 207 (30), 205 (32), 126 (100). HRMS (EI) m/z calculated for C10H679Br2 (M+) 283.8842, found 283.8836.

3.5. Synthesis of 1,5-Dibromonaphthalene (4)

A solution of 1 (0.98 g, 7.65 mmol) in DCM (10 mL) was added to a stirred mixture of calcined montmorillonite KSF clay (4.0 g) and DCM (30 mL) and stirred in the dark for 15 min to ensure even dispersion. A solution of Br2 (2.44 g; 15.3 mmol) in DCM (10 mL) was added rapidly to the stirring mixture, which was then stirred in the dark at 25 °C for a further 45 min. The reaction was worked-up as reported in Section 3.3 and the crude product was purified by fractional crystallization using a mixture of DCM and Et2O (4:1 by volume). The mixture was kept at –15 °C for 72 h to give 4 (0.88 g, 40%) as pale-yellow crystals, Mp 129–130 °C (lit. 129–130 °C [13]). FTIR (KBr) υmax 3060, 1488, 1379, 1191, 903, 776, 701 cm−1. UV-visible λmax 311 nm, Abs. 1.58, ε 15.8 × 102, c 1 × 10−3 M (25 °C). 1H NMR δ 8.24 (d, J 8.0 Hz, 2H), 7.83 (d, J 8.0 Hz, 2H), 7.42 (app. t, J 8.0 Hz, 2H). 13C NMR δ 133.5, 131.3, 127.8, 127.7, 123.42. EI-MS m/z (%) 288 ([M81Br2]+, 57), 286 ([M79Br81Br]+, 100), 284 ([M79Br2]+, 64), 207 (29), 205 (30), 126 (64). HRMS (EI) m/z calculated for C10H679Br2 (M+) 283.8842, found 283.8836.

4. Conclusions

Simple and efficient laboratory-scale processes for the regioselective dibromination of naphthalene using bromine over structured solids have been developed. The reaction catalyzed by an acidic amorphous silica–alumina gives a high yield of 1,4-dibromonaphthalene, while the reaction in the presence of calcined montmorillonite KSF clay, a bentonite clay, gives a mixture rich in 1,5-dibromonaphthalene, which can be crystallized in pure form directly from the reaction mixture. The bromination reactions appear to be reversible, allowing the equilibration of the dibromonaphthalene isomers over time or for them to revert to compounds with fewer bromine atoms if bromine can escape from the reaction medium over time.

Supplementary Materials

The following are available online at https://www.mdpi.com/article/10.3390/catal11050540/s1, CIF and checkcif for compounds 3 and 4, and the AFM images of bentonite.

Author Contributions

Conceptualization and experimental design: K.S. and G.A.E.-H.; Supervision: K.S. and G.A.E.-H.; Experimental work and data analysis: A.K.H.A.-K., K.B.A. and D.J.K.A.-B.; X-ray crystal structure analysis: B.M.K.; Writing—original draft: K.S. and G.A.E.-H.; Writing—review and editing: K.S. and G.A.E.-H. All authors have read and agreed to the published version of the manuscript.

Funding

G.A.E.-H. is grateful to the Deanship of Scientific Research, King Saud University for funding through the Vice Deanship of Scientific Research Chairs.

Data Availability Statement

Data are contained within the article.

Acknowledgments

We thank Cardiff University for technical support. A.K.H.A-K. thanks Iraqi Government-Al-Qasim Green University for financial support.

Conflicts of Interest

The authors declare no conflict of interest.

References

  1. Smith, K.; El-Hiti, G.A. Regioselective electrophilic aromatic substitution reactions over reusable zeolites. Curr. Org. Chem. 2006, 10, 1603–1625. [Google Scholar] [CrossRef][Green Version]
  2. Bruckner, R. Substitution Reactions on Aromatic Compounds. In Organic Mechanisms; Harmata, M., Ed.; Springer: Berlin/Heidelberg, Germany, 2010. [Google Scholar] [CrossRef]
  3. El-Hiti, G.A.; Smith, K.; Hegazy, A.S. Catalytic, green and regioselective Friedel-Crafts acylation of simple aromatics and heterocycles over zeolites. Curr. Org. Chem. 2015, 19, 585–598. [Google Scholar] [CrossRef]
  4. Galabov, B.; Nalbantova, D.; Schleyer, P.R.; Schaefer, H.F. Electrophilic aromatic substitution: New insights into an old class of reactions. Acc. Chem. Res. 2016, 49, 1191–1199. [Google Scholar] [CrossRef]
  5. Stamenković, N.; Ulrih, N.P.; Cerkovnik, J. An analysis of electrophilic aromatic substitution: A “complex approach”. Phys. Chem. Chem. Phys. 2021, 23, 5051–5068. [Google Scholar] [CrossRef] [PubMed]
  6. Nishii, Y.; Ikeda, M.; Hayashi, Y.; Kawauchi, S.; Miura, M. Triptycenyl sulfide: A practical and active catalyst for electrophilic aromatic halogenation using N-halosuccinimides. J. Am. Chem. Soc. 2020, 142, 1621–1629. [Google Scholar] [CrossRef] [PubMed]
  7. Sartori, G.; Maggi, R. Advances in Friedel-Crafts Acylation Reactions: Catalytic and Green Processes; CRC Press; Taylor and Francis: Boca Raton, FL, USA, 2010. [Google Scholar]
  8. Clark, J.H. Green chemistry: Challenges and opportunities. Green Chem. 1999, 1, 1–8. [Google Scholar] [CrossRef]
  9. Tundo, P.; Anastas, P.T. Green Chemistry: Challenging Perspectives, 1st ed.; Oxford Science: Oxford, UK, 2000. [Google Scholar]
  10. Gu, C.; Li, Y.; Xiao, L.; Fu, H.; Wang, D.; Cheng, L.; Liu, L. Tunable Heck–Mizoroki reaction of dibromonaphthalene diimide with aryl ethylenes: Design, synthesis, and characterization of coplanar NDI-based conjugated molecules. J. Org. Chem. 2017, 82, 12806–12812. [Google Scholar] [CrossRef] [PubMed]
  11. Mori, T.; Kijima, M. Synthesis and optical properties of blue luminescent poly(2,6-naphthalene)s. J. Polym. Sci. 2008, 46, 4258–4263. [Google Scholar] [CrossRef]
  12. Daştan, A.; Tahir, M.N.; Ülkü, D.; Balci, M. Bromination of naphthalene and derivatives: High temperature bromination XI. Tetrahedron 1999, 55, 12853–12864. [Google Scholar] [CrossRef]
  13. Cakmak, O.; Demirtas, I.; Balaydin, H.T. Selective bromination of 1-bromonaphthalene: Efficient synthesis of bromonaphthalene derivatives. Tetrahedron 2002, 58, 5603–5609. [Google Scholar] [CrossRef]
  14. Bayer, W.R.; O’Reilly, J.E. Bromination of naphthalene with dioxane dibromide. J. Org. Chem. 1958, 23, 311. [Google Scholar] [CrossRef]
  15. Kodomari, M.; Satoh, H.; Yoshitomi, S. Selective halogenation of aromatic hydrocarbons with alumina-supported copper(II) halides. J. Org. Chem. 1988, 53, 2093–2094. [Google Scholar] [CrossRef]
  16. Rajagopa, R.; Jarikote, D.V.; Lahoti, R.J.; Daniel, T.; Srinivasan, K.V. Ionic liquid promoted regioselective monobromination of aromatic substrates with N-bromosuccinimide. Tetrahedron Lett. 2003, 44, 1815–1817. [Google Scholar] [CrossRef]
  17. Chiappe, C.; Leandri, E.; Pieraccini, D. Highly efficient bromination of aromatic compounds using 3-methylimidazolium tribromide as reagent/solvent. Chem. Commun. 2004, 2536–2537. [Google Scholar] [CrossRef]
  18. Zhao, X.; Gu, Y.; Li, J.; Ding, H.; Shan, Y. An environment-friendly method for synthesis of 1,4-dibromonaphthalene in aqueous solution of ionic liquids. Catal. Commun. 2008, 9, 2179–2182. [Google Scholar] [CrossRef]
  19. Çakmak, O.; Kahveci, I.; Demirtaş, I.; Hökelek, T.; Smith, K. Bromination of tetralin. Short and efficient synthesis of 1,4-dibromonaphthalene. Collect. Czechoslov. Chem. Commun. 2000, 65, 1791–1804. [Google Scholar] [CrossRef]
  20. Smith, K.; El-Hiti, G.A. Regioselective control of electrophilic aromatic substitution reactions. Curr. Org. Synth. 2004, 1, 253–274. [Google Scholar] [CrossRef]
  21. Smith, K.; El-Hiti, G.A. Use of zeolites for green and para-selective electrophilic aromatic substitution reactions. Green Chem. 2011, 13, 1579–1608. [Google Scholar] [CrossRef]
  22. Smith, K.; Al-Khalaf, A.K.H.; El-Hiti, G.A.; Pattisson, S. Highly regioselective di-tert-amylation of naphthalene over reusable HM zeolite catalyst. Green Chem. 2012, 14, 1103–1110. [Google Scholar] [CrossRef]
  23. Smith, K.; Roberts, S.D.; El-Hiti, G.A. Study of regioselective dialkylation of naphthalene in the presence of reusable zeolite catalysts. Org. Biomol. Chem. 2003, 1, 1552–1559. [Google Scholar] [CrossRef] [PubMed]
  24. Smith, K.; El-Hiti, G.A.; Jayne, A.J.; Butters, M. Acetylation of aromatic ethers using acetic anhydride over solid acid catalysts in a solvent-free system. Scope of the reaction for substituted ethers. Org. Biomol. Chem. 2003, 1, 1560–1564. [Google Scholar] [CrossRef]
  25. Smith, K.; Ewart, G.M.; El-Hiti, G.A.; Randles, K.R. Study of regioselective methanesulfonylation of simple aromatics with methanesulfonic anhydride in the presence of reusable zeolite catalysts. Org. Biomol. Chem. 2004, 2, 3150–3154. [Google Scholar] [CrossRef] [PubMed]
  26. Smith, K.; Musson, A.; DeBoos, G.A. A novel method for the nitration of simple aromatic compounds. J. Org. Chem. 1998, 63, 8448–8454. [Google Scholar] [CrossRef]
  27. Smith, K.; Ajarim, M.D.; El-Hiti, G.A. Regioselective nitration of deactivated aromatics using acyl nitrates over reusable acidic zeolite catalysts. Catal. Lett. 2010, 134, 270–278. [Google Scholar] [CrossRef]
  28. Smith, K.; Alotaibi, M.H.; El-Hiti, G.A. Highly regioselective dinitration of toluene over zeolite Hβ. J. Catal. 2013, 297, 244–247. [Google Scholar] [CrossRef]
  29. Smith, K.; El-Hiti, G.A.; Hammond, M.E.W.; Bahzad, D.; Li, Z.; Siquet, C. Highly efficient and selective electrophilic and free radical catalytic bromination reactions of simple aromatic compounds in the presence of reusable zeolites. J. Chem. Soc. Perkin Trans. 1 2000, 2745–2752. [Google Scholar] [CrossRef]
  30. Smith, K.; Butters, M.; Paget, W.E.; Goubet, D.; Fromentin, E.; Nay, B. Highly selective monochlorination of aromatic compounds under mild conditions by tert-butyl hypochlorite in the presence of zeolites. Green Chem. 1999, 1, 83–90. [Google Scholar] [CrossRef]
  31. Smith, K.; Al-Zuhairi, A.J.; Elliot, M.C.; El-Hiti, G.A. Regioselective synthesis of important chlorophenols in the presence of methylthioalkanes with remote SMe, OMe or OH substituents. J. Sulfur Chem. 2018, 39, 607–621. [Google Scholar] [CrossRef]
  32. Smith, K.; Hegazy, A.S.; El-Hiti, G.A. The use of polymeric sulfides as catalysts for the para-regioselective chlorination of phenol and 2-chlorophenol. J. Sulfur Chem. 2020, 41, 1–12. [Google Scholar] [CrossRef]
  33. Smith, K.; Hegazy, A.S.; El-Hiti, G.A. para-Selective chlorination of cresols and m-xylenol using sulfuryl chloride in the presence of poly(alkylene sulfide)s. J. Sulfur Chem. 2020, 41, 345–356. [Google Scholar] [CrossRef]
  34. Moreno-Castilla, C.; Maldonado-Hódar, F.J. Synthesis and surface characteristics of silica–and alumina–carbon composite xerogels. Phys. Chem. Chem. Phys. 2000, 2, 4818–4822. [Google Scholar] [CrossRef]
  35. Van Cantfort, O.; Abid, A.; Michaux, B.; Heinrichs, B.; Pirard, R.; Pirard, J.P.; Lecloux, A.J. Synthesis and characterization of porous silica-alumina xerogels. J. Sol Gel Sci. Technol. 1997, 8, 125–130. [Google Scholar] [CrossRef]
  36. Trotter, J. 1,4-Dibromonaphthalene; a redetermination. Acta Cryst. 1986, C42, 351–353. [Google Scholar] [CrossRef]
  37. Haltiwanger, R.C.; Beurskens, P.T.; Vankan, J.M.J.; Veeman, W.S. Crystal structure of 1,5-dibromonaphthalene and of disordered 1,8-dibromonaphthalene. J. Crystallogr. Spectrosc. Res. 1984, 14, 589–597. [Google Scholar] [CrossRef]
Scheme 1. Dibromination of naphthalene (1) using bromine.
Scheme 1. Dibromination of naphthalene (1) using bromine.
Catalysts 11 00540 sch001
Figure 1. Molecular structures of (a): 3 and (b): 4 obtained by X-ray diffraction.
Figure 1. Molecular structures of (a): 3 and (b): 4 obtained by X-ray diffraction.
Catalysts 11 00540 g001
Table 1. Dibromination of naphthalene (1) using Br2 in DCM in the absence of a catalyst a.
Table 1. Dibromination of naphthalene (1) using Br2 in DCM in the absence of a catalyst a.
Time (h)Yield (%)Mass Balance (%) b
1234
13563--98
314803-97
6-8214-96
24-8114297
48-7619398
72-7520499
aA solution of Br2 (2.44 g; 15.28 mmol) in DCM (10 mL) was added over 45 min to a stirred mixture of naphthalene (0.98 g, 7.64 mmol) and DCM (40 mL). The mixture was then stirred further in the dark at 25 °C for the stated reaction time. b Sum of the yields of identified compounds, based on quantitative GC.
Table 2. Some physical properties of zeolites used.
Table 2. Some physical properties of zeolites used.
ZeolitePore TypePore Aperture (Å)Dimensionality of Channels
Molecular sieve 3A (KA)Small poreca. 33
Molecular sieve 5A (CaA)Small poreca. 53
ZSM-5Medium pore5.3 × 5.6 and 5.1 × 5.53
MordeniteLarge pore6.5 × 7.01
βLarge pore5.7 × 7.53
YLarge pore7.43
Table 3. Dibromination of naphthalene using Br2 in the presence of various additives in DCM for 6 h a.
Table 3. Dibromination of naphthalene using Br2 in the presence of various additives in DCM for 6 h a.
CatalystYield (%)Mass Balance (%) b
234
-8214-96
H2SO41351-64 c
AlBr351418100
Silicic acid76204100
Silica 60A40564100
Synclyst 13-991100
Synclyst 251882-100
K10 Clay8875100
KSF Clay-6040100
Molecular sieve 3A7327-100
Molecular sieve 5A513811100
HZSM-5 (Si/Al = 15)6040-100
H-Mordenite (Si/Al = 10)54415100
Hβ (Si/Al = 12.5)20764100
Hβ (Si/Al = 150)37621100
HY (Si/Al = 15)7543596
NaY (Si/Al = 7.5)945-99
NaY (Si/Al = 12.5)62299100
NaY (Si/Al = 28)404119100
NaY (Si/Al = 55)7030-100
a A solution of Br2 (2.44 g; 15.28 mmol) in DCM (10 mL) was added over 45 min to a stirred mixture of naphthalene (1; 0.98 g, 7.64 mmol) and additive (4.0 g) in DCM (40 mL). The mixture was stirred in the dark at 25 °C for 6 h then the reaction was quenched. b Sum of the yields of identified compounds, based on quantitative GC. c Not all products were identified.
Table 4. Dibromination of naphthalene (1) using Br2 over various catalysts in DCM for 72 h a.
Table 4. Dibromination of naphthalene (1) using Br2 over various catalysts in DCM for 72 h a.
CatalystYield (%)Mass Balance (%) b
234
-7520499
Silicic acid11836100
K10 Clay-899100 c
KSF Clay-8711100 c
Molecular sieve 3A41572100
Molecular sieve 5A206911100
HZSM-5 (Si/Al = 15)7849100
H-Mordenite (Si/Al = 10)185923100
Hβ (Si/Al = 150)48214100
HY (Si/Al = 15)175627100
NaY (Si/Al = 7.5)27658100
NaY (Si/Al = 28)186220100
a See footnote a for Table 1, except that the reaction time was 72 h. b Based on quantitative GC. c 1,4,6-Tribromonaphthalene was also produced in 2% yield and is included in the mass balance.
Table 5. Effect of quantity of HY (Si/Al = 15) and KSF clay on dibromination of naphthalene (1) using Br2 in DCM for 3 h a.
Table 5. Effect of quantity of HY (Si/Al = 15) and KSF clay on dibromination of naphthalene (1) using Br2 in DCM for 3 h a.
CatalystMass (g)Yield (%)Mass Balance (%) b
234
HY (Si/Al = 15)0.59223100 c
1.0893398 d
2.07614899 e
4.061201899
8.0582022100
KSF clay0.5752-94 f
1.0796797 f
2.035302389 f
4.0204533100
8.04423889 g
a See footnote a for Table 1, except that the reaction time was 3 h over various quantities of either HY (Si/Al = 15) or KSF clay. b Based on quantitative GC. c Including 2-bromonaphthalene (1%) and unreacted naphthalene (1; 2%). d Including 2-bromonaphthalene (2%) and unreacted naphthalene (1; 1%). e Including 2-bromonaphthalene (1%). f Including unreacted naphthalene (1; 1–17%). g 1, 4, 6-Tribromonaphthalene (5%) was also produced and is included in the mass balance.
Table 6. Effect of reaction time on dibromination of naphthalene (1) using Br2 in DCM over KSF clay a.
Table 6. Effect of reaction time on dibromination of naphthalene (1) using Br2 in DCM over KSF clay a.
Reaction Time (h)Yield (%)Mass Balance (%) b,c
234
0.753434999
1104246100
3204533100
6-6040100
72-8711100
a See footnote a for Table 1, except that the reaction time was varied. b Based on quantitative GC. c 1, 4, 6-Tribromonaphthalene (2–4%) was also produced and is included in the mass balance.
Table 7. Effect of solvent on dibromination of naphthalene (1) using Br2 over KSF clay for 1 h a.
Table 7. Effect of solvent on dibromination of naphthalene (1) using Br2 over KSF clay for 1 h a.
SolventYield (%)Mass Balance (%) b
234
n-Pentane7722099
n-Hexane4821399
Chloroform255321100
Dichloromethane10424698 c
1,2-Dichloroethane472429100
Tetrachloroethylene904-99 d
Acetonitrile893-95 d
Ethyl acetate642-99 d
Diethyl ether7--96 d
Acetone13--98 d
a See footnote a for Table 1, except that the reaction time was 1 h using different solvents. b Based on quantitative GC. c 1, 4, 6-Tribromonaphthalene was produced in 2% yield. d Unreacted naphthalene (1; 1–90%) was also seen and is included in the mass balance.
Table 8. Surface roughness analysis from AFM studies.
Table 8. Surface roughness analysis from AFM studies.
ParameterBentoniteCalcined Bentonite
Core roughness depth (nm)20.369.4
Roughness average (nm)5.820.0
Surface area ratio10.497.5
Mean diameter of granules (nm)70.559.0
Median diameter of granules (nm)65.060.0
Publisher’s Note: MDPI stays neutral with regard to jurisdictional claims in published maps and institutional affiliations.

Share and Cite

MDPI and ACS Style

Smith, K.; Al-Khalaf, A.K.H.; Berkil Akar, K.; Al-Badri, D.J.K.; Kariuki, B.M.; El-Hiti, G.A. Effects of Structured Solids on Regioselectivity of Dibromination of Naphthalene. Catalysts 2021, 11, 540. https://doi.org/10.3390/catal11050540

AMA Style

Smith K, Al-Khalaf AKH, Berkil Akar K, Al-Badri DJK, Kariuki BM, El-Hiti GA. Effects of Structured Solids on Regioselectivity of Dibromination of Naphthalene. Catalysts. 2021; 11(5):540. https://doi.org/10.3390/catal11050540

Chicago/Turabian Style

Smith, Keith, Alaa K. H. Al-Khalaf, Kıymet Berkil Akar, Doaa J. K. Al-Badri, Benson M. Kariuki, and Gamal A. El-Hiti. 2021. "Effects of Structured Solids on Regioselectivity of Dibromination of Naphthalene" Catalysts 11, no. 5: 540. https://doi.org/10.3390/catal11050540

APA Style

Smith, K., Al-Khalaf, A. K. H., Berkil Akar, K., Al-Badri, D. J. K., Kariuki, B. M., & El-Hiti, G. A. (2021). Effects of Structured Solids on Regioselectivity of Dibromination of Naphthalene. Catalysts, 11(5), 540. https://doi.org/10.3390/catal11050540

Note that from the first issue of 2016, this journal uses article numbers instead of page numbers. See further details here.

Article Metrics

Back to TopTop