Abstract
To meet the upcoming CO2 reduction challenges, the further electrification of vehicle powertrains is indispensable. In combination with the post-Euro 6 requirements for criteria pollutants, the exhaust system is expected to be more complex to allow for extremely low emissions under all driving conditions, potentially involving technologies such as electrical heating and phase-change materials. The longer ‘zero-flow’ operation of the exhaust system in hybrid applications and the associated light-out risk have demanding accuracy requirements for heat loss calculations and require additional thermal management strategies. This paper discusses the additional challenges posed with regard to catalyst modeling in the boundary conditions of electrified vehicles and the necessary improvements that go beyond the state-of-the-art techniques. Most of the necessary improvements are linked to advanced 3D modeling of the exhaust system components accounting for free convection and radiative heat transfer. Modeling of electrically assisted heating is demonstrated using a new approach involving a combined 3D electrical–thermal solver. Heat retention technologies with use of phase-change materials are also accounted for in these new-generation models. Finally, the need for a tighter integration of these high-fidelity models into a vehicle simulation framework is discussed.
1. Introduction
Exhaust system modeling for conventional (non-hybrid) applications is frequently based on 1D approaches to calculate the transport and chemical phenomena in catalyst channels, where the heat losses to the environment are either neglected or modelled via simplified approaches. In the case of hybrid powertrain applications, however, the long zero-flow operation of the exhaust systems and the associated light-out risks require higher accuracy for heat-loss calculations. For this purpose, advanced multi-dimensional modeling approaches are necessary to predict the 3D temperature field in the catalyst, taking into account heat losses to the environment and to the surrounding exhaust components. Although some research works on the non-continuous operation of the exhaust system in a hybrid powertrain have been published [1,2,3,4], results on correlating simulation results with test data under zero flow are scarce.
To meet the post-Euro 6 requirements for criteria pollutants and to effectively deal with the possible deactivation of the aftertreatment devices due to cooling during hybrid operation, active electrical heating and phase-change materials integration are proposed. The introduction of 48 V electrical system is a fundamental change in vehicle architecture that allows for the seamless integration of active electrical heating. Electrically heated catalysts were initially investigated as an effective thermal management solution for the lower exhaust temperature of diesel powertrains and to reduce cold start emissions by achieving rapid warmup [5,6,7]. With the increased emission legislation requirements, configurations with active electrical heating qualified as a promising solution for the optimization of the exhaust aftertreatment performance of hybrid and conventional powertrains [8,9,10]. In this context, several manufacturers published patents regarding different solutions incorporating active electrical heating and dedicated control strategies (e.g., [11,12,13]).
With respect to simulating the performance of EHC configurations, standard models mostly rely on simplified 1D approaches that do not offer the level of accuracy necessary for zero-flow modes when it comes to delicate temperature predictions. Moreover, the effect of radiative heat transfer from EHC to its surroundings has not been adequately studied.
Thermal energy storage through phase-change materials is a topic that has been investigated by researchers for various applications. Their beneficial operating principle derives from the ability of a material to store thermal energy as latent heat energy while maintaining its temperature constant during phase change. A great variety of PCMs can melt and solidify at a wide range of temperatures [14,15,16], making them attractive for automotive applications [17,18]. Applications of exhaust aftertreatment devices with integrated phase-change materials have been proposed in order to improve performance under cold-start operation [19] and real-world driving conditions [20]. Patents with proposed concept configurations of exhaust aftertreatment devices with integrated PCMs have emerged as well (e.g., [21,22]).
Given that the above advanced technologies will most likely be part of future powertrains, a new generation of high-fidelity exhaust aftertreatment models is necessary to support technology development for compliance with the expected post-Euro 6 emission standards. Therefore, the present work focuses on the development and validation of models to predict the performance of exhaust aftertreatment systems under the highly variable and non-continuous operation of the hybrid powertrain. A simulation approach of heat losses under zero flow via radiation and free convection, as well as the effect of the device orientation, are presented together with the respective experimental work. Furthermore, the electrically heated catalyst is studied as a 3D electrical-thermal system as opposed to the standard approach of thermal system modeling with imposed uniform heat source. Modeling of exhaust aftertreatment components with integrated phase-change materials in the 3D domain is also presented. Finally, the integration of the developed models in a simulation framework to define the exhaust line architecture and optimize its performance is demonstrated.
2. Zero Flow Heat Losses
2.1. Modeling Approach
The proposed methodology is based on the solution of the 3D heat transfer problem in the cylindrical geometry of a catalyst or filter in the exhaust system using appropriate boundary conditions for the heat transfer to the surroundings. The model equations for the mass-momentum, energy, and species balance are analytically described in previous works [23], while the relevant equations and the respective tunable parameters are further discussed in the text.
The 3D energy balance for the solid phase (the heat conduction equation) is solved by treating the component as a continuum medium. In the heat conduction equation, the heat losses from the monolith periphery to the environment by free convection and radiation are taken into account, as shown in Equation (1):
Heat losses by free convection and radiation from the front and rear faces of the device are taken into account as shown below:
In case of near-zero-flow conditions, natural convection from the monolith faces becomes important. The convection coefficient from the monolith faces hamb,F is computed using the equations for natural convection for a vertical plate. For the 3D simulation, the following equations are used.
The local Nusselt number is computed based on the following equation:
with
and
Regarding radiation, the emissivity εrad refers to the substrate wall surface. The term (1 − ε) refers to the fraction of the face area of the monolith occupied by solid material.
The results presented in this work were obtained using the solvers of the commercial software ‘Exothermia suite’ for the 3D honeycomb reactor geometry under reacting conditions with and without flow [23,24,25,26].
2.2. Experimental Measurements
A series of measurements were performed in order to investigate the heat transfer under zero-flow conditions for a gasoline particulate filter (GPF) in various inclinations and setpoint temperatures. Table 1 shows the main properties of the tested device.
Table 1.
Properties of the testing monolith.
Six K-type thermocouples were positioned in 3 different axial positions to measure the wall temperature in the center and radially close to the periphery. The test protocol consisted of 3 phases—the heat up, transition, and cooling down phases—as shown in Figure 1.
Figure 1.
Test protocol to study heat losses under zero-flow conditions.
Initially, the monolith was placed in a high temperature furnace and was heated to the desired target temperature. The thermocouple output was logged during the whole heating process to monitor the wall temperature in various locations of the monolith and ensure that a uniform temperature was achieved.
After the monolith was heated up uniformly to the setpoint temperature, it was removed from the furnace and mounted on a frame designed to support the measurements by means of a thermal camera. This setup allowed for the measurements to be performed at various inclinations, as illustrated in Figure 2.
Figure 2.
Measurements performed at various inclinations. (a) Horizontal; (b) 45° inclination.
The mounted monolith was left to undergo a natural cooling down process while the evolution of its face temperature was monitored by the thermal camera. The thermal camera was a FLIR E95 with a temperature range from −20 °C to 650 °C. Thermal images were taken with a fixed timestep of 2 min for all measurements. An indicative thermal image from the measurements is shown in Figure 3.
Figure 3.
Thermal imaging of the frontal face.
The test matrix is summarized in Table 2.
Table 2.
Summary of experiments and respective testing conditions.
2.3. Results
The temperature of the monolith in the different positions of the thermocouples was extracted from the thermal images. The experimental results presented in Figure 4 for 2 tests with differing inclination indicate good agreement between the temperature measured with the thermocouples and the respective temperature extracted from the thermal images. For the purpose of comparison with the simulation results, it is possible to use either measurement. The thermal imaging of course has the advantage of offering a much larger validation range, since it covers the whole face area rather than only discrete points.
Figure 4.
Comparison of experimental temperature from thermocouples and thermal camera for (a) Test 1 and (b) Test 3.
The simulation of the cooling mode was done by setting the uniform monolith initial temperature and assigning multipliers to the natural convection coefficient until a good agreement with the measured temperature was obtained. The natural convection multipliers were found to have a weak dependence on the inclination (maximum 20% difference between 0 and 90 degrees) and are summarized in Table 3.
Table 3.
Calibrated heat transfer coefficients for various inclinations.
In Figure 5, Figure 6, Figure 7 and Figure 8, comparisons of the simulation and experimental results are presented along the axial and radial direction of the monolith for tests with initial solid temperature of 200 °C and 400 °C. The results indicate that the model predicts with good accuracy the temperature along the axial direction in the center of the monolith and close to the periphery (Figure 5 and Figure 6), as well as the temperature variation in the radial direction, both in the face of the monolith and in the middle (Figure 7 and Figure 8).
Figure 5.
Temperature along the axial direction (a) in the center of the monolith and (b) close to the periphery. Test 1-Tinit = 200 °C, Inclination = 0°.
Figure 6.
Temperature along the axial direction (a) in the center of the monolith and (b) close to the periphery. Test 6-Tinit = 400 °C, Inclination = 0°.
Figure 7.
Temperature along the radial direction (a) in the face of the monolith (at 5 mm from inlet face) and (b) in the center of the monolith (at 63.5 mm from inlet face). Test1-Tinit = 200 °C, Inclination = 0°.
Figure 8.
Temperature along the radial direction (a) in the face of the monolith (at 5 mm from inlet face) and (b) in the center of the monolith (at 63.5 mm from inlet face). Test 6-Tinit = 400 °C, Inclination = 0°.
Figure 9 presents simulation and experimental results for the temperature field in the face of the monolith for 2 tests performed at 0° and 90° inclination. The model captures the effect of inclination on the thermal profile of the monolith face, since the temperature variation created close to the periphery is accurately predicted (Figure 9a). The corresponding temperature variation in the center of the face is minimal, as presented in Figure 9b.
Figure 9.
Effect of inclination on the temperature profile of the monolith face (a) close to the periphery and (b) in the center.
For a better illustration, Figure 10 shows the calculated 3D spacio-temporal temperature field for the case of initial temperature of 200 °C and 0° inclination.
Figure 10.
Evolution of monolith’s 3D thermal field during cooling down under zero-flow conditions.
3. Active Electrical Heating
3.1. Electrical-Thermal Solver
One-dimensional models have commonly been used to predict the impact of a heated disc on the thermal and emissions behavior of the exhaust system. Indeed, the 1D model can provide quick and valuable answers, especially when it comes to concept analysis and control-oriented applications. In this section, we will deal with model applications that provide further insight in the uniformity of heat generated within a heated disc. To do so, one has to account for the electrical field generated within the solid phase as a result of the voltage applied to the electrodes. This requires the solution of the 3-dimensional electrical field and the calculation of the current distribution using the electrical properties of the metal structure. The resulting electrical heat source terms are then added to the energy balance of the solid phase of the classical reactor model.
The 3D electrical potential field is calculated from the charge balance equation at each time step:
The boundary conditions (Dirichlet type) are applied at the periphery regions where the electrodes are defined. For each region where voltage is applied, the local electrical potential can be specified as a function of time.
The solver then calculates the Joule heat rate that is generated for each element:
A common geometry used as exhaust gas heater consists of a metallic disk with a spiral geometry, as presented in Figure 11. An unstructured grid mainly consisting of hexahedral elements is used for an appropriate discretization of the computational domain. To resolve the geometrical details, special attention is paid near the spirals and at the contact points of the spirals with the periphery by generating a finer grid. For the remaining geometry a coarser grid is employed to reduce computational time. The electrical energy is assumed to be applied at the electrodes at the periphery.
Figure 11.
Structural parts of electrically heated catalyst model.
The electrical solver calculates the electrical potential distribution and the generated current based on the respective material effective electrical conductivity. The distribution of the electrical potential in the electrically heated catalyst when applying a voltage of 12 V is shown in Figure 12a. The predicted temperature profile generated after supplying 2 kW of electrical power for 40 s under constant exhaust flow of 100 kg/h and gas temperature of 400 °C is shown in Figure 12b.
Figure 12.
Indicative 12V application after supplying 2 kW of electrical power for 40 s under constant exhaust flow of 100 kg/h and gas temperature of 400 °C. (a) Electrical potential distribution; (b) Non-uniform thermal profile generated.
The above non-exhaustive discussion on electrical heater technology modeling is meant to address the importance of multi-dimensional methods of modeling exhaust components with high fidelity. It should be noted that a non-uniform temperature distribution is likely to impact the conversion efficiency of components downstream. In the case of a coated disc, it will obviously affect the gas conversion as well as the local exotherms which in term associate with local hot spots that may be of importance for system durability.
3.2. Radiative Heat Transfer
When electrical heating is activated, the temperature of the metallic plate increases quickly and the radiative heat transfer to the surroundings becomes significant due to the high surface temperature and the large temperature difference between the heated plate and the surrounding walls. To model the radiation heat exchange we employed a ‘multi-part cavity radiation’ model accounting for the radiative heat exchange between all the parts included in an exhaust assembly cavity.
The assembly cavity is defined by the ducts contained between two consecutive radiative surfaces, including monolith faces and the internal wall of pipe ducts. The radiosities are calculated by the solution of n-linear equations:
The net heat exchange from the i-th surface can be obtained from the equation:
Modeling of the radiative heat transfer from the frontal and rear faces of the monolith, as well as from the surface of its channels to the environment, therefore allows for the calculation of the heat transfer interactions between the EHC and the downstream placed TWC. An indicative example is shown in Figure 13. A cold start of a WLTC cycle from an initial solid temperature of 25 °C was considered as a test scenario, where 2 kW of electrical power were applied on the electrically heated catalyst for the first 40 s. The contribution of the radiative heat transfer from the electrically heated catalyst to the thermal field of the surrounding environment was visualized after 100 s. Taking into account the radiative heat transfer led to a temperature difference of around 40 °C over the surface of the downstream placed TWC, whereas for the inner wall of the inlet cone the difference was significantly higher (around 300 °C).
Figure 13.
Contribution of radiative heat transfer. (a) Heat transfer through conduction and convection; (b) Heat transfer through conduction, convection, and radiation.
4. Phase-Change Materials
As mentioned above, phase-change materials have the ability to store and release thermal energy as latent heat at constant temperature, while they undergo phase changing. Incorporation of PCM in TWCs was initially examined as a means of reducing cold start emissions [20], and hence it was proposed as an effective solution for reducing emissions in the engine restart events in hybrid operation. During the normal operation of the ICE in a hybrid powertrain, as the EAT line warms up through the exhaust gas, thermal energy can be stored in the PCM while melting. When the electric mode is activated and the ICE shuts down, the EAT line cools down and the PCM undergoes solidification. The latent heat is released under constant temperature and can maintain the monolith temperature within the desired temperature range to provide maximum conversion efficiency at the next engine restart event. In this sense, it is a thermal solution that does not require additional control. Furthermore, it is effective for a specific amount of time that depends on the thermal properties of the PCM and the integration design.
A model-based evaluation of the potential benefits of this technology requires an extension of the model energy balance to account for the latent heat during phase change as well as the thermal properties of the two-phase material enclosed within a fixed volume in the 3D space of the reactor. The transient 3D heat transfer equation with source terms is as follows:
When the material undergoes phase change, its temperature is maintained constant. During this process, as the PCM melts or solidifies, latent heat is stored or released. Under this condition, the heat conduction equation is modified, and the left-hand side is replaced by the rate of the secondary phase generation, as presented in Equation (11).
An illustrative simulation case for the impact of PCM on catalyst cooldown is demonstrated in Figure 14. The presented scenario describes the cooling-down process under zero-flow conditions from an initial solid temperature of 500 °C. In order to have a simplified yet quantitative overview of the evolution of the thermal field of the monolith and the subsequent effect of the PCM, the calculated average wall temperature of the catalytic monolith was used for comparison. The characteristics of the TWC monolith are provided in Table 4.
Figure 14.
Impact of PCM on catalyst temperature during a cooling-down process under zero flow conditions.
Table 4.
Characteristics of the test monolith.
The 58.7LiCl-41.3KCl PCM was selected. The thermal properties of the PCM have been studied [27], while research work regarding its application in TWCs has been published [20]. The phase-change temperature of the PCM is 626 K, with a latent heat capacity of 251.5 J/g and a density of 1880 kg/m3 in the solid state. Three-hundred-and-fifty grams of the selected PCM are integrated in the outer surface of the monolith as a cell. Since the initial solid temperature is higher than the phase change temperature of the material, the PCM is initially in liquid phase. The T-PCM signal, which refers to the temperature of the PCM, indicates that when the phase change temperature is reached, its temperature is maintained constant as it undergoes solidification. The thermal energy stored as latent heat is transferred to the monolith, resulting in a higher average monolith wall temperature compared to the conventional TWC.
The integration of PCM in the catalyst should consider the potential negative impact on reducing the available catalytic area and the increase in the total thermal mass.
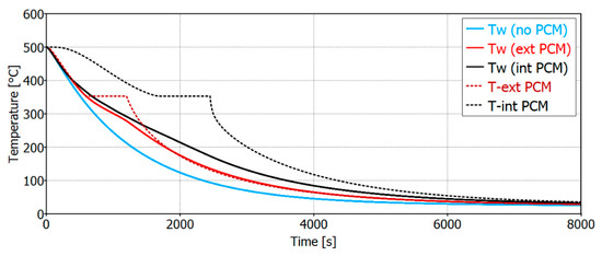
As an example, we compared two substantially different concepts of PCM integration in a TWC, namely external and internal configurations. In the external configuration, the PCM was placed in the outer surface of the monolith, whereas for the internal configuration, it was integrated within rectangular slices in the monolith. The configurations are presented in Figure 15. The geometrical characteristics of the configurations have been defined in order to ensure equal mass of embedded PCM. The LiCl-KCl PCM was used for this case study as well, and the respective PCM mass was 350 g.
Figure 15.
(a) External PCM configuration; (b) Internal PCM configuration.
A natural cooling-down process under zero-flow conditions from an initial solid temperature of 500 °C was considered as the benchmark scenario. Comparative results for the predicted evolution of the thermal field of the monolith for both configurations are presented in Figure 16. The temperature of the PCM for the external configuration was monitored in the middle across the axial direction of the cell, while for the internal configuration, it was monitored in the center of the monolith. The monitor points were specifically selected to represent the last point of the PCM material to undergo phase change for both configurations, thus maintaining their thermal energy for longer time. The comparison of the PCM temperatures indicated that the PCM in the external configuration cooled down faster and the thermal energy was released earlier compared to the internal configuration. This was because the PCM in the external configuration was positioned in the outer periphery where it was subjected to higher heat losses. As a result, the average wall temperature of the monolith for the internal PCM configuration was higher, indicating that the thermal energy stored in the PCM was utilized more efficiently.
Figure 16.
Effect of external and internal PCM configuration on the thermal field of a monolith during a cool-down process under zero flow conditions.
The resulting 3D temperature field of the monolith and the PCM for both configurations after 600 s and 1000 s is shown in Figure 17. The maximum scale for the wall temperature in the 3D graph was set to 350 °C, which is the phase change temperature of the PCM. Thus, a clear view of the thermal field and the temperature gradients created with respect to the position and status of the PCM was provided. To have a better overview of the status of the phase changing process, the respective PCM phase fraction for the two configurations is shown in Figure 18. A PCM fraction of 1 indicates liquid phase and 0 solid phase, while fraction values in between indicate the respective percentage of the phase changing that has been performed. After 600 s, solidification started for the external configuration, while for the internal configuration, only the PCM close to the face and in the periphery was solidified. After 1000 s, almost all of the PCM in the external configuration was solid, in contrary to the internal configuration where the PCM in the center of the monolith was still liquid.
Figure 17.
Three-dimensional temperature field of the monolith for internal and external PCM configuration during the cooling-down process under zero-flow conditions.
Figure 18.
Status of phase changing process in external and internal PCM configuration during the cooling-down process under zero-flow conditions.
5. Virtual EAT Architecture Benchmarking
This section provides an example of applying the model-based approach for virtual benchmarking of exhaust aftertreatment line architectures for hybrid powertrains. Starting from a conventional line and extending to a complex line combining advanced thermal management technologies, 4 different EAT configurations were examined. The baseline conventional configuration consisted of 2 close-coupled TWCs and a cGPF. In the second configuration active electrical heating was applied, while in the third, PCM was integrated in the TWC. In the fourth configuration, both technologies were combined. The configurations are presented in Figure 19.
Figure 19.
The evaluated EAT configurations.
In order to contain the complexity of the problem, we limited our analysis to a single engine restart event after a specified soaking time. The duration of the engine-on after restart was 50 s, assuming stoichiometric engine operation. The test scenario is presented in Figure 20.
Figure 20.
Test scenario for the virtual architecture benchmark.
For configurations 2 and 4 with active electrical heating, an electrically heated grid was integrated in front of the first close-coupled TWC. Here, 2 kW of electrical power were applied during the first 20 s of engine startup, as demonstrated in Figure 20. For the configurations 3 and 4, the PCM was embedded in the first close-coupled TWC in an internal structure in order to maximize the heat transfer contact area between the PCM material and the catalytic monolith. The phase change temperature of the selected PCM was 500 °C, and it had a high energy storage density with 370 J/g latent heat and 2320 kg/m3 density. The total PCM mass embedded into the TWC with the internal structure was 140 g. The initial wall temperature of the EAT devices before soaking was 500 °C. In this respect, the PCM was considered to be fully charged and the stored latent heat could be released during the soaking period.
The performance of the EAT configurations in the test scenario was investigated after 5, 15, 30, 45, and 60 min of soaking time at an ambient temperature of 20 °C. The total CO conversion efficiency that can be achieved during the 50 s at engine restart was used as metric for the EAT configuration performance. The CO efficiency metric convention was based on the fact that CO emissions are the most temperature-sensitive. An extension of the analysis for all other pollutants is obviously feasible but omitted here for reasons of conciseness.
The instantaneous results in Figure 21, for engine restart after 5 min of soaking time, and in Figure 22, after 30 min of soaking time, illustrate the reduction in CO emissions achievable by applying electrical heating and by integrating PCM in the TWC, respectively. The heat generated by applying electrical power, as well as the latent heat released from the PCM, both led to faster warm up of the TWC, and a further reduction of the CO emissions was achieved compared to the conventional EAT architecture represented by configuration 1.
Figure 21.
Predicted CO emissions after 5 min of soaking time. (a) Effect of EHC (C2); (b) Effect of embedded PCM (C3).
Figure 22.
Predicted CO emissions after 30 min of soaking time (a) Effect of EHC (C2); (b) Effect of embedded PCM (C3).
After 5 min of soaking (Figure 21) the catalyst was still in a desired temperature range that allowed emission conversion. Hence, the TWC in the conventional configuration 1 was able to treat CO emissions. In this case, the application of electrical heating and the heat transfer from the PCM led to a more favorable thermal field in the monolith, and an additional reduction in CO emissions was achieved. However, after 30 min of soaking time, the CO emission conversion achieved with configuration 1 was limited, indicating that the temperature of the monolith had dropped below the light-off range due to the extensive cooling down. In this case, the effect of electrical heating and the thermal energy stored in the PCM effectively contributed to reducing CO emissions. The results of the analysis are summarized in Figure 23.
Figure 23.
Results for performance benchmarking of different EAT line architectures.
The results show the promising performance of the electrical heater, which was, however, associated with electrical energy consumption. On the other hand, the heat stored and released from the PCM was absorbed from the exhaust gas. The results further indicate that for a soaking time of 30 min (encompassing the majority of the engine shutdown events in hybrid operation), the CO conversion efficiency for configuration C3 with the integrated PCM also increased (50%). Taking into consideration the electrical energy consumption involved, the combination of electrical heating and PCM (represented by configuration 4) could provide the maximum performance. On the downside, the additional thermal inertia from the PCM mass introduced can lead to reduced performance. When the thermal energy initially stored in the PCM has been released, a portion of the thermal energy transferred to the gas from the electrical heater that is activated by the engine restarting is further stored in the PCM, leading to lower gas temperatures downstream of the PCM structure and subsequent reduced performance. In this investigation, this behavior was observed for soaking periods longer than 30 min, where the performance of configuration 4 was reduced as opposed to configuration 2. Nevertheless, the energy stored in the PCM could be taken advantage of at the next engine restart event. In this respect, an advanced control strategy to activate the electrical heating by taking into account the state of the PCM would be required to maximize conversion efficiency with an acceptable electrical energy penalty.
PCM is effective for a specific engine-off duration, which depends on the integration design and the thermal properties of the selected PCM. A benchmarking analysis of different PCMs is required in order to optimize the system according to the desired performance requirements as well as space constraints, or to further define the boundaries of the control strategy when combined with an EHC. In this context, a few candidate PCMs with different thermal properties were examined for configuration 3. The thermal properties of the materials are shown in Table 5.
Table 5.
Phase-change material properties [16].
The test scenario, presented in Figure 20, was used to evaluate the performance of configuration 3 for the different PCMs. The PCM mass embedded in the fixed volume of the considered internal PCM structure varies according to the density of the candidate material. In the same respect, the thermal energy stored in the PCM depends on the latent heat of the material and the mass of the integrated PCM. The results in Figure 24 demonstrate that the thermal properties of the PCM need to be carefully tailored for the application of interest as part of system-level optimization.
Figure 24.
CO conversion efficiency for different PCMs.
It is important to note that the results presented here are not meant to be of a universal nature. The choice of technology or combination of technologies involves a multitude of additional criteria, including energy consumption, cost, durability, technology readiness etc. It is also apparent that the efficiency of such technologies is highly dependent on the sophistication of control strategies for both engine and heaters.
6. Conclusions
The ultra-low emission targets expected to be set internationally require new and innovative technologies to be integrated into the exhaust lines of hybridized vehicles, as well as high-fidelity models to underpin the development of these demanding emission control systems. The new technologies target an optimized utilization of the exhaust heat necessary for catalyst activation. In addition to passive methods avoiding heat losses, active heating methods may increasingly be required.
In this work, modeling of the zero-flow heat losses in the 3-dimensional domain was combined with dedicated measurements to capture the impact of free convection from the monolith faces.
To increase the fidelity of electrical heater modeling, a novel coupled electro-thermal model was demonstrated. This approach allows for designing electrodes, materials, and geometrical concepts for electrical heaters. The initial simulations revealed temperature non-uniformities in common heater configurations that impact the performance of the exhaust system.
The integration of rapidly heating components necessitates a meticulous approach for modeling the radiative heat transfer in the cavities formed between the exhaust system devices. The presented model makes use of the view factors to account for such non-negligible interactions, especially under cold-start and restart modes.
The presented high-fidelity models can be integrated into a broader virtual simulation framework that will facilitate the investigation of different thermal management strategies and the optimization of the design and sizing of innovative exhaust aftertreatment lines. In this paper, the potential and expected impact of EHC and PCM was evaluated through a virtual benchmark exercise. Although the virtual benchmark did not provide universal technology ranking conclusions, it provided insight on the physics underlying the application of each form of technology under transient operating modes.
Author Contributions
Conceptualization, G.K.; methodology, G.K.; validation, T.S.; data curation, T.S.; writing—original draft preparation, T.S. and G.K.; writing—review and editing, Z.S.; visualization, T.S.; supervision, G.K.; project administration, Z.S.; funding acquisition, Z.S. All authors have read and agreed to the published version of the manuscript.
Funding
This work is financially supported by the EU project VISION-xEV Virtual Component and System Integration for Efficient Electrified Vehicle Development that has received funding from the European Union’s Horizon 2020 research and innovation program under grant agreement N°824314.
Data Availability Statement
The data presented in this study are openly available online.
Acknowledgments
The authors would like to thank all VISION-xEV project partners involved in the aftertreatment system design. Particular thanks go to Gladys Moreac-Njeim of Groupe Renault.
Conflicts of Interest
The authors declare no conflict of interest.
Abbreviations
| Camb | Multiplier to correct ambient heat losses by convection from the periphery |
| Cf | Multiplier to correct ambient heat losses by natural convection from the frontal face |
| Cr | Multiplier to correct ambient heat losses by natural convection from the rear face |
| CO | Carbon monoxide |
| Df | Monolith external dimeter |
| EHC | Electrically heated catalyst |
| EAT | Exhaust aftertreatment |
| g | Gravitational acceleration (m/s2) |
| g(Pr) | Function of Prandtl number |
| Gr | Grashof number |
| GPF | Gasoline particulate filter |
| cGPF | Coated gasoline particulate filter |
| h | Convective heat transfer coefficient |
| HEV | Hybrid electric vehicle |
| Nu | Local Nusselt number |
| PCM | Phase change material |
| R | Radial dimension |
| RDE | Real driving emissions |
| Tamb | Ambient temperature (K) |
| Ts | Temperature of the solid material (K) |
| TWC | Three-way catalyst |
| x | Horizontal dimension perpendicular to the flow |
| β | Affinity coefficient |
| ε | Void fraction of the coated monolith |
| εrad | Emissivity factor |
| λs | Thermal conductivity of the solid material (W/mK) |
| ν | Kinematic viscosity (m2/s) |
| σ | Stefan–Boltzmann constant 5.67 × 108 (W/m2K4) |
References
- Chung, C.; Geer, L.; Rajadurai, S. Numerical Simulation and Experimental Validation of the Catalytic Converter Cool Down Process; SAE Technical Paper 2000-01-0204; SAE International: Warrendale, PA, USA, 2000. [Google Scholar] [CrossRef]
- Klein, D.; Cheng, W.K. Spark Ignition Engine Hydrocarbon Emissions Behaviors in Stopping and Restarting; SAE Technical Paper 2002-01-2804; SAE International: Warrendale, PA, USA, 2002. [Google Scholar] [CrossRef]
- Katare, S.; Laing, P.M. A Hybrid Framework for Modeling Aftertreatment Systems: A Diesel Oxidation Catalyst Application; SAE Technical Paper 2006-01-0689; SAE International: Warrendale, PA, USA, 2006. [Google Scholar] [CrossRef]
- Koltsakis, G.; Samaras, Z.; Karvountzis-Kontakiotis, A.; Zacharopoulou, T.; Haralampous, O. Implications of Engine Start-Stop on After-Treatment Operation. SAE Int. J. Engines 2011, 4, 1571–1585. [Google Scholar] [CrossRef]
- Maus, W.; Bruck, R.; Konieczny, R.; Scheeder, A. Electrically heated catalyst for thermal management in modern vehicle applications. MTZ Worldw. 2010, 71, 34–39. [Google Scholar] [CrossRef]
- Kim, C.; Paratore, M.; Gonze, E.; Solbrig, C.; Smith, S. Electrically Heated Catalysts for Cold-Start Emissions in Diesel Aftertreatment; SAE Technical Paper 2012-01-1092; SAE International: Warrendale, PA, USA, 2012. [Google Scholar] [CrossRef]
- Nazir, T.; Brammer, M.; Scholz, R.; Zote, F.; Bunar, F.; Friedemann, S. Electrically Heated Catalyst (EHC) Development for Diesel Applications. Int. J. Automot. Eng. 2015, 6, 127–133. [Google Scholar] [CrossRef][Green Version]
- Knorr, T.; Ellmer, D.; Maiwald, O.; Schatz, A.; Bruck, R. The Electric Heatable Catalyst—An Efficient Measure for Emission Optimization Mild Hybrid Vehicle Operation Strategies. In Proceedings of the 24th Aachen Colloquium Automobile and Engine Technology, Aachen, Germany, 5–7 October 2015. [Google Scholar]
- Sassi, A.; Sommier, T.; Capirchia, M.; Goncalves, M.; Jean, E. Aftertreatment Optimization through Electrical Heating. In Proceedings of the SIA Poowertrain & Electronics Conference, Paris, France, 12–13 June 2019. [Google Scholar]
- Jean, E.; Barrieu, E.; Capirchia, M.; Herbers Dr, C. Electrically Heated Catalyst: Requirements, Controls and Key Parameters. In Proceedings of the 41th Internationales Wiener Motorensymposium, Wien, Austria, 22–24 April 2020. [Google Scholar]
- Continental Automotive Systems, Inc. Proactive Catalyst Heating. U.S. Patent 10,578,039B2, 3 March 2020. [Google Scholar]
- Toyota, J.; Kabushiki, K. Electrically Heated Catalyst. U.S. Patent 10,352,213B2, 16 July 2019. [Google Scholar]
- Jaguar Land Rover Limited. Exhaust Gas Treatment System and Method. U.S. Patent 20,200,063,627A1, 27 February 2020. [Google Scholar]
- Kenisarin, M.M. High-temperature phase change materials for thermal energy storage. Renew. Sustain. Energy Rev. 2010, 14, 955–970. [Google Scholar] [CrossRef]
- Zalba, B.; Marin, J.M.; Cazeba, L.F.; Mehling, H. Review on thermal energy storage with phase change: Materials, heat transfer analysis and applications. Appl. Therm. Eng. 2003, 23, 251–283. [Google Scholar] [CrossRef]
- PCM Product Ltd. Thermal Managements Solutions. Available online: https://www.pcmproducts.net/Phase_Change_Material_Products.htm (accessed on 20 May 2020).
- Jankowski, N.R.; McCluskey, F.P. A review of phase change materials for vehicle component thermal buffering. Appl. Energy 2014, 113, 1525–1561. [Google Scholar] [CrossRef]
- Jaguemont, J.; Omar, N.; Van den Bossche, P.; Mierlo, J. Phase-change materials (PCM) for automotive applications: A review. Appl. Therm. Eng. 2018, 132, 308–320, 1359–4311. [Google Scholar] [CrossRef]
- Korin, E.; Reshef, R.; Tshernichovesky, D.; Sher, E. Improving Cold-Start Functioning of Catalytic Converters by Using Phase-Change Materials; SAE Technical Paper 980671; SAE International: Warrendale, PA, USA, 1998. [Google Scholar]
- Daya, R.; Hoard, J.; Chanda, S.; Singh, M. Insulated Catalytic Converter with Phase-Change Material under Real-world Driving Conditions. In Proceedings of the ASME 2016 Internal Combustion Engine Fall Technical Conference, Greenville, SC, USA, 9–12 October 2016. [Google Scholar]
- Ford Global Technologies LLC. Temperature Maintenance and Regulation of Vehicle Exhaust Catalyst Systems with Phase Change Materials. U.S. Patent 9,566,552B2, 14 February 2017. [Google Scholar]
- Commisariat a L’Energie Atomique et aux Energies Alternatives. Composite Material Consisting of a Catalyst/Phase Change Material Related Manufacturing Methods and Use of Such Material in Catalytic Reactions. U.S. Patent 20,150,190,796A1, 9 July 2015. [Google Scholar]
- Koltsakis, G.C.; Stamatelos, A.M.; Konstantinidis, P.A. Development and application range of mathematical models for automotive 3-way catalytic converters. Appl. Catal. B Environ. 1997, 12, 161–191. [Google Scholar] [CrossRef]
- Tsinoglou, D.; Koltsakis, G.C.; Peyton Jones, J. Oxygen Storage Modeling in 3-Way Catalysts. Ind. Eng. Chem. Res. 2002, 41, 1152–1165. [Google Scholar] [CrossRef]
- Mitsouridis, M.A.; Karamitros, D.; Koltsakis, G. Model-Based Analysis of TWC-Coated Filters Performance. Emiss. Control Sci. Technol. 2019, 5, 238–252. [Google Scholar] [CrossRef]
- Mitsouridis, M.; Koltsakis, G.; Samaras, Z.; Martin, C. GPF model-based optimization methodologies supporting RDE conformity. In Proceedings of the 23rd Transport and Air Pollution Conference, Thessaloniki, Greece, 15–17 May 2019. [Google Scholar]
- Korin, E.; Soifer, L. Thermal analysis of the system KCl-LiCl by differential scanning calorimetry. J. Therm. Anal. 1997, 50, 347–354. [Google Scholar] [CrossRef]
Publisher’s Note: MDPI stays neutral with regard to jurisdictional claims in published maps and institutional affiliations. |
© 2021 by the authors. Licensee MDPI, Basel, Switzerland. This article is an open access article distributed under the terms and conditions of the Creative Commons Attribution (CC BY) license (https://creativecommons.org/licenses/by/4.0/).























