N-Heterocyclic Carbene Functionalized Covalent Organic Framework for Transesterification of Glycerol with Dialkyl Carbonates
Abstract
1. Introduction
2. Results and Discussion
2.1. Synthesis and Characterization of COFs
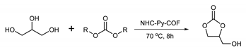
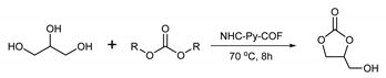
2.2. Catalytic Performance of COFs.
3. Experimental
3.1. Materials
3.2. Synthesis
3.3. General Procedures for Transesterification of Glycerol with Dialkyl Carbonates
3.4. Characterization
4. Conclusions
Supplementary Materials
Author Contributions
Funding
Data Availability Statement
Conflicts of Interest
References
- Geng, K.; He, T.; Liu, R.; Tan, K.T.; Li, Z.; Tao, S.; Gong, Y.; Jiang, Q.; Jiang, D.L. Covalent organic frameworks: Design, synthesis, and functions. Chem. Rev. 2020, 120, 8814–8933. [Google Scholar] [CrossRef]
- Ding, S.Y.; Wang, W. Covalent organic frameworks (COFs): From design to applications. Chem. Soc. Rev. 2013, 42, 548–568. [Google Scholar] [CrossRef]
- Segura, J.L.; Mancheno, M.J.; Zamora, F. Covalent organic frameworks based on Schiff-base chemistry: Synthesis, properties and potential applications. Chem. Soc. Rev. 2016, 45, 5635–5671. [Google Scholar] [CrossRef]
- Feng, X.; Ding, X.; Jiang, D.L. Covalent organic frameworks. Chem. Soc. Rev. 2012, 41, 6010–6022. [Google Scholar] [CrossRef] [PubMed]
- Chen, X.; Geng, K.; Liu, R.; Tan, K.T.; Gong, Y.; Li, Z.; Tao, S.; Jiang, Q.; Jiang, D.L. Covalent organic frameworks: Chemical approaches to designer structures and built-in function. Angew. Chem. Int. Ed. 2020, 59, 5050–5091. [Google Scholar] [CrossRef] [PubMed]
- Hu, H.; Yan, Q.; Ge, R.; Gao, Y. Covalent organic frameworks as heterogeneous catalysts. Chin. J. Catal. 2018, 39, 1167–1179. [Google Scholar] [CrossRef]
- Du, Y.; Yang, H.; Whiteley, J.M.; Wan, S.; Jin, Y.; Lee, S.H.; Zhang, W. Ionic covalent organic frameworks with spiroborate linkage. Angew. Chem. Int. Ed. 2016, 55, 1737–1741. [Google Scholar] [CrossRef]
- Zeng, Y.; Zou, R.; Zhao, Y. Covalent organic frameworks for CO2 capture. Adv. Mater. 2016, 28, 2855–2873. [Google Scholar] [CrossRef] [PubMed]
- Baldwin, L.A.; Crowe, J.W.; Pyles, D.A.; McGrier, P.L. Metalation of a mesoporous three-dimensional covalent organic frameworks. J. Am. Chem. Soc. 2016, 138, 15134–15137. [Google Scholar] [CrossRef]
- Pramudya, Y.; Mendoza-Cortes, J.L. Design principles for high H2 storage using chelation of abundant transition metals in covalent organic frameworks for 0–700 bar at 298 K. J. Am. Chem. Soc. 2016, 138, 15204–15213. [Google Scholar] [CrossRef]
- Furukawa, H.; Yaghi, O.M. Storage of hydrogen, methane, and carbon dioxide in highly porous covalent organic frameworks for clean energy applications. J. Am. Chem. Soc. 2009, 131, 8875–8883. [Google Scholar] [CrossRef]
- Huang, N.; Chen, X.; Krishna, R.; Jiang, D. Two-dimensional covalent organic frameworks for carbon dioxide capture through channel-wall functionalization. Angew. Chem. Int. Ed. 2015, 54, 2986–2990. [Google Scholar] [CrossRef]
- Huang, N.; Krishna, R.; Jiang, D.L. Tailor-made pore surface engineering in covalent organic frameworks: Systematic functionalization for performance screening. J. Am. Chem. Soc. 2015, 137, 7079–7082. [Google Scholar] [CrossRef]
- Lin, S.C.; Diercks, S.; Zhang, Y.B.; Kornienko, N.; Nichols, E.M.; Zhao, Y.; Paris, A.R.; Kim, D.; Yang, P.; Yaghi, O.M.; et al. Covalent organic frameworks comprising cobalt porphyrins for catalytic CO2 reduction in water. Science 2015, 349, 1208–1213. [Google Scholar] [CrossRef] [PubMed]
- Ding, S.Y.; Gao, J.; Wang, Q.; Zhang, Y.; Song, W.G.; Su, C.Y.; Wang, W. Construction of covalent organic framework for catalysis: Pd/COF-LZU1 in Suzuki-Miyaura coupling reaction. J. Am. Chem. Soc. 2011, 133, 19816–19822. [Google Scholar] [CrossRef] [PubMed]
- Vyas, V.S.; Haase, F.; Stegbauer, L.; Savasci, G.; Podjaski, F.; Ochsenfeld, C.; Lotsch, B.V. A tunable azine covalent organic framework platform for visible light-induced hydrogen generation. Nat. Commun. 2015, 6, 1–9. [Google Scholar] [CrossRef] [PubMed]
- Sun, Q.; Aguila, B.; Perman, J.; Nguyen, N.; Ma, S. Flexibility matters: Cooperative active sites in covalent organic framework and threaded ionic polymer. J. Am. Chem. Soc. 2016, 138, 15790–15796. [Google Scholar] [CrossRef]
- Wang, X.; Han, X.; Zhang, J.; Wu, X.; Liu, Y.; Cui, Y. Homochiral 2D porous covalent organic frameworks for heterogeneous asymmetric catalysis. J. Am. Chem. Soc. 2016, 138, 12332–12335. [Google Scholar] [CrossRef] [PubMed]
- Zhang, J.; Han, X.; Wu, X.; Liu, Y.; Cui, Y. Multivariate chiral covalent organic frameworks with controlled crystallinity and stability for asymmetric catalysis. J. Am. Chem. Soc. 2017, 139, 8277–8285. [Google Scholar] [CrossRef]
- Xu, H.S.; Ding, S.Y.; An, W.K.; Wu, H.; Wang, W. Constructing crystalline covalent organic frameworks from chiral building blocks. J. Am. Chem. Soc. 2016, 138, 11489–11492. [Google Scholar] [CrossRef]
- Leng, W.; Peng, Y.; Zhang, J.; Lu, H.; Feng, X.; Ge, R.; Dong, B.; Wang, B.; Hu, X.; Gao, Y. Sophisticated design of covalent organic frameworks with controllable bimetallic docking for a cascade reaction. Chem. Eur. J. 2016, 22, 9087–9091. [Google Scholar] [CrossRef]
- Sun, Q.; Tang, Y.; Aguila, B.; Wang, S.; Xiao, F.S.; Thallapally, P.K.; Al-Enizi, A.M.; Nafady, A.; Ma, S. Reaction environment modification in covalent organic frameworks for catalytic performance enhancement. Angew. Chem. Int. Ed. 2019, 131, 8762–8767. [Google Scholar] [CrossRef]
- Bhadra, M.; Kandambeth, S.; Sahoo, M.K.; Addicoat, M.; Balaraman, E.; Banerjee, R. A triazine functionalized porous covalent organic framework for photo-organocatalytic E-Z isomerization of olefins. J. Am. Chem. Soc. 2019, 141, 6152–6156. [Google Scholar] [CrossRef] [PubMed]
- Lu, M.; Liu, J.; Li, Q.; Zhang, M.; Liu, M.; Wang, J.L.; Yuan, D.Q.; Lan, Y.Q. Rational design of crystalline covalent organic frameworks for efficient CO2 photoreduction with H2O. Angew. Chem. Int. Ed. 2019, 131, 12522–12527. [Google Scholar] [CrossRef]
- Liu, W.; Li, X.; Wang, C.; Pan, H.; Liu, W.; Wang, K.; Zeng, Q.; Wang, R.; Jiang, J. A scalable general synthetic approach toward ultrathin imine-linked two-dimensional covalent organic framework nanosheets for photocatalytic CO2 reduction. J. Am. Chem. Soc. 2019, 141, 17431–17440. [Google Scholar] [CrossRef]
- Zhong, W.; Sa, R.; Li, L.; He, Y.; Li, L.; Bi, J.; Zhuang, Z.; Yu, Y.; Zou, Z. A covalent organic framework bearing single Ni sites as a synergistic photocatalyst for selective photoreduction of CO2 to CO. J. Am. Chem. Soc. 2019, 141, 7615–7621. [Google Scholar] [CrossRef]
- Ma, H.; Liu, B.; Li, B.; Zhang, L.; Li, Y.G.; Tan, H.Q.; Zang, H.Y.; Zhu, G. Cationic covalent organic frameworks: A simple platform of anionic exchange for porosity tuning and proton conduction. J. Am. Chem. Soc. 2016, 138, 5897–5903. [Google Scholar] [CrossRef]
- Chandra, S.; Kundu, T.; Kandambeth, S.; BabaRao, R.; Marathe, Y.; Kunjir, S.M.; Banerjee, R. Phosphoric acid loaded Azo (−N=N−) based covalent organic framework for proton conduction. J. Am. Chem. Soc. 2014, 136, 6570–6573. [Google Scholar] [CrossRef] [PubMed]
- Sasmal, H.S.; Aiyappa, H.B.; Bhange, S.N.; Karak, S.; Halder, A.; Kurungot, S.; Banerjee, R. Superprotonic conductivity in flexible porous covalent organic framework membranes. Angew. Chem. Int. Ed. 2018, 130, 11060–11064. [Google Scholar] [CrossRef]
- Peng, Y.; Xu, G.; Hu, Z.; Cheng, Y.; Chi, C.; Yuan, D.; Cheng, H.; Zhao, D. Mechanoassisted synthesis of sulfonated covalent organic frameworks with high intrinsic proton conductivity. ACS Appl. Mater. Inter. 2016, 8, 18505–18512. [Google Scholar] [CrossRef] [PubMed]
- Ranjeesh, K.C.; Illathvalappil, R.; Veer, S.D.; Peter, J.; Wakchaure, V.C.; Goudappagouda; Raj, K.V.; Kurungot, S.; Babu, S.S. Imidazole-linked crystalline two-dimensional polymer with ultrahigh proton-conductivity. J. Am. Chem. Soc. 2019, 141, 14950–14954. [Google Scholar] [CrossRef]
- Xu, H.; Tao, S.; Jiang, D. Proton conduction in crystalline and porous covalent organic frameworks. Nat. Mater. 2016, 15, 722–726. [Google Scholar] [CrossRef]
- Hu, Y.; Dunlap, N.; Wan, S.; Lu, S.; Huang, S.; Sellinger, I.; Ortiz, M.; Jin, Y.; Lee, S.H.; Zhang, W. Crystalline lithium imidazolate covalent organic frameworks with high Li-Ion conductivity. J. Am. Chem. Soc. 2019, 141, 7518–7525. [Google Scholar] [CrossRef]
- Zhang, G.; Hong, Y.L.; Nishiyama, Y.; Bai, S.; Kitagawa, S.; Horike, S. Accumulation of glassy poly(ethylene oxide) anchored in a covalent organic framework as a solid-state Li+ electrolyte. J. Am. Chem. Soc. 2018, 141, 1227–1234. [Google Scholar] [CrossRef]
- Guo, Z.; Zhang, Y.; Dong, Y.; Li, J.; Li, S.; Shao, P.; Feng, X.; Wang, B. Fast ion transport pathway provided by polyethylene glycol confined in covalent organic frameworks. J. Am. Chem. Soc. 2019, 141, 1923–1927. [Google Scholar] [CrossRef]
- Jeong, K.; Park, S.; Jung, G.Y.; Kim, S.H.; Lee, Y.H.; Kwak, S.K.; Lee, S.Y. Solvent-free, single lithium-ion conducting covalent organic frameworks. J. Am. Chem. Soc. 2019, 141, 5880–5885. [Google Scholar] [CrossRef] [PubMed]
- Bertrand, G.H.V.; Michaelis, V.K.; Ong, T.C.; Griffin, R.G.; Dincӑ, M. Thiophene-based covalent organic frameworks. Proc. Natl. Acad. Sci. USA 2013, 110, 4923–4928. [Google Scholar] [CrossRef] [PubMed]
- Calik, M.; Auras, F.; Salonen, L.M.; Bader, K.; Grill, I.; Handloser, M.; Medina, D.D.; Dogru, M.; Löbermann, F.; Trauner, D.; et al. Extraction of photogenerated electrons and holes from a covalent organic framework integrated heterojunction. J. Am. Chem. Soc. 2014, 136, 17802–17807. [Google Scholar] [CrossRef] [PubMed]
- Liu, X.H.; Guan, C.Z.; Wang, D.; Wan, L.J. Graphene-like single-layered covalent organic frameworks: Synthesis strategies and application prospects. Adv. Mater. 2014, 26, 6912–6920. [Google Scholar] [CrossRef]
- Feldblyum, J.I.; McCreery, C.H.; Andrews, S.C.; Kurosawa, T.; Santos, E.J.G.; Duong, V.; Fang, L.; Ayzner, A.L.; Bao, Z.N. Few-layer, large-area, 2D covalent organic framework semiconductor thin films. Chem. Commun. 2015, 51, 13894–13897. [Google Scholar] [CrossRef] [PubMed]
- Ding, H.; Li, Y.; Hu, H.; Sun, Y.; Wang, J.; Wang, C.; Wang, C.; Zhang, G.; Wang, B.; Xu, W.; et al. A tetrathiafulvalene-based electroactive covalent organic framework. Chem. Eur. J. 2014, 20, 14614–14618. [Google Scholar] [CrossRef]
- Spitler, E.L.; Dichtel, W.R. Lewis acid-catalysed formation of two-dimensional phthalocyanine covalent organic frameworks. Nat. Chem. 2010, 2, 672–677. [Google Scholar] [CrossRef] [PubMed]
- Sun, Q.; Aguila, B.; Perman, J.; Earl, L.; Abney, C.; Cheng, Y.; Wei, H.; Nguyen, N.; Wojtas, L.; Ma, S. Postsynthetically modified covalent organic frameworks for efficient and effective mercury removal. J. Am. Chem. Soc. 2017, 139, 2786–2793. [Google Scholar] [CrossRef]
- Huang, N.; Zhai, L.; Xu, H.; Jiang, D. Stable covalent organic frameworks for exceptional mercury removal from aqueous solutions. J. Am. Chem. Soc. 2017, 139, 2428–2434. [Google Scholar] [CrossRef]
- Ding, S.Y.; Dong, M.; Wang, Y.W.; Chen, Y.T.; Wang, H.Z.; Su, C.Y.; Wang, W. Thioether-based fluorescent covalent organic framework for selective detection and facile removal of mercury(II). J. Am. Chem. Soc. 2016, 138, 3031–3037. [Google Scholar] [CrossRef]
- Mellah, A.; Fernandes, S.P.S.; Rodríguez, R.; Otero, J.; Paz, J.; Cruces, J.; Medina, D.D.; Djamila, H.; Espiña, B.; Salonen, L.M. Adsorption of pharmaceutical pollutants from water using covalent organic frameworks. Chem. Eur. J. 2018, 24, 10601–10605. [Google Scholar] [CrossRef]
- Sun, Q.; Aguila, B.; Earl, L.D.; Abney, C.W.; Wojtas, L.; Thallapally, P.K.; Ma, S. Covalent organic frameworks as a decorating platform for utilization and affinity enhancement of chelating sites for radionuclide sequestration. Adv. Mater. 2018, 30, 1705479–1705487. [Google Scholar] [CrossRef] [PubMed]
- Rogge, S.M.J.; Bavykina, A.; Hajek, J.; Garcia, H.; Olivos-Suarez, A.I.; Sepúlveda-Escribano, A.; Vimont, A.; Clet, G.; Bazin, P.; Kapteijn, F.; et al. Metal-organic and covalent organic frameworks as single-site catalysts. Chem. Soc. Rev. 2017, 46, 3134–3184. [Google Scholar] [CrossRef]
- Segura, J.L.; Royuela, S.; Ramos, M.M. Post-synthetic modification of covalent organic frameworks. Chem. Soc. Rev. 2019, 48, 3903–3945. [Google Scholar] [CrossRef]
- Mu, M.; Wang, Y.; Qin, Y.; Yan, X.; Li, Y.; Chen, L. Two-dimensional imine-linked covalent organic frameworks as a platform for selective oxidation of olefins. ACS Appl. Mater. Inter. 2017, 9, 22856–22863. [Google Scholar] [CrossRef]
- Feng, X.; Ding, X.; Chen, L.; Wu, Y.; Liu, L.; Addicoat, M.; Irle, S.; Dong, Y.; Jiang, D. Two-dimensional artificial light-harvesting antennae with predesigned high-order structure and robust photosensitising activity. Sci. Rep. 2016, 6, 1–13. [Google Scholar] [CrossRef]
- Hu, H.; Yan, Q.; Wang, M.; Yu, L.; Pan, W.; Wang, B.; Gao, Y. Ionic covalent organic frameworks for highly effective catalysis. Chin. J. Catal. 2018, 39, 1437–1444. [Google Scholar] [CrossRef]
- Zhang, Y.; Hu, H.; Ju, J.; Yan, Q.; Arumugam, V.; Jing, X.; Cai, H.; Gao, Y. Ionization of a covalent organic framework for catalyzing the cycloaddition reaction between epoxides and carbon dioxide. Chin. J. Catal. 2020, 41, 485–493. [Google Scholar] [CrossRef]
- Pachfule, P.; Kandambeth, S.; Díaz, D.D.; Banerjee, R. Highly stable covalent organic framework-Au nanoparticles hybrids for enhanced activity for nitrophenol reduction. Chem. Commun. 2014, 50, 3169–3172. [Google Scholar] [CrossRef]
- Pachfule, P.; Panda, M.K.; Kandambeth, S.; Shivaprasad, S.M.; Díaz, D.D.; Banerjee, R. Multifunctional and robust covalent organic framework-nanoparticle hybrids. J. Mater. Chem. A 2014, 2, 7944–7952. [Google Scholar] [CrossRef]
- Bhadra, M.; Sasmal, H.S.; Basu, A.; Midya, S.P.; Kandambeth, S.; Pachfule, P.; Balaraman, E.; Banerjee, R. Predesigned metal-anchored building block for in situ generation of Pd nanoparticles in porous covalent organic framework: Application in heterogeneous tandem catalysis. ACS Appl. Mater. Inter. 2017, 9, 13785–13792. [Google Scholar] [CrossRef]
- Lu, S.; Hu, Y.; Wan, S.; McCaffrey, R.; Jin, Y.; Gu, H.; Zhang, W. Synthesis of ultrafine and highly dispersed metal nanoparticles confined in a thioether-containing covalent organic framework and their catalytic applications. J. Am. Chem. Soc. 2017, 139, 17082–17088. [Google Scholar] [CrossRef] [PubMed]
- Ma, H.C.; Zhao, C.C.; Chen, G.J.; Dong, Y.B. Photothermal conversion triggered thermal asymmetric catalysis within metal nanoparticles loaded homochiral covalent organic framework. Nat. Commun. 2019, 10, 1–9. [Google Scholar] [CrossRef]
- Xu, H.; Gao, J.; Jiang, D. Stable, crystalline, porous, covalent organic frameworks as a platform for chiral organocatalysts. Nat. Chem. 2015, 7, 905–912. [Google Scholar] [CrossRef]
- Dong, B.; Wang, L.; Zhao, S.; Ge, R.; Song, X.; Wang, Y.; Gao, Y. Immobilization of ionic liquids to covalent organic frameworks for catalyzing the formylation of amines with CO2 and phenylsilane. Chem. Commun. 2016, 52, 7082–7085. [Google Scholar] [CrossRef]
- Jansone-Popova, S.; Moinel, A.; Schott, J.A.; Mahurin, S.M.; Popovs, I.; Veith, G.M.; Moyer, B.A. Guanidinium-based ionic covalent organic framework for rapid and selective removal of toxic Cr(VI) oxoanions from water. Environ. Sci. Technol. 2018, 53, 878–883. [Google Scholar] [CrossRef] [PubMed]
- Qiu, J.; Zhao, Y.; Li, Z.; Wang, H.; Shi, Y.; Wang, J. Imidazolium-salt-functionalized covalent organic frameworks for highly efficient catalysis of CO2 conversion. ChemSusChem 2019, 12, 2421–2427. [Google Scholar]
- Xu, H.; Chen, X.; Gao, J.; Lin, J.B.; Addicoat, M.; Irle, S.; Jiang, D.L. Catalytic covalent organic frameworks via pore surface engineering. Chem. Commun. 2014, 50, 1292–1294. [Google Scholar] [CrossRef]
- Zhang, J.Q.; Peng, Y.S.; Leng, W.G.; Gao, Y.A.; Xu, F.F.; Chai, J.L. Nitrogen ligands in two-dimensional covalent organic frameworks for metal catalysis. Chin. J. Catal. 2016, 37, 468–475. [Google Scholar] [CrossRef]
- Li, L.H.; Feng, X.L.; Cui, X.H.; Ma, Y.X.; Ding, S.Y.; Wang, W. Salen-based covalent organic framework. J. Am. Chem. Soc. 2017, 139, 6042–6045. [Google Scholar] [CrossRef]
- Leng, W.G.; Ge, R.L.; Dong, B.; Wang, C.; Gao, Y.A. Bimetallic docked covalent organic frameworks with high catalytic performance towards tandem reactions. RSC Adv. 2016, 6, 37403–37406. [Google Scholar] [CrossRef]
- Sun, Q.; Aguila, B.; Ma, S. A bifunctional covalent organic framework as an efficient platform for cascade catalysis. Mater. Chem. Front. 2017, 1, 1310–1316. [Google Scholar] [CrossRef]
- Wu, Y.; Xu, H.; Chen, X.; Gao, J.; Jiang, D.L. A π-electronic covalent organic framework catalyst: π-walls as catalytic beds for Diels-Alder reactions under ambient conditions. Chem. Commun. 2015, 51, 10096–10098. [Google Scholar] [CrossRef]
- Lalonde, M.B.; Farha, O.K.; Scheidt, K.A.; Hupp, J.T. N-heterocyclic carbene-like catalysis by a metal-organic framework material. ACS Catal. 2012, 2, 1550–1554. [Google Scholar] [CrossRef]
- Enders, D.; Balensiefer, T. Nucleophilic carbenes in asymmetric organocatalysis. Acc. Chem. Res. 2004, 37, 534–541. [Google Scholar] [CrossRef] [PubMed]
- Enders, D.; Niemeier, O.; Henseler, A. Organocatalysis by N-heterocyclic carbenes. Chem. Rev. 2007, 107, 5606–5655. [Google Scholar] [CrossRef]
- Phillips, E.M.; Chan, A.; Scheidt, K.A. Discovering new reactions with N-heterocyclic carbene catalysis. Aldrichim. Acta 2009, 42, 55–66. [Google Scholar]
- Ezugwu, C.I.; Kabir, N.A.; Yusubov, M.; Verpoort, F. Metal-organic frameworks containing N-heterocyclic carbenes and their precursors. Coordin. Chem. Rev. 2016, 307, 188–210. [Google Scholar] [CrossRef]
- Zhong, R.; Lindhorst, A.C.; Groche, F.J.; Kühn, F.E. Immobilization of N-heterocyclic carbene compounds: A synthetic perspective. Chem. Rev. 2017, 117, 1970–2058. [Google Scholar] [CrossRef]
- Kong, G.Q.; Ou, S.; Zou, C.; Wu, C.D. Assembly and post-modification of a metal-organic nanotube for highly efficient catalysis. J. Am. Chem. Soc. 2012, 134, 19851–19857. [Google Scholar] [CrossRef] [PubMed]
- Kong, G.Q.; Xu, X.; Zou, C.; Wu, C.D. Two metal-organic frameworks based on a double azolium derivative: Post-modification and catalytic activity. Chem. Commun. 2011, 47, 11005–11007. [Google Scholar] [CrossRef]
- Oisaki, K.; Li, Q.; Furukawa, H.; Czaja, A.U.; Yaghi, O.M. A metal-organic framework with covalently bound organometallic complexes. J. Am. Chem. Soc. 2010, 132, 9262–9264. [Google Scholar] [CrossRef]
- Burgun, A.; Crees, R.S.; Cole, M.L.; Doonan, C.J.; Sumby, C.J. A 3-D diamondoid MOF catalyst based on in situ generated [Cu(L)2] N-heterocyclic carbene (NHC) linkers: Hydroboration of CO2. Chem. Commun. 2014, 50, 11760–11763. [Google Scholar] [CrossRef]
- Grasa, G.A.; Kissling, R.M.; Nolan, S.P. N-heterocyclic carbenes as versatile nucleophilic catalysts for transesterification/acylation reactions. Org. Lett. 2002, 4, 3583–3586. [Google Scholar] [CrossRef]
- Nyce, G.W.; Lamboy, J.A.; Connor, E.F.; Waymouth, R.M.; Hedrick, J.L. Expanding the catalytic activity of nucleophilic N-heterocyclic carbenes for transesterification reactions. Org. Lett. 2002, 4, 3587–3590. [Google Scholar] [CrossRef]
- Li, Y.; Dong, Y.; Kan, J.L.; Wu, X.W.; Dong, Y.B. Synthesis and catalytic properties of metal-N-heterocyclic-carbene-decorated covalent organic framework. Org. Lett. 2020, 22, 7363–7368. [Google Scholar] [CrossRef] [PubMed]
- Yang, J.J.; Wu, Y.Y.; Wu, X.W.; Liu, W.J.; Wang, Y.F.; Wang, J.W. An N-heterocyclic carbene-functionalised covalent organic framework with atomically dispersed palladium for coupling reactions under mild conditions. Green Chem. 2019, 21, 5267–5273. [Google Scholar] [CrossRef]
- Chen, X.; Addicoat, M.; Irle, S.; Nagai, A.; Jiang, D. Control of crystallinity and porosity of covalent organic frameworks by managing interlayer interactions based on self-complementary π-electronic force. J. Am. Chem. Soc. 2013, 135, 546–549. [Google Scholar] [CrossRef]
- Tommasi, I.; Sorrentino, F. Utilisation of 1,3-dialkylimidazolium-2-carboxylates as CO2-carriers in the presence of Na+ and K+: Application in the synthesis of carboxylates, monomethylcarbonate anions and halogen-free ionic liquids. Tetrahedron Lett. 2005, 46, 2141–2145. [Google Scholar] [CrossRef]
- Gu, L.Q.; Zhang, Y.G. Unexpected CO2 splitting reactions to form CO with N-heterocyclic carbenes as organocatalysts and aromatic aldehydes as oxygen acceptors. J. Am. Chem. Soc. 2010, 132, 914–915. [Google Scholar] [CrossRef]
- Liu, X.; Cao, C.S.; Li, Y.F.; Guan, P.; Yang, L.G.; Shi, Y.H. Cycloaddition of CO2 to epoxides catalyzed by N-heterocyclic carbene (NHC)–ZnBr2 System under mild conditions. Synlett 2012, 23, 1343–1348. [Google Scholar] [CrossRef]
- Zhou, H.; Zhang, W.Z.; Wang, Y.M.; Qu, J.P.; Lu, X.B. N-heterocyclic carbene functionalized polymer for reversible fixation-release of CO2. Macromolecules 2009, 42, 5419–5421. [Google Scholar] [CrossRef]
- Burstein, C.; Glorius, F. Organocatalyzed conjugate umpolung of α,β-unsaturated aldehydes for the synthesis of γ-butyrolactones. Angew. Chem. Int. Ed. 2004, 43, 6205–6208. [Google Scholar] [CrossRef]
- Sohn, S.S.; Rosen, E.L.; Bode, J.W. N-heterocyclic carbine-catalyzed generation of homoenolates: γ-Butyrolactones by direct annulations of enals and aldehydes. J. Am. Chem. Soc. 2004, 126, 14370–14371. [Google Scholar] [CrossRef]
- Pan, S.; Zheng, L.; Nie, R.; Xia, S.; Chen, P.; Hou, Z. Transesterification of glycerol with dimethyl carbonate to glycerol carbonate over Na-based zeolites. Chin. J. Catal. 2012, 33, 1772–1777. [Google Scholar] [CrossRef]
- Takagaki, A.; Iwatani, K.; Nishimura, S.; Ebitani, K. Synthesis of glycerol carbonate from glycerol and dialkyl carbonates using hydrotalcite as a reusable heterogeneous base catalyst. Green Chem. 2010, 12, 578–581. [Google Scholar] [CrossRef]
- Huang, N.; Wang, P.M.; Addicoat, A.; Heine, T.; Jiang, D.L. Ionic covalent organic frameworks: Design of a charged interface aligned on 1D channel walls and its unusual electrostatic functions. Angew. Chem. Int. Ed. 2017, 56, 4982–4986. [Google Scholar] [CrossRef]
- Rabbani, M.G.; Sekizkardes, A.K.; Kahveci, Z.; Reich, T.E.; Ding, R.; El-Kaderi, H.M. A 2D mesoporous imine-linked covalent organic framework for high pressure gas storage applications. Chem. Eur. J. 2013, 19, 3324–3328. [Google Scholar] [CrossRef] [PubMed]
- Kuhnert, N.; Patel, C.; Jami, F. Synthesis of chiral nonracemic polyimine macrocycles from cyclocondensation reactions of biaryl and terphenyl aromatic dicarboxaldehydes and 1R,2R-diaminocyclohexane. Tetrahedron Lett. 2005, 46, 7575–7579. [Google Scholar] [CrossRef]







| COFs | SBET (m2 g−1) | Pore Width (nm) | Total Pore Volume (cm3 g−1) |
|---|---|---|---|
| 4F-Py-COF | 1930 | 3.43 | 1.82 |
| IM4F-Py-COF | 1450 | 3.34 | 1.11 |
| BMIM4F-Py-COF | 1326 | 3.31 | 0.65 |
![]() | ||||
|---|---|---|---|---|
| Entry | Catalyst | Substrate (R=) | Conversion [b] (%) | Yield [b] (%) |
| 1 | Blank | CH3 | ― | ― |
| 2 | NHC-Py-COF | CH3 | 99 | 96 |
| 3 | NHC-Py-COF | CH2CH3 | 96 | 96 |
| 4 | NHC-[BMIM]Br | CH3 | 99 | 99 |
| 5 | [BMIM]Br | CH3 | ― | ― |
| 6 | IM4F-Py-COF | CH3 | ― | ― |
| 7 | 4F-Py-COF | CH3 | ― | ― |
| 8 [c] | NHC-Py-COF | CH3 | 99 | 95 |
| 9 [d] | NHC-Py-COF | CH3 | 98 | 95 |
| 10 [e] | NHC-Py-COF | CH3 | 98 | 94 |
| 11 [f] | NHC-Py-COF | CH3 | 97 | 94 |
| 12 [g] | NHC-Py-COF | CH3 | 95 | 93 |
Publisher’s Note: MDPI stays neutral with regard to jurisdictional claims in published maps and institutional affiliations. |
© 2021 by the authors. Licensee MDPI, Basel, Switzerland. This article is an open access article distributed under the terms and conditions of the Creative Commons Attribution (CC BY) license (http://creativecommons.org/licenses/by/4.0/).
Share and Cite
Chai, Y.; Li, Y.; Hu, H.; Zeng, C.; Wang, S.; Xu, H.; Gao, Y. N-Heterocyclic Carbene Functionalized Covalent Organic Framework for Transesterification of Glycerol with Dialkyl Carbonates. Catalysts 2021, 11, 423. https://doi.org/10.3390/catal11040423
Chai Y, Li Y, Hu H, Zeng C, Wang S, Xu H, Gao Y. N-Heterocyclic Carbene Functionalized Covalent Organic Framework for Transesterification of Glycerol with Dialkyl Carbonates. Catalysts. 2021; 11(4):423. https://doi.org/10.3390/catal11040423
Chicago/Turabian StyleChai, Yuying, Yaling Li, Hui Hu, Chaoyuan Zeng, Shenglin Wang, Huanjun Xu, and Yanan Gao. 2021. "N-Heterocyclic Carbene Functionalized Covalent Organic Framework for Transesterification of Glycerol with Dialkyl Carbonates" Catalysts 11, no. 4: 423. https://doi.org/10.3390/catal11040423
APA StyleChai, Y., Li, Y., Hu, H., Zeng, C., Wang, S., Xu, H., & Gao, Y. (2021). N-Heterocyclic Carbene Functionalized Covalent Organic Framework for Transesterification of Glycerol with Dialkyl Carbonates. Catalysts, 11(4), 423. https://doi.org/10.3390/catal11040423


