Effect of Calcination Conditions on the Properties and Photoactivity of TiO2 Modified with Biuret
Abstract
1. Introduction
2. Experimental Section
2.1. Materials
2.2. Photocatalysts Synthesis
2.3. Photocatalysts Characterization
2.4. Photocatalytic Reaction
3. Results and Discussion
3.1. Physicochemical Properties of the Photocatalysts
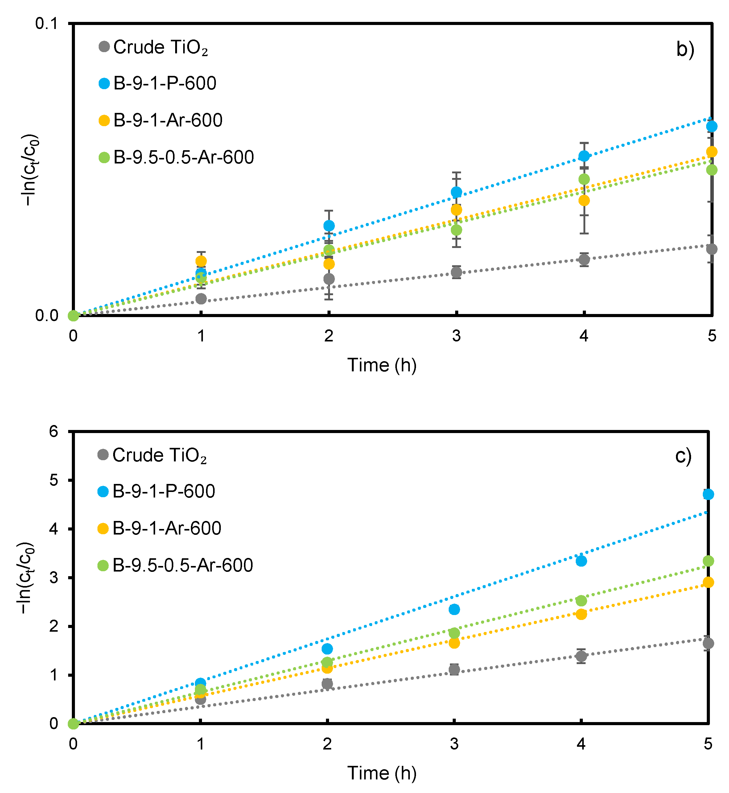
3.2. Effect of Calcination Atmosphere and Temperature on the Photocatalytic Activity
3.3. Effect of Biuret Dose on the Photocatalytic Activity
3.4. Effect of the Irradiation Type on the Photocatalytic Activity
4. Conclusions
Author Contributions
Funding
Data Availability Statement
Acknowledgments
Conflicts of Interest
References
- Saeed, A.A.H.; Harun, N.Y.; Sufian, S.; Aznan, M.F.B. Effect of adsorption parameter on the removal of nickel (II) by low-cost adsorbent extracted from corn cob. IJARET 2020, 11, 981–989. [Google Scholar] [CrossRef]
- Patel, M.; Kumar, R.; Kishor, K.; Mlsna, T.; Pittman, C.U., Jr.; Mohan, D. Pharmaceuticals of emerging concern in aquatic systems: Chemistry, occurrence, effects, and removal methods. Chem. Rev. 2019, 119, 3510–3673. [Google Scholar] [CrossRef]
- Ojemaye, C.Y.; Petrik, L. Pharmaceuticals in the marine environment: A review. Environ. Rev. 2019, 27, 151–165. [Google Scholar] [CrossRef]
- Rivera-Utrilla, J.; Sánchez-Polo, M.; Ferro-García, M.Á.; Prados-Joya, G.; Ocampo-Pérez, R. Pharmaceuticals as emerging contaminants and their removal from water. A review. Chemosphere 2013, 93, 1268–1287. [Google Scholar] [CrossRef]
- Cai, Z.; Dwivedi, A.D.; Lee, W.-N.; Zhao, X.; Liu, W.; Sillanpää, M.; Zhao, D.; Huang, C.-H.; Fu, J. Application of nanotechnologies for removing pharmaceutically active compounds from water: Development and future trends. Environ. Sci. Nano 2018, 5, 27–47. [Google Scholar] [CrossRef]
- Kanakaraju, D.; Glass, B.D.; Oelgemöller, M. Advanced oxidation process-mediated removal of pharmaceuticals from water: A review. J. Environ. Manag. 2018, 219, 189–207. [Google Scholar] [CrossRef]
- Mlunguza, N.Y.; Ncube, S.; Nokwethemba Mahlambi, P.; Chimuka, L.; Madikizela, L.M. Adsorbents and removal strategies of non-steroidal anti-inflammatory drugs from contaminated water bodies. J. Environ. Chem. Eng. 2019, 7, 103142. [Google Scholar] [CrossRef]
- Williams, M.; Kookana, R.S.; Mehta, A.; Yadav, S.K.; Tailor, B.L.; Maheshwari, B. Emerging contaminants in a river receiving untreated wastewater from an indian urban centre. Sci. Total. Environ. 2019, 647, 1256–1265. [Google Scholar] [CrossRef]
- Karimi-Maleh, H.; Ayati, A.; Davoodi, R.; Tanhaei, B.; Karimi, F.; Malekmohammadi, S.; Orooji, Y.; Fu, L.; Sillanpää, M. Recent advances in using of chitosan-based adsorbents for removal of pharmaceutical contaminants: A review. J. Clean. Prod. 2021, 291, 125880. [Google Scholar] [CrossRef]
- Madikizela, L.M.; Chimuka, L. Occurrence of naproxen, ibuprofen, and diclofenac residues in wastewater and river water of Kwazulu-Natal Province in South Africa. Environ. Monit. Assess. 2017, 189, 348. [Google Scholar] [CrossRef]
- Husk, B.; Sanchez, J.S.; Leduc, R.; Takser, L.; Savary, O.; Cabana, H. Pharmaceuticals and pesticides in rural community drinking waters of Quebec, Canada—A regional study on the susceptibility to source contamination. Water Qual. Res. J. 2019, 54, 88–103. [Google Scholar] [CrossRef]
- Gumbi, B.P.; Moodley, B.; Birungi, G.; Ndungu, P.G. Assessment of nonsteroidal anti-inflammatory drugs by ultrasonic-assisted extraction and GC-MS in Mgeni and Msunduzi River sediments, KwaZulu-Natal, South Africa. Environ. Sci. Pollut. Res. 2017, 24, 20015–20028. [Google Scholar] [CrossRef]
- Awfa, D.; Ateia, M.; Fujii, M.; Johnson, M.S.; Yoshimura, C. Photodegradation of pharmaceuticals and personal care products in water treatment using carbonaceous-TiO2 composites: A critical review of recent literature. Water Res. 2018, 142, 26–45. [Google Scholar] [CrossRef]
- Crini, G.; Lichtfouse, E. Advantages and disadvantages of techniques used for wastewater treatment. Environ. Chem. Lett. 2018, 17, 145–155. [Google Scholar] [CrossRef]
- Garcia-Segura, S.; Brillas, E. Applied photoelectrocatalysis on the degradation of organic pollutants in wastewaters. J. Photochem. Photobiol. C Photochem. Rev. 2017, 31, 1–35. [Google Scholar] [CrossRef]
- Banerjee, S.; Pillai, S.C.; Falaras, P.; O’Shea, K.E.; Byrne, J.A.; Dionysiou, D.D. New insights into the mechanism of visible light photocatalysis. J. Phys. Chem. Lett. 2014, 5, 2543–2554. [Google Scholar] [CrossRef]
- Fujishima, A.; Zhang, X.; Tryk, D. TiO2 photocatalysis and related surface phenomena. Surf. Sci. Rep. 2008, 63, 515–582. [Google Scholar] [CrossRef]
- Lou, Q.; Li, H.; Huang, Q.; Shen, Z.; Li, F.; Du, Q.; Jin, M.; Chen, C. Multifunctional CNT:TiO2 additives in Spiro-OMeTAD layer for highly efficient and stable perovskite solar cells. EcoMat 2021, 3, e12099. [Google Scholar] [CrossRef]
- Wang, H.; Li, H.; Cai, W.; Zhang, P.; Cao, S.; Chen, Z.; Zang, Z. Challenges and strategies relating to device function layers and their integration toward high-performance inorganic perovskite solar cells. Nanoscale 2020, 12, 14369–14404. [Google Scholar] [CrossRef] [PubMed]
- Yang, B.; Wang, M.; Hu, X.; Zhou, T.; Zang, Z. Highly efficient semitransparent CsPbIBr2 Perovskite solar cells via low-temperature processed In2S3 as electron-transport-layer. Nano Energy 2019, 57, 718–727. [Google Scholar] [CrossRef]
- Khedr, T.M.; El-Sheikh, S.M.; Hakki, A.; Ismail, A.A.; Badawy, W.A.; Bahnemann, D.W. Highly active non-metals doped mixed-phase TiO2 for photocatalytic oxidation of ibuprofen under visible light. J. Photochem. Photobiol. A Chem. 2017, 346, 530–540. [Google Scholar] [CrossRef]
- Ramandi, S.; Entezari, M.H.; Ghows, N. Sono-synthesis of solar light responsive S–N–C–Tri doped TiO2 photo-catalyst under optimized conditions for degradation and mineralization of diclofenac. Ultrason. Sonochem. 2017, 38, 234–245. [Google Scholar] [CrossRef]
- Sanchez-Martinez, A.; Ceballos-Sanchez, O.; Koop-Santa, C.; López-Mena, E.R.; Orozco-Guareño, E.; García-Guaderrama, M. N-doped TiO2 nanoparticles obtained by a facile coprecipitation method at low temperature. Ceram. Int. 2018, 44, 5273–5283. [Google Scholar] [CrossRef]
- Nasirian, M.; Lin, Y.P.; Bustillo-Lecompte, C.F.; Mehrvar, M. Enhancement of Photocatalytic activity of titanium dioxide using non-metal doping methods under visible light: A review. Int. J. Environ. Sci. Technol. 2017, 15, 2009–2032. [Google Scholar] [CrossRef]
- Mittal, A.; Mari, B.; Sharma, S.; Kumari, V.; Maken, S.; Kumari, K.; Kumar, N. Non-metal modified TiO2: A step towards visible light photocatalysis. J. Mater. Sci. Mater. Electron. 2019, 30, 3186–3207. [Google Scholar] [CrossRef]
- Islam, S.; Nagpure, S.; Kim, D.; Rankin, S. Synthesis and catalytic applications of non-metal doped mesoporous titania. Inorganics 2017, 5, 15. [Google Scholar] [CrossRef]
- Marques, J.; Gomes, T.D.; Forte, M.A.; Silva, R.F.; Tavares, C.J. A new route for the synthesis of highly-active N-doped TiO2 nanoparticles for visible light photocatalysis using urea as nitrogen precursor. Catal. Today 2019, 326, 36–45. [Google Scholar] [CrossRef]
- Chen, H.; Chen, K.-F.; Lai, S.-W.; Dang, Z.; Peng, Y.-P. Photoelectrochemical oxidation of azo dye and generation of hydrogen via CN co-doped TiO2 nanotube arrays. Sep. Purif. Technol. 2015, 146, 143–153. [Google Scholar] [CrossRef]
- Rengifo-Herrera, J.A.; Mielczarski, E.; Mielczarski, J.; Castillo, N.C.; Kiwi, J.; Pulgarin, C. Escherichia coli inactivation by N, S co-doped commercial TiO2 powders under UV and visible light. Appl. Catal. B Environ. 2008, 84, 448–456. [Google Scholar] [CrossRef]
- Albrbar, A.J.; Djokić, V.; Bjelajac, A.; Kovač, J.; Ćirković, J.; Mitrić, M.; Janaćković, D.; Petrović, R. Visible-Light active mesoporous, nanocrystalline N,S-doped and co-doped titania photocatalysts synthesized by non-hydrolytic sol-gel route. Ceram. Int. 2016, 42, 16718–16728. [Google Scholar] [CrossRef]
- Xiao, Y.; Sun, X.; Li, L.; Chen, J.; Zhao, S.; Jiang, C.; Yang, L.; Cheng, L.; Cao, S. Simultaneous formation of a C/N-TiO2 hollow photocatalyst with efficient photocatalytic performance and recyclability. Chin. J. Catal. 2019, 40, 765–775. [Google Scholar] [CrossRef]
- Zhang, J.; Huang, G.-F.; Li, D.; Zhou, B.-X.; Chang, S.; Pan, A.; Huang, W.-Q. Facile route to fabricate carbon-doped TiO2 nanoparticles and its mechanism of enhanced visible light photocatalytic activity. Appl. Phys. A 2016, 122, 994. [Google Scholar] [CrossRef]
- Qiu, B.; Zhong, C.; Xing, M.; Zhang, J. Facile preparation of C-modified TiO2 supported on MCF for high visible-light-driven photocatalysis. RSC Adv. 2015, 5, 17802–17808. [Google Scholar] [CrossRef]
- Saharudin, K.A.; Sreekantan, S.; Lai, C.W. Fabrication and photocatalysis of nanotubular C-doped TiO2 arrays: Impact of annealing atmosphere on the degradation efficiency of methyl orange. Mater. Sci. Semicond. Process. 2014, 20, 1–6. [Google Scholar] [CrossRef]
- Boningari, T.; Inturi, S.N.R.; Suidan, M.; Smirniotis, P.G. Novel one-step synthesis of nitrogen-doped TiO2 by flame aerosol technique for visible-light photocatalysis: Effect of synthesis parameters and secondary nitrogen (N) source. Chem. Eng. J. 2018, 350, 324–334. [Google Scholar] [CrossRef]
- Bento, R.T.; Correa, O.V.; Pillis, M.F. Photocatalytic activity of undoped and sulfur-doped TiO2 films grown by MOCVD for water treatment under visible light. J. Eur. Ceram. Soc. 2019, 39, 3498–3504. [Google Scholar] [CrossRef]
- Piątkowska, A.; Janus, M.; Szymański, K.; Mozia, S. C-, N- and S-Doped TiO2 photocatalysts: A review. Catalysts 2021, 11, 144. [Google Scholar] [CrossRef]
- Chaudhari, N.K.; Song, M.Y.; Yu, J.-S. Heteroatom-doped highly porous carbon from human urine. Sci. Rep. 2014, 4, 5221. [Google Scholar] [CrossRef]
- Azami, M.S.; Nawawi, W.I.; Shukri, D.S.M. Formation of predominant interstitial N-TiO2 using physical preparation under microwave irradiation for reactive red 4 dye removal. Desalin. Water Treat. 2017, 92, 172–180. [Google Scholar] [CrossRef]
- Zhou, Y.; Liu, Y.; Liu, P.; Zhang, W.; Xing, M.; Zhang, J. A facile approach to further improve the substitution of nitrogen into reduced TiO2− with an enhanced photocatalytic activity. Appl. Catal. B Environ. 2015, 170–171, 66–73. [Google Scholar] [CrossRef]
- Dawson, M.; Soares, G.B.; Ribeiro, C. Influence of calcination parameters on the synthesis of N-doped TiO2 by the polymeric precursors method. J. Solid State Chem. 2014, 215, 211–218. [Google Scholar] [CrossRef]
- Cao, Y.; Xing, Z.; Shen, Y.; Li, Z.; Wu, X.; Yan, X.; Zou, J.; Yang, S.; Zhou, W. Mesoporous black Ti3+ /N-TiO2 spheres for efficient visible-light-driven photocatalytic performance. Chem. Eng. J. 2017, 325, 199–207. [Google Scholar] [CrossRef]
- Shaban, Y.A. Solar light-induced photodegradation of chrysene in seawater in the presence of carbon-modified n-TiO2 nanoparticles. Arab. J. Chem. 2019, 12, 652–663. [Google Scholar] [CrossRef]
- Di Valentin, C.; Pacchioni, G.; Selloni, A. Theory of carbon doping of titanium dioxide. Chem. Mater. 2005, 17, 6656–6665. [Google Scholar] [CrossRef]
- Vorontsov, A.V.; Valdés, H. Insights into the visible light photocatalytic activity of s-doped hydrated TiO2. Int. J. Hydrogen Energy 2019, 44, 17963–17973. [Google Scholar] [CrossRef]
- Bakar, S.A.; Ribeiro, C.A. Comparative run for visible-light-driven photocatalytic activity of anionic and cationic S-doped TiO2 photocatalysts: A case study of possible sulfur doping through chemical protocol. J. Mol. Catal. A Chem. 2016, 421, 1–15. [Google Scholar] [CrossRef]
- Ma, D.; Xin, Y.; Gao, M.; Wu, J. Fabrication and photocatalytic properties of cationic and anionic S-doped TiO2 Nanofibers by electrospinning. Appl. Catal. B Environ. 2014, 147, 49–57. [Google Scholar] [CrossRef]
- Boningari, T.; Inturi, S.N.R.; Suidan, M.; Smirniotis, P.G. Novel one-step synthesis of sulfur doped-TiO2 by flame spray pyrolysis for visible light photocatalytic degradation of acetaldehyde. Chem. Eng. J. 2018, 339, 249–258. [Google Scholar] [CrossRef]
- Ananpattarachai, J.; Seraphin, S.; Kajitvichyanukul, P. Formation of hydroxyl radicals and kinetic study of 2-chlorophenol photocatalytic oxidation using C-doped TiO2, N-doped TiO2, and C,N Co-doped TiO2 under visible light. Environ. Sci. Pollut. Res. 2015, 23, 3884–3896. [Google Scholar] [CrossRef] [PubMed]
- Chung, J.; Chung, J.W.; Kwak, S.-Y. Adsorption-assisted photocatalytic activity of nitrogen and sulfur codoped TiO2 under visible light irradiation. Phys. Chem. Chem. Phys. 2015, 17, 17279–17287. [Google Scholar] [CrossRef] [PubMed]
- Sushma, C.; Kumar, S.G. C–N–S tridoping into TiO2 matrix for photocatalytic applications: Observations, speculations and contradictions in the codoping process. Inorg. Chem. Front. 2017, 4, 1250–1267. [Google Scholar] [CrossRef]
- Kuang, L.; Zhang, W. Enhanced hydrogen production by carbon-doped TiO2 decorated with reduced graphene oxide (RGO) under visible light irradiation. RSC Adv. 2016, 6, 2479–2488. [Google Scholar] [CrossRef]
- Cheng, X.; Yu, X.; Xing, Z.; Yang, L. Synthesis and characterization of N-doped TiO2 and its enhanced visible-light photocatalytic activity. Arab. J. Chem. 2016, 9, S1706–S1711. [Google Scholar] [CrossRef]
- Romanovska, N.I.; Manoryk, P.A.; Selyshchev, O.V.; Ermokhina, N.I.; Yaremov, P.S.; Grebennikov, V.M.; Shcherbakov, S.M.; Zahn, D.R.T. Effect of the modification of TiO2 with thiourea on its photocatalytic activity in doxycycline degradation. Theor. Exp. Chem. 2020, 56, 183–191. [Google Scholar] [CrossRef]
- Ji, L.; Zhou, S.; Liu, X.; Gong, M.; Xu, T. Synthesis of carbon- and nitrogen-doped TiO2/carbon composite fibers by a surface-hydrolyzed PAN fiber and their photocatalytic property. J. Mater. Sci. 2019, 55, 2471–2481. [Google Scholar] [CrossRef]
- Meng, Q.; Liu, B.; Liu, H.; Cai, Y.; Dong, L. Effects of S and Ta codoping on photocatalytic activity of rutile TiO2. J. Sol-Gel Sci. Technol. 2018, 86, 631–639. [Google Scholar] [CrossRef]
- Koltsakidou, A.; Antonopoulou, M.; Εvgenidou, Ε.; Konstantinou, I.; Giannakas, A.E.; Papadaki, M.; Bikiaris, D.; Lambropoulou, D.A. Photocatalytical removal of fluorouracil using TiO2-P25 and N/S doped TIO2 catalysts: A kinetic and mechanistic study. Sci. Total Environ. 2017, 578, 257–267. [Google Scholar] [CrossRef]
- Zhao, W.; Liu, S.; Wang, R.; Du, H. Effect of calcination atmospheres on visible light photocatalytic performance of N-TiO2. Chin. J. Environ. Eng. 2019, 13, 2907–2914. [Google Scholar] [CrossRef]
- Xia, Y.; Jiang, Y.; Li, F.; Xia, M.; Xue, B.; Li, Y. Effect of calcined atmosphere on the photocatalytic activity of P-doped TiO2. Appl. Surf. Sci. 2014, 289, 306–315. [Google Scholar] [CrossRef]
- Hu, M.; Fang, M.; Tang, C.; Yang, T.; Huang, Z.; Liu, Y.; Wu, X.; Min, X. The effects of atmosphere and calcined temperature on photocatalytic activity of TiO2 nanofibers prepared by electrospinning. Nanoscale Res. Lett. 2013, 8, 548. [Google Scholar] [CrossRef]
- Văcăroiu, C.; Enache, M.; Gartner, M.; Popescu, G.; Anastasescu, M.; Brezeanu, A.; Todorova, N.; Giannakopoulou, T.; Trapalis, C.; Dumitru, L. The effect of thermal treatment on antibacterial properties of nanostructured TiO2(N) films illuminated with visible light. World J. Microbiol. Biotechnol. 2008, 25, 27–31. [Google Scholar] [CrossRef]
- Yamada, K.; Yamane, H.; Matsushima, S.; Nakamura, H.; Ohira, K.; Kouya, M.; Kumada, K. Effect of thermal treatment on photocatalytic activity of N-doped TiO2 particles under visible light. Thin Solid Films 2008, 516, 7482–7487. [Google Scholar] [CrossRef]
- Patterson, A.L. The scherrer formula for X-ray particle size determination. Phys. Rev. 1939, 56, 978–982. [Google Scholar] [CrossRef]
- Weibel, A.; Bouchet, R.; Boulc’, F.; Knauth, P. The big problem of small particles: A comparison of methods for determination of particle size in nanocrystalline anatase powders. Chem. Mater. 2005, 17, 2378–2385. [Google Scholar] [CrossRef]
- Makuła, P.; Pacia, M.; Macyk, W. How to correctly determine the band gap energy of modified semiconductor photocatalysts based on UV–Vis spectra. J. Phys. Chem. Lett. 2018, 9, 6814–6817. [Google Scholar] [CrossRef]
- Grabowska, E.; Reszczyńska, J.; Zaleska, A. Retracted: Mechanism of phenol photodegradation in the presence of pure and modified-TiO2: A review. Water Res. 2012, 46, 5453–5471. [Google Scholar] [CrossRef] [PubMed]
- Hanaor, D.A.H.; Sorrell, C.C. Review of the anatase to rutile phase transformation. J. Mater. Sci. 2010, 46, 855–874. [Google Scholar] [CrossRef]
- Czanderna, A.W.; Rao, C.N.R.; Honig, J.M. The anatase-rutile transition. Part 1.—Kinetics of the transformation of pure anatase. Trans. Faraday Soc. 1958, 54, 1069–1073. [Google Scholar] [CrossRef]
- Albetran, H.; Low, I.M. Parameters controlling the crystallization kinetics of nanostructured TiO2—An overview. Mater. Today Proc. 2019, 16, 25–35. [Google Scholar] [CrossRef]
- Albetran, H.; O’Connor, B.H.; Low, I.M. Effect of calcination on band gaps for electrospun titania nanofibers heated in air–argon mixtures. Mater. Des. 2016, 92, 480–485. [Google Scholar] [CrossRef][Green Version]
- Amores, J.M.G.; Escribano, V.S.; Busca, G. Anatase crystal growth and phase transformation to rutile in high-area TiO2, MoO3–TiO2 and other TiO2-supported oxide catalytic systems. J. Mater. Chem. 1995, 5, 1245–1249. [Google Scholar] [CrossRef]
- Ding, X.-Z.; Liu, X.-H. Correlation between anatase-to-rutile transformation and grain growth in nanocrystalline titania powders. J. Mater. Res. 1998, 13, 2556–2559. [Google Scholar] [CrossRef]
- Helmy, E.T.; Nemr, A.E.; Arafa, E.; Eldafrawy, S.; Mousa, M. Photocatalytic degradation of textile dyeing wastewater under visible light irradiation using green synthesized mesoporous non-metal-doped TiO2. Bull. Mater. Sci. 2021, 44, 30. [Google Scholar] [CrossRef]
- Cui, X.; Liu, H.; Zhang, X.; Liu, H. Macroporous-mesoporous C-, S-, N-doped titania microspheres via the PolyHIPE microspheres templates. Chin. Chem. Lett. 2021, 32, 1135–1138. [Google Scholar] [CrossRef]
- Banerjee, S.; Gopal, J.; Muraleedharan, P.; Tyagi, A.K.; Raj, B. Physics and chemistry of photocatalytic titanium dioxide: Visualization of bactericidal activity using atomic force microscopy. Curr. Sci. 2006, 90, 1378–1383. [Google Scholar]
- Zhang, J.; Zhou, P.; Liu, J.; Yu, J. New understanding of the difference of photocatalytic activity among anatase, rutile and brookite TiO2. Phys. Chem. Chem. Phys. 2014, 16, 20382–20386. [Google Scholar] [CrossRef]
- Horti, N.C.; Kamatagi, M.D.; Patil, N.R.; Nataraj, S.K.; Sannaikar, M.S.; Inamdar, S.R. Synthesis and photoluminescence properties of titanium oxide (TiO2) nanoparticles: Effect of calcination temperature. Optik 2019, 194, 163070. [Google Scholar] [CrossRef]
- Loan, T.T.; Huong, V.H.; Huyen, N.T.; Van Quyet, L.; Bang, N.A.; Long, N.N. Anatase to rutile phase transformation of iron-doped titanium dioxide nanoparticles: The role of iron content. Opt. Mater. 2021, 111, 110651. [Google Scholar] [CrossRef]
- Jahdi, M.; Mishra, S.B.; Nxumalo, E.N.; Mhlanga, S.D.; Mishra, A.K. Synergistic effects of sodium fluoride (NaF) on the crystallinity and band gap of fe-doped TiO2 developed via microwave-assisted hydrothermal treatment. Opt. Mater. 2020, 104, 109844. [Google Scholar] [CrossRef]
- Gupta, S.K.; Singh, J.; Anbalagan, K.; Kothari, P.; Bhatia, R.R.; Mishra, P.K.; Manjuladevi, V.; Gupta, R.K.; Akhtar, J. Synthesis, Phase to Phase Deposition and Characterization of Rutile Nanocrystalline Titanium dioxide (TiO2) thin films. Appl. Surf. Sci. 2013, 264, 737–742. [Google Scholar] [CrossRef]
- Pyachin, S.A.; Burkov, A.A.; Makarevich, K.S.; Zaitsev, A.V.; Karpovich, N.F.; Ermakov, M.A. Optical characteristics of particles produced using electroerosion dispersion of titanium in hydrogen peroxide. Tech. Phys. 2016, 61, 1046–1052. [Google Scholar] [CrossRef]
- Suttiponparnit, K.; Jiang, J.; Sahu, M.; Suvachittanont, S.; Charinpanitkul, T.; Biswas, P. Role of surface area, primary particle size, and crystal phase on titanium dioxide nanoparticle dispersion properties. Nanoscale Res. Lett. 2011, 6, 27. [Google Scholar] [CrossRef] [PubMed]
- Park, H.; Yang, D.-J.; Yoo, J.-S.; Mun, K.-S.; Kim, W.-R.; Kim, H.-G.; Choi, W.-Y. Surface passivation of highly ordered TiO2 nanotube arrays and application to dye-sensitized solar cells using the concept of isoelectric point. J. Ceram. Soc. Jpn. 2009, 117, 596–599. [Google Scholar] [CrossRef][Green Version]
- Cheng, P.; Li, W.; Zhou, T.; Jin, Y.; Gu, M. Physical and photocatalytic properties of zinc ferrite doped titania under visible light irradiation. J. Photochem. Photobiol. A Chem. 2004, 168, 97–101. [Google Scholar] [CrossRef]
- Furlong, D.N.; Parfitt, G.D. Electrokinetics of titanium dioxide. J. Colloid Interface Sci. 1978, 65, 548–554. [Google Scholar] [CrossRef]
- Tran, T.H.; Nosaka, A.Y.; Nosaka, Y. Adsorption and photocatalytic decomposition of amino acids in TiO2 photocatalytic systems. J. Phys. Chem. B 2006, 110, 25525–25531. [Google Scholar] [CrossRef]
- Khang, N.C.; Van, D.Q.; Thuy, N.M.; Minh, N.V.; Minh, P.N. Remarkably enhanced photocatalytic activity by sulfur-doped titanium dioxide in nanohybrids with carbon nanotubes. J. Phys. Chem. Solids 2016, 99, 119–123. [Google Scholar] [CrossRef]
- Buda, W.; Czech, B. Preparation and characterization of C,N-Codoped TiO2 photocatalyst for the Degradation of diclofenac from wastewater. Water Sci. Technol. 2013, 68, 1322–1328. [Google Scholar] [CrossRef]









| Photocatalyst | TiO2:N Ratio | Calcination Temperature (°C) | Calcination Atmosphere | Anatase Phase Content (%) | Rutile Phase Content (%) | Anatase Crystallite Size (nm) | Band Gap Energy Eg (eV) | Non-Metal Content (wt%) | Isoelectric Point pH(I) | |||
|---|---|---|---|---|---|---|---|---|---|---|---|---|
| Indirect | Direct | C | N | S | ||||||||
| Crude TiO2 | - | - | - | 100 | 0 | 7 | 3.31 | 3.67 | 0.11 | 0.06 | 2.36 | 6.1 |
| B-9-1-P-500 | 9:1 | 500 | air | 95.8 | 4.2 | 14 | 3.27 | 3.54 | 0.49 | 0.06 | 2.18 | 5.5 |
| B-9-1-P-600 | 9:1 | 600 | air | 96.4 | 3.6 | 23 | 3.26 | 3.51 | 0.11 | 0.05 | 0.77 | 5.5 |
| B-9-1-P-700 | 9:1 | 700 | air | 92.9 | 7.1 | 35 | 3.23 | 3.49 | 0.05 | 0.02 | 0.24 | 5.5 |
| B-9-1-P-800 | 9:1 | 800 | air | 2.7 | 97.3 | - * | 3.01 | 3.19 | 0.08 | 0.02 | 0.06 | 3.6 |
| B-9-1-Ar-500 | 9:1 | 500 | argon | 96.8 | 3.2 | 18 | 3.25 | 3.54 | 0.05 | 0.06 | 0.16 | 6.2 |
| B-9-1-Ar-600 | 9:1 | 600 | argon | 94.6 | 5.4 | 26 | 3.21 | 3.46 | 0.07 | 0.03 | 0.10 | 6.4 |
| B-9-1-Ar-700 | 9:1 | 700 | argon | 39.9 | 60.1 | 44 | 3.02 | 3.24 | 0.03 | 0.00 | 0.05 | 4.5 |
| B-9-1-Ar-800 | 9:1 | 800 | argon | 2.5 | 97.5 | - * | 3.01 | 3.18 | 0.02 | 0.00 | 0.03 | 3.7 |
| B-9.5-0.5-P-600 | 9.5:0.5 | 600 | air | 100 | 0 | 25 | 3.27 | 3.54 | 0.10 | 0.03 | 0.82 | 4.5 |
| B-7-3-P-600 | 7:3 | 600 | air | 95.0 | 5.0 | 27 | 3.23 | 3.49 | 0.14 | 0.13 | 0.42 | 4.6 |
| B-5-5-P-600 | 5:5 | 600 | air | 94.3 | 5.7 | 28 | 3.21 | 3.47 | 0.19 | 0.16 | 0.33 | 5.5 |
| B-9.8-0.2-Ar-600 | 9.8:0.2 | 600 | argon | 97.1 | 2.9 | 21 | 3.27 | 3.54 | 0.06 | 0.01 | 0.86 | 5.0 |
| B-9.7-0.3-Ar-600 | 9.7:0.3 | 600 | argon | 97.1 | 2.9 | 21 | 3.27 | 3.53 | 0.06 | 0.02 | 0.85 | 5.7 |
| B-9.5-0.5-Ar-600 | 9.5:0.5 | 600 | argon | 97.1 | 2.9 | 22 | 3.26 | 3.53 | 0.07 | 0.02 | 0.83 | 5.5 |
| Photocatalyst | kss | R2ss | kvis | R2vis | kUV | R2UV |
|---|---|---|---|---|---|---|
| Crude TiO2 | 0.0291 | 0.981 | 0.0048 | 0.991 | 0.3511 | 0.992 |
| B-9-1-P-600 | 0.0636 | 0.993 | 0.0136 | 0.997 | 0.8715 | 0.994 |
| B-9-1-Ar-600 | 0.0303 | 0.997 | 0.0109 | 0.984 | 0.5725 | 0.999 |
| B-9.5-0.5-Ar-600 | 0.0498 | 0.997 | 0.0106 | 0.993 | 0.6485 | 0.999 |
Publisher’s Note: MDPI stays neutral with regard to jurisdictional claims in published maps and institutional affiliations. |
© 2021 by the authors. Licensee MDPI, Basel, Switzerland. This article is an open access article distributed under the terms and conditions of the Creative Commons Attribution (CC BY) license (https://creativecommons.org/licenses/by/4.0/).
Share and Cite
Piątkowska, A.; Mozia, S. Effect of Calcination Conditions on the Properties and Photoactivity of TiO2 Modified with Biuret. Catalysts 2021, 11, 1546. https://doi.org/10.3390/catal11121546
Piątkowska A, Mozia S. Effect of Calcination Conditions on the Properties and Photoactivity of TiO2 Modified with Biuret. Catalysts. 2021; 11(12):1546. https://doi.org/10.3390/catal11121546
Chicago/Turabian StylePiątkowska, Aleksandra, and Sylwia Mozia. 2021. "Effect of Calcination Conditions on the Properties and Photoactivity of TiO2 Modified with Biuret" Catalysts 11, no. 12: 1546. https://doi.org/10.3390/catal11121546
APA StylePiątkowska, A., & Mozia, S. (2021). Effect of Calcination Conditions on the Properties and Photoactivity of TiO2 Modified with Biuret. Catalysts, 11(12), 1546. https://doi.org/10.3390/catal11121546

