Recent Advances in the Mitigation of the Catalyst Deactivation of CO2 Hydrogenation to Light Olefins
Abstract
:1. Introduction
1.1. General Aspects
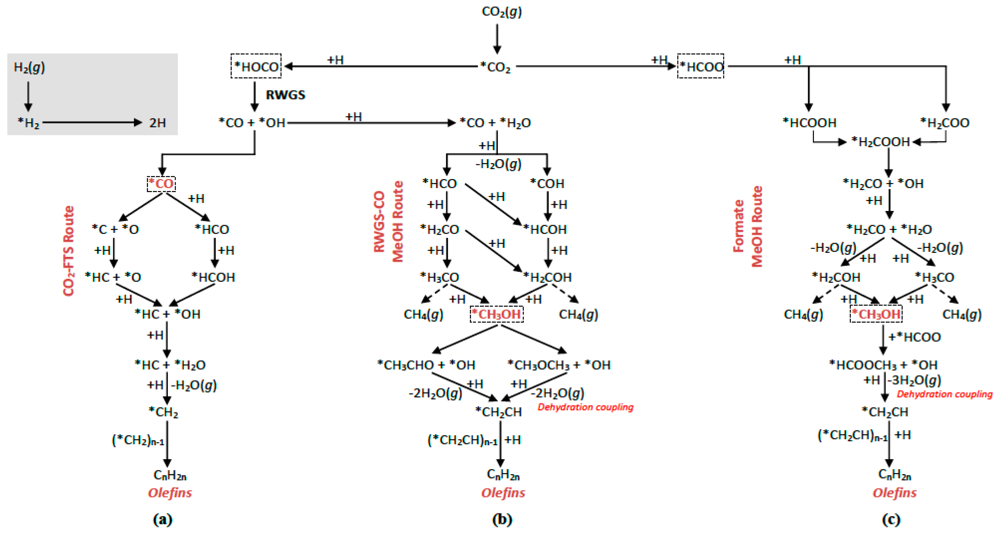
1.2. Mechanistic Insights for CO2 Conversion to Light Olefins
1.3. Catalysts for CO2 Conversion to Light Olefins
1.4. The Main Focus of This Review
2. Causes of Catalyst Deactivation
2.1. Sintering
2.2. Phase Transformations
2.3. Poisoning
2.3.1. Water Poisoning
2.3.2. Carbonaceous Deposits (Coke)
3. Recent Progress on the Mitigation of the Catalyst Deactivation
3.1. Promoter Effect
3.2. Support Effect
3.3. Bifunctional Composite Catalyst Effect
3.4. Structure Effect
4. Conclusions
Author Contributions
Funding
Acknowledgments
Conflicts of Interest
Abbreviations
| FTS | Fisch–Tropsch Synthesis |
| MeOH | methanol |
| RWGS | reverse water–gas shift |
| MTO | MeOH-to-olefins |
| ASF | Anderson–Schulz–Flory |
| CTO | CO2 to olefins |
| XRD | X-ray powder diffraction |
| PFR | plug-flow |
| CSTR | fully back-mixed reactors |
| TPSR | Temperature-programed surface reaction |
| XPS | X-ray photoelectron spectroscopy |
| SEM | scanning electron microscopy |
| TEM | transmission electron microscopy |
| HAADF−STEM | high-angle annular dark-field-scanning transmission electron microscopy |
| O/P ratio | olefins/paraffin ratio |
| NPs | nanoparticles |
| CNT | carbon nanotubes |
| FTY | Fe time yield |
| STY | space–time yields |
| HPCMs | hierarchical porous carbon monoliths |
| LMO | layered metal oxides |
| MOF | metal organic framework |
References
- Zhang, X.; Zhang, A.; Jiang, X.; Zhu, J.; Liu, J.; Li, J.; Zhang, G.; Song, C.; Guo, X. Utilization of CO2 for aro-matics production over ZnO/ZrO2-ZSM-5 tandem catalyst. J. CO2 Util. 2019, 29, 140–145. [Google Scholar] [CrossRef]
- Atmospheric CO2 Levels Defy the Pandemic to Hit Record High. Available online: https://newatlas.com/environment/atmospheric-co2-pandemic-record-concentrations/ (accessed on 15 October 2021).
- Monastersky, R. Global carbon dioxide levels near worrisome milestone. Nature 2013, 497, 13–14. [Google Scholar] [CrossRef] [PubMed] [Green Version]
- Da Silva, I.A.; Mota, C. Conversion of CO2 to light olefins over iron-based catalysts supported on niobium oxide. Front. Energy Res. 2019, 7, 49. [Google Scholar] [CrossRef] [Green Version]
- Keith, D.; Holmes, G.; Angelo, D.S.; Heidel, K. A process for capturing CO2 from the atmosphere. Joule 2018, 2, 1573–1594. [Google Scholar] [CrossRef] [Green Version]
- Centi, G.; Quadrelli, E.A.; Perathoner, S. Catalysis for CO2 conversion: A key technology for rapid introduc-tion of renewable energy in the value chain of chemical industries. Energy Environ. Sci. 2013, 6, 1711. [Google Scholar] [CrossRef]
- Dutta, A.; Farooq, S.; Karimi, I.A.; Khan, S.A. Assessing the potential of CO2 utilization with an integrated framework for producing power and chemicals. J. CO2 Util. 2017, 19, 49–57. [Google Scholar] [CrossRef]
- Ma, Z.; Porosoff, M. Development of tandem catalysts for CO2 hydrogenation to olefins. ACS Catal. 2019, 9, 2639–2656. [Google Scholar] [CrossRef]
- Science Daily. Available online: https://www.sciencedaily.com/releases/2018/11/181108130533.htm (accessed on 15 August 2021).
- Li, W.; Zhang, G.; Jiang, X.; Liu, Y.; Zhu, J.; Ding, F.; Liu, Z.; Guo, X.; Song, C. CO2 hydrogenation on un-promoted and M-promoted Co/TiO2 catalysts (M = Zr, K, Cs): Effects of crystal phase of supports and met-al−support interaction on tuning product distribution. ACS Catal. 2019, 9, 2739–2751. [Google Scholar] [CrossRef]
- Wei, J.; Yao, R.W.; Ge, Q.J.; Wen, Z.Y.; Ji, X.W.; Fang, C.Y.; Zhang, J.X.; Xu, H.Y.; Sun, J. Catalytic hydrogena-tion of CO2 to isoparaffins over Fe-based multifunctional catalysts. ACS Catal. 2018, 8, 9958–9967. [Google Scholar] [CrossRef]
- Wei, J.; Ge, Q.; Yao, R.; Wen, Z.; Fang, C.; Guo, L.; Xu, H.; Sun, J. Directly converting CO2 into a gaso-line fuel. Nat. Commun. 2018, 8, 15174. [Google Scholar] [CrossRef] [Green Version]
- Li, Z.; Wang, J.; Qu, Y.; Liu, H.; Tang, C.; Miao, S.; Feng, Z.; An, H.; Li, C. Highly selective con-version of carbon dioxide to lower olefins. ACS Catal. 2017, 7, 8544–8548. [Google Scholar] [CrossRef]
- Li, Z.L.; Qu, Y.Z.; Wang, J.J.; Liu, H.L.; Li, M.R.; Miao, S.; Li, C. Highly selective conversion of carbon dioxide to aromatics over tandem catalysts. Joule 2019, 3, 570–583. [Google Scholar] [CrossRef] [Green Version]
- Liu, J.H.; Zhang, A.F.; Jiang, X.; Liu, M.; Zhu, J.; Song, C.S.; Guo, X.W. Direct transformation of carbon dioxide to value-added hydrocarbons by physical mixtures of Fe5C2 and K-modified Al2O3. Ind. Eng. Chem. Res. 2018, 57, 9120–9126. [Google Scholar] [CrossRef]
- Xie, C.L.; Chen, C.; Yu, Y.; Su, J.; Li, Y.F.; Somorjai, G.A.; Yang, P.D. Tandem catalysis for CO2 hydrogenation to C2−C4 hydrocarbons. Nano Lett. 2017, 17, 3798−3802. [Google Scholar] [CrossRef] [PubMed] [Green Version]
- Liu, M.; Yi, Y.H.; Wang, L.; Guo, H.C.; Bogaerts, A. Hydrogenation of carbon dioxide to value-added chemi-cals by heterogeneous catalysis and plasma catalysis. Catalysts 2019, 9, 275. [Google Scholar] [CrossRef] [Green Version]
- Dang, S.S.; Gao, P.; Liu, Z.Y.; Chen, X.Q.; Yang, C.G.; Wang, H.; Zhong, L.S.; Li, S.G.; Sun, Y.H. Role of zirconium in direct CO2 hydrogenation to lower olefins on oxide/zeolite bifunctional catalysts. J. Catal. 2018, 364, 382–393. [Google Scholar] [CrossRef]
- Gao, P.; Dang, S.S.; Li, S.G.; Bu, X.N.; Liu, Z.Y.; Qiu, M.H.; Yang, C.G.; Wang, H.; Zhong, L.S.; Han, Y.; et al. Direct production of lower olefins from CO2 conversion via bifunctional catalysis. ACS Catal. 2018, 8, 571–578. [Google Scholar] [CrossRef]
- Saeidi, S.; Najari, S.; Hessel, V.; Wilson, K.; Keil, F.J.; Concepción, P.; Suib, S.L.; Rodrigues, A.E. Recent ad-vances in CO2 hydrogenation to value-added products-Current challenges and future directions. Prog. Energy Combust. Sci. 2021, 85, 100905. [Google Scholar] [CrossRef]
- Gnanamani, M.K.; Jacobs, G.; Hamdeh, H.H.; Shafer, W.D.; Liu, F.; Hopps, S.D.; Thomas, G.A.; Davis, B.H. Hydrogenation of carbon dioxide over Co−Fe bimetallic catalysts. ACS Catal. 2016, 6, 913–927. [Google Scholar] [CrossRef]
- Ren, T.; Patel, M.; Blok, K. Olefins from conventional and heavy feedstocks: Energy use in steam cracking and alternative processes. Energy 2006, 31, 425–451. [Google Scholar] [CrossRef] [Green Version]
- Amghizar, I.; Vandewalle, L.A.; Geem, K.M.V.; Marin, G.B. New trends in olefin production. Engineering 2017, 3, 171–178. [Google Scholar] [CrossRef]
- One, O.; Niziolek, A.M.; Floudas, C.A. Optimal production of light olefins from natural gas via the methanol intermediate. Ind. Eng. Chem. Res. 2016, 5511, 3043–3063. [Google Scholar]
- Li, W.H.; Wang, H.Z.; Jiang, X.; Zhu, J.; Liu, Z.M.; Guo, X.W.; Song, C.S. A short review of recent advances in CO2 hydrogenation to hydrocarbons over heterogeneous catalysts. RCS Adv. 2018, 8, 7651–7669. [Google Scholar] [CrossRef] [Green Version]
- Porosoff, M.; Yan, B.; Chen, J. Catalytic reduction of CO2 by H2 for synthesis of CO, methanol and hydrocarbons: Challenges and opportunities. Energy Environ. Sci. 2016, 9, 62–73. [Google Scholar] [CrossRef]
- Wang, D.; Xie, Z.; Porosoff, M.D.; Chen, J. Recent advances in carbon dioxide hydrogenation to produce ole-fins and aromatics. Chem 2021, 7, 1–35. [Google Scholar] [CrossRef]
- Zhang, C.; Cao, C.; Zhang, Y.; Liu, X.; Xu, J.; Zhu, M.; Tu, W.; Han, Y. Unraveling the role of zinc on bimetal-lic Fe5C2−ZnO catalysts for highly selective carbon dioxide hydrogenation to high carbon α-olefins. ACS Catal. 2021, 11, 2121–2133. [Google Scholar] [CrossRef]
- Wang, X.; Zhang, J.; Chen, J.; Ma, Q.; Fan, S.; Zhao, T.S. Effect of preparation methods on the structure and catalytic performance of Fe–Zn/K catalysts for CO2 hydrogenation to light olefins. Chin. J. Chem. Eng. 2018, 26, 761–767. [Google Scholar] [CrossRef]
- Numpilai, T.; Cheng, C.K.; Limtrakul, J.; Witoon, T. Recent advances in light olefins production from cata-lytic hydrogenation of carbon dioxide. Proc. Saf. Environ. Prot. 2021, 151, 401–427. [Google Scholar] [CrossRef]
- Wei, J.; Sun, J.; Wen, Z.; Fang, C.; Ge, Q.; Xu, H. New insights into the effect of sodium on Fe3O4-based nano-catalysts for CO2 hydrogenation to light olefins. Catal. Sci. Technol. 2016, 6, 4786. [Google Scholar] [CrossRef]
- Wezendonk, T.A.; Sun, X.; Duglan, A.I.; van Hoof, A.J.F.; Hensen, E.J.M.; Kapteijn, F.; Gascon, J. Controlled formation of iron carbides and their performance in Fischer-Tropsch synthesis. J. Catal. 2018, 362, 106–117. [Google Scholar] [CrossRef]
- Chaipraditgul, N.; Numpilai, T.; Cheng, C.K.; Siri-Nguan, N.; Sornchamni, T.; Wattanakit, C.; Limtrakul, J.; Witoon, T. Tuning interaction of surface-adsorbed species over Fe/K-Al2O3 modified with transition metals (Cu, Mn, V, Zn or Co) on light olefins production from CO2 hydrogenation. Fuel 2021, 283, 119248. [Google Scholar] [CrossRef]
- Gnanamani, M.K.; Jacobs, G.; Hamdeh, H.H.; Shafer, W.D.; Liu, F.; Hopps, S.D.; Thomas, G.A.; Davis, B.H. Hydrogenation of carbon dioxide over iron carbide prepared from alkali metal promoted iron oxalate. Appl. Catal. A Gen. 2018, 564, 243–249. [Google Scholar] [CrossRef]
- Guo, L.; Sun, J.; Ge, Q.; Tsubaki, N. Recent advances in direct catalytic hydro-genation of carbon dioxide to valuable C2+ hydrocarbons. J. Mater. Chem. A 2018, 6, 23244–23262. [Google Scholar] [CrossRef]
- Liu, J.; Zhang, A.; Jiang, X.; Zhang, G.; Sun, Y.; Liu, M.; Ding, F.; Song, C.; Guo, X. Overcoating the surface of Fe-based catalyst with ZnO and nitrogen-doped carbon toward high selectivity of light olefins in CO2 Hy-drogenation. Ind. Eng. Chem. Res. 2019, 58, 4017–4023. [Google Scholar] [CrossRef]
- Numpilai, T.; Chanel, N.; Poo-Arporn, Y.; Cheng, C.; Siri-Nguan, N.; Sornchamni, T.; Chareonpanich, M.; Kongkachuichay, P.; Yigit, N.; Rupprechter, G.; et al. Pore size effects on physicochemical properties of Fe-Co/K-Al2O3 catalysts and their catalytic activity in CO2 hydrogenation to light olefins. Appl. Surf. Sci. 2019, 483, 581–592. [Google Scholar] [CrossRef]
- Yang, H.; Zhang, C.; Gao, P.; Wang, H.; Li, X.; Zhong, L.; Wei, W.; Sun, Y. A review of the catalytic hydro-genation of carbon dioxide into value-added hydrocarbons. Catal. Sci. Technol. 2017, 7, 4580. [Google Scholar] [CrossRef]
- Jiao, F.; Li, J.; Pan, X.; Xiao, J.; Li, H.; Ma, H.; Wei, M.; Pan, Y.; Zhou, Z.; Li, M.; et al. Selective conversion of syngas to light olefins. Science 2016, 351, 1065–1068. [Google Scholar] [CrossRef] [PubMed]
- Li, J.; Yu, T.; Miao, D.; Pan, X.; Bao, X. Carbon dioxide hydrogenation to light olefins over ZnO/Y2O3 and SAPO-34 bifunctional catalysts. Catal. Commun. 2019, 129, 105711. [Google Scholar] [CrossRef]
- Liu, X.; Wang, M.; Zhou, C.; Zhou, W.; Cheng, K.; Kang, J.; Zhang, Q.; Deng, W.; Wang, Y. Selective transfor-mation of carbon dioxide into lower olefins with a bifunctional catalyst composed of ZnGa2O4 and SAPO-34. Chem. Commun. 2018, 54, 140–143. [Google Scholar] [CrossRef]
- Dang, S.; Li, S.; Yang, C.; Chen, X.; Li, X.; Zhong, L.; Gao, P.; Sun, Y. Selective transformation of CO2 and H2 into lower olefins over In2O3-ZnZrOx/SAPO-34 bifunctional catalysts. ChemSusChem 2019, 12, 3582–3591. [Google Scholar] [CrossRef]
- Gao, J.; Jia, C.; Liu, B. Direct and selective hydrogenation of CO2 to ethylene and propene by bifunctional catalysts. Catal. Sci. Technol. 2017, 7, 5602–5607. [Google Scholar] [CrossRef]
- Tan, L.; Zhang, P.; Cui, Y.; Suzuki, Y.; Li, H.; Guo, L.; Yang, G.; Tsubaki, N. Direct CO2 hydrogenation to light olefins by suppressing CO by-product formation. Fuel Process. Technol. 2019, 196, 106174–106178. [Google Scholar] [CrossRef]
- Porosoff, M.D.; Kattel, S.; Li, W.; Liu, P.; Chen, J.G. Identifying trends and descriptors for selective CO2 conversion to CO over transition metal carbides. Chem. Commun. 2015, 51, 6988–6991. [Google Scholar] [CrossRef] [PubMed]
- Porosoff, M.D.; Chen, J.G. Trends in the catalytic reduction of CO2 by hydrogen over supported monometal-lic and bimetallic catalysts. J. Catal. 2013, 301, 30–37. [Google Scholar] [CrossRef]
- Butt, J.B.; Petersen, E. Activation, Deactivation and Poisoning of Catalysts; Academic Press: Cambridge, MA, USA, 1988. [Google Scholar]
- Bartholomew, C. Mechanisms of catalyst deactivation. Appl. Catal. A Gen. 2001, 212, 17–60. [Google Scholar] [CrossRef]
- Moulijn, J.A.; van Diepen, A.E.; Kapteijn, F. Catalyst deactivation: Is it predictable? What to do? Appl. Catal. A Gen. 2001, 212, 3–16. [Google Scholar] [CrossRef]
- Price, C.A.H.; Reina, T.R.; Liu, J. Engineering heterogenous catalysts for chemical CO2 utilization: Lessons from thermal catalysis and advantages of yolk@shell structured nanoreactors. J. Energy Chem. 2021, 57, 304–324. [Google Scholar] [CrossRef]
- Kliewer, C.E.; Soled, S.L.; Kiss, G. Morphological transformations during Fischer-Tropsch synthesis on a titania-supported cobalt catalyst. Catal. Today 2019, 323, 233–256. [Google Scholar] [CrossRef]
- Eschemann, T.O.; de Jong, K.P. Deactivation behavior of Co/TiO2 catalysts during Fischer–Tropsch synthesis. ACS Catal. 2015, 5, 3181–3188. [Google Scholar] [CrossRef]
- Sun, J.T.; Metcalfe, I.S.; Sahibzada, M. Deactivation of Cu/ZnO/Al2O3 methanol synthesis catalyst by sintering. Ind. Eng. Chem. Res. 1999, 38, 3868–3872. [Google Scholar] [CrossRef]
- Argyle, M.; Bartholomew, C. Heterogeneous catalyst deactivation and regeneration: A review. Catalysts 2015, 5, 145–269. [Google Scholar] [CrossRef] [Green Version]
- Hansen, T.W.; Delariva, A.T.; Challa, S.R.; Datye, A.K. Sintering of catalytic nanoparticles: Particle migration or Ostwald ripening. Acc. Chem. Res. 2013, 46, 1720–1730. [Google Scholar] [CrossRef] [PubMed]
- Li, W.; Zhang, A.; Jiang, X.; Janik, M.J.; Qiu, J.; Liu, Z.; Guo, X.; Song, C. The anti-sintering catalysts: Fe–Co–Zr polymetallic fibers for CO2 hydrogenation to C2 =–C4 =—Rich hydrocarbons. J. CO2 Util. 2018, 23, 219–225. [Google Scholar] [CrossRef]
- Lee, S.-C.; Kim, J.-S.; Shin, W.C.; Choi, M.-J.; Choung, S.-J. Catalyst deactivation during hydrogenation of carbon dioxide: Effect of catalyst position in the packed bed reactor. J. Mol. Catal. A Chem. 2009, 301, 98–105. [Google Scholar] [CrossRef]
- Riedel, T.; Schulz, H.; Schaub, G.; Jun, K.W.; Hwang, J.S.; Lee, K.W. Fischer–Tropsch on iron with H2-CO and H2-CO2 as synthesis gases: The episodes of formation of the Fischer–Tropsch regime and construction of the catalyst. Top. Catal. 2003, 26, 41–54. [Google Scholar] [CrossRef]
- Wang, W.; Wang, S.P.; Ma, X.B.; Gong, J.L. Recent advances in catalytic hydrogenation of carbon dioxide. Chem. Soc. Rev. 2011, 40, 3703–3727. [Google Scholar] [CrossRef] [Green Version]
- Zhang, Y.; Cao, C.; Zhang, C.; Zhang, Z.; Liu, X.; Yng, Z.; Zhu, M.; Meng, B.; Jing, X.; Han, Y.-F. The study of structure-performance relationship of iron catalyst during a full life cycle for CO2 hydrogenation. J. Catal. 2019, 378, 51–62. [Google Scholar] [CrossRef]
- Fiato, R.A.; Rice, G.W.; Miseo, S.; Soled, S.L. Laser Produced Iron Carbide-Based Catalysts. U.S. Patent 4,687,753, 18 August 1987. [Google Scholar]
- Hegedus, L.L.; McCabe, R.W. Catalyst Poisoning. In Catalyst Deactivation 1980 (Studies in Surface Science and Catalysis); Delmon, B., Froment, G.F., Eds.; Elsevier: Amsterdam, The Netherlands, 1980; Volume 6, pp. 471–505. [Google Scholar]
- Bartholomew, C.H. Mechanisms of nickel catalyst poisoning. In Catalyst Deactivation 1987 (Studies in Surface Science and Catalysis); Delmon, B., Froment, G.F., Eds.; Elsevier: Amsterdam, The Netherlands, 1987; Volume 34, pp. 81–104. [Google Scholar]
- Schühle, P.; Schmidt, M.; Schill, L.; Rilsager, A.; Wasserscheid, P.; Albert, J. Influence of gas impurities on the hydrogenation of CO2 to methanol using indium-based catalysts. Catal. Sci. Technol. 2020, 10, 7309–7322. [Google Scholar] [CrossRef]
- Szailer, T.; Novák, É.; Oszkó, A.; Erdőhelyi, A. Effect of H2S on the hydrogenation of carbon dioxide over supported Rh catalysts. Top. Catal. 2007, 46, 79–86. [Google Scholar] [CrossRef]
- Rytter, E.; Holmen, A. Perspectives on the effect of water in cobalt Fischer–Tropsch synthesis. ACS Catal. 2017, 7, 5321–5328. [Google Scholar] [CrossRef]
- Wu, J.; Luo, S.; Toyir, J.; Saito, M.; Takeuchi, M.; Watanabe, T. Optimization of preparation conditions and improvement of stability of Cu/ZnO-based multicomponent catalysts for methanol synthesis from CO2 and H2. Catal. Today 1998, 45, 215–220. [Google Scholar] [CrossRef]
- Wu, J.; Saito, M.; Takeuchi, M.; Watanabe, T. The stability of Cu/ZnO-based catalysts in methanol synthesis from a CO2-rich feed and from a CO-rich feed. Appl. Catal. A Gen. 2001, 218, 235–240. [Google Scholar] [CrossRef]
- Huber, G.W.; Guymon, C.G.; Conrad, T.L.; Stephenson, B.C.; Bartholomew, C.H. Hydrothermal stability of Co/SiO2 Fischer-Tropsch Synthesis Catalysts. Stud. Surf. Sci. Catal. 2001, 139, 423–429. [Google Scholar]
- Van Steen, E.; Claeys, M.; Dry, M.E.; van de Loosdrecht, J.; Viljoen, E.L.; Visagie, J.L. Stability of nanocrystals: Thermodynamic analysis of oxidation and re-reduction of cobalt in water/hydrogen mixtures. J. Phys. Chem. B 2005, 109, 3575–3577. [Google Scholar] [CrossRef] [PubMed]
- Iglesia, E. Design, synthesis, and use of cobalt-based Fischer-Tropsch synthesis catalysts. Appl. Catal. A Gen. 1997, 161, 59–78. [Google Scholar] [CrossRef]
- Zhang, L.; Chen, K.; Chen, B.; White, J.L.; Resasco, D.E. Factors that determine zeolite stability in hot liquid water. J. Am. Chem. Soc. 2015, 137, 11810–11819. [Google Scholar] [CrossRef]
- Rostrup-Neilson, J.; Trimm, D.L. Mechanisms of carbon formation on nickel-containing catalysts. J. Catal. 1977, 48, 155–165. [Google Scholar] [CrossRef]
- Trimm, D.L. The formation and removal of coke from nickel catalyst. Catal. Rev. Sci. Eng. 1977, 16, 155–189. [Google Scholar] [CrossRef]
- Trimm, D.L. Catalyst design for reduced coking (review). Appl. Catal. 1983, 5, 263–290. [Google Scholar] [CrossRef]
- Bartholomew, C.H. Carbon deposition in steam reforming and methanation. Catal. Rev. Sci. Eng. 1982, 24, 67–112. [Google Scholar] [CrossRef]
- Albright, L.F.; Baker, R.T.K. (Eds.) Coke Formation on Metal Surfaces; ACS Symposium Series; American Chemical Society: Washington, DC, USA, 1982; Volume 202, pp. 1–200. [Google Scholar]
- Menon, P.G. Coke on catalysts-harmful, harmless, invisible and beneficial types. J. Mol. Catal. 1990, 59, 207–220. [Google Scholar] [CrossRef]
- Chen, D.; Moljord, K.; Holmen, A. Methanol to Olefins: Coke Formation and Deactivation. In Deactivation and Regeneration of Zeolite Catalysts; Guisnet, M., Ribeiro, F., Eds.; Imperial College Press: London, UK, 2011; Volume 9, pp. 269–292. [Google Scholar]
- Chen, D.; Rebo, H.P.; Grønvold, A.; Moljord, K.; Holmen, A. Methanol conversion to light olefins over SAPO-34: Kinetic modeling of coke formation. Microporous Mesoporous Mater. 2000, 35−36, 121–135. [Google Scholar] [CrossRef]
- Chen, D.; Moljord, K.; Fuglerud, T.; Holmen, A. The effect of crystal size of SAPO-34 on the selectivity and deactivation of the MTO reaction. Microporous Mesoporous Mater. 1999, 29, 191–203. [Google Scholar] [CrossRef]
- Nishiyama, N.; Kawaguchi, M.; Hirota, Y.; Van Vu, D.; Egashira, Y.; Ueyama, K. Size control of SAPO-34 crystals and their catalyst lifetime in the methanol-to-olefin reaction. Appl. Catal. A Gen. 2009, 362, 193–199. [Google Scholar] [CrossRef]
- Müller, S.; Liu, Y.; Vishnuvarthan, M.; Sun, X.; van Veen, A.C.; Haller, G.L.; Sanchez-Sanchez, M.; Lercher, J.A. Coke formation and deactivation pathways on H-ZSM-5 in the conversion of methanol to olefins. J. Catal. 2015, 325, 48–59. [Google Scholar] [CrossRef]
- Zhou, J.; Gao, M.; Zhang, J.; Liu, W.; Zhang, T.; Li, H.; Xu, Z.; Ye, M.; Liu, Z. Directed transforming of coke to active intermediates in methanol-to-olefins catalyst to boost light olefins selectivity. Nat. Commun. 2021, 12, 17. [Google Scholar] [CrossRef]
- Yang, M.; Tian, P.; Wang, C.; Yuan, Y.; Yang, Y.; Xu, S.; He, Y.; Liu, Z. A top-down approach to prepare sili-coaluminophosphate molecular sieve nanocrystals with improved catalytic activity. Chem. Commun. 2014, 50, 1845–1847. [Google Scholar] [CrossRef]
- Xi, D.; Sun, Q.; Chen, X.; Wang, N.; Yu, J. The recyclable synthesis of hierarchical zeolite SAPO-34 with ex-cellent MTO catalytic performance. Chem. Commun. 2015, 51, 11987–11989. [Google Scholar] [CrossRef]
- Guo, G.; Sun, Q.; Wang, N.; Bai, R.; Yu, J. Cost-effective synthesis of hierarchical SAPO-34 zeolites with abundant intracrystalline mesopores and excellent MTO performance. Chem. Commun. 2018, 54, 3697–3700. [Google Scholar] [CrossRef]
- Jiang, J.; Wen, C.; Tian, Z.; Wang, Y.; Zhai, Y.; Chen, L.; Li, Y.; Liu, Q.; Wang, C.; Ma, L. Manga-nese-promoted Fe3O4 microsphere for efficient conversion of CO2 to light olefins. Ind. Eng. Chem. Res. 2020, 59, 2155–2162. [Google Scholar] [CrossRef]
- Witoon, T.; Chaipraditgul, N.; Numpilai, T.; Lapkeatseree, V.; Ayodele, B.; Cheng, C.; Siri-Nguan, N.; Sorn-chamni, T.; Limtrakul, J. Highly active Fe-Co-Zn/K-Al2O3 catalysts for CO2 hydrogenation to light olefins. Chem. Eng. Sci. 2021, 233, 116428. [Google Scholar] [CrossRef]
- Zhang, Z.; Yin, H.; Yu, G.; He, S.; Kang, J.; Liu, Z.; Cheng, K.; Zhang, Q.; Wang, Y. Selective hydrogenation of CO2 and CO into olefins over sodium- and zinc-promoted iron carbide catalysts. J. Catal. 2021, 395, 350–361. [Google Scholar] [CrossRef]
- Yuan, F.; Zhang, G.; Zhu, J.; Ding, F.; Zhang, A.; Song, C.; Guo, X. Boosting light olefin selectivity in CO2 hy-drogenation by adding Co to Fe catalysts within close proximity. Catal. Today 2021, 371, 142–149. [Google Scholar] [CrossRef]
- Wei, C.; Tu, W.; Jia, L.; Liu, Y.; Lian, H.; Wang, P.; Zhang, Z. The evolutions of carbon and iron species modi-fied by Na and their tuning effect on the hydrogenation of CO2 to olefins. Appl. Surf. Sci. 2020, 525, 146622. [Google Scholar] [CrossRef]
- Malhi, H.S.; Sun, C.; Zhang, Z.; Liu, Y.; Liu, W.; Ren, P.; Tu, W.; Han, Y.-F. Catalytic consequences of the dec-oration of sodium and zinc atoms during CO2 hydrogenation to olefins over iron-based catalyst. Catal. Today 2021, 4. [Google Scholar] [CrossRef]
- Han, Y.; Fang, C.; Ji, X.; Wei, J.; Ge, Q.; Sun, J. Interfacing with carbonaceous potassium promoters boosts catalytic CO2 hydrogenation of iron. ACS Catal. 2020, 10, 12098–12108. [Google Scholar] [CrossRef]
- Liang, B.; Sun, T.; Ma, J.; Duan, H.; Li, L.; Yang, X.; Zhang, Y.; Su, X.; Huang, Y.; Zhang, T. Mn decorated Na/Fe catalysts for CO2 hydrogenation to light olefins. Catal. Sci. Technol. 2019, 9, 456–464. [Google Scholar] [CrossRef]
- Yang, S.; Chun, H.; Lee, S.; Han, S.J.; Lee, K.; Kim, Y.T. Comparative study of olefin production from CO and CO2 Using Na-and K-promoted zinc ferrite. ACS Catal. 2020, 10, 10742–10759. [Google Scholar] [CrossRef]
- Guo, L.; Sun, J.; Ji, X.; Wei, J.; Wen, Z.; Yao, R.; Xu, H.; Ge, Q. Directly converting carbon dioxide to linear α-olefins on bio-promoted catalysts. Commun. Chem. 2018, 1, 11. [Google Scholar] [CrossRef]
- Liang, B.; Duan, H.; Sun, T.; Ma, T.; Liu, X.; Xu, J.; Su, X.; Huang, Y.; Zhang, T. Effect of Na promoter on Fe-based catalyst for CO2 hydrogenation to alkenes. ACS Sustain. Chem. Eng. 2019, 7, 925–932. [Google Scholar] [CrossRef]
- Ramirez, A.; Gevers, L.; Bavykina, A.; Ould-Chikh, S.; Gascon, J. Metal organic framework-derived iron cat-alysts for the direct hydrogenation of CO2 to short chain olefins. ACS Catal. 2018, 8, 9174–9182. [Google Scholar] [CrossRef]
- Zhang, J.; Su, X.; Wang, X.; Ma, Q.; Fan, S.; Zhao, T. Promotion effects of Ce added Fe–Zr–K on CO2 hydro-genation to light olefins. React. Kinet. Mech. Catal. 2018, 124, 575–585. [Google Scholar] [CrossRef]
- Numpilai, T.; Chanlek, N.; Poo-Arporn, Y.; Cheng, C.K.; Siri-Nguan, N.; Sornchamni, T.; Chareonpanich, M.; Kongkachuichay, P.; Yigit, N.; Rupprechter, G.; et al. Tuning interactions of sur-face-adsorbed species over Fe-Co/K-Al2O3 catalyst by different K content: Selective CO2 hydrogenation to light olefins. ChemCatChem 2020, 12, 3306–3320. [Google Scholar] [CrossRef]
- Wang, W.; Jiang, X.; Wang, X.; Song, C. Fe−Cu bimetallic catalysts for selective CO2 hydrogenation to ole-fin-rich C2+ hydrocarbons. Ind. Eng. Chem. Res. 2018, 57, 4535–4542. [Google Scholar] [CrossRef]
- Kim, K.Y.; Lee, H.; Noh, W.Y.; Shin, J.; Han, S.J.; Kim, S.K.; An, K.; Lee, J.S. Cobalt ferrite nanoparticles to form a catalytic Co−Fe alloy carbide phase for selective CO2 hydrogenation to light olefins. ACS Catal. 2020, 10, 8660–8671. [Google Scholar] [CrossRef]
- Boreriboon, N.; Jiang, X.; Song, C.; Prasassarakich, P. Fe-based bimetallic catalysts supported on TiO2 for se-lective CO2 hydrogenation to hydrocarbons. J. CO2 Util. 2018, 25, 330–337. [Google Scholar] [CrossRef]
- Xu, Q.; Xu, X.; Fan, G.; Yang, L.; Li, F. Unveiling the roles of Fe-Co interactions over ternary spinel-type ZnCoxFe2-xO4 catalysts for highly efficient CO2 hydrogenation to produce light olefins. J. Catal. 2021, 400, 355–366. [Google Scholar] [CrossRef]
- Numpilai, T.; Witoon, T.; Chanlek, N.; Limphirat, W.; Bonura, G.; Chareonpanich, M.; Limtrakul, J. Struc-ture–activity relationships of Fe-Co/K-Al2O3 catalysts calcined at different temperatures for CO2 hydro-genation to light olefins. Appl. Catal. A Gen. 2017, 547, 219–229. [Google Scholar] [CrossRef]
- Rodemerck, U.; Holeňa, M.; Wagner, E.; Smejkal, Q.; Barkschat, A.; Baerns, M. Catalyst development for CO2 hydrogenation to fuels. ChemCatChem 2013, 5, 1948–1955. [Google Scholar] [CrossRef]
- Gong, W.; Ye, R.-P.; Ding, J.; Wang, T.; Shi, X.; Russell, C.K.; Tang, J.; Eddings, E.G.; Zhang, Y.; Fan, M. Effect of copper on highly effective Fe-Mn based catalysts during production of light olefins via Fischer-Tropsch process with low CO2 emission. Appl. Catal. 2020, 278, 119302. [Google Scholar] [CrossRef]
- Dai, C.; Zhang, A.; Liu, M.; Song, F.; Song, C.; Guo, X. Facile one-step synthesis of hierarchical porous carbon monoliths as superior supports of Fe-based catalysts for CO2 hydrogenation. RSC Adv. 2016, 6, 10831–10836. [Google Scholar] [CrossRef]
- Hu, S.; Liu, M.; Ding, F.; Song, C.; Zhang, G.; Guo, X. Hydrothermally stable MOFs for CO2 hydrogenation over iron-based catalyst to light olefins. J. CO2 Util. 2016, 15, 89–95. [Google Scholar] [CrossRef]
- Raghav, H.; Siva Kumar Konathala, L.N.; Mishra, N.; Joshi, B.; Goyal, R.; Agrawal, A.; Sarkar, B. Fe-decorated hierarchical molybdenum carbide for direct conversion of CO2 into ethylene: Tailoring activity and stability. J. CO2 Util. 2021, 50, 101607. [Google Scholar] [CrossRef]
- Huang, J.; Jiang, S.; Wang, M.; Wang, X.; Gao, J.; Song, C. Dynamic evolution of Fe and carbon species over different ZrO2 supports during CO prereduction and their effects on CO2 hydrogenation to light olefins. ACS Sustain. Chem. Eng. 2021, 9, 7891–7903. [Google Scholar] [CrossRef]
- Torrente-Murciano, L.; Chapman, R.S.L.; Narvaez-Dinamarca, A.; Mattia, D.; Jones, M.D. Effect of nanostructured ceria as support for the iron catalysed hydrogenation of CO2 into hydrocarbons. Phys. Chem. Chem. Phys. 2016, 18, 15496–15500. [Google Scholar] [CrossRef] [PubMed] [Green Version]
- Gu, H.; Ding, J.; Zhong, Q.; Zeng, Y.; Song, F. Promotion of surface oxygen vacancies on the light olefins synthesis from catalytic CO2 hydrogenation over Fe–K/ZrO2 catalysts. Int. J. Hydrogen Energy 2019, 44, 11808–11816. [Google Scholar] [CrossRef]
- Owen, R.E.; Pluckinski, P.; Mattia, D.; Torrente-Murciano, L.; Ting, V.; Jones, M.D. Effect of support of Co-Na-Mo catalysts on the direct conversion of CO2 to hydrocarbons. J. CO2 Util. 2016, 16, 97–103. [Google Scholar] [CrossRef] [Green Version]
- Wang, P.; Zha, F.; Yao, L.; Chang, Y. Synthesis of light olefins from CO2 hydrogenation over (CuO-ZnO)-kaolin/SAPO-34 molecular sieves. Appl. Clay Sci. 2018, 163, 249–256. [Google Scholar] [CrossRef]
- Wang, S.; Zhang, L.; Zhang, W.; Wang, P.; Qin, Z.; Yan, W.; Dong, M.; Li, J.; Wang, J.; He, L.; et al. Selective conversion of CO2 into propene and butene. Chem 2020, 6, 3344–3363. [Google Scholar] [CrossRef]
- Li, W.; Wang, K.; Zhan, G.; Huang, J.; Li, Q. Design and synthesis of bioinspired ZnZrOx & bio-ZSM-5 inte-grated nanocatalysts to boost CO2 hydrogenation to light olefins. ACS Sustain. Chem. Eng. 2021, 9, 6446–6458. [Google Scholar]
- Wang, S.; Wang, P.; Qin, Z.; Yan, W.; Dong, M.; Li, J.; Wang, J.; Fan, W. Enhancement of light olefin produc-tion in CO2 hydrogenation over In2O3-based oxide and SAPO-34 composite. J. Catal. 2020, 391, 459–470. [Google Scholar] [CrossRef]
- Chen, J.; Wang, X.; Wu, D.; Zhang, J.; Ma, Q.; Gao, X.; Lai, X.; Xia, H.; Fan, S.; Zhao, T. Hydrogenation of CO2 to light olefins on CuZnZr@(Zn-)SAPO-34 catalysts: Strategy for product distribution. Fuel 2019, 239, 44–52. [Google Scholar] [CrossRef]
- Liu, X.; Wang, M.; Yin, H.; Hu, J.; Cheng, K.; Kang, J.; Zhang, Q.; Wang, Y. Tandem catalysis for hydrogena-tion of CO and CO2 to lower olefins with bifunctional catalysts composed of spinel oxide and SAPO-34. ACS Catal. 2020, 10, 8303–8314. [Google Scholar] [CrossRef]
- Tong, M.; Chizema, L.G.; Chang, X.; Hondo, E.; Dai, L.; Zeng, Y.; Zeng, C.; Ahmad, H.; Yang, R.; Lu, P. Tan-dem catalysis over tailored ZnO-ZrO2/MnSAPO-34 composite catalyst for enhanced light olefins selectivity in CO2 hydrogenation. Microporous Mesoporous Mater. 2021, 320, 111105. [Google Scholar] [CrossRef]
- Wang, X.; Wu, D.; Zhang, J.; Gao, X.; Ma, Q.; Fan, S.; Zhao, T. Highly selective conversion of CO2 to light ole-fins via Fischer-Tropsch synthesis over stable layered K–Fe–Ti catalysts. Appl. Catal. A Gen. 2019, 573, 32–40. [Google Scholar] [CrossRef]
- Elishav, O.; Shener, Y.; Beilin, V.; Langau, M.V.; Herskowitz, M.; Shter, G.E.; Grader, G.S. Electrospun Fe−Al−O nanobelts for selective CO2 hydrogenation to light olefins. ACS Appl. Mater. Interfaces 2020, 12, 24855–24867. [Google Scholar] [CrossRef] [PubMed]
- Chen, H.; Liu, P.; Li, J.; Wang, Y.; She, C.; Liu, J.; Zhang, L.; Yang, Q.; Zhou, S.; Feng, X. MgH2/CuxO hydrogen storage composite with defect-rich surfaces for carbon dioxide hydrogenation. ACS Appl. Mater. Interfaces 2019, 11, 31009–31017. [Google Scholar] [CrossRef] [PubMed]
- Tian, H.; Yao, J.; Zha, F.; Yao, L.; Chang, Y. Catalytic activity of SAPO-34 molecular sieves prepared by using palygorskite in the synthesis of light olefins via CO2 hydrogenation. Appl. Clay Sci. 2020, 184, 105392. [Google Scholar] [CrossRef]
- Wu, T.; Lin, J.; Cheng, Y.; Tian, J.; Wang, S.; Xie, S.; Pei, Y.; Yan, S.; Qiao, M.; Xu, H.; et al. Porous gra-phene-confined Fe−K as highly efficient catalyst for CO2 direct hydrogenation to light olefins. ACS Appl. Mater. Interfaces 2018, 10, 23439–23443. [Google Scholar] [CrossRef]
- Chen, H.; Liu, J.; Liu, P.; Wang, Y.; Xiao, H.; Yang, Q.; Feng, X.; Zhou, S. Carbon-confined magnesium hydride nano-lamellae for catalytic hydrogenation of carbon dioxide to lower olefins. J. Catal. 2019, 379, 121–128. [Google Scholar] [CrossRef]
- Fujiwara, M.; Satake, T.; Shiokawa, K.; Sakurai, H. CO2 hydrogenation for C2+ hydrocarbon synthesis over composite catalyst using surface modified HB zeolite. Appl. Catal. B Environ. 2015, 179, 37–43. [Google Scholar] [CrossRef]
- Tan, L.; Wang, F.; Zhang, P.P.; Suzuki, Y.; Wu, Y.; Chen, J.; Yang, G.; Tsubaki, N. Design of a core–shell catalyst: An effective strategy for suppressing side reactions in syngas for direct selective conversion to light olefins. Chem. Sci. 2020, 11, 4097–4105. [Google Scholar] [CrossRef] [PubMed] [Green Version]
































| Catalyst | CO2 Conv., % | Selectivity, % | Yield, % C2–C4= | O/P Ratio | Stability | Ref. | |||
|---|---|---|---|---|---|---|---|---|---|
| CO | CH4. | C2–C4 | C2–C40 | ||||||
| 10Mn-Fe3O4 | 44.7 | 9.4 | 22.0 | 46.2 | 7.1 | 18.7 | 6.5 | 24 h | [88] |
| 0.58% Zn-Fe-Co/K-Al2O3 | 57.8 | 8.8 | 6.2 | 63.2 | 21.8 | 19.9 | 2.9 | 50 h | [89] |
| Na-Zn-Fe | 38.0 | 15.0 | 13.0 | 42.0 | 4.9 | 16.0 | 8.5 | 100 h | [90] |
| Na-CoFe2O4 | 41.8 | 10.0 | ~18.0 | 37.2 | ~7.0 | 15.5 | ~5.3 | 100 h | [91] |
| Fe-Co/K-Al2O3 | 40.0 | 12.2 | 24.8 | 46.1 | 7.9 | 16.2 | 5.9 | 6 h | [33] |
| 0.5%Na-Fe5C2 | 35.3 | 13.2 | 31.8 | 57.0 | 10.1 | 20.1 | 5.7 | 10 h | [92] |
| Fe-Zn-2Na | 43.0 | 15.7 | 22.8 | 54.1 | 7.4 | 23.2 | 7.3 | 10 h | [93] |
| Fe/C-KHCO3 | 33.0 | 20.8 | 12.7 | 59.8 a | 27.3 | 9.0 | 2.2 | 100 h | [94] |
| 5Mn-Na/Fe | 38.6 | 11.7 | 11.8 | 30.2 | 4.0 | 11.7 | 11.0 | 10 h | [95] |
| FeNa(1.18) | 40.5 | 13.5 | 15.8 | 46.6 | 7.5 | 15.7 | 6.2 | 60 h | [31] |
| Na/Fe-Zn | 30.6 | n/a | 13.0 | 26.8 | 3.9 | 8.4 | 6.9 | 200 h | [96] |
| Fe/C-Bio | 31.0 | 23.2 | 11.8 | 21.7 | 24.4 | 6.7 | 0.9 | 6 h | [97] |
| 5%Na/Fe3O4 | 36.8 | ~11.0 | ~5.0 | 64.3 | ~13.0 | 23.7 | ~4.9 | 10 h | [98] |
| Fe/C+K(0.75) | 40.0 | ~16.0 | ~22.0 | ~39.0 | ~12.0 | ~15.6 | ~3.3 | 50 h | [99] |
| 35Fe-7Zr-1Ce-K | 57.3 | 3.05 | 20.6 | 55.6 | 7.9 | 31.8 | 7.1 | 84 h | [100] |
| Fe-Mn/K-Al2O3 | 29.4 | 20.2 | 18.7 | 48.7 | 6.5 | 14.3 | 7.4 | >6 h | [101] |
| Fe-Cu(0.17)/K(1.0) | 29.3 | 17.0 | 7.0 | 63.8 | 12.2 | 19.1 | 5.2 | 50 h | [102] |
| Na-CoFe2O4/CNT | 34.4 | 19.0 | ~5.0 | 38.8 | 18.0 | 13.3 | 12.9 | >24 h | [103] |
| Fe-Co-K(0.3)/TiO2 | 21.2 | 54.0 | 9.0 | 37.0 b | n/a | n/a | 4.1 | 18 h | [104] |
| Fe2Zn1 | 35.0 | ~15.0 | ~20.0 | 57.8 c | 7.2 | 20.2 | 8.0 | 200 h | [28] |
| ZnCo0.5Fe1.5O4 | 49.6 | ~7.5 | ~17.5 | 36.1 | ~10.0 | 17.9 | ~3.6 | 80 h | [105] |
| Catalyst | CO2 Conv., % | Selectivity, % | Yield, % C2–C4= | O/P Ratio | Stability | Ref. | |||
|---|---|---|---|---|---|---|---|---|---|
| CO | CH4 | C2–C4= | C2–C40 | ||||||
| Fe-K/HPCMs-1 | 33.4 | 38.9 | 13.5 | 18.0 | 11.5 | 6.0 | 1.6 | 35 h | [109] |
| ZIF-8(a)/Fe2O3 | ~24.0 | ~24.0 | ~21.0 | ~20.0 | ~24.0 | ~4.8 | 0.83 | n/a | [110] |
| Fe(0.5)-Mo2Cc | 9.8 | 0.5 | 2.1 | 92.0 | 3.5 | 9.0 | 26.3 | 2 h | [111] |
| K-Zr-Co/aTiO2 | 70.0 | n/a | n/a | 17.0 | n/a | 11.9 | n/a | 8h | [10] |
| Fe-Cr-K/Nb2O5 | 31.0 | 57.0 | 32.0 | 10.0 | 1.0 | 3.1 | 3.1 | n/a | [4] |
| 15Fe-K/m-ZrO2 | 38.8 | 19.9 | 30.1 | 42.8 | 12.8 | 16.6 | 3.3 | 12 h | [112] |
| 20%Fe/CeO2-NC | 18.9 | 73.5 | 75.5 | 18.2 | 4.0 | 3.4 | 4.1 | n/a | [113] |
| 10Fe-1K/m-ZrO2 | 40.5 | n/a | n/a | 15.0 | n/a | 6.1 | n/a | 100 h | [114] |
| Fe5C2-10K/a-Al2O3 | 40.9 | n/a | n/a | 73.5 | n/a | 30.1 | n/a | 100 h | [15] |
| Co-Na-Mo/CeO2 | 15.1 | 70.2 | 22.1 | 10.7 | 36.0 | 1.6 | 0.03 | n/a | [115] |
| Catalyst | CO2 Conv., % | Selectivity, % | Yield, % C2–C4= | O/P Ratio | Stability | Ref. | |||
|---|---|---|---|---|---|---|---|---|---|
| CO | CH4 | C2–C4= | C2–C40 | ||||||
| CuO-ZnO & SAPO-34 | 41.3 | 9.3 | 11.8 | 63.4 | 15.5 | 26.2 | 4.1 | 13 h | [116] |
| (CuO-ZnO)-kaolin & SAPO-34 | 57.6 | 9.6 | 11.4 | 63.8 | 15.2 | 36.7 | 4.2 | 20 h | [116] |
| In2O3/ZrO2 & SAPO | 19.0 | 87.0 | ~17.0 | 90.0 a | n/a | 17.1 | n/a | >50 h | [43] |
| In2O3/ZrO2 & SAPO | ~14.0 | <5.0 | <5.0 | 70.0 | n/a | 9.8 | n/a | >100 h | [44] |
| In−Zr/SAPO-34 | 26.7 | n/a | 4.3 | 76.4 a | ~14.0 a | 20.4 | 5.5 | >150 h | [19] |
| Zn0.5Ce0.2Zr1.8O4 & H-RUB-13 (200) | 10.7 | 28.3 | 2.9 | 83.4 | 5.4 | 8.9 | 15.4 | >30 h | [117] |
| ZnZrOx & bio-ZSM-Si | 10.0 | ~80.0 | 5.5 | 64.4 | 30.1 | 6.4 | 2.1 | 60 h | [118] |
| InCrOx(0.13) & SAPO | 33.6 | 55.0 | 35.0 | 75.0 a | 20.0 a | 11.3 | 3.8 | >120 h | [119] |
| ZnZrO & SAPO-34 | 12.6 | 47.0 | 3.0 | 80.0 a | 14.0 a | 10.1 | 5.7 | >100 h | [14] |
| CZZ@Zn & SAPO-34 | ~7.0 | n/a | ~18.0 | 72.0 | 8.0 | 1.3 | 8.6 | >120 h | [120] |
| In2O3-ZnZrOx & SAPO-34-S-a | 17.0 | 55.8 | 1.6 | 85.0 a | 11.1 a | 14.5 | 7.7 | >90 h | [42] |
| In2O3-ZnZrOx & SAPO-34-H-a | 17.0 | 53.4 | 1.2 | 84.5 a | 11.0 a | 14.4 | 7.7 | >90 h | [42] |
| ZnAl2O4 & SAPO-34 | 15.0 | 49.0 | 0.7 | 87.0 a | 10.0 a | 13.1 | 8.7 | 10 h | [121] |
| ZnGa2O4 & SAPO-34 | 13.0 | 46.0 | 1.0 | 86.0 a | 11.0 a | 11.2 | 7.8 | 10 h | [121] |
| ZnO-ZrO2 & Mn0.1SAPO-34 | 24.4 | 42.2 | 3.7 | 61.7 | 33.6 | 15.1 | 1.8 | 10 h | [122] |
| In-Zr (4:1) & SAPO-34 | 26.2 | 63.9 | 2.0 | 74.5 a | 21.5 a | 19.5 | 3.5 | >140 h | [18] |
| Catalyst | CO2 Conv., % | Selectivity, % | Yield, % C2–C4= | O/P Ratio | Stability | Ref. | |||
|---|---|---|---|---|---|---|---|---|---|
| CO | CH4 | C2–C4= | C2–C40 | ||||||
| 0.8K-2.4Fe-1.3Ti | 35.0 | 36.3 | 22.0 | 60.0 | 8.0 | 21.0 | 7.5 | 200 h | [123] |
| Fe@NC-400 | 29.0 | 17.5 | 27.0 | 21.0 | 12.0 | 6.1 | 1.7 | >15 h | [36] |
| K/Fe-Al-O Spinel E.1 nanobelts | 48.0 | 16.0 | 10.0 | 52.0 | 5.0 | 24.0 | 3.1 | 120 h | [124] |
| MgH2/CuxO | 20.7 | n/a | 40.0 | 54.8 | 7.0 | 11.3 | 7.8 | 210 h | [125] |
| CZA/SAPO-34 | 50.0 | 3.0 | 10.0 | 62.0 | 25.0 | 33.0 | 2.5 | 12 h | [126] |
| FeK1.5/HSG | 50 | 39 | 31 | 56 | 9.9 | 28 | 5.7 | >120 h | [127] |
| Carbon-confined MgH2 nano-lamellae | 10.5 | 27.6 | 17.5 | 50.9 | 4.0 | 5.3 | 12.7 | >2 h | [128] |
| Fe-Co/K-(CM-Al2O3) | 41.0 | 12.4 | 33.7 | 41.1 | 6.4 | 14.4 | 6.4 | 50 h | [37] |
| ZnO-Y2O3 & SAPO-34 | 27.6 | 85.0 | 1.8 | 83.9 a | 12.9 a | 23.2 | 6.5 | n/a | [40] |
| Cu-Zn-Al (6:3:1) oxide & HB zeolite | 27.6 | 53.4 | 0.7 | 45.5 b | n/a | 12.6 b | n/a | 9 h | [129] |
Publisher’s Note: MDPI stays neutral with regard to jurisdictional claims in published maps and institutional affiliations. |
© 2021 by the authors. Licensee MDPI, Basel, Switzerland. This article is an open access article distributed under the terms and conditions of the Creative Commons Attribution (CC BY) license (https://creativecommons.org/licenses/by/4.0/).
Share and Cite
Weber, D.; He, T.; Wong, M.; Moon, C.; Zhang, A.; Foley, N.; Ramer, N.J.; Zhang, C. Recent Advances in the Mitigation of the Catalyst Deactivation of CO2 Hydrogenation to Light Olefins. Catalysts 2021, 11, 1447. https://doi.org/10.3390/catal11121447
Weber D, He T, Wong M, Moon C, Zhang A, Foley N, Ramer NJ, Zhang C. Recent Advances in the Mitigation of the Catalyst Deactivation of CO2 Hydrogenation to Light Olefins. Catalysts. 2021; 11(12):1447. https://doi.org/10.3390/catal11121447
Chicago/Turabian StyleWeber, Daniel, Tina He, Matthew Wong, Christian Moon, Axel Zhang, Nicole Foley, Nicholas J. Ramer, and Cheng Zhang. 2021. "Recent Advances in the Mitigation of the Catalyst Deactivation of CO2 Hydrogenation to Light Olefins" Catalysts 11, no. 12: 1447. https://doi.org/10.3390/catal11121447
APA StyleWeber, D., He, T., Wong, M., Moon, C., Zhang, A., Foley, N., Ramer, N. J., & Zhang, C. (2021). Recent Advances in the Mitigation of the Catalyst Deactivation of CO2 Hydrogenation to Light Olefins. Catalysts, 11(12), 1447. https://doi.org/10.3390/catal11121447

