Next Article in Journal
Integrative Structural and Computational Biology of Phytases for the Animal Feed Industry
Previous Article in Journal
Editorial Catalysts: Special Issue on “Microwave-Assisted Catalysis”
 
 
Font Type:
Arial Georgia Verdana
Font Size:
Aa Aa Aa
Line Spacing:
Column Width:
Background:
Review

Hydrothermal Treatment of Vegetable Oils and Fats Aiming at Yielding Hydrocarbons: A Review

by
Carolina Zanon Costa
,
Eduardo Falabella Sousa-Aguiar
,
Maria Antonieta Peixoto Gimenes Couto
and
José Faustino Souza de Carvalho Filho
*
Escola de Química, Universidade federal do Rio de janeiro, Rio de Janeiro 21941-909, Brazil
*
Author to whom correspondence should be addressed.
Catalysts 2020, 10(8), 843; https://doi.org/10.3390/catal10080843
Submission received: 7 July 2020 / Revised: 17 July 2020 / Accepted: 17 July 2020 / Published: 26 July 2020
(This article belongs to the Section Biomass Catalysis)

Abstract

According to the International Air Transport Agency (IATA), the aviation industry causes 2% of GHG emissions. As a result, goals such as improving aircraft efficiency by 1.5% per year and achieving carbon-neutral growth by 2020 were established. In this circumstance, fuels produced from biomass seem to be a promising route. There are many routes available to convert biomass into renewable fuels such as pyrolysis, hydroprocessing, transesterification, hydrothermal processes, and steam reforming. In this study, one reports a review of hydrothermal technologies. This review reports recent information about hydrothermal processes using water in sub- and supercritical states. This article introduces some concepts of the hydrothermal processes, advantages, and different types of feedstock adopted. The parameters which have an influence on hydrothermal processes such as temperature, pressure, particle size, catalyst, biomass/water ratio, and reaction time are illuminated. Water characteristics in sub- and supercritical conditions are discussed as a highly reactive medium to increase the affinity for the extraction of value-added compounds. Additionally, this review splits and details the reaction schemes that take place under hydrothermal conditions. Finally, it introduces recent research and development (R&D) trends in the hydrothermal process of fatty acids and triglycerides.

Graphical Abstract

1. Introduction

Biofuels are becoming fundamental fuels nowadays, due to environmental regulations. Several techniques may be used to produce biofuels. Among the main biofuel production techniques, there are pyrolysis, catalytic hydroprocessing, transesterification, catalytic cracking, and gasification combined and processed with the Fischer-Tropsch synthesis (Figure 1) [1]. In fact, techniques such as catalytic hydroprocessing and pyrolysis have a high energy expenditure. Moreover, as far as hydroprocessing is concerned, the presence of hydrogen as a reactant is necessary. However, hydrogen is currently produced via steam reforming of either naphtha or natural gas, with the formation of syngas (CO + H2), and it is a process in which CO is a co-product. To eliminate CO, CO reacts with excess steam, via the water-gas shift reaction (WGS), and gas is obtained containing essentially H2 and CO2. Furthermore, in some cases, biomass pretreatment has to be carried out, thereby increasing the CAPEX of the process.
Hence, much research has been performed aiming at developing a new route to generate biofuels. This route ought to avoid biomass pretreatment and reduce energy consumption. Hydrothermal technologies seem to be quite promising to meet such demands.
Hydrothermal technology is an example of successful development for the production of biofuel that could replace catalytic hydroprocessing. The hydrothermal technology offers numerous advantages over other green fuel production methods: high energy and high efficiency in the separation of products; facility to use simultaneously different raw materials; and the possibility of processing wet raw materials, the production of drop-in fuels, and the combination with other techniques that produce biofuels [5].
According to what has been exposed, the objective of this manuscript is to submit a review of hydrothermal technologies. Furthermore, a complete literature review is presented with studies related to the conversion of vegetable oils and fatty acids to renewable hydrocarbons. Until now, no review has been published with a focus on hydrothermal studies for vegetable oils and fatty acids displaying main parameters and experimental results. This article collects all information about the hydrothermal process of triglycerides and fatty acids, thereby helping future research in this subject. Furthermore, it must be borne in mind that, although other reviews have been published regarding the aforementioned topic, they do not present the level of detail required to support future research in the area.
There are seven sections in this manuscript. In Section 1, hydrothermal technology is introduced. In Section 2, we introduce the context of the hydrothermal process; the advantages present in it over the other methods such as catalytic hydroprocessing, pyrolysis, and Fischer-Tropsch; and the two regions where hydrothermal technology occurs—subcritical and supercritical. We discuss the regions in the subcritical and supercritical states that occur in hydrothermal technology and that are determined by the severity (temperature and pressure) of the conditions employed during their process. Finally, we elucidate the characteristics and the importance of water under sub- and supercritical conditions. In Section 3, we present the reactions that occur under sub- and supercritical states. In Section 4, we introduce and explain important parameters in the hydrothermal process. In Section 5, we comment on the main feedstock used in hydrothermal technology. All discussions about hydrothermal technology in Section 1, Section 2, Section 3, Section 4 and Section 5 were interpreted while taking into account previously published literature reviews. Finally, a complete literature review is presented, along with an assessment of articles regarding the transformation of vegetable oils and fatty acids to renewable hydrocarbons. Moreover, general trends and challenges for hydrothermal experiments using vegetable oils and fatty acids are discussed in Section 6.

2. Hydrothermal Technologies

Hydrothermal technologies are generally defined as a process that provides chemical and physical transformations through the application of high temperature (473–874 K) and high pressure (5–40 MPa) to water near its supercritical state. The main objective of the hydrothermal process is to convert different types of feedstock into liquid renewable fuels, fuel gas, or other valuable chemical products. Furthermore, it offers innumerable advantages over other methods of producing biofuels. In this context, Table 1 presents the advantages of the hydrothermal process [5,6].
Another advantage of the hydrothermal process is the presence of efficient heat integration. If the reactions occur at temperatures above 250 °C, an aqueous phase is produced. The residual carbon compounds present inside this aqueous phase can be used for the production of biogas. For this, however, the aqueous phase must undergo anaerobic digestion. This biogas can later be directed to the generation of heat and energy, which reduces the energy expenditure of the technology and leads to the concept of integrated biorefinery [6].
The hydrothermal processing has two states: the subcritical and the supercritical states. These regions are defined regarding the water critical point (Tc = 646 K, pc = 22.1 MPa). When the hydrothermal technology occurs below 646 K and 22.1 MPa, the reaction occurs in the subcritical region. When the temperature and pressure are higher than 646 K and 22.1 MPa, the process happens in the supercritical region. Fundamentally, the feedstock becomes soluble into the water at 473 K, and then above 473 K, the hydrolysis of the raw material occurs. Afterward, according to the interested product, the process proceeds in the direction of liquefaction or gasification [7].
The hydrothermal process performed close and over the water critical point (647 K, 22 MPa) is attractive for the transformation of biomass because of three main explanations [5]:
  • It allows the use of feedstock with high humidity. There is no necessity to have a pretreatment for the thermal separation of water, so there is no loss of the biomass energy content.
  • There is flexibility of chemical substances. For example, the lignocellulosic feedstock contains fatty acids or protein that can be converted into different products, such as methane, hydrogen, crude oil, renewable diesel, and biogasoline, among others.
  • It allows for improvements in reaction rates and efficient separations. Operation under supercritical or hydrothermal conditions reduces and eliminates resistance to mass transfer. In addition, it improves selectivity for more desirable energy products. The facility to separate products and by-product streams is related to significant modifications in the physical properties of water that happen with changes in the parameters of temperature and pressure, thereby reducing the necessity of the consumption of energy to purify products.
Although the techniques in the sub/supercritical water environment have wide applicability and are mostly advantageous, there are still bottlenecks in this methodology that require process optimization. Part of this is because of the necessity of elevated pressures for the processing, which requires reactor and separator designs with high capital investments, principally for full-scale plants. Besides, there are still several other critical topics hindering commercialization that have to be resolved so that the technologies can be piloted and ultimately scaled up. These include corrosion in the subcritical water environment and can be localized, general, intercrystalline, and stress. Acidic and oxidizing environments can cause corrosion, and this may be even more severe under subcritical medium than under supercritical state, because of the polarity of the water molecule. Because of this, the most used material for subcritical reactions is a metal alloy of nickel and titanium (even with limited mechanical strength). Other disadvantages that need resolution are the formation of coke and oil tar, the clogging of the reactor, and its obstruction caused by the precipitation of organic salts combined with coke [8,9].

2.1. Hydrothermal Regions in Sub- and Supercritical Water

Several distinct regions divide the hydrothermal process at the subcritical and supercritical states, depending on the severity of the conditions employed during its processing. When subjected to an environment of low severity (323–393 K), rapid hydrolysis is achieved without profound changes in molecular structure. This process is commonly used in the treatment of lignocellulose for the production of bioethanol [5,7].
When the raw material is treated from 393 to 523 K for a long period, the process corresponds to hydrothermal carbonization with the production of a carbon/coke rich in carbon, and with properties similar to low-class coal [10].
When the hydrothermal reactions occur at a temperature close to the supercritical water (523–647 K and <220 bar), the water becomes highly compressible and the processed raw material undergoes several chemical transformations producing a liquid substance with chemical characteristics completely diverse from the initial ones [7]. By increasing the temperature of subcritical conditions to a value considered supercritical at pressures above the critical point, it is possible to control the hydrolysis rate, phase change, and solubility of the components and convert biomass in liquid or gaseous fuels [5]. In addition, the changeover to the hydrothermal gasification can also be carried out by modifying the temperature. It will take advantage of the lower quantity of organic carbon found in the aqueous phase, which leads to high carbon efficiency [10].
Finally, when carrying out the process at temperatures above 647 K (in supercritical water), gasification reactions dominate the process. This methodology is hydrothermal gasification, resulting in the production of synthetic fuel gas [10]. All hydrothermal regions in the sub- and supercritical states are depicted in Figure 2.

2.2. Water in Sub- and Supercritical States

The main reactive medium of hydrothermal technologies is water. At 298 K, water is inert to most organic reactions. When the temperature increases and approaches the region near 646 K and 22.1 MPa, its chemical characteristics such as density, ionic product, viscosity, and dielectric constant change rapidly (Table 2). This allows the water to act both as a catalyst and as a reactant. As a result, for most homogeneous organic reactions in the supercritical state, the water becomes an excellent solvent due to the elevated miscibility and absence of any phase limits. As a matter of fact, in regions near the supercritical point, water reacts as a solvent with a “nonpolar” characteristic, although it continues with a dipolar moment of 1.85 D (characteristic of polar molecules) [5,8].
In addition, water will have intermediate comportment of a gas and a liquid and will act through the two phases via a free radical mechanism. Initially, free radicals are induced, so that their reactions occur. Thus, the formation of hydronium ions at high temperature and pressure is responsible for the generation of alkyl radicals and the heterocyclic compounds may undergo ring-opening. Moreover, it will be responsible for the decarboxylation, decarbonylation, and hydrolysis reactions of biomass [5,6].
Another aspect that influences the performance of water as a nonpolar compound is the value of dielectric constant. At 298 K, water has a dielectric constant of about 80 F/m. However, as the water gets closer to the critical point (646 K), the dielectric constant decreases, reaching 5 F/m. Such behavior is similar to that of a nonpolar solvent, which makes it a suitable medium for the solvation of the organic molecules. Hence, it will provide higher reaction rates as a result of improved nucleophilic eliminations and substitutions and then hydrolysis reactions. Consequently, it is possible to observe that there is an increase in its miscibility with the organic compounds, providing reactions in a single phase. This is generally due to the decrease of the hydrogen bonds of the water molecule with increasing temperature [6,8,11]. Table 3 shows the chemical characteristics of water in a subcritical and supercritical state and the properties of some nonpolar solvents.
The same occurs with the viscosity of the water. The increase in temperature tends to decrease it, resulting in a higher coefficient of diffusion and mass transfer. This water-gas behavior (when performed above the critical point), combined with the molecular rearrangement of the water, facilitates the dissolution of the non-polar chemicals and ionic bonding substances, which consequently decreases the mass transfer restriction [6,8,11].
Another modification present in water is the decrease of its ionic product, because of dissociation and the generation of ions (hydroxide and hydronium). As an example, at 523 K, the ionic product of water reduces from 14 to 11 [7]. This occurs because supercritical water has high concentrations of hydronium ions and hydroxyls. Consequently, it enables its action as an acidic or basic catalyst in the reactions. An example is organic chemicals that cannot react in water without the presence of a strong catalyst, either acid or basic, but readily react under hydrothermal conditions of supercritical water [11].
Another important issue is the variation in the heat capacity of water from 4.2 to 13 kJ kg−1 K−1 when temperature increases from 298 to 673 K. This increase improves heat transport in the reaction by reducing the required energy to maintain the reaction temperature and results in an important economic advantage [11].
After discussing all the changes that occur with water in the supercritical region, it is important to present the performance of water. Initially, the free radicals are induced. Thus, the formation of the hydronium ions is responsible for the generation of the alkyl radicals, and heterocyclic substances may undergo the ring-opening. Furthermore, it will be responsible for the decarboxylation, decarbonylation, and hydrolysis reactions of the biomasses [5,6].
All the physicochemical changes of the water will have important results on the product formed by the hydrothermal process. Thus, its function in hydrothermal technology cannot be undervalued, since the simple variation of the temperature, pressure and residence time may bring about a significant difference in the products yielded [5,7].

3. Reactions in the Hydrothermal Process

At present, the discussions regarding the main reactions which may take place in hydrothermal technologies are largely qualitative. This is because the processed feedstock is a complex combination of several substances such as carbohydrates, lignin, proteins, and lipids. Therefore, the reactions of the raw materials present in subcritical and supercritical water will also be complex. Besides, there is a multitude of possible intermediate reactions, and this makes impossible the identification of the main reactions that are carried out in the hydrothermal medium. These multiple reactions occur because of the coexistence of the liquid and gaseous phases of the water. It has already been proven, however, that vegetable oils will first undergo hydrolysis reactions to generate fatty acids, which will then undergo dehydration, dehydrogenation, deoxygenation reactions (hydrodeoxygenation, decarbonylation, and decarboxylation reactions) [12]. Moreover, both short- and long-chain saturated fatty acids may suffer other reactions—for example, methanation (CH4 production), steam reforming (H2, CO and CO2 generation), thermal cracking (methane, acetylene, ethylene, ethane and propane generation), and catalytic cracking reaction—to produce light hydrocarbons (depending on the type of catalyst).
The increase in the miscibility between triglycerides and water favors reactions that occur in supercritical water temperature. There is an increase in the acid/base characteristics of the water, and ionic and hydrolysis reactions are favored [5].
The hydrolysis dissociates the triglyceride into fatty acids and glycerol. While the reaction occurs, more free fatty acids are generated, which further increase the solubility of water in the oil phase and the reaction rate. At the same time, the glycerol produced by the hydrolysis of the triglycerides decomposes into methane, CO2, and can be used for in situ production of hydrogen. Besides, the hydrogen produced accelerates hydrolysis and is used in the hydrogenation, in which the unsaturated fatty acids are hydrogenated into saturated fatty acids (by breaking π bonds) [5,13,14].
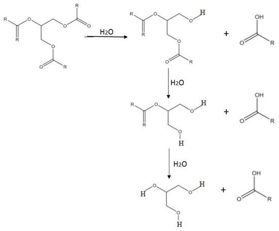
Then, as aforementioned, saturated fatty acids may undergo dehydration, dehydrogenation, hydrodeoxygenation, decarbonylation, and decarboxylation reactions and this will depend on the catalyst implemented during the hydrothermal reaction. Dehydration removes the oxygen heteroatom with the formation of water; the decarboxylation eliminates oxygen in the form of CO2 and the decarbonylation in the form of CO. These three reactions are important since they provide the removal of oxygen from the fatty acid and the formation of long-chain hydrocarbons. Furthermore, they also raise the carbon/hydrogen ratio, which normally results in more attractive fuels [5,8,12]. Scheme 1 shows the reaction pathways of the hydrothermal process from a glyceride.
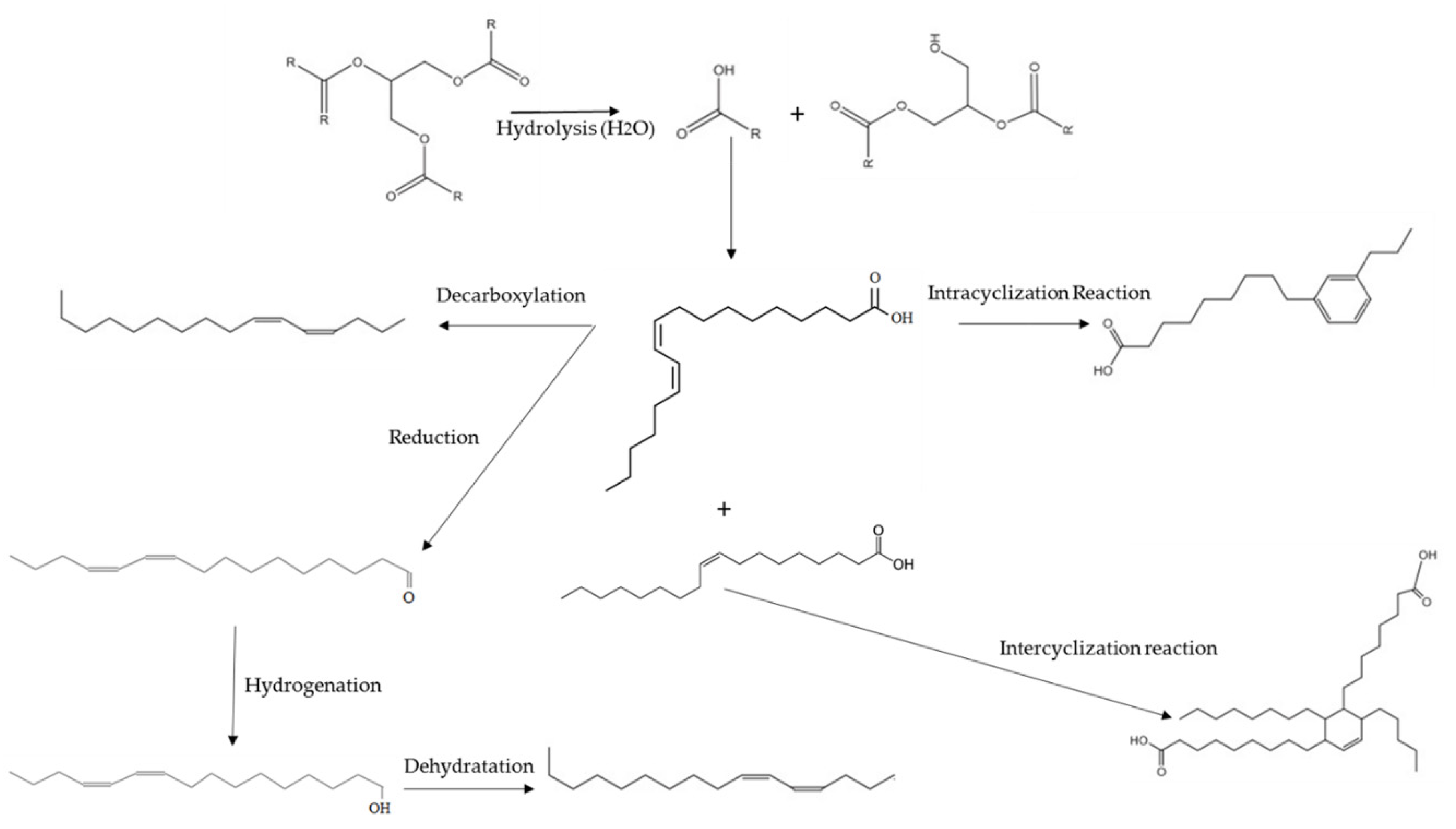
Robin, Jones, and Ross [15] proposed an alternative reaction scheme, which is being demonstrated in Scheme 2. Firstly, at a temperature inferior to 523 K, the hydrolysis of triglycerides in fatty acids and glycerol happens, and it could occur with the absence of catalyst in the medium. Afterward, there are inter-cyclic reactions of the unsaturated fatty acids, and dimers are produced, such as the “Diels-Alder” intracyclization between octadec-9-enoic and octadeca-9,12-dienoic acids. Finally, it involves the fatty acids are decarboxylated into aldehydes and alkenes. The unconjugated of 10,12-octadecadienoic can also be reduced into the aldehyde Z,Z-10,12-hexadecadienal. The Z,Z-10,12-hexadecadienal can be hydrogenated to generate the Z,Z-10-12-hexadecadienol, to be subsequently dehydrated, forming its corresponding alkene.
A critical analysis of the main reactions that occur in the hydrothermal process justifies the need to continue research on this process. For this, however, it is necessary to use isolated fatty acids instead of vegetable oils or triglycerides. Vegetable oils can be described as a complex mixture of triglycerides. This complexity brings the possibility of innumerable intermediate reactions, in which research becomes observation only and limits innovation in the field.

4. Important Parameters in the Hydrothermal Process

In reference to the influential parameters of hydrothermal technologies, conditions such as temperature, pressure, particle size, catalyst, biomass/water ratio and reaction times influence the hydrothermal processes [6,12,16].
Temperature influences the range of the hydrothermal process (fractionation, carbonization, liquefaction, or hydrothermal gasification). Pressure assists to preserve water in the liquid state and thus avoid the high-energy costs of a liquid-vapor system. In the hydrothermal technology close to the supercritical region, the production of a liquid product with chemical characteristics very diverse from the feedstock will occur. In case of the hydrothermal gasification (above 647 K), the gasification reactions start to prevail in the process, producing synthetic combustible gas [5], while temperatures between 573 and 623 K produce higher amounts of the organic phase [6,17].
Reaction time influences the composition of product and conversion efficiency. Under supercritical conditions, the degradation occurs rapidly; thus, shorter residence times are often desirable. This is because, the longer the residence time, the greater the possibility of secondary reactions dominating the hydrothermal process.
The nature of the raw material affects the bio-oil yield and the product that will be produced. Particle size acts on accessibility and heat penetration into the raw material. Because of this, smaller particles favor heat performance and the conversion rate and efficiency of the bio-oil [6].
Catalysts are used to improve the efficiency of the hydrothermal process, mitigating the formation of tar and coal. The choice for homogeneous catalysts is due to advantages such as a reduction in solids production, an increase of yield, improvement in the properties of formed bio-oils, and a reduction of dehydration reactions. Moreover, homogeneous alkali metal catalysts reduce the formation of coal and tar and improving product yield. Furthermore, homogeneous alkali metal catalysts do not present deactivation problems the way heterogeneous catalysts do [5]. However, there is a difficulty in separation/recycling steps, which consequently increases the process cost [6,8].
Heterogeneous catalysts facilitate the purification or recycling step. In addition, their use avoids the need for an extra product purification step. They are generally used in hydrothermal processes in supercritical regions of water, where positive effects are reported. However, they are prone to fouling and subsequent deactivation [6,8].
Even though most hydrothermal studies use homogeneous catalysts in the form of alkaline salts, it is possible to find the use of heterogeneous catalysts as Ni-containing catalysts [6,13]. Kumar, Oyedun, and Kumar [6] showed great potential for nanocatalysts involving the use of nickel in the improvement of the yield of bio-oil at low temperatures.
Nowadays, there are preferences for metal catalysts containing Pt, Pd, and Ni. For the catalysts of Pt/C and Pd/C, besides their high cost, the high selectivity to CO formed by the decarbonylation of carbonic acid and the rapid deactivation due to the formation of coke were verified [18].
In addition, there is the use of solid acid catalysts, e.g., zeolites. Zeolites seem to be more appropriate for generating lighter fractions of hydrocarbon from triglycerides of fatty acids. Currently, ZSM-5 is widely used in the petrochemical industry and petroleum refining due to its acidity, its selectivity, and its meso- and microporous structure. In addition, ZSM-5 has a high concentration of Lewis acidic sites [19].
For vegetable oils and fatty acids, parameters such as residence time, reaction temperature, and catalysts are seen as important for ensuring efficiency in experimental results.

5. Main Feedstocks in the Hydrothermal Process

In the hydrothermal process, it is possible to use different types of raw material. Each raw material, according to the chosen parameters at the hydrothermal process, will produce different products. The main raw materials currently being used in the hydrothermal process are carbohydrates, lignin, waste, microalgae, and triglycerides or fatty acids (Figure 3) [5,6,7,8,11,12].
Carbohydrates: Carbohydrates are divided into hemicellulose, cellulose, polysaccharides, and starch. When carbohydrates are in the hydrothermal states, they are hydrolyzed rapidly and form glucose and other saccharides. When glucose and fructose are degraded in hydrothermal medium, several substances are obtained, e.g., acetic acid, acetone, acrylic acid, acetaldehyde, arabinose, cellobiose, pyruvaldehyde, 5-Hydroxymethylfurfural (5-HMF), lactic, levulinic, formic, furfural, and glycolic acids, as well as several gaseous products [6,20]. Cellulose is hydrolyzed slower than hemicelluloses and starch. In hydrothermal environments, hemicellulose decomposes to produce several monosaccharides, the most predominant being the 5-carbon sugar xylose. During the hydrothermal process in the subcritical state, the cellulose is rapidly solubilized and hydrolyzed, occasioning in the formation of glucose monomers. In addition, cellulose also undergoes hydrothermal degradation, which affects glucose yield. Starches are rapidly hydrolyzed in hydrothermal reactions with no addition of acids or enzymes. However, yields of glucose are lower than methods that use conventional enzymes, because these methods cause further degradation of glucose or decomposition of the starch into oligomers [5,8,20].
Lignocellulose: Cellulose, hemicellulose, and lignin are substances that compose the lignocellulose. The hydrothermal process of lignin generates significant quantities of solid residue, and, consequently, the quantity of lignin in the feedstock should be carefully balanced. Basically, lignin is degraded into various phenols and methoxy phenols, and these substances can also decompose more by hydrolysis of methoxy groups [8,20]. Figure 4 shows the hydrothermal process from lignocellulose.
Protein: In the hydrothermal process of protein, the peptide bond hydrolyzes rapidly. However, the yields of amino acids attained conventionally are usually higher than yields of them at hydrothermal reactions, since in the hydrothermal medium, there is a successive decomposition of amino acids generated by hydrothermal hydrolysis. Furthermore, the products formed by hydrothermal processes of amino acids are acquired via reactions of decarboxylation and deaminization [5,8,20].
Industrial waste. Some researchers have studied hydrothermal technology from industrial waste as feedstock to produce fuel, as it adds value to waste through the formation of fuel and fertilizer, and it removes the chance of pathogen growth in the food chain. Kıpçak et al. [21] studied the production of fuel gas at 773 K with the residue of olive oil. Nanda et al. [9] studied the hydrothermal gasification of aloe peel, banana, coconut, lemon, orange, pineapple, and sugarcane bagasse to produce hydrogen-rich synthesis gas. The highest yield for H2 and fuel gas was with orange peel, at 873 K and 45 min time.
Lipids: Under supercritical hydrothermal conditions, the hydrolysis of the triglycerides can easily occur, provided a catalyst is used. This occurs because the phase behavior substantially influences the reactions between lipid and water. When the water is heated from 298 K to values above 647 K, the solvating characteristics of the water correspond to the organic solvents. This results in weaker hydrogen bonds between the water molecules, permitting greater miscibility between the triglycerides and the water. When the temperature reaches the supercritical state of water, the lipids become completely miscible [6,8,12].
Triglycerides are hydrolyzed to fatty acids and glycerol. As the reaction proceeds and the temperature increases, the generation of fatty acids growth, which increases the water solubility in the oil phase [5]. Posteriorly, free fatty acids react in hydrothermal systems to produce long-chain hydrocarbons. Most of the hydrothermal processes use soybean oil as a raw material to obtain renewable hydrocarbons. However, it is possible to find other documents that applied different raw materials, such as coconut oil, tallow, and fatty acids present in Litsea cubeba and Jatropha oil [5,13,22].

6. Recent Approaches in the Hydrothermal Process

6.1. Review of Experimental Articles

6.1.1. Triglycerides

Investigations on the hydrolysis of triglycerides under subcritical water can be realized to form fatty acids. Studies of thermal stability of fatty acids demonstrated that unsaturated fatty acids are thermally less stable than saturated fatty acids, and fatty acids can behave such as an acid catalyst in the reaction of hydrolysis when they are in a subcritical state of water. In addition, several studies confirmed that the hydrolysis of triglycerides produces isomerized fatty acids via the isomerization reaction of unsaturated fatty acids from cis to trans form. Based on several studies, hydrolysis of lipids under subcritical water should happen below 573 K (at 20 MPa) and with residence time inferior to 30 min to produce a high yield of fatty acids [20]. Holliday, King, and List [23] studied the hydrolysis of soybean, linseed, and coconut oils to fatty acids with 0.7 g mL−1 of water, without the presence of a catalyst and with temperatures of 533–553 K. They observed that coconut oil hydrolyzed more quickly (15 min), while linseed oil took longer (20 min). While concentrations of saturated acids (octanoic, decanoic, dodecanoic, tetradecanoic, hexadecanoic, and octadecanoic acids) and unsaturated acids (octadec-9-enoic and octadeca-9,12-dienoic acids) were stable at temperatures below 573 K, the concentration of octadeca-9,12-dienoic acid was reduced in the same circumstances, through the reactions of isomerization and degradation. In addition, the GC-FAME analysis demonstrated that fatty acids underwent severe degradation, pyrolysis, or polymerization. Finally, they observed that hydrolysis occurred quickly and the conversion of triglycerides to fatty acids was greater than 97% after 15–20 min at 543–553 K. Alenezi et al. [24] analyzed the thermal hydrolysis of sunflower oil in the subcritical state of water and without a catalyst. They used temperatures ranging between 543 and 623 K, reaction times (up to 30 min) at 20 MPa, and the ratio of water/sunflower oil was 50/50 (v/v). They noticed that fatty acid can behave like an acid catalyst in the reaction of hydrolysis under subcritical water and yield until 90 wt% conversion of glycerides (triglycerides, diglycerides, and monoglycerides) to fatty acids without the use of any catalyst. Another article was published by Fujii et al. [25]. They confirmed that a first-order reaction boosts the kinetics of degradation of monolaurin in the aqueous phase and demonstrated a first-order reaction rate that follows an Arrhenius kinetics, with activation energy of 77.5 kJ mol−1 and factor frequency range 1.01 × 105 s−1 at 483, 503, 523, and 543 K. The monolaurin was hydrolyzed to dodecanoic acid and glycerol, and then the dodecanoic acid was decomposed again. The decomposition of monolaurin in the subcritical state of water was studied with a programming of temperature heating where the reaction increased from ambient temperature to 623 K and without a catalyst.
King, Holliday, and List [26] discovered that they could achieve rapid hydrolysis of soybean oil for the formation of hexadecanoic, octadecanoic, octadeca-9-noic, octadeca-9,12-dienoic, and octadeca-9,12,15-trienoic acids in water in the supercritical state at different temperatures (603–613 K), the pressure of 13.1 MPa, and the ratio of water/oil ranged from 2.5:1 to 5:1. The hydrolysis occurred without catalyst and the volume of water in the reactor exceeded the volume of the triglycerides. They observed yields of free fatty acids (hexadecanoic, octadecanoic, octadeca-9-noic, octadeca-9,12-dienoic, and octadeca-9,12,15-trienoic acids) ranged from 90% to 100%, for 10–15 min of reaction time and noted that the reaction was rapidly completed when water and triglycerides became a single phase at 613 K. They noticed that hydrolysis under 603–613 K and 10–15 min produced some isomerized fatty acids from cis form to trans isomer.
Triglycerides can also be studied to obtain other products with higher added value such as long-chained hydrocarbons. The production of hydrocarbons, however, will be through reactions with fatty acids formed from the hydrolysis of triglycerides. Hossain et al. [27] reported the continuous conversion of octadeca-9-noic acid and other derivatives of fatty acid, such as castor oil, frying oil, and palm oil into n-paraffins. They used 10 wt% of Mo-Al2O3, 10 wt% of MgO-Al2O3, and 10 wt% of Ni- Al2O3 in subcritical water (648 K), time of 4 h, and a water volume ratio for oleic acid was 5: 1, without the addition of hydrogen. They found that 5 g of 10 wt% Mo-Al2O3 catalyst at 648 K, with the ratio of water/oleic acid to 5:1 (v/v) of, and 4 h exhibited a higher degree of decarboxylation of octadeca-9-noic acid with 92% and liquid yield (C14, C15, C16, C17) with 71% compared to MgO-Al2O3 and Ni- Al2O3. Furthermore, selectivity for hydrocarbon was 34.8% tetradecane, 24% pentadecane, 22.9% hexadecane, and 18.3% heptadecane. Moreover, a significant quantity of amorphous carbon deposited on the Mo-Al2O3 has been identified, and its removal can be carried out by simple calcination.
Obeid et al. [28] studied hydrothermal technology for various biomasses without a catalyst. Among them, sunflower oil was analyzed. The experiments were carried out at 200 bar, with the volume of compounds divided into 30% biomass and 70% water, temperatures of 523, 573, and 623 K and residence time varying up to 60 min. They identified that treatment with hydrothermal technology resulted in a rise in the aqueous phase soluble compounds. After the hydrothermal reaction, gas oil, wax, lubricating, and vacuum gas decreased by about 20% for experiments at 623 K. The results also showed that, with longer reaction times, conversion and degradation of fatty acids to lighter compounds occurred, resulting in higher yields for diesel-like products (478–563 K). After 60 min at 623 K, 70% of the sample was diesel and 10% was gasoline and naphtha. The biocrude yield (gasoline, naphtha, kerosene, diesel, gas oil, wax, lubricating oil, and vacuum gas oil) at 623 K, 200 bar, and 1 h was 60%, with a higher production of gas yield (14%). Finally, they assumed that the heating rate of the reactor affects the yields of products due to the several chemical reactions that happen during the heat time of the reactor.
Kaur et al. [29] analyzed the hydrothermal processing of castor residue in batch. The ratio of biomass/water was 1/6 (5 mg of castor residue and 30 mg of distilled water were loaded). The reaction temperatures were 533, 553, and 573 K, and the reaction time was 15, 30, 60, and 90 min. No catalyst was used, and product separation was performed by vacuum filtration. The highest weight conversion was 83.80% at 553 K for 15 min, while the lowest weight conversion was 75.25% at 533 K for 15 min. The maximum total bio-oil (liquid fraction and final product after evaporation) yield of castor residue of 15.8 wt% was obtained at 573 K at 60 min. The main compounds identified were categorized as phenolic compounds (benzene-1,4-diol, hydroquinone phenol, and p-cresol). Carbon recovery and energy recovery for the final product after evaporation were 24.23% and 31.08%, respectively.
As clearly depicted previously, articles indicate the temperature of 627 K as the highest temperature deployed in most of the published literature. Notwithstanding, it was possible to find articles that used temperatures over 647 K. Chen et al. [30] analyzed the hydrothermal conversion of sunflower oil with 8 wt% HZSM-5 catalyst (SiO2/Al2O3: 50; pore diameter: 5 Å; surface area: 425 m2/g), under different temperatures (623–773 K) and residence time of 20 min. HZSM-5 was calcinated at 723 K for 3 h and maintained in a desiccator during the tests. The oil yield varied from 12.41% to 18.89% as temperature ranged between 623 and 673 K. The oil yield ranged from 12.41% to 18.89% as temperature increased between 623 and 673 K. At 773 K, the yield of the oil decreased to 12.41%. The gas yield ranged from 16.48% to 32.41% with increasing temperature, too. They suggested that, at a low temperature (623–723 K), there was a favoring of products similar to diesel (C11–C20) in the product slate, whereas at high-temperature, products similar to gasoline (C6–C11) were observed. Moreover, the high temperature of 723 K favored the catalytic cracking of HZSM-5, which decreased the production of coal and helped in the elimination of the carbonyl group. Without HZSM, the content of alkanes varied from 40.62% to 54.61% (from 623 to 773 K), and at 723 K the content of alkanes reached a maximum of 54.61%. In the presence of the 8 wt% HZSM, the content of alkanes ranged between 43.57% and 56.27% (from 623 to 773 K). Moreover, at 723 K, a maximum of 56.27% of alkanes was achieved, occasioning in the highest heating value of 43.8 MJ kg−1. Finally, in the presence of 8 wt% HZSM-5, at 723 K, alkanes reached a maximum of 56.27% (from sunflower oil with 2.28% of oxygen).
Nanda et al. [31] investigated the gasification hydrothermal from soybean oil residue to produce hydrogen. For this, different temperatures (648–948 K), concentrations of oil (25–40 wt%), and residence times (15–60 min) were applied. The maximum hydrogen yield (5.16 mol kg−1) and total gases (10.5 mol kg−1) were acquired at the optimum temperature of 948 K, with 25 wt% of waste soybean oil, in 60 min and without the presence of catalyst. This result showed that, while elevated temperatures benefited the water-gas shift reaction with higher H2 yield and the dehydrogenation of saturated molecules, high concentrations of raw material were conducted to methanation and produced higher yields of methane. Furthermore, it was analyzed that the use of 5 wt% of Ru/Al2O3 catalyst increases H2 yield, while 5 wt% of Ni/Si-Al2O3 improves methane yield through methanation and hydrogenation reactions. In total, 5 wt% Ru/Al2O3 at 948 K, 60 min, 23–25 MPa, and 25 wt% of waste soybean oil produced 21.4 mol kg−1 of total gas yields and 90% selectivity for hydrogen. Meanwhile, 5 wt% Ni/Si-Al2O3 at 948 K, 60 min, 23–25 MPa, and 25 wt% of waste cooking oil produced 21.71 mol kg−1 of total gas yields, 74% selectivity for hydrogen. They also proved that the ionic mechanism (quasi-critical pressures and temperature < 400 °C) and free radical mechanism (temperature > 400 °C) prevail in the supercritical system. Finally, they identified the main products in the processing of waste cooking oil at elevated temperatures, namely methanol, phenol, acetone, hydroxyacetone, and glycerol.
As far as selectivity is concerned, Robin, Jones, and Ross [15] studied hydrothermal processes for sunflower, soybean, jatropha, palm, and linseed oils with temperature ranging from 523 to 623 K and pressure ranging from 12 to 17 MPa. They used 0.5 g of catalyst, 3 g of triglycerides (sunflower, soybean, linseed, jatropha, and palm oils), and 27 cm3 of water during hydrothermal reactions. They proved that, below 523 K, hydrolysis converted triglycerides into free fatty acids and glycerol. Additionally, 0.5 g of MoZSM-5 and 0.5 g of HZSM-5 catalysts at 623 K were more selective for the production of lighter gasoline fractions and lighter kerosene fractions range C8–C12, o-xylene, decene, 1-ethyl-2-methyl-benzene, 1-methyl-2-methylene-cyclohexane, and 1-methyl-3-hexyl-benzene, whereas 0.5 g of FeZSM-5 at 623 K promoted the formation of a heavier diesel fraction. The highest yield of gasoline fraction was for the 0.5 g MoZSM-5 catalyst (16.1%) at 623 K.
Concerning the main product formed in hydrothermal conversion of vegetable oil, most of the processes focus on the formation of heptadecane. Sugami, Minami, and Saka [32] converted 0.9 g of rapeseed oil at 543 K and 0.05–0.45 g of Pd/C through two stages (hydrothermal hydrolysis/hydrogenation and decarboxylation) and produced pentadecane, n-heptadecane, and n-nonadecane, which would correspond to the main composition of the formulated diesel. They observed that, at a temperature of 543 K and 5 MPa, with 3 g of water and 0.05 g of Pd/C for 20 and 40 min, diglycerides and monoglycerides were designated as intermediate products. However, for 60 min, 543 K, 0.05 g Pd/C, and 3 g of water, the glycerides were at the same time hydrolyzed and hydrogenated to produce saturated fatty acids (C16, C18, and C20) in a yield of 96.1 mol% and into glycerides in a yield of 2.3%. At 573 K with 0.45 g of Pd/C and after 120 min, the saturated fatty acids underwent decarboxylation reaction to form hydrocarbons (pentadecane, heptadecane, and nonadecane) with a yield of 91.5 mol%.
Jin and Choi [33] investigated the hydrothermal deoxygenation of the palm oil at 448, 473, 498, 523, and 558 K, using 0.92 g of PtRe supported on various carbons. For the reaction, they used 20 g of palm oil, 80 g of water, and the catalysts were pre-reduced at 573 K. The residence time was 24 h. When 0.92 g of Pt/CNT (carbon nanotubes) catalyst was used, n-paraffins (pentadecane, hexadecane, heptadecane, and octadecane) were produced above 523 K, being 43 mol% of pentadecane and 53% mol of heptadecane, and the sum of hexadecane and octadecane was inferior to 4 mol%. For 0.92 g of PtRe/CNT at 558 K, the n-paraffins produced mainly contained pentadecane (49 mol%) and heptadecane (47 mol%), and the sum of the C16 and C18 was less than 2 mol%. Moreover, the quantity of n-paraffin in the oil phase at 558 K (88 C%) and with 0.92 g of PtRe/CNT was significantly superior to 0.92 g Pt/CNT(16 C%). Due to the predominance of C15 and C17, they concluded that the main formation of paraffins was by deoxygenation. Finally, at 558 K, PtRe/CNT demonstrated the best result to produce n-paraffins (C15–C18) from palm oil with yield 72 wt% (theoretical yield: 79 wt%), and it could be recycled for five cycles, with calcination (573 K), without significant loss of activity (from 72 to 66 wt%). In abstaining of calcination, the yield of n-paraffin (C15–C18) reduced from 72 wt% to 16 wt% after three reaction cycles.

6.1.2. Fatty Acids

Fatty acids have been deployed as a raw material in hydrothermal methods to generate long-chain hydrocarbons. Yang et al. [34] examined hydrothermal decarboxylation of 0.176 mmol stearic, palmitic, arachidonic, and behenic acids, present in the microalga oil, and using 10 mg of Pt/Nanotube C, Pd/C, Ru/W, and water. The conversion of stearic acid for decarboxylation at 603 K for 30 min and 10 mg Pt/MWCNTs, Pt/C, and Ru/C was 52.4 ± 2.4%, 52.4 ± 2.5%, and 42.3 ± 5.2%, respectively. Their selectivities to C17 were 97.0 ± 4.4%, 57.0 ± 2.7%, and 42.9 ± 3.6%, respectively. Stearic acid decarboxylation over Pt/C detected a large number of secondary products by GC-MS, such as C13, C14, C15, C16, C20, E-14-hexadecenal, and 2-methyl-7-hexadecene. The conversion of stearic acid raised with the reaction time when temperature ranged from 543 to 603 K. At 633 K, the conversion of stearic acid ranged from 56% (15 min) to 85% (45 min) and then reached 90% (90 min). Moreover, all experiments detected undesired products such as hexadecane, hexadecenal, and heptadecene. They established that the consumption rate of stearic acid was a first-order and the rate constant was 0.127 ± 0.008, 0.809 ± 0.035, 2.456 ± 0.092, and 4.571 ± 0.388 × 10−2 min−1 at 543, 573, 603, and 633 K, respectively. Finally, they concluded that the optimum reaction for stearic acid used 10 mg of catalyst load, 50 mg of stearic acid, at 603 K, and after 60 min. Other experiments were performed using 0.176 mmol of dodecanoic, tetradecanoic, hexadecanoic, octadecanoic, eicosanoic, and docosanoic acids, which were decarboxylated with 10 mg Pt/MWCNTs, at 603 K and after 60 min. All feedstock reached high conversion over Pt/MWCNTs, around 75%. On the other hand, the selectivities to C17 from dodecanoic, tetradecanoic, hexadecanoic, and octadecanoic acids were much higher than eicosanoic and docosanoic acids.
Mo, Tandar, and Savage [19] investigated the reactions of palmitic, stearic, oleic, and linoleic acids in supercritical water at 673 K, 240 bar, and 180 min. The main catalysts used were zeolites Y, beta, and ZSM-5. In total, 150 mg of fatty acid, 150 mg of catalyst, and 0.6 mL of water were loaded into each reactor. Control experiments involved reactions with palmitic, stearic, oleic e linoleic acids, and water and occurred without catalyst at 673 K and for 180 min. The conversions were 34 ± 5%, 54 ± 8%, 22 ± 11%, and 80 ± 18%, respectively. The total yield of liquid products from palmitic, stearic, oleic, and linoleic acid was 12 ± 5, 7 ± 2, 19 ± 12, and 41 ± 5 wt%, respectively. Xylenes, toluene, and 2-methyl-pentane were the major products of liquid products. Moreover, they reacted hexadecanoic acid over zeolites beta (silica/alumina = 38, 300), ZSM-5 (silica/alumina = 30), and Y (silica/alumina = 60) in supercritical water at 673 K, 240 bar, for 180 min. ZSM-5 had the highest conversion of 95 ± 4%. The lowest conversion of hexadecanoic acid was 30% and occurred with zeolite beta, and the conversion of hexadecanoic acid with zeolite Y was about 50%. Zeolites beta and Y produced 2-methyl-pentane, while ZSM-5 formed toluene (molar yield was 22± 3%) and xylenes (molar yield was 49 ± 8%). The highest total yield of liquid and gaseous products was 97 wt% and was produced from palmitic acid, using ZSM-5 with a ratio of silica/alumina equal to 23 at 673 K and 240 bar.
Miao et al. [35] studied the catalytic deoxygenation of hexadecanoic acid to generate paraffin. For this, they used 500 mg of Ni/ZrO2 with absent or low external pressure (100 psi), 500 mg of palmitic acid, and 4.5 mL of deionized water. The results showed that the existence of water greatly improved the conversion of hexadecanoic acid, paraffin efficiency, and eliminate the secondary reactions of ketonization and esterification, which was related to H2 formation in situ. In the presence of water at 573 K, 10% Ni/ZrO2 (0.5 g), 6 h, and with absent of external hydrogen supply, the conversion of hexadecanoic acid was 17.2% C and the paraffin yield was 1.8%. C15 and other short paraffins (C9–C14) were the main products formed in the experiments.
Zhang et al. [36] analyzed the catalytic decarboxylation and aromatization of 50 mg of and oleic acid, using 30 mg of Ni/AC catalyst (nickel on activated carbon) with temperatures of 603, 623, 643, and 663 K, and a residence time of 4 h, and without H2 or solvents. They observed that octadecanoic acid efficiency reduced steadily when the temperature increased. Moreover, coke was the main by-product formed. They attributed coke formation to high-temperature conditions in the reactions. They studied the catalytic decarboxylation and aromatization of 0.176 mmol of oleic acid over Ni/AC with different Ni loadings at 623 K and 4 h. The total yield of C17 and aromatics ranged from 8.4% to 44.8% when the loading of Ni/AC increased from 10% to 30% and decreased to 39.8% when the loading of Ni/AC reached 40%. In addition, they analyzed the catalytic decarboxylation and aromatization of at 623 K, 30 mg Ni/AC catalyst, and four hours. The main products were heptadecane, aromatics, and coke, and the molar carbon yield was 38.4%, 13.0%, and 29.9%, respectively.
Edeh, Overton, and Bowra [37] evaluated the temperature and time on hydrothermal deoxygenation of 100 mg of palmitic and oleic acids under subcritical conditions using a 5% (20 mg) of Pd/C, and 15 mL distilled water. They concluded that the highest conversion of hexadecanoic acid reached was 71.7% at 563 K and one hour, whereas a minimum was 66.3% achieved after 1.5 h and 563 K. The maximum selectivity of C15 was 54.6%, and the lowest was 8.1%, while the highest selectivity of C17 was 4.9%, and the lowest was 2.9%, with both obtained at 563 K after 1.5 and 0.5 h, respectively. For four hours of reaction, the maximum selectivity of C15 was 24.4% and the lowest 6.8%, while those of C17 were 3.3% and 2.3%, with all acquired at 563 and 603 K, respectively. For oleic acid, the maximum and minimum conversions with 4 h of reaction were 88.1% and 73.3%, obtained at 603 and 563 K, respectively. For four-hour reaction time, the selectivities for C15 were 4.1% and 3.2% at 603 and 563 K, and for C17, they were 16.9% and 14.7% at 603 and 563 K, respectively. Regarding residence time at 563 K, the maximum selectivity to C15 was 9.2% after 1 h, and the lowest was 5.8% after 3 h. For C17, the highest and lowest selectivities were 13.6% and 10.0% at 1 and 0.5 h, in that order. When the influence of residence time is evaluated at 563 K, maximum and minimum conversions of 61.2% at 3 h and 47.8% at 0.5 h were found. Furthermore, the highest selectivity for C15 was 9.2% after 1 h, and the lowest was 5.8% at 563 K and after 3 h.
Zhang et al. [38] studied the hydrothermal decarboxylation and cracking of stearic acid and 1,2-distearoyl-3-palmitoyl-sn-glycerol, varying residence time with 5 wt% of Ru/C, water, the temperature of 603 K, and with in situ H2 generation. The in situ production of hydrogen in hydrothermal reactions of octadecanoic acid was analyzed with a molar yield (mol%, n(hydrogen)/n(octadecanoic acid) × 100%) increasing from 56.7% after 2.5 h to 92% after 12.5 h. The complete conversion of octadecanoic acid was observed within 12.5 h with selectivity for n-heptadecane equal to 59.2 ± 3.2% and selectivity for n-octadecane equal to 0.3 ± 0.3%. The maximum selectivity found for C17 and C18 were 65.8% and 1.9%, respectively, after 7.5 h. They identified that most of the products of hydrothermal decarboxylation and cracking of octadecanoic acid with Ru/C at 603 K were C7 to C17 alkanes, along with small quantities of gaseous products (C1–C5 alkanes + CO2). C17 was the main compost, but small quantities of C18 were also observed following a hydrodeoxygenation pathway. The main gaseous products yielded were CO2, CH4, and H2.
Mo and Savage [39] explored the hydrothermal process by using 150 mg hexadecanoic acid in the presence of 150 mg of zeolite HZSM-5, 0.6 mL of deionized water in a batch reactor and above 673 K, 240 bar, and with a residence time of 180 min. The conversion of hexadecanoic acid at 673 K was the first-order kinetics, and the rate constant was 2.6 × 10−4 s −1 ± 3.8 × 10−6 s−1. The maximum yield of liquid products was 73% and occurred at 673 K, after 180 min, with 0.1 g mL−1 of water, and without hydrogen H2. The main liquid products were aromatic hydrocarbons (e.g., xylenes and toluene) and alkanes (e.g., 2-methyl-pentane and heptane). The main gaseous products were carbon monoxide and carbon dioxide, but considerable yields of C3H8 e and C4H10 were also produced.
Furthermore, it was possible to find studies with temperatures below 523 K. Khuwijitjaru, Adachi, and Matsuno [40] analyzed the solubility of capric, myristic, palmitic, and stearic acids with different temperatures (333–503 K) and pressure of 5–15 MPa. They concluded that the temperature has no influence on this physical property and the solubility is directly proportional to the increase in temperature. Likewise, they concluded that the solubility is also directly in proportion with the chain size of the molecules. In other words, the higher the temperature and the longer the chain, the greater its solubility.
Khuwijitjaru et al. [41] analyzed the hydrolysis of methyl octanoate, methyl decanoate, methyl laurate, methyl myristate, and methyl palmitate in subcritical water when the temperature ranged from 483 to 543 K. All fatty acid esters followed first-order kinetics on all temperatures. They observed the presence of a steric hindrance of the acyl or alkyl chain in the hydrolysis reaction, which indicated higher apparent activation energy for the hydrolysis for those compounds. Additionally, they noted that the methyl laurate was hydrolyzed faster than the butyl laurate at 483, 503, 523, and 543 K. Another study by Khuwijitjaru et al. [42] analyzed the solubility of oleic and linoleic acids, with different temperatures (333–503 K) and pressure of 15–20 MPa. They used 10 mL of fatty acid, 5 mL of water, and no catalyst. They observed that solubilities of oleic and linoleic acids were almost the same when temperature increased from 333 to 503 K. Moreover, at 15 MPa and with temperature ranging from 333 to 503 K, solubilities of oleic and linoleic acids were slightly higher than palmitic acid. Finally, they estimated the enthalpy of the solution of oleic and linoleic acids in the liquid state in water to be 122 kJ mol−1 when the temperature was above 423 K.
There are studies with hydrothermal technology that use homogeneous catalysts. An example is Watanabe et al. [43], who studied the decomposition of 0.3 g of stearic acid with 1 g of water at 673 K in a batch reactor. The residence time increased from 15 to 120 min. They studied the decomposition of stearic acid at 673 K, 30 min, and 0.3 g of CeO2, Y2O3, and ZrO2. The conversions of stearic acid by using CeO2 was 30%, Y2O3 was 62%, and ZrO2 was 68%. They did the same experiment with the addition of 0.3 g of NaOH or KOH and realized that this led to an increase in the degradation of octadecanoic acid and the C17 being the major product. At 673 K and 30 min, the conversion of stearic acid in NaOH (13%) was six times higher than that without NaOH (2%). For 0.3 g of KOH, at 673 K and 30 min, the conversion of octadecanoic acid was 32% and in the absence of KOH was 2%. Besides that, KOH had a greater decomposition effect than NaOH.
Even though hydrothermal studies use homogeneous catalysts in the form of alkaline salts, it is possible to find the use of heterogeneous catalysts. Additionally, there is the adoption of solid acid catalysts such as the zeolites. As an example, for acid catalysts, Mo, Tandar, and Savage [19] used HZSM-5 as a catalyst for the supercritical hydrothermal treatment of palmitic acid and analyzed how the ratio of silica/alumina affects the results of hydrothermal reaction. They conducted experiments at 673 K, 240 bar, and 180 min with 150 mg palmitic acid and 150 mg HZSM-5 with different ratios of silica/alumina (23, 30, 50, and 80). HZSM-5 with a ratio of silica/alumina equal to 23 obtained the maximum total product yield of 97 ± 2 wt% and the maximum conversion of 98 ± 1%. As the ratio of silica/alumina reduced, the yields of toluene and xylenes increased. The ratio of silica/alumina equal to 23 resulted in a 66% yield of xylenes, 25% yield of toluene, and 102% total molar yield of single-ring aromatics. Consequently, they demonstrated that, when the zeolite has a low Silica/Alumina ratio, there is a greater selectivity for the formation of BTX aromatics (benzene, toluene, and xylene) if compared to the higher Silica/Alumina ratio.
Watanabe et al. [43], for example, investigated the effect of 0.3 g of zirconia (ZrO2) on 0.3 g of stearic acid under semi-hydrothermal conditions at 673 K and 25 MPa for 30 min. In this study, ZrO2 reinforced the conversion of stearic acid (68%) and that its major products were C16-alkene, acetic acid, and 2-Nonadecanone. Robin et al. [44] also performed another interesting study, which analyzed the inclusion of transition metals to HZSM-5 by ion exchange or impregnation. They noted that metal-doped ZSM-5 catalysts were less stable when prepared by impregnation than metal-doped ZSM-5 catalysts were prepared with ion exchange. They concluded that HZSM-5 and MoZSM-5 have good activity in the conversion of sunflower oil into alkenes and aromatic molecules. In addition, MoZSM-5 favored the production of aromatic compounds from sunflower oil. They also studied the regeneration of HZSM-5. For the regeneration experiments, 3 g of sunflower oil, 0.5 g of HZSM-5, and 27 mL of deionized water were used at 623 K for 1 h. They observed that HZSM-5 was stable during the recycling procedure, since the bio-crude yield increased from cycle 1 (40.3%) to cycle 2 (43.3%), and afterward the bio-crude yield was the same with stage 3 (43.1%). Robin, Jones, and Ross [15] concluded that the use of zeolites (mainly doped with Mo) can break down fractions of triglycerides and increase the fraction of gasoline, which in the end develops the flow properties of the resulting oils. In fact, zeolites benefit catalytic cracking to generate aromatic substances and aliphatic hydrocarbons. They studied hydrothermal processes for sunflower oil (3 g) at 623 K and 27 cm3 of water. The gasoline yield (16.1%) for the doped MoZSM-5 catalyst (0.5 g) was higher than the gasoline yield (8.8%) for HZSM-5 (0.5 g) without metal doping. The metal-doped catalysts also affect the fraction of diesel. Typically, the existence of a zeolite decreases the diesel-like fraction, except for FeZSM-5, which increases the formation of the diesel fraction. However, the bio-crude still requires an upgrade step, the hydrogenation.
Some researchers have studied the regeneration of metal catalysts. For example, Hossain et al. [45] explored the thermal regeneration of activated carbon with the presence of potassium hydroxide (KOH) at 1023 K in the hydrothermal process of oleic acid. The activated carbon catalyst was removed from the reactor and then washed many times with hexane. Activated carbon was introduced in a vacuum oven at 353 K all night. Regeneration of the catalyst was executed by mixing with KOH (300 wt%). Activated carbon with KOH was heated in a tubular furnace at 1023 K for 3 h. The sample was removed from the oven, and a dilute solution of HNO3 was added to neutralize the KOH. The mixture of activated carbon with HNO3 was centrifuged. Water was added to the activated carbon to remove any residual KOH or HNO3. The wet solid was introduced again in a vacuum oven at 353 K for 12 h. The hydrothermal decarboxylation of oleic acid happened at 673 K, the ration of water/oleic acid was 4:1, and the time was 2 h. In total, 4 g of catalyst was used for each experiment. They concluded that this regeneration method helped to recover the physical and catalytic properties of activated carbon, since 87% of the BET surface area was recovered after regeneration. Moreover, the degree of decarboxylation of oleic acid using fresh activated carbon was 91%, and using regenerated activated carbon was 87%. Experiments conducted with activated carbon after the second regeneration demonstrated that the degree of decarboxylation was 81%. The selectivity of heptadecane using activated carbon after the second regeneration was also a little lower (78.3%) compared to the value using fresh activated carbon (89.3%) and activated carbon after the first regeneration (81.2%).
Mo and Savage [39] observed the possibility of regenerating the catalyst by removing the coke via oxidation and by calcination to restore its structure. They identified aromatic hydrocarbons (xylenes and toluene) and alkanes (2-methyl pentane and heptane) as principal products of hydrothermal processes using palmitic acid in the presence of zeolite HZSM-5, above 673 K and with a reaction time of 180 min. They concluded that controlled oxidation and calcination could be used to regenerate 150 mg of HZSM-5. The total product yield (xylenes, toluene, 2-methyl-pentane, heptane, CO, CO2, propane, and butane) reduced from 76 ± 13 wt% to 53 ± 1.9 wt% when the utilization of catalyst ranged from fresh catalyst to not fresh upon the second use of catalyst. In the hydrothermal catalytic cracking was used 150 mg hexadecanoic acid, 150 mg of HZSM-5 at 673 K, 240 bar, 180 min, and 0.15 g mL−1 water. For regeneration, HZSM-5 was heated at 343 K overnight. Next, was realized controlled combustion (heating at 2 °C min−1 to 823 K) in the air to burn off any coke. The 823 K temperature was then maintained for 4 h, to calcine the HZSM-5, after which the material naturally cooled to room temperature.
Mo, Tandar, and Savage [19] observed the possibility of regenerating HZSM-5. They proved that HZSM-5 could be regenerated and reused three times through controlled combustion (heating in air at 2 °C min−1 up to 823 K, and maintaining at 823 K for 4 h). The hydrothermal reaction to study the regeneration used 150 mg of HZSM-5, the ratio of silica/alumina was 23, 150 mg of palmitic acid, 0.6 mL of water at 673 K, 180 min, and 240 bar and obtained a total product yield (gas plus liquid) of 76 ± 3 wt% (which contains 40 ± 5 molar yield of xylenes).
As far as selectivity is concerned, most articles show heptadecane as the most selective product from the hydrothermal reactions of oleic and stearic acids. Al Alwan, Salley, and Ng [18] studied the hydrothermal decarboxylation of 0.156 mmol of octadec-9-enoic acid to generate hydrocarbons present in diesel fraction, without the introduction of hydrogen, with the residence time of four hours, and temperature of 623 k (subcritical condition) or 673 K (supercritical condition). Moreover, 10 mg of some Ni-based transition metal carbide catalysts supported on Al-SBA-15 and 0.642 mL of water was used in the reactions. The conversion under subcritical conditions with NiMoC, NiNbC, NiWC, and NiZrC was 13.1%, 15.3%, 15.6%, and 12.9%, respectively. Their corresponding selectivities to unsaturated C17 were 34.6%, 31.1%, 35.8%, and 28.5%, respectively. The major products under subcritical conditions were oxygenated substances, with no measurable quantity of octadecanoic acid. The conversion under supercritical conditions with NiMoC, NiNbC, NiWC, and NiZrC were 32.8%, 30.7%, 30.7%, and 30.1%, respectively. Their corresponding selectivities to unsaturated C17 were 62.5%, 67.6%, 53.6%, and 67.7%, respectively. The maximum conversion of octadec-9-enoic acid and selectivity for C17 was 97.3% and 5.2% after adding 0.48 mmol glycerol under supercritical conditions (673 K, 10 mg of NiWC, 0.642 mL of water, and four hours). Besides heptadecane, C10–C16 were also formed, and they suggested that the NiWC/Al-SBA-15 catalyst demonstrated catalytic cracking under supercritical conditions.
Hossain et al. [45] investigated the stability and surface chemistry of activated carbon for the decarboxylation of octadec-9-enoic acid (5 g) in a continuous reactor at 673 K, and the ratio of water/oleic acid was 4:1. In total, 4 g of activated carbon was used for each experiment. For 2 h, the degree of decarboxylation was 91%, and the selectivity of C17 was 89.3%. After 10, 20, and 30 h, the degrees of decarboxylation were 91%, 90%, and 88.9%. When the residence time increased from 10 to 30 h, the selectivity of C8–C16 increased from 10.2% to 13.4%, while the selectivity of C17 reduced from 89.3% to 86%. Above 30 h, they observed the activated carbon performance was effective and increased the degree of decarboxylation from 88.9% to 60% when the reaction time ranged from 30 to 40 h. After 45 h, the degree of decarboxylation and the selectivity to C17 reached 50% and 34%, respectively. The drop in both activity and selectivity was connected to the deactivation of the activated carbon.
Fu, Lu, and Savage [46] analyzed the catalytic hydrothermal deoxygenation of 0.176 mmol of hexadecanoic, dodecanoic, octadecanoic, and oleic acids by using 5% Pt/C and 5% Pd/C at 603 K. No hydrogen was added. They found selectivity greater than 90% for hydrocarbons in the hydrothermal hydrogenation and decarboxylation of hexadecanoic, dodecanoic, and octadecanoic acids. Besides this, they noted that the rate of decarboxylation is independent of the number of carbons in the fatty acid. For oleic acid with Pt/C at 603 K and 1 hour, no C17 was detected, and the yield to stearic acid was 4%. For the reaction of oleic acid with Pt/C at 603 K and after 1.5 h, the yield of octadecanoic acid increased to 36.1 wt%, and heptadecane was formed with a yield of. 9.2 wt%.
Yeh et al. [47] investigated the decarboxylation of stearic, oleic, and linoleic acids with PtSnx/C catalysts at 623 K for two hours. The ratio of fatty acid/water ratio was 108 lmol:1.00 g, and the ratio of catalyst/water was 5.4 mg:1.00 g. When oleic and linoleic acids were the reactants, the Pt/C was not effective to generate decarboxylation products since their yields were 16% and 18%, respectively. When treating stearic acid, the yield of products formed through decarboxylation was about 70%. Consequently, they realized that increasing the degrees of unsaturation decreases catalyst activity and selectivity of decarboxylation products. Besides this, they found that the addition of Sn in Pt catalysts reduced the activity of the catalyst, but this factor was compensated by the greater selectivity to heptadecane.
Zhang et al. [36] analyzed the deoxygenation of oleic acid (0.176 mmol) at 603, 623, 643, and 663 K, for 4 h, with 30 mg of 30% of Ni/AC. No hydrogen and solvents were introduced in the reactions. The conversion of octadec-9-enoic acid was complete at all temperatures. They showed that the total yield of C17 and aromatics increased from 21.8% to 48.9% when the temperature raised from 603 to 643 K and reduced to 31.4% at 663 K. Cracking products were less-formed at 623 K than at 643 K. In addition, the total yields of C17 and aromatics increased from 44.8% to 54.5% when the catalyst loading of Ni/AC increased from 30 to 70 mg.
Vardon et al. [14] investigated the utilization of Pt-Re/C for hydrogenation and deoxygenation of octadec-9-enoic acid with the formation of hydrogen in situ from glycerol. Moreover, 0.5 g Pt/C and Pt-Re/C were tested with 20 mg of oleic acid at a reaction temperature of 573 K, 8–11 MPa, with 80 g of water, and for 9 h. The N2 gas (0.35 MPa/56 mmol) was initially introduced in the headspace of the reactor. Without glycerol, the octadec-9-enoic acid was only partially hydrogenated to octadecanoic acid with Pt/C (31%). When 5 g/54 mmol of glycerol was used with Pt/C, complete hydrogenation of the octadec-9-enoic acid was observed, and incomplete deoxygenation of stearic acid occurred (24% molar yield), generating C17 with high selectivity (>98%). Using Pt-Re/C with the addition of glycerol, 92% of octadec-9-enoic acid was hydrogenated, and 37% of stearic acid was deoxygenated. Finally, they found complete hydrogenation and deoxygenation within 2 h, using the ratio of glycerol/fatty acid of 1:3, 2 g of Pt-Re/C, 573 K, and 80 g of water.
Concerning the main product in the hydrothermal studies of fatty acids, most of the process focuses on the formation of heptadecane [14,34,47]. Even so, there are studies with the formation of other hydrocarbons or compounds. As an example, Fu et al. [48] converted 0.195 mmol of hexadecanoic and octadec-9-enoic acids by using 5% of Pt/C and 5% of Pd/C, 0.25–0.72 cm3 of water at 643 K, for 3 h. For oleic acid, the major product was stearic acid, with a yield of 24%, and the yield of n-alkanes (C12–C17) and alkenes (some C17-olefins) was 10.5%. For hexadecanoic acid, the main product of the hydrothermal reaction was always C15, and it was formed after three hours and 643 K. The conversion of hexadecanoic acid was 20–24%, the molar yield of C15 was 9–10%, and the selectivity of C15 was around 40–50%. Furthermore, they calculated pseudo-first-order rate constant from the hexadecanoic acid conversion measured at each of the different catalyst loadings (5–100 mg Pt/C) and noted that pseudo-first-order rate constant increased linearly with the catalyst loading, indicating that the reaction is first-order at 643 K, three hours, and 0.195 mmol of palmitic acid.
Knez et al. [20] commented that the decomposition of stearic acid resulted in two main products, C17H36 and C16H32. Besides this, they noted there are catalytic effects on the surfaces of the reactor wall, particularly stainless steel, which should be considered as the main factor influencing the reaction of decarboxylation for the formation of hydrocarbons.
Miao et al. [49] studied hydrothermal deoxygenation to produce hydrocarbon from stearic acid, oleic acid, and bio-oil and with in situ production of hydrogen. In total, 500 mg of fatty acid and 350 mg of catalyst (the ratio of catalyst/substrate was 70%), with 4.5 mL of water (H2O/fatty acids mass ratios of 0, 0.5, 4, 9, and 14), were loaded into the reactor. The hydrothermal deoxygenation occurred at 573 or 593 K and with a residence time of 6 h. The conversion of 0.5 g of stearic acid at 573 K, after 6 h, with 0.2 g of catalyst loading, with 4.5 mL of water, and with 5% ZrO2, 5% Ni/ZrO2, 10% Ni/ZrO2, 20% Ni/ZrO2, and 5% Pd/C were 7.86%, 27.65%, 59.30%, 67.80%, and 35.21%, respectively. Their corresponding paraffin yield were 0.07%, 18.55%, 28.17%,43.63%, and 34.54%, respectively. Their corresponding selectivities to C8–C16 were 0%, 38.61%, 38.08%, 44.57%, and 0.5%, respectively. Moreover, their corresponding selectivities to heptadecane were 0.84%, 27.55%, 18.87%, 19.91%, and 96.96%, respectively. For oleic acid, approximately 78% of stearic acid was generated with 17% of paraffin yield and after 2 h, at 673 K, 20% of Ni/ZrO2, and 0.2 of water, while 28% of stearic acid was produced with 42% of paraffin yield and after 6 h. After 6 h, oleic acid and stearic acid reached similar yields of paraffin. The increase of reaction time from 2 to 6 h also increased the fraction of C8–C16/total paraffin from 23% to 56%. They also investigated hydrothermal deoxygenation of bio-oil from yeast Cryptococcus curvatus with different temperatures and times. The conversion of bio-oil increased from 55.39% to 100% when the temperature increased from 573 to at 593 K, and it maintained 100% at 613 K. The yield of paraffin increased from 31.33% to 55.17% with the increase of temperature from at 573 to 593 K, and then it was reduced to 49.40% at 613 K. Short-chain n-paraffin yield increased from 0.98% to 2.73% when the temperature ranged from 573 to 593 K. At 593 K, as the reaction time increased from 1 to 6 h, the conversion of bio-oil and the yield of paraffin increased from 44.79% to 100% and from 20.55% to 55.17%, respectively.
Kim et al. [50] studied the hydrothermal conversion of waste lipids (waste soybean oil and animal fat residuals) to liquid hydrocarbons without the necessity for adding chemical inputs such as hydrogen and methanol. For hydrothermal conversion, they used 20 g waste soybean oil, 2 g Pt-Re/C, and 80 g of water at 573 K (at a rate of 10 °C min−1) and 10 MPa. The reactor was sealed and pressurized with N2(g). For waste soybean oil, after 2 h of reaction, 62.8% of the fatty acids were transformed into hydrocarbons (C15–C22), while for 4 h, the conversion of fatty acid increased to 95%, and the conversion of 100% was detected after 6 h. They showed with gas chromatography that the initial prevalence of palmitic and stearic acids was substituted by heptadecane and pentadecane, respectively, with only small quantities of octadecane, hexadecane, and C19–C22 hydrocarbons. For animal fat and six hours of reaction, a complete conversion to hydrocarbons was also observed.
Edeh, Overton, and Bowra [51] investigated the hydrothermal decarboxylation of hexadecanoic acid and octadec-9-enoic acid to form pentadecane (C15) and heptadecane (C17). In total, 100 mg of fatty acid with 20 mg of Pt/C and 15 mL of water were charged into the reactor. Temperatures of 563, 573, and 603 K were evaluated for the residence time of 4 h. Different residence times (0.5, 1, 1.5, and 3 h for hexadecanoic acid, and 0.5, 1, and 4 h for octadec-9-enoic acid) were analyzed at 563 K. For hexadecanoic acid, the maximum molar yields of C15 was 20% (at 573 K and 4 h) and the minimum was 17.32% (at 603 K and 4 h), and those for C17 were 5.3% (563 K and 4 h) and 3.1% (603 K and 4 h), respectively. The conversion of hexadecanoic acid raised from 63.4% (at 563 K and 4 h) to 64.2% (at 573 K and 4 h) and then decreased to 36.5% at 603 K, while the selectivity of C15 growth from 29.2% (at 563 K and 4 h) to 46.8% (at 603 K and 4 h). For C17, the highest selectivity was 8.1% (at 563 and 4 h) and the lowest selectivity was 5.4% (at 603 K and 4 h). The study of the effect of reaction time using hexadecanoic acid as feedstock demonstrated that the lowest conversion was 48.7% (after 0.5 h) and the highest was 79.1% (after 3 h). The yield of C15 growth from 24.8% to 55.3% when the reaction time ranged from 0.5 to 1.5 h, and then decreased to 27.6% after 3 h. The yield of C17 increased from 1.7% to 4.4% when the reaction time increased from at 0.5 to 1.5 h, and reduced to 3.1% after 3 h. The maximum selectivity of C15 was 89.1% after 1.5 h, and the lowest selectivity of C15 was 36.2% after 3 h, while those of C17 were 7.3% after 1.5 h and 3.1% after 0.5 h. For octadec-9-enoic acid, the influence of temperature showed that the highest and lowest conversions were 92% (603 K and 4 h) and 79.9% (563 K and 4 h). The highest molar yield of C15 was 3.6% (at 563 K and 4 h), and the lowest molar yield of C15 was 3.1% (603 K and 4 h), and those of C17 were 16.4% (at 563 K and 4 h) and 10.7% (603 K and 4 h). The maximum selectivity for C15 was 10.5% (at 603 K and 4 h), and the minimum selectivity for C15 was 4.0% (and 573 K and 4 h), and those of C17 were 20.2% (563 k and 4 h) and 3.2% (603 K and 4 h). The influence of reaction demonstrated the lowest conversion of octadec-9-enoic acid was 53.5% after 0.5 h, and the highest was 64.9% after 1 h. After 1 h, the maximum molar yield of C15 was 4.6%, and the maximum molar yield of C17 was 7.2%. The minimum values of molar yield of C15 and C17 were 4.0% and 4.5%, and both were formed after 0.5 h. Finally, the maximum selectivity of C15 was 7.6% after 0.5 h and the maximum selectivity of C17 was 11.0% after 1 h. The minimum values were 7.0% after 1 h and 8.4% after 0.5 h.
Hossain et al. [52] studied the catalytic hydrothermal method for the decarboxylation of oleic acid with activated carbon. They used a temperature range from 623 to 673 K, the ratio of water/oleic acid ranged from 2:1 to 4:1, v/v, the ratio of catalyst/oleic acid ranged from 0.15 to 0.75, and residence times were 1 and 2 h. They also did a blank experiment (without catalyst) with water. The conversion of oleic acid at 673 K, 2 h, and using the ratio of oleic acid/water equal to 1:4 and without catalyst was 61%, and the selectivity of heptadecene and heptadecane was 46% and 9%, respectively. The conversion of oleic acid with 5 g of carbon activated catalyst for the same operating conditions was 97%, and the selectivity of heptadecane, heptadecene, hexadecane, pentadecane, tetradecane, tridecane, and dodecane was 81%, 0.6%, 4%, 4.4%, 2.8%, 5.1%, and 2.2%, respectively. They also demonstrated a pseudo-first-order reaction rate that follows an Arrhenius kinetics, with an activation energy of 90.6 ± 3 kJ mol−1. The decarboxylation kinetics of oleic acid using activated carbon as a hydrothermal catalyst was investigated at different temperatures (from 350 °C to 400 °C), different reaction times (from 0.5 to 2.0 h), the pressure of 15.1 MPa, the ratio of water/oleic acid was 4:1 (v/v), and 5 g of activated carbon catalyst for each reaction.

6.1.3. Reactions Present in Hydrothermal Technologies with Vegetable Oils and Fatty Acids

Some authors of hydrothermal processes of fatty acids and vegetable oils have described studies focusing on possible reactions in hydrothermal technology near the supercritical region of water. The main reactions that convert fatty acids into hydrocarbons are deoxygenation reactions. Deoxygenation reactions are divided into decarboxylation, decarbonylation, and hydrodeoxygenation reactions. Decarboxylation or decarbonylation reactions generate C(n−1) hydrocarbons, and the hydrodeoxygenation reaction produces hydrocarbons with a Cn + nH2O carbon chain. Decarboxylation does not need the existence of hydrogen and forms CO2, while decarbonylation needs a hydrogen molecule for a fatty acid molecule and produces CO and H2O. In addition to the main reactions, there are also side reactions in the hydrothermal medium, such as isomerization, hydrolysis, hydrogenation, ketonization, and water–gas shift reactions, dehydrogenation, methanation, catalytic, and thermal cracking.
Holliday, King, and List [23] observed the presence of geometric isomerization of linolenic acid at temperatures near 523 K, with 0.7 g mL−1 of water and without a catalyst. However, when they observed the reactions at higher temperatures near 646 K, they perceived decomposition and polymerization reactions of the triglycerides and fatty acids such as hexanoic, octanoic, decanoic, dodecanoic, tetradecanoic, hexadecanoic, octadecanoic, octadec-9-enoic, and octadeca-9,12-dienoic acids, which produces greases.
Hossain et al. [27] found that the 10 wt% of Mo-Al2O3 promotes the hydrogenation of oleic acid (C=C to C-C) without the addition of hydrogen and under several temperatures (598, 623, 648, and 673 K), different ratios (v/v) of water/oleic acid (5:1, 4:1, 3:1, and 2:1), and residence times (4, 2, 1, and 0.5 h). Shin et al. [53] visualized that as the temperature increased (573–643 K), geometric or positional isomerization, hydrogenation, and cracking of fatty acid were identified. The reaction system consisted of 2 mL of fatty acids (octadecanoic, octadec-9-enoic, and octadeca-9,12-dienoic acids), different times (from 0 to 30 min) and constant pressure (20 MPa). No catalyst was used. Moreover, they recommended that hydrolysis of triglycerides under subcritical water should be performed with temperature inferior to 573 K (20 MPa) and lower than 30 min to acquire high-efficiency fatty acid production.
Miao et al. [35] noted the presence of ketonization reactions. Hydrothermal catalytic deoxygenation of 0.5 g of palmitic acid with 0.5 g of ZrO2 at 573 K, six hours, and 4.5 mL of water obtained palmitone selectivity equal to 51% C; however, in this case, 100 psi H2 was introduced. Moreover, C8–C14 varieties were produced by hydrogenolysis which also formed a significant amount of methane. The results demonstrated that hydrogenolysis and decarbonylation were the main reactions that occurred.
Nanda et al. [31] noted that high temperatures (648–948 K) favor the dehydrogenation and the water–gas shift reaction of saturated fatty acids and hydrocarbons with higher hydrogen yield. For this, different temperatures (648–948 K), concentrations ranging from 25 wt% to 40 wt%, and different reaction times (15–60 min) were applied. High amounts of raw material prioritize methanation reaction and higher amounts of methane. In addition, the catalytic study at 948 K, 25 wt% of waste soybean oil, and 60 min revealed that 5 wt% of Ru/Al2O3 demonstrated maximum yield of hydrogen (10.16 mol kg−1) due to water–gas shift reaction, whereas 5 wt% Ni/Si-Al2O3 resulted in high yield of methane (8.15 mol kg−1) due to hydrogenation and methanation reactions. They also proved that the ionic mechanism (close to 22.1 MPa and temperature < 673 K) and the free radical mechanism (temperature > 673 K) prevail in the supercritical system.
The hydrothermal hydrolysis reaction in the organic phase is a first-order reaction, according to Peterson et al. [5]. Some authors have proven the order of the hydrolysis reaction in hydrothermal technology. For example, Khuwijitjaru et al. [41] observed that the hydrolysis of each ester followed first-order kinetics in the temperature range of 483–543 K. Besides this, they noted that the methyl laurate was hydrolyzed faster than butyl laurate at 483, 503, 523, and 543 K.
Kim et al. [50] reported that decarboxylation and decarbonylation of stearic acid were the predominant in the hydrothermal deoxygenation, using 2 g of Pt-Re/C at 573 K, 10 MPa, and 80 g of water.
Finally, according to several authors, it is possible to describe a viable integrated reaction scheme for hydrothermal technology (Scheme 3). Two reaction mechanisms are predominant within the supercritical regime, being particularly the ionic mechanism and the free-radical mechanism. With the temperature near 647 K, it is possible to observe the water acting in the hydrolysis reactions (an ionic mechanism) occasioning dehydration and cleavage of the substances. At temperatures above 647 K, the free-radical mechanism can act on the decomposition, depolymerization, decarboxylation, and deamination reactions of the feedstock components [5,6,18,31].
Initially, the triglyceride is hydrolyzed to fatty acid and glycerol. Glycerol released by hydrolysis may undergo water phase reforming reactions to generate H2 or may be catalytically decomposed to generate CO, which will be subsequently consumed by the water–gas shift reaction for additional H2 generation [14,18].
The hydrolysis is reversible and a first-order reaction. In the first stage, the triglyceride is hydrolyzed to diglyceride; in the second stage, the diglyceride is hydrolyzed to monoglyceride; and in the third stage, the monoglyceride is hydrolyzed to fatty acid and glycerol. In each stage, there is the formation of fatty acid [24]. The hydrolysis reaction produces diglycerides, monoglycerides, and fatty acid, which are shown in Scheme 4.
Lipid conversion is much faster than free fatty acids because of the in-situ production of H2 through aqueous-phase reforming of the glycerol generated during the hydrolysis of triglyceride [38]. In the presence of excess glycerol, there is an increase in the hydrothermal deoxygenation activity [54]. This can be explained by the fact that each glycerol molecule can generate at least 4H2 molecules and at most 7H2 molecules. The aqueous-phase reforming of glycerol was shown in Equations (1) and (2).
Glycerol → 3CO + 4H2
3 CO + 3 H2O → 3 CO2 + 3H2
Along with in situ H2 production, shorter chain fatty acid production can also occur through fatty acid thermal cracking reactions, which will depend on the optimal cracking temperature range for each fatty acid and by successive hydrogenolysis [49].
Successive hydrogenolysis occurs by cleavage of carbon-carbon bonds. The presence of methane in the gaseous products and the increase in hydrocarbons with lower carbon-chains evidenced the presence of hydrogenolysis [49]. That is, initially stearic acid is broken by cleavage of the final carbon-carbon bond to produce heptadecanoic acid. Heptadecanoic acid may be further broken down to form pentadecanoic acid or may be converted into hexadecane through decarboxylation or decarbonylation reactions. The pentadecanoic acid formed will repeat the pathway to form tetradecanoic acid or n-tetradecane.
The presence of unsaturated fatty acids undergoes hydrogenation reactions to produce saturated fatty acids. The saturated fatty acids formed may follow two pathways for the production of shorter chain alkanes. The first possibility is the fatty acid hydrogenolysis and then its deoxygenation reactions (hydrodeoxygenation, decarbonylation, and decarboxylation reactions). The second alternative is the deoxygenation of the fatty acid and then the catalytic cracking of hydrocarbons produced. In both pathways, decarboxylation and decarbonylation reactions are present, with the loss of one molecule of CO2 and CO, respectively, which will result in the formation of aliphatic hydrocarbons having an equal carbon number of Cn−1. When there is not the production of new fatty acids different from the feedstock, and there is only the formation of hydrocarbons, it can be concluded that decarboxylation, decarbonylation, or hydrodeoxygenation reactions occur first and thereafter catalytic cracking [38].
Besides this, both short-chain saturated fatty acids and long-chain saturated fatty acids may undergo other reactions. These include steam reforming to produce H2, CO, and CO2; thermal cracking to form CH4, acetylene (C2H2), ethylene (C2H4), ethane (C2H6), and propane (C3H8); and catalytic cracking, which will depend on the type of catalyst, to produce light hydrocarbons (C10–C16) [18,31]. Moreover, there are others reactions in the hydrothermal technology; for instance, methanation is favored between 373 and 673 K and high pressure, and it reacts the hydrogen with CO or CO2 to form CH4 and the gasification that becomes predominant above 647 K and converts hydrocarbons and short-chain fatty acids into H2, CO, and CO2. Both, however, decrease the degree of deoxygenation of fatty acids in hydrothermal technology.

6.2. Trends for Hydrothermal Experiments Using Vegetable Oils and Fatty Acids

Figure 5 shows the number of articles published per year. The number of hydrothermal articles using fatty acids and triglycerides as raw materials is 15 and 21 articles, respectively. The oldest article was published in 1997 and studies the hydrolysis of vegetable oils, using subcritical water and without catalysts to produce fatty acids [23]. Hydrothermal processes using triglycerides as raw materials emerged in 1997. Until 2015, there was only one article published per year. In 2018 and 2019, three documents were published each year. Hydrothermal articles using fatty acids as feedstock, on the other hand, emerged in 2002. The year with the highest number of published articles was 2015, with four documents. In 2019, three documents were published. In 2020, no hydrothermal article using fatty acid or triglyceride has been published.
Most of the countries that have published hydrothermal articles are in the West. The United States of America has published the largest number of hydrothermal articles, with thirteen articles (four articles use vegetable oil and nine documents use triglycerides as raw materials). Then there is China, with seven documents (two articles use vegetable oil and five documents use fatty acids as feedstock). It is interesting to comment that India, Australia, and the Netherlands published one article each.
Moreover, some articles were prepared through partnerships between universities and research centers. For hydrothermal articles from fatty acids, the partnerships that exist were between United States and China, with Zhejiang University and the University of Michigan, and with Chongqing University and the Colorado School of Mines. For hydrothermal articles from triglycerides, the partnerships that exist were between the United Kingdom and Kuwait, with the University of Birmingham and the Kuwait Institute for Scientific Research; between the Republic of Korea and the United States, with the Korean Military Academy, the National Renewable Energy Center, the Illinois Sustainable Technology Center, and the Colorado School of Mines; and between Canada and China, with the University of Western Ontario, the University of Saskatchewan, Saskatoon, York University, the Nanjing Agricultural University, and the University of Waterloo. Figure 6 shows the number of articles published for each country.
Regarding hydrothermal technology, from the current stage to the short-term, it is possible to observe a greater emphasis on the “process”. The main trends observed over time are the identification of catalysts that favor deoxygenation reactions from fatty acids to hydrocarbons and studies of the hydrothermal process with in situ hydrogen production. Moreover, the identification of the compounds obtained and the elucidation of the main reactions that occur in the hydrothermal process are considered important trends.
The parameters of the process most studied over time are reactor temperature, residence time, feedstock, biomass:water ratio, and catalyst loading. In the long-term, the greatest concern will be to find the optimization of these parameters that allow greater selectivity and yields. Moreover, another concern is the use of raw materials with no added value, such as waste from the vegetable oil industry. The major trend observed for the long-term will be the search for hydrothermal processes at a temperature close to the supercritical water, aiming at producing drop-in biofuels.
As a matter of fact, the analysis of all hydrothermal experimental articles demonstrated that the majority has an interest in hydrothermal reactions that occur at a temperature close to the supercritical reaction (523–647 K and <220 bar). Furthermore, their main objective is to convert fatty acids and triglycerides into a liquid product with chemical properties entirely different from raw materials such as renewable hydrocarbons (paraffin, aromatics, and olefins). This preference occurs since triglycerides and fatty acids can be used as raw material to generate renewable fuel; and the catalytic decarboxylation of triglycerides is a promising route for producing hydrocarbons [5,18,27]. Figure 7 and Figure 8 show the temperatures used for reactions with fatty acids and triglycerides. For triglycerides, only Chen et al. [30] and Nada et al. [31] investigated the hydrothermal technology into the supercritical region (hydrothermal gasification —>647 K), while for fatty acid, there were the articles of Mo, Tandar, and Savage [19]; Mo and Savage [39]; Watanabe et al. [43]; Hossain et al. [45]; and Miao et al. [49].
Concerning raw materials, most hydrothermal articles with triglycerides chose sunflower and soybean oils as feedstocks. However, it was possible to observe other vegetable oils, such as coconut, castor, rapeseed, palm, and linseed oils. This demonstrated the necessity of using other vegetable oils, especially the residue they produced after their extraction and use. The production of vegetable oil produces partially defatted residues, which are rich in vegetable fibers, proteins, and some lipids that can generate different products with greater added value upon hydrothermal technology. For example, Kim et al. [50] used waste soybean oil and converted 95% to hydrocarbons (C15–C22) after 6 h, 2 g Pt-Re/C at 573 K, and 10 Mpa, while for fatty acids, most chose saturated fatty acids as model components for hydrothermal reactions. Palmitic and stearic acids were the most used. Articles by Khuwijitjaru, Adachi, and Matsuno [40] and Yang et al. [34] used other types of fatty acid, such as capric, myristic, lauric, arachidic, and behenic acids, and Khuwijitjaru et al. [41] applied fatty acid esters. It was noted, however, that unsaturated fatty acids have also been used as raw material. Most of the cases were from comparative studies between saturated and unsaturated fatty acids. The most investigated unsaturated fatty acids were oleic and linoleic acids.
Most hydrothermal articles using triglycerides as feedstock did not show conversion values. Their focus was on the yield of alkanes and fatty acids that ranged from 8 to 72 wt% and from 12% to 100%, respectively. For studies with fatty acids, it is possible to see from Figure 9 that there is no single value for conversion. One explanation for the large discrepancy in conversion and yield values is that they are due to the different reactions that occur simultaneously from the feedstock in the subcritical and supercritical environment of water, making the hydrothermal process complex. At the same time, due to the coexistence of the liquid and gaseous phases of water, numerous side reactions coexisted. Besides, the rate of the reactor, the temperature, the reaction time, and the amount of catalyst can also influence the results of conversion, yield, and selectivity.
The use of catalysts in hydrothermal technology aims to develop the efficiency of the process [6]. Most of the hydrothermal articles with triglycerides and fatty acids that were analyzed preferred to use heterogeneous catalysts. Studies that applied metallic catalysts with platinum, palladium, nickel, and ruthenium were found. Catalysts containing noble metals such as Pt, Pd, Ni, and Ru are expensive, and, for this reason, studies have shifted the focus to the use of metal oxides [6]. Among them, articles that applied metallic oxides such as ZrO2, ceria (CeO2), and yttria (Y2O3) were found [43,49]. Some articles used noble metals coupled with metal oxides, such as Ni/ZrO2 catalysts [35,49]. Other articles also used activated carbon as a catalyst, since it is cheap, it is very effective for hydrothermal decarboxylation of fatty acids, and it contributes to the steam reforming to generate hydrogen [45]. The use of zeolites has also been observed in hydrothermal articles. Zeolite catalysts were chosen since they could catalyze reactions of cracking and aromatization, and they could convert fatty acids into aromatic substances, along with olefins and paraffins in supercritical water [19,39]. Among the zeolites used were zeolite Y, zeolite beta, ZSM-5, HZSM-5, and MoZSM-5. In addition to heterogeneous catalysts, homogeneous catalysts comprising alkali salts such as NaOH and KOH were also applied in hydrothermal processes. Alkali salts decrease the production of char/tar, as the OH- neutralizes the substances causing polymerization in char formation, accelerates the water-gas shift reaction, which increases the product yield, and does not undergo deactivation problems [5,6]. Finally, articles without the presence of catalysts were also found. Their purpose was to study the non-catalytic thermal hydrolysis and the hydrothermal technology without a catalyst.
Regarding residence time, most articles chose to work with times longer than an hour of reaction. For fatty acids, as can be seen in Figure 10, most cases chose to work between one and six hours. Zhang et al. [38] and Hossain et al. [45] used reaction times longer than six hours. Zhang et al. [38] studied catalytic hydrothermal decarboxylation and cracking, and Hossain et al. [45] investigated the thermal regeneration of activated carbon. For vegetable oils, the reaction times were shorter, ranging from 10 to 240 min (Figure 11).
In most of the investigated hydrothermal articles, pressures were autogenous; in other words, they were generated by temperature during the hydrothermal process. A potential advantage that occurs with the change in temperature and pressure in the presence of sub- and supercritical water is the possibility of obtaining large variations in the properties of the reaction medium and optimizing the reaction without the need to apply a solvent [5]. For articles that controlled the pressure, for both vegetable oils and fatty acids, they operated at pressures ranging from 5 to 25 MPa (Figure 12 and Figure 13).
As it can be seen from all the results exposed in this study, the hydrothermal process still needs to be continuously explored. Even though the results cover a wide range of process parameters, such parameters have not been optimized. Therefore, it is not possible to state what are the ideal conditions (temperature, pressure, amount of catalyst, water/biomass ratio, and residence time) for obtaining high conversions, along with high hydrocarbon yields and high selectivities, at the same time. Before doing the optimization of the hydrothermal process, it is important to overcome many challenges, including the following: (1) the reactors are very complex and expensive, and they have to operate with high pressures and high capacity to handle of water; (2) the comprehension of mass balance makes it difficult to exactly measure product yields during the hydrothermal reaction; (3) the formation of coke and tar; and (4) the clogging and the obstruction of the reactor caused by the precipitation of organic salts combined with coke [6,8,9].
Finally, some challenges should be further explored in hydrothermal articles, including the following:
  • The analysis of critical parameters (temperature, pressure, residence time, and catalyst) with the results of selectivity, yield for hydrocarbons, and conversion of the raw material; currently, most articles focus only on temperature and residence time;
  • The optimization of the hydrothermal process, presenting optimal parameters such as temperature, pressure, residence time, amount of catalyst, and biomass/water ratio;
  • The comparison between the results obtained with model compounds and real biomass;
  • The study of the gas phase formed in the hydrothermal process, with its main products and reactions pathways;
  • The investigation of the main pathways of hydrogen formation in situ (water-gas shift reaction and aqueous-phase reforming);
  • The investigation of how a raw material’s chemical structure influences hydrothermal reactions;
  • Kinetics studies of the hydrothermal reaction, comparing results obtained with model compounds and real biomass.
  • The study and analysis of the results obtained after the regeneration of various types of catalysts.

7. Conclusions

In conclusion, the hydrothermal process is a recent technique. Since 2008, there has been a growth in technological studies concerning hydrothermal processes. Additionally, it is possible to see the motivation to apply hydrothermal technology in vegetable oils, to produce renewable hydrocarbons and drop-in fuels. The hydrothermal process is a promising technique to produce biofuels, because it obtains high yields, has high energy during the reaction, and has efficiency in the step of separation. Most of the hydrothermal processes that use vegetable oils and fatty acids produce only hydrocarbons in the organic phase. Most saturated fatty acids have a higher percentage of fatty acids, ranging from dodecanoic acid to eicosanoic acid. Hence, when the hydrothermal process occurs, these saturated fatty acids undergo decarboxylation, decarbonylation, and produce Cn−1 hydrocarbons similar to those present in gasoline, kerosene, or diesel (C9–C19). Moreover, some by-products may be generated in hydrothermal technology of vegetable oils and fatty acids. They are CH4 (methanation or hydrogenolysis), H2, CO and CO2 (steam reforming), acetylene (C2H2), ethylene (C2H4), ethane (C2H6), and propane (C3H8) (thermal cracking). As aforementioned, more stringent environmental regulations call for the development of green middle distillate derivatives. Main commercial middle distillate fuels are diesel and jet fuel, whose carbon chains are in the range of C9 to C15. Hence, it is important to choose a raw material that allows the production of hydrocarbons between C9 and C15. Furthermore, one must employ process temperatures between 623 and 673 K, a heterogeneous noble-metal-containing catalyst (such as Pd, Pt, or Ni), and reaction times longer than one hour.

Author Contributions

Conceptualization, C.Z.C.; methodology, C.Z.C.; formal analysis, C.Z.C.; investigation, C.Z.C.; resources, E.F.S.-A. and M.A.P.G.C.; data curation, C.Z.C.; writing—original draft preparation, C.Z.C.; writing—review and editing, C.Z.C., E.F.S.-A., M.A.G.P.C., and J.F.S.d.C.F.; visualization, C.Z.C., E.F.S.-A., M.A.P.G.C., and J.F.S.d.C.F.; supervision, E.F.S.-A., M.A.P.G.C., and J.F.S.d.C.F.; project administration, C.Z.C. All authors have read and agreed to the published version of the manuscript.

Funding

This research received no external funding.

Acknowledgments

The authors would like to thank Coordenação de Aperfeiçoamento de Pessoal de Nível Superior (CAPES) for the fellowships.

Conflicts of Interest

The authors declare no conflict of interest.

References

  1. Chiaramont, D.; Oasmaa, A.; Solantausta, Y. Power generation using fast pyrolisis liquids from biomass. Renew. Sustain. Energy Rev. 2007, 11, 1056–1086. [Google Scholar] [CrossRef]
  2. Tsitaa, K.G.; Kiartzisb, S.J.; Ntavosa, N.K.; Pilavachi, P.A. Next generation biofuels derived from thermal and chemical conversion of the Greek transport sector. Therm. Sci. Eng. Prog. 2020, 17, 1–7. [Google Scholar] [CrossRef]
  3. Zhou, Y.; Nanda, S.; Hu, C. Catalytic thermochemical conversion of algae and upgrading of algal oil for the production of high-grade liquid fuel: A review. Catalysts 2020, 10, 145. [Google Scholar] [CrossRef]
  4. Ong, H.C.; Chen, W.-H.; Farooq, A.; Gana, Y.Y.; Leed, K.T.; Ashokkumar, V. Catalytic thermochemical conversion of biomass for biofuel production: A comprehensive review. Renew. Sustain. Energy Rev. 2019, 109266. [Google Scholar] [CrossRef]
  5. Perterson, A.A.; Vogel, F.; Lachance, R.P.; Fröling, M.; Antal, M.J., Jr.; Tester, J.W. Thermochemical biofuel production in hydrothermal media: A review of sub- and supercritical water technologies. Energy Environ. Sci. 2008, 1, 32–65. [Google Scholar] [CrossRef]
  6. Kumar, M.; Ouedum, A.O.; Kumar, A. A review on the current status of various hydrothermal technologies on biomass feedstock. Renew. Sustain. Energy Rev. 2018, 81, 1742–1770. [Google Scholar] [CrossRef]
  7. Patel, B.; Guo, M.; Izadpanah, A.; Shah, N.; Hellgardt, K. A review on hydrothermal pre-treatment technologies and environmental profiles of algal biomass processing. Bioresour. Technol. 2016, 199, 288–299. [Google Scholar] [CrossRef]
  8. Toor, S.S.; Rosendahl, L.; Rudolf, A. Hydrothermal liquefaction of biomass: A review of subcritical water Technologies. Energy 2011, 36, 2328–2342. [Google Scholar] [CrossRef]
  9. Nanda, S.; Isen, J.; Dalai, A.K.; Kozinski, J.A. Gasification of fruit wastes and agro-food residues in supercritical water. Energy Convers. Manag. 2016, 110, 296–306. [Google Scholar] [CrossRef]
  10. Elliott, D.C.; Biller, P.; Ross, A.B.; Schmidt, A.J.; Jones, S.B. Hydrothermal liquefaction of biomass: Developments from batch to continuous process. Bioresour. Technol. 2015, 178, 147–156. [Google Scholar] [CrossRef] [PubMed]
  11. Toor, S.S.; Reddy, H.; Deng, S.; Hoffmann, J.; Spangsmark, D.; Madsen, L.B. Hydrothermal liquefaction of Spirulina and Nannochloropsis salina under subcritical and supercritical water conditions. Bioresour. Technol. 2013, 131, 413–419. [Google Scholar] [CrossRef] [PubMed]
  12. Gollakota, A.R.K.; Kishore, N.; Gu, S. A review on hydrothermal liquefaction of biomass. Renew. Sustain. Energy Rev. 2018, 81, 1378–1392. [Google Scholar] [CrossRef]
  13. Idesh, S.; Kudo, S.; Norinaga, K.; Hayashi, J.-I. Catalytic hydrothermal reforming of jatropha oil in subcritical water for the production of green fuels: Characteristics of reactions over Pt and Ni catalysts. Energy Fuels 2013, 27, 4796–4803. [Google Scholar] [CrossRef]
  14. Vardon, R.; Sharma, B.; Jaramillo, H.; Kim, D.; Choe, J.; Ciesielski, P.; Strathmann, T. Hydrothermal catalytic processing of saturated and unsaturated fatty acids to hydrocarbons with glycerol for in situ hydrogen production. Green Chem. 2014, 16, 1507–1520. [Google Scholar] [CrossRef]
  15. Robin, T.F.; Jones, J.M.; Ross, A.B. Catalytic hydrothermal processing of lipids using metal doped zeolites. Biomass Bioenergy 2017, 98, 26–36. [Google Scholar] [CrossRef]
  16. Ramirez, J.A.; Brown, R.J.; Rainey, T.J. A review of hydrothermal liquefaction bio-crude properties and prospects for upgrading to transportation fuels. Energies 2015, 8, 6765–6794. [Google Scholar] [CrossRef]
  17. Tzanetis, K.F.; Posada, J.A.; Ramirez, A. Analysis of biomass hydrothermal liquefaction and biocrude-oil upgrading for renewable jet fuel production: The impact of reaction conditions on production costs and GHG emissions performance. Renew. Energy 2017, 113, 1388–1398. [Google Scholar] [CrossRef]
  18. Al Alwan, B.; Salley, S.O.; Ng, S.K.Y. Biofuels production from hydrothermal decarboxylation of oleic acid and soybean oil over Ni-based transition metal carbides supported on Al-SBA-15. Appl. Catal. A 2015, 498, 32–40. [Google Scholar] [CrossRef]
  19. Mo, N.; Tandar, W.; Savage, P.E. Aromatics from saturated and unsaturated fatty acids via zeolite catalysis in supercritical water. J. Supercrit. Fluids 2015, 102, 73–79. [Google Scholar] [CrossRef]
  20. Knez, Z.; Hrncic, M.K.; Čolnik, M.; Škerget, M. Chemicals and value added compounds from biomass using sub- and supercritical water. J. Supercrit. Fluids 2018, 133, 591–602. [Google Scholar] [CrossRef]
  21. Kipçak, E.; Sögüt, O.O.; Akgun, M. Hydrothermal gasification of olive mill wastewater as a biomass source in supercritical water. J. Supercrit. Fluids 2011, 57, 50–57. [Google Scholar] [CrossRef]
  22. Wang, Y.; Chen, G.; Li, Y.; Yan, B.; Pan, D. Experimental study of the bio-oil production from sewage sludge by supercritical conversion process. J. Waste Manag. 2013, 33, 2408–2415. [Google Scholar] [CrossRef] [PubMed]
  23. Holliday, R.L.; King, J.W.; List, G.R. Hydrolysis of vegetable oils in sub-and supercritical water. Ind. Eng. Chem. Res. 1997, 36, 932–935. [Google Scholar] [CrossRef]
  24. Alenezi, R.; Leeke, G.A.; Santos, R.C.D.; Khan, A.R. Hydrolysis kinetics of sunflower oil under subcritical water conditions. Chem. Eng. Res. Des. 2009, 87, 867–873. [Google Scholar] [CrossRef]
  25. Fujii, T.; Khuwijitjaru, P.; Kimura, Y.; Adachi, S. Decomposition kinetics of monoacyl glycerol and fatty acid in subcritical water under temperature-programmed heating conditions. Food Chem. 2006, 94, 341–347. [Google Scholar] [CrossRef]
  26. King, J.W.; Holliday, R.L.; List, G.R. Hydrolysis of soybean oil in a subcritical water flow reactor. Green Chem. 1999, 1, 261–264. [Google Scholar] [CrossRef]
  27. Hossain, M.Z.; Chowdhur, M.B.I.; Jhawar, A.K.; Xu, W.Z.; Biesinger, M.C.; Charpentier, P.A. Continuous Hydrothermal Decarboxylation of Fatty Acids and Their Derivatives into Liquid Hydrocarbons Using Mo/Al2O3 Catalyst. J. Am. Chem. Soc. 2018, 3, 7046–7060. [Google Scholar] [CrossRef] [PubMed]
  28. Obeid, R.; Lewis, D.; Smith, N.; Eyk, P.V. The elucidation of reaction kinetics for hydrothermal liquefaction of model macromolecules. Chem. Eng. J. 2019, 370, 637–645. [Google Scholar] [CrossRef]
  29. Kaur, R.; Gera, P.; Jha, M.K.; Bhaskar, T. Reaction parameters effect on hydrothermal liquefaction of castor (Ricinus Communis) residue for energy and valuable hydrocarbons recovery. Renew. Energy 2019. [Google Scholar] [CrossRef]
  30. Chen, Y.; Yang, F.; Wu, L.; Wang, C.; Yang, Z. Co-deoxy-liquefaction of biomass and vegetable oil to hydrocarbon oil: Influence of temperature, residence time, and catalyst. Bioresour. Technol. 2011, 102, 1933–1941. [Google Scholar] [CrossRef] [PubMed]
  31. Nanda, S.; Rana, R.; Hunter, H.N.; Fang, Z.; Dalai, A.K.; Kozinski, J.A. Hydrothermal catalytic processing of waste cooking oil for hydrogen-rich syngas production. Chem. Eng. Sci. 2019, 195, 935–945. [Google Scholar] [CrossRef]
  32. Sugami, Y.; Minami, E.; Saka, S. Renewable diesel production from rapeseed oil with hydrothermal hydrogenation and subsequent decarboxylation. Fuel 2016, 166, 376–381. [Google Scholar] [CrossRef]
  33. Jin, M.; Choi, M. Hydrothermal deoxygenation of triglycerides over carbon-supported bimetallic PtRe catalysts without an external hydrogen source. Mol. Catal. 2019, 474, 110419. [Google Scholar] [CrossRef]
  34. Yang, C.; Nie, R.; Fu, J.; Hou, Z.; Lu, X. Production of aviation fuel via catalytic hydrothermal decarboxylation of fatty acids in microalgae oil. Bioresour. Technol. 2013, 146, 569–573. [Google Scholar] [CrossRef] [PubMed]
  35. Miao, C.; Marin-Flores, O.; Davidson, S.D.; Li, T.; Dong, T.; Gao, D.; Wang, Y.; Garcia-Pérez, M.; Chen, S. Hydrothermal catalytic deoxygenation of palmitic acid over nickel catalyst. Fuel 2016, 166, 302–308. [Google Scholar] [CrossRef]
  36. Zhang, Z.; Chen, Z.; Gou, X.; Chen, H.; Chen, K.; Lu, X.; Ouyang, P.; Fu, J. Catalytic Decarboxylation and Aromatization of Oleic Acid over Ni/AC without an Added Hydrogen Donor. Ind. Eng. Chem. Res. 2018, 57, 8443–8448. [Google Scholar] [CrossRef]
  37. Edeh, I.; Overton, T.; Bowra, S. Catalytic hydrothermal deoxygenation of fatty acids over palladium on activated carbon catalyst (Pd/C) for renewable diesel production. Biofuels 2019. [Google Scholar] [CrossRef]
  38. Zhang, J.; Huo, X.; Li, Y.; Strathmann, T.J. Catalytic Hydrothermal Decarboxylation and Cracking of Fatty Acids and Lipids over Ru/C. ACS Sustain. Chem. Eng. 2019, 7, 14400–14410. [Google Scholar] [CrossRef]
  39. Mo, N.; Savage, P.E. Hydrothermal catalytic cracking of fatty acids with HZSM-5. ACS Sustain. Chem. Eng. 2014, 2, 88–94. [Google Scholar] [CrossRef]
  40. Khuwijitjaru, P.; Adachi, S.; Matsuno, R. Solubility of Saturated Fatty Acids in Water at Elevated Temperatures. Biosci. Biotechnol. Biochem. 2002, 66, 1723–1726. [Google Scholar] [CrossRef] [PubMed]
  41. Khuwijitjaru, P.; Fujii, T.; Adachi, S.; Kimura, Y.; Matsuno, R. Kinetics on the hydrolysis of fatty acid esters in subcritical water. Chem. Eng. J. 2004, 99, 1–4. [Google Scholar] [CrossRef]
  42. Khuwijitjaru, P.; Kimura, Y.; Matsuno, R.; Adachi, S. Solubility of oleic and linoleic acids in subcritical water. Food Sci. Technol. Res. 2004, 10, 261–263. [Google Scholar] [CrossRef]
  43. Watanabe, M.; Iida, T.; Inomata, H. Decomposition of a long chain saturated fatty acid with some additives in hot compressed water. Energy Convers. Manag. 2006, 47, 3344–3350. [Google Scholar] [CrossRef]
  44. Robin, T.F.; Ross, A.B.; Lea-Langton, A.; Jones, J. Stability and activity of doped transition metal zeolites in the hydrothermal processing. Front. Energy 2015, 3, 51. [Google Scholar] [CrossRef]
  45. Hossain, M.Z.; Jhawar, A.K.; Chowdhury, M.B.I.; Xu, W.Z.; Charpentier, P.A. Deactivation and regeneration studies of activated carbon during continuous decarboxylation of oleic acid in subcritical water. Fuel 2018, 231, 253–263. [Google Scholar] [CrossRef]
  46. Fu, J.; Lu, X.; Savage, P.E. Hydrothermal decarboxylation and hydrogenation of fatty acids over Pt/C. ChemSusChem 2011, 4, 481–486. [Google Scholar] [CrossRef]
  47. Yeh, M.T.; Hockstad, R.L.; Linic, S.; Savage, P.E. Hydrothermal decarboxylation of unsaturated fatty acids over PtSnx=C Catalysts. Fuel 2015, 156, 219–224. [Google Scholar] [CrossRef]
  48. Fu, J.; Shi, F.; Thompson, L.T.; Lu, X.; Savage, P.E. Activated carbons for hydrothermal decarboxylation of fatty acids. Catalysis 2011, 1, 227–231. [Google Scholar] [CrossRef]
  49. Miao, C.; Marin-Flores, O.; Dong, T.; Gao, D.; Wang, Y.; Garcia-Perez, M.; Chen, S. Hydrothermal Catalytic Deoxygenation of Fatty Acid and Bio-oil with In Situ H2. ACS Sustain. Chem. Eng. 2018, 6, 4521–4530. [Google Scholar] [CrossRef]
  50. Kim, D.; Vardon, D.R.; Murali, D.; Sharma, B.K.; Strathmann, T.J. Valorization of Waste Lipids through Hydrothermal Catalytic Conversion to Liquid Hydrocarbon Fuels with in Situ Hydrogen Production. ACS Sustain. Chem. Eng. 2016, 4, 1775–1784. [Google Scholar] [CrossRef]
  51. Edeh, I.; Overton, T.; Bowra, S. Renewable diesel production by hydrothermal decarboxylation of fatty acids over platinum on carbon catalyst. Biofuels 2019. [Google Scholar] [CrossRef]
  52. Hossain, M.Z.; Jhawar, A.K.; Chowdhury, M.B.I.; Xu, W.Z.; Wu, W.; Hiscott, D.V.; Charpentier, P.A. Using Subcritical Water for Decarboxylation of Oleic Acid into Fuel Range Hydrocarbons. Energy Fuels 2017, 31, 4013–4023. [Google Scholar] [CrossRef]
  53. Shin, H.-Y.; Ryu, J.-H.; Park, S.-Y.; Bae, S.-Y. Thermal stability of fatty acids in subcritical water. J. Anal. Appl. Pyrol. 2012, 98, 250–253. [Google Scholar] [CrossRef]
  54. Hollak, S.A.W.; Ariëns, M.A.; de Jong, K.P.; Van Es, D.S. Hydrothermal deoxygenation of triglycerides over Pd/C aided by in situ hydrogen production from glycerol reforming. ChemSusChem 2014, 7, 1057–1060. [Google Scholar] [CrossRef]
Figure 1. Technological processes for the production of biofuels [2,3,4].
Figure 1. Technological processes for the production of biofuels [2,3,4].
Catalysts 10 00843 g001
Figure 2. Regions at the subcritical and supercritical states in hydrothermal process.
Figure 2. Regions at the subcritical and supercritical states in hydrothermal process.
Catalysts 10 00843 g002
Scheme 1. Reaction pathways for catalytic hydrothermal conversion of monoglyceride to n-alkane hydrocarbons.
Scheme 1. Reaction pathways for catalytic hydrothermal conversion of monoglyceride to n-alkane hydrocarbons.
Catalysts 10 00843 sch001
Scheme 2. Proposed reaction pathways through the hydrothermal process of triglyceride [15].
Scheme 2. Proposed reaction pathways through the hydrothermal process of triglyceride [15].
Catalysts 10 00843 sch002
Figure 3. Raw materials used in the hydrothermal process.
Figure 3. Raw materials used in the hydrothermal process.
Catalysts 10 00843 g003
Figure 4. Hydrothermal conversion of lignocellulosic biomass (carbohydrates and lignin) to hydrocarbons, aromatics, and cycloalkanes [8].
Figure 4. Hydrothermal conversion of lignocellulosic biomass (carbohydrates and lignin) to hydrocarbons, aromatics, and cycloalkanes [8].
Catalysts 10 00843 g004
Scheme 3. Scheme of reaction for hydrothermal processing of the triacylglycerides into alkanes.
Scheme 3. Scheme of reaction for hydrothermal processing of the triacylglycerides into alkanes.
Catalysts 10 00843 sch003
Scheme 4. Reaction sequence of the hydrolysis reaction from triglyceride.
Scheme 4. Reaction sequence of the hydrolysis reaction from triglyceride.
Catalysts 10 00843 sch004
Figure 5. Timeline of published articles on hydrothermal technologies from (a) vegetable oils and (b) fatty acids.
Figure 5. Timeline of published articles on hydrothermal technologies from (a) vegetable oils and (b) fatty acids.
Catalysts 10 00843 g005
Figure 6. Number of articles published per each country.
Figure 6. Number of articles published per each country.
Catalysts 10 00843 g006
Figure 7. Temperatures (K) used in hydrothermal experiments with fatty acids.
Figure 7. Temperatures (K) used in hydrothermal experiments with fatty acids.
Catalysts 10 00843 g007
Figure 8. Temperatures (K) used in hydrothermal experiments with triglycerides.
Figure 8. Temperatures (K) used in hydrothermal experiments with triglycerides.
Catalysts 10 00843 g008
Figure 9. Conversion of fatty acids in hydrothermal experiments.
Figure 9. Conversion of fatty acids in hydrothermal experiments.
Catalysts 10 00843 g009
Figure 10. Residence time (minutes) in hydrothermal experiments with fatty acids.
Figure 10. Residence time (minutes) in hydrothermal experiments with fatty acids.
Catalysts 10 00843 g010
Figure 11. Residence time (minutes) in hydrothermal experiments with vegetable oil.
Figure 11. Residence time (minutes) in hydrothermal experiments with vegetable oil.
Catalysts 10 00843 g011
Figure 12. Pressure (MPa) in hydrothermal experiments with vegetable oils.
Figure 12. Pressure (MPa) in hydrothermal experiments with vegetable oils.
Catalysts 10 00843 g012
Figure 13. Pressure (MPA) in hydrothermal experiments with fatty acids.
Figure 13. Pressure (MPA) in hydrothermal experiments with fatty acids.
Catalysts 10 00843 g013
Table 1. Advantages and disadvantages of the hydrothermal process.
Table 1. Advantages and disadvantages of the hydrothermal process.
AdvantagesDisadvantages
High energy and efficiency of separationCorrosion
It can use different raw materials at the same timeCoke and tar formation
Production of drop in fuelsBlockage and obstruction of the reactor
Unnecessary deployment of microorganisms and enzymesDifficulty in recycling and regenerating the catalysts
Combination with other techniquesThe process needs high capital investment
Table 2. Characteristics of water in different temperature ranges.
Table 2. Characteristics of water in different temperature ranges.
ParametersWaterSubcritical WaterSupercritical Water
Temperature (K)298523673
Pressure (MPa)0.1525
Density (g/cm3)0.9970.800.17
Viscosity (m Pa s)0.890.110.03
Dielectric constant 78.527.15.9
Heat capacity (KJ/Kg K)4.224.8613
Thermal conductivity (mW/mK)608620160
Table 3. Exemplification of the properties of nonpolar solvents and water.
Table 3. Exemplification of the properties of nonpolar solvents and water.
ParametersSub aSup bDCM cTHF dCF eHex fCy g
Density (g cm−3)0.800.171.330.891.490.660.77
Viscosity (m Pa s)0.110.30.450.46 0.551.890.83
Dielectric constant (at 293 K)27.15.98.937.584.811.892.02
a Subcritical water; b supercritical water; c dichloromethane; d tetrahydrofuran; e chloroform; f hexane; g cyclohexane.

Share and Cite

MDPI and ACS Style

Zanon Costa, C.; Falabella Sousa-Aguiar, E.; Peixoto Gimenes Couto, M.A.; Souza de Carvalho Filho, J.F. Hydrothermal Treatment of Vegetable Oils and Fats Aiming at Yielding Hydrocarbons: A Review. Catalysts 2020, 10, 843. https://doi.org/10.3390/catal10080843

AMA Style

Zanon Costa C, Falabella Sousa-Aguiar E, Peixoto Gimenes Couto MA, Souza de Carvalho Filho JF. Hydrothermal Treatment of Vegetable Oils and Fats Aiming at Yielding Hydrocarbons: A Review. Catalysts. 2020; 10(8):843. https://doi.org/10.3390/catal10080843

Chicago/Turabian Style

Zanon Costa, Carolina, Eduardo Falabella Sousa-Aguiar, Maria Antonieta Peixoto Gimenes Couto, and José Faustino Souza de Carvalho Filho. 2020. "Hydrothermal Treatment of Vegetable Oils and Fats Aiming at Yielding Hydrocarbons: A Review" Catalysts 10, no. 8: 843. https://doi.org/10.3390/catal10080843

APA Style

Zanon Costa, C., Falabella Sousa-Aguiar, E., Peixoto Gimenes Couto, M. A., & Souza de Carvalho Filho, J. F. (2020). Hydrothermal Treatment of Vegetable Oils and Fats Aiming at Yielding Hydrocarbons: A Review. Catalysts, 10(8), 843. https://doi.org/10.3390/catal10080843

Note that from the first issue of 2016, this journal uses article numbers instead of page numbers. See further details here.

Article Metrics

Back to TopTop