Sign in to use this feature.

Years

Between: -

Subjects

remove_circle_outline
remove_circle_outline
remove_circle_outline
remove_circle_outline
remove_circle_outline
remove_circle_outline
remove_circle_outline
remove_circle_outline
remove_circle_outline

Journals

remove_circle_outline
remove_circle_outline
remove_circle_outline
remove_circle_outline
remove_circle_outline
remove_circle_outline
remove_circle_outline
remove_circle_outline
remove_circle_outline
remove_circle_outline
remove_circle_outline
remove_circle_outline
remove_circle_outline
remove_circle_outline
remove_circle_outline
remove_circle_outline

Article Types

Countries / Regions

remove_circle_outline
remove_circle_outline
remove_circle_outline
remove_circle_outline
remove_circle_outline
remove_circle_outline

Search Results (3,092)

Search Parameters:
Keywords = hydrothermal processing

Order results
Result details
Results per page
Select all
Export citation of selected articles as:
31 pages, 19433 KB  
Article
Mineral Geochemistry of Sulfides and Oxides and Its Implications for Ore-Forming Mechanisms in the Northeast Saveh Epithermal System, Central Urumieh-Dokhtar Magmatic Arc, Iran
by Mohammad Goudarzi, Hassan Zamanian, Urs Klötzli, Alireza Almasi, Sara Houshmand-Manavi and Jiranan Homnan
Minerals 2026, 16(2), 212; https://doi.org/10.3390/min16020212 - 19 Feb 2026
Abstract
We have investigated the major- and trace-element composition of hydrothermal pyrite, magnetite, and Ti-magnetite, and of the principal Cu-minerals chalcopyrite and chalcocite, to constrain ore-forming processes in the northeastern Saveh district (central Urumieh-Dokhtar magmatic arc, Iran). Our data provide new constraints on the [...] Read more.
We have investigated the major- and trace-element composition of hydrothermal pyrite, magnetite, and Ti-magnetite, and of the principal Cu-minerals chalcopyrite and chalcocite, to constrain ore-forming processes in the northeastern Saveh district (central Urumieh-Dokhtar magmatic arc, Iran). Our data provide new constraints on the magmatic–hydrothermal evolution and subsequent hydrothermal–supergene modification of the ore system. Ti-magnetites hosted in monzodioritic intrusions are enriched in Ti–V–Al, plot below the magnetite–ulvöspinel join and record high crystallization temperatures (>500 °C) under relatively low oxygen fugacity. By contrast, magnetite from silica-rich hydrothermal veins is Fe-rich with very low TiO2; it formed at intermediate temperatures (~200–300 °C) under higher fO2 and is markedly depleted in Ti and V compared with the intrusive oxides. Textures and oxide systematics (Al + Mn vs. Ti + V; V/Ti–Fe) document repeated hydrothermal pulses, Fe2+ leaching and element redistribution during cooling and fluid–rock interaction. Geochemical trends indicate progressive evolution from a magmatic fluid to later meteoric water overprint, with increasing As contents reflecting cooling and mixing with meteoric waters. Vertical elemental zoning suggests that most samples represent mid- to deep-level sections of the epithermal system. Elevated Cu contents (up to 0.95 wt.%) highlight pyrite as a significant Cu host. Co/Ni ratios between 1 and 10 further corroborate a magmatic–hydrothermal origin. Chalcopyrite is the principal economic Cu carrier at Northeast Saveh. Replacement follows a temperature- and fluid-controlled pathway (chalcopyrite → covellite → chalcocite). At lower temperatures (<~200 °C) replacement proceeds more slowly, producing chalcocite/digenite under prolonged reaction conditions. Chalcocite commonly occurs as thin replacement rims and fracture fills that concentrate remobilized copper. Collectively, the investigated oxide and sulfide proxies provide robust discriminants for separating magmatic versus hydrothermal domains and for vectoring toward higher-temperature feeders and zones of remobilized copper. Full article
(This article belongs to the Special Issue Igneous Rocks and Related Mineral Deposits)
26 pages, 1942 KB  
Review
Peach Palm (Bactris gasipaes) as a Sustainable Source of Plant Proteins, Dietary Fiber and Other Functional Ingredients: Recovery Techniques and Functional Food Applications
by Kartik Sharma, Nattaya Konsue, Samart Sai-Ut, Ekasit Onsaard, Wanli Zhang, Shusong Wu, Jia-Qiang Huang, Young Hoon Jung and Saroat Rawdkuen
Foods 2026, 15(4), 736; https://doi.org/10.3390/foods15040736 - 16 Feb 2026
Viewed by 128
Abstract
The current rise in global population and the subsequent demand for food supply to meet the current population has directed the attention of researchers towards sustainable, plant-based sources, particularly underutilized crops. Bactris gasipaes is one such underutilized crop with significant functional food value. [...] Read more.
The current rise in global population and the subsequent demand for food supply to meet the current population has directed the attention of researchers towards sustainable, plant-based sources, particularly underutilized crops. Bactris gasipaes is one such underutilized crop with significant functional food value. During processing, 84% of the total weight of the palm is discarded in the form of waste, or so-called by-products, which are a rich source of bioactive compounds. These compounds can be effectively recovered through modern extraction and valorization techniques. This review critically examines the extraction methods, nutritional profiles, and valorization opportunities of peach palm, highlighting both traditional uses and innovative processing strategies. Recent advances enable the targeted recovery of multiple peach palm fractions, e.g., proteins are commonly extracted using alkaline methods, lipids and carotenoids via green solvents or supercritical CO2, and starch and dietary fiber through hydrothermal or downstream separation processes. Key nutritional findings demonstrate that peach palm fractions offer significant protein content (with isolates reaching 40 to 60%), a favorable starch profile (up to 79%), and abundant unsaturated lipids and carotenoids, making them suitable for gluten-free, protein-enriched, and functional ingredient applications. Previous studies have focused mainly on the edible pulp of peach palm for protein, lipid, and carotenoid extraction, whereas other fractions such as peel, seed, and processing residues remain comparatively underexplored due to technological and safety constraints. This review provides a consolidated and critical overview of recent advances in fractionation and green extraction strategies for multiple value-added streams (proteins, lipids, carotenoids, starch, and dietary fiber), highlighting knowledge gaps and opportunities for sustainable food ingredient development. Full article
21 pages, 7102 KB  
Article
Natural Deep Eutectic Solvent-Assisted Hydrothermal Carbonization of Corn Stover for Producing Lignin-Rich Solid Fuel and Sugar-Rich Intermediates
by Mohammad Tarikuzzaman, Shaurav Alam, Muhammad Aamir Iqbal, Md Reazul Islam, Zannatul Ferdous Tulona and Joan G. Lynam
Clean Technol. 2026, 8(1), 25; https://doi.org/10.3390/cleantechnol8010025 - 14 Feb 2026
Viewed by 171
Abstract
The sustainable conversion of agricultural waste biomass, particularly crop residues such as corn stover, into high-value products is vital for reducing their open-field burning and mitigating environmental hazards. The hydrothermal carbonization (HTC) process integrated with natural deep eutectic solvents (NADES) presents an alternative [...] Read more.
The sustainable conversion of agricultural waste biomass, particularly crop residues such as corn stover, into high-value products is vital for reducing their open-field burning and mitigating environmental hazards. The hydrothermal carbonization (HTC) process integrated with natural deep eutectic solvents (NADES) presents an alternative approach for valorizing biomass into lignin-rich solid fuels and fermentable sugars for bioethanol production. In this study, corn stover was subjected to HTC using deionized (DI) water, a xylose-based NADES (ChCl:Xy:W), and an oxalic acid-based NADES (ChCl:OA:W) in a 150–300 °C temperature range to optimize both solid fuel and sugar stream yields. Characterization, including fiber analysis, SEM, FTIR, EDS, and bomb calorimetry, was conducted to evaluate structural, compositional, and energetic transformations. The results explored the HTC process, restructuring the biomass, promoting extensive hemicellulose solubilization and cellulose depolymerization, as well as substantially enriching lignin and polymerized compounds with increasing temperature. In addition, the DI water at 300 °C generated a lignin-rich residue, the Xy-based NADES effectively removed ash and extractives, and the OA-based NADES produced the most carbon-dense hydrochar with the highest calorific value. Collectively, these findings demonstrate that solvent-assisted HTC may be employed as a possible strategy for the valorization of agricultural residues into high-energy solid fuels. Full article
(This article belongs to the Topic Advances and Innovations in Waste Management)
Show Figures

Figure 1

25 pages, 4838 KB  
Article
Photocatalytic Performance of Ag3PO4/BiVO4 P-N Type Heterojunction for Treatment of Landfill Leachate Tailwater
by Yan Wang, Muxi Zhang, Yabo Wang, Zhi Hong, Zitong Wang, Xiaojie Sun, Hongxia Zhang, Yu Song, Yapan Li and Hongxiang Zhu
Sustainability 2026, 18(4), 1962; https://doi.org/10.3390/su18041962 - 13 Feb 2026
Viewed by 202
Abstract
A novel Ag3PO4/BiVO4 heterojunction was synthesized via a combined hydrothermal–in situ precipitation method. With an optimal Bi:Ag molar ratio of 1:2 and after calcination at 200 °C for 22 h, 0.9 g of this composite reduced the chemical [...] Read more.
A novel Ag3PO4/BiVO4 heterojunction was synthesized via a combined hydrothermal–in situ precipitation method. With an optimal Bi:Ag molar ratio of 1:2 and after calcination at 200 °C for 22 h, 0.9 g of this composite reduced the chemical oxygen demand (COD) of landfill leachate tailwater from 232 mg·L−1 to 142 mg·L−1 and its UV254 absorbance from 0.22 to 0.156 under visible light irradiation within 140 min. The material exhibited a bandgap of 2.56 eV, along with enhanced visible-light absorption and improved charge-carrier separation efficiency. In the Ag3PO4/BiVO4/peroxymonosulfate (PMS)/visible light system, using 0.5 g of catalyst and 2.0 g·L−1 of PMS at pH 11 reduced the COD from 242 mg·L−1 to 138 mg·L−1. A subsequent two-stage treatment process, integrating the Ag3PO4/BiVO4/PMS/vis and P25/UV process, achieved a final tailwater COD of 90 mg·L−1—meeting standard discharge limits—and a 69.5% removal of humic-like substances. The heterojunction catalyst retained its activity over four consecutive cycles. Radical quenching experiments and electron paramagnetic resonance (EPR) spectroscopy identified photogenerated holes (h+), hydroxyl radicals(·OH), and sulfate radicals (SO4·) as the primary reactive species. Gas chromatography–mass spectrometry (GC–MS) analysis identified intermediate organic compounds and proposed plausible degradation pathways. These results support a reaction mechanism in which h+ oxidizes H2O to generate ·OH, while PMS accepts electrons to produce SO4· and further ·OH radicals, leading to effective pollutant mineralization. Collectively, this solar-driven, sulfate radical-based advanced oxidation process offers an energy-efficient strategy with reduced chemical consumption for the sustainable treatment of refractory wastewater. Full article
(This article belongs to the Section Sustainable Materials)
Show Figures

Figure 1

29 pages, 996 KB  
Article
Sustainable Conversion of Household Organic Residues into Biochars: Physicochemical Characterization and Process Comparison
by Leticia Perez-Rial, Rocio Maceiras, Jose Luis Salgueiro and Maria Justicia
Sustainability 2026, 18(4), 1952; https://doi.org/10.3390/su18041952 - 13 Feb 2026
Viewed by 171
Abstract
Organic residues from households and food-service facilities, such as orange peels, spent coffee grounds, banana peels and potato skins, represent abundant biomass resources that can release undesirable compounds during degradation. Their conversion into carbonized materials through thermochemical processes offers a sustainable route for [...] Read more.
Organic residues from households and food-service facilities, such as orange peels, spent coffee grounds, banana peels and potato skins, represent abundant biomass resources that can release undesirable compounds during degradation. Their conversion into carbonized materials through thermochemical processes offers a sustainable route for waste valorization. In this study, residues were characterized by proximate and elemental analyses, density, porosity, and calorific value. Valorization was performed using microwave-assisted pyrolysis and two hydrothermal carbonization (HTC) routes. Pyrolysis experiments were conducted at 450, 600 and 800 W with residence times of 20–70 min. Conventional HTC was carried out at 180, 200 and 220 °C for 20 h, while autoclave HTC was performed at 134 °C for 2 and 4 h. The resulting biochars and hydrochars were evaluated for their physicochemical and energetic properties and ANOVA was applied to assess the influence of operating conditions. Conventional HTC at higher temperatures produced the highest calorific values, whereas microwave-assisted pyrolysis at 800 W provided competitive HHVs with high solid yields. Autoclave HTC enhanced solid retention and carbon preservation. Among the investigated residues, spent coffee grounds exhibited the most favorable solid-phase energetic performance. These findings demonstrate that thermochemical conversion enables the transformation of common residues into carbon-rich materials with physicochemical and energetic properties relevant for comparative assessment and future application-oriented studies. It should be noted that conventional hydrothermal carbonization experiments were conducted using pre-dried biomass, which represents a methodological limitation of the comparative assessment. Full article
28 pages, 3926 KB  
Article
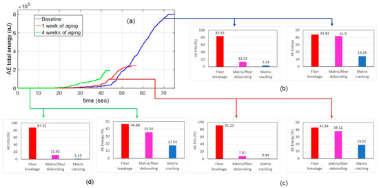
Acoustic Emission and Machine Learning Approaches for Assessing Mechanical Degradation in Aged Unidirectional Glass Fiber-Reinforced Thermoplastics
by Jorge Palacios Moreno and Pierre Mertiny
Metrology 2026, 6(1), 11; https://doi.org/10.3390/metrology6010011 - 13 Feb 2026
Viewed by 121
Abstract
Unidirectional glass fiber-reinforced thermoplastic (UGFT) composite tapes are promising recyclable structural materials for applications such as composite pressure pipes. However, their durability under hydrothermal environments remains a critical concern. This study emphasizes metrology-driven evaluation of aging behavior in polypropylene-based UGFT tapes. Specimens were [...] Read more.
Unidirectional glass fiber-reinforced thermoplastic (UGFT) composite tapes are promising recyclable structural materials for applications such as composite pressure pipes. However, their durability under hydrothermal environments remains a critical concern. This study emphasizes metrology-driven evaluation of aging behavior in polypropylene-based UGFT tapes. Specimens were conditioned at 95 °C in a deionized-water environment for up to 4 weeks, and multiple complementary measurement techniques were applied to quantify degradation. Mass-change metrology was performed to characterize water uptake kinetics and establish diffusion-driven aging progression. Tensile testing enabled quantitative assessment of mechanical strength retention, defining a >25% reduction in strength as a threshold for significant deterioration. Acoustic emission (AE) acted as the central non-destructive monitoring method, capturing high-fidelity waveforms generated during loading. AE waveform descriptors, such as amplitude, rise time, and frequency content, served as measurable indicators of internal damage mechanisms including matrix cracking, interfacial debonding and fiber breakage. To process large AE datasets, principal component analysis was used for dimensionality reduction, followed by k-means clustering to group signals by damage type. Optical microscopy provided microstructural verification of these classifications. The integrated metrological framework demonstrates a reliable pathway to monitor, identify, and quantify damage evolution in hydrothermally aged UGFT structures. Full article
Show Figures

Figure 1

16 pages, 3475 KB  
Article
Hydrogen/Oxygen Transfer Mechanisms and Endogenous Methyl Features in Dealkaline Lignin Pyrolysis Revealed by Isotope Tracing
by Shaoxuan Hu, Yichen Zhang, Gang Li, Xiang Han, Anning Zhou, Bin Su, Qiuhong Wang, Zhenmin Luo and Fuxin Chen
Appl. Sci. 2026, 16(4), 1850; https://doi.org/10.3390/app16041850 - 12 Feb 2026
Viewed by 124
Abstract
Lignin pyrolysis is a pivotal route for biomass valorization, yet the intricate radical reaction network involved results in ambiguous hydrogen/oxygen transfer pathways and product formation mechanisms, severely impeding precise control over directed conversion processes. This study employed a combination of multi-isotope tracing techniques [...] Read more.
Lignin pyrolysis is a pivotal route for biomass valorization, yet the intricate radical reaction network involved results in ambiguous hydrogen/oxygen transfer pathways and product formation mechanisms, severely impeding precise control over directed conversion processes. This study employed a combination of multi-isotope tracing techniques and GC-MS analysis to elucidate the formation mechanisms of four phenolic products during the 500 °C hydrothermal pyrolysis of dealkaline lignin. Experiments using D2O and H218O revealed that the M + 2 signal was predominantly derived from double deuterium substitution, with an abundance difference spanning 13–81 folds. Phenol exhibited the highest M + 1 abundance (3.947) due to the full exposure of its exchangeable hydrogen sites, while its M + 2 abundance ranked second only to that of 2-methylphenol. For 2-methylphenol, the hyperconjugation effect of the ortho-methyl group activated the phenolic structure, leading to the highest M + 2 abundance among all products (M + 2/M + 1 = 2.3). In contrast, 3-methylphenol showed relatively low abundances (M + 2/M + 1 = 1.67) because the meta-methyl group lacked activating effects and introduced steric hindrance. For guaiacol, the steric hindrance of the methoxy group completely overshadowed its electronic activation effect, resulting in the lowest M + 2 abundance (1.545). CD3OD tracing experiments and the absence of detectable M + 3 peaks confirmed that the methyl groups in 2-methylphenol and 3-methylphenol were entirely endogenous to the structural units of lignin itself. By precisely tracking the migration pathways of hydrogen and oxygen, this study revealed that hydrogen transfer dominated the pyrolysis process, while oxygen transfer was hindered and methyl groups exhibited endogenous characteristics. These findings establish a mechanistic foundation for designing efficient catalysts tailored to lignin pyrolysis and for rationally steering product selectivity. Full article
(This article belongs to the Section Energy Science and Technology)
Show Figures

Figure 1

13 pages, 1284 KB  
Article
The Influence of Ethanol on the Liquid Phase of Hydrothermal Carbonization of Sewage Sludge
by Dimitrios Liakos, Simos Malamis and Stergios Vakalis
Processes 2026, 14(4), 628; https://doi.org/10.3390/pr14040628 - 11 Feb 2026
Viewed by 133
Abstract
This study investigates the impact of ethanol as a co-solvent in hydrothermal carbonization (HTC) of sewage sludge, a process referred to here as ethanothermal or solvothermal carbonization. Experiments were conducted at 180 °C, 200 °C, 220 °C, and 240 °C, comparing two sets [...] Read more.
This study investigates the impact of ethanol as a co-solvent in hydrothermal carbonization (HTC) of sewage sludge, a process referred to here as ethanothermal or solvothermal carbonization. Experiments were conducted at 180 °C, 200 °C, 220 °C, and 240 °C, comparing two sets of conditions: one using water (S/W) and the other using ethanol (S/E) as the reaction medium. The focus was placed on the composition of the aqueous phase, particularly the formation of volatile fatty acids (VFAs). Ethanol-assisted experiments consistently produced more alkaline process water (pH 7.6–8.2) compared to water-based runs. COD values in S/W samples ranged from 9358 mg/L to 19,756 mg/L, indicating significant organic loading. Hydrochar derived from the ethanol experiments exhibited higher energy content, with a peak high heating value (HHV) of 21.9 MJ/kg at 240 °C, compared to 19.9 MJ/kg in S/W samples. VFA concentrations were also enhanced under ethanothermal conditions, especially at lower temperatures: formic acid (30.4–34.8 mg/L), acetic acid (8.7–9.6 mg/L), and propionic acid (10.8–14.6 mg/L). These results demonstrate ethanol’s potential to enhance both the yield and quality of liquid and solid products in HTC of sewage sludge. Full article
(This article belongs to the Special Issue Biomass Pretreatment for Thermochemical Conversion—2nd Edition)
Show Figures

Figure 1

13 pages, 1556 KB  
Article
Olive Tree (Olea europaea) Pruning Autohydrolysis: FTIR Analysis, and Energy Potential
by Idalina Domingos, Miguel Ferreira, José Ferreira and Bruno Esteves
Resources 2026, 15(2), 30; https://doi.org/10.3390/resources15020030 - 11 Feb 2026
Viewed by 225
Abstract
Olive trees cultivated in the Viseu region (Portugal) were used in the present work. This study investigates the compositional characteristics and hydrothermal behavior of olive branches (OB) and olive leaves (OL) under autohydrolysis, aiming to assess their potential for biorefinery applications. Chemical analysis [...] Read more.
Olive trees cultivated in the Viseu region (Portugal) were used in the present work. This study investigates the compositional characteristics and hydrothermal behavior of olive branches (OB) and olive leaves (OL) under autohydrolysis, aiming to assess their potential for biorefinery applications. Chemical analysis revealed that during autohydrolysis (140–180 °C, 15–30 min), OL exhibited greater solubilization than OB, consistent with their higher extractive content. Increasing the temperature promoted selective hemicellulose removal and partial cellulose degradation, leading to a relative enrichment of lignin in the solid residues. Nevertheless, the cellulose content of olive branches for 180 °C and 30 min hydrolysis increased. Fourier transform infrared spectroscopy confirmed progressive structural rearrangements, including enhanced hydroxyl exposure, carbonyl formation, and lignin condensation, indicating the transformation of the solid phase toward more aromatic and thermally stable structures. Autohydrolysis slightly increased the higher heating value of the solid residues while acid-catalyzed liquefaction markedly increased, exceeding those of both native and technical lignins. These results suggest extensive carbon enrichment and oxygen removal during liquefaction. Overall, autohydrolysis proved effective for hemicellulose solubilization and sugar recovery, while liquefaction favored energy densification and lignin condensation. The distinct behaviors of OB and OL highlight the importance of tailoring processing conditions to each feedstock type. Both materials show strong potential as renewable resources for bioenergy and value-added carbon-based products within an integrated olive biomass biorefinery framework. Full article
Show Figures

Figure 1

12 pages, 4759 KB  
Article
A Grape-like Co3O4@N-Doped Graphene Oxide/N-Doped Carbon Nanotube Ternary Nanocomposite for Efficient Supercapacitor Performance
by Qianxin Liu, Yuyang Zou, Yudie Li, Peigen Wang, Yiren Chen, Gang Chen, Bo Han, Yunfeng Tian and Kaisheng Xia
Batteries 2026, 12(2), 57; https://doi.org/10.3390/batteries12020057 - 9 Feb 2026
Viewed by 158
Abstract
Cobalt-based oxides are promising candidates for supercapacitor electrodes, but their practical application is often hindered by poor electrical conductivity, limited ion diffusion, and insufficient cycling stability. Herein, we present a novel strategy to improve the electrochemical performance of Co3O4 by [...] Read more.
Cobalt-based oxides are promising candidates for supercapacitor electrodes, but their practical application is often hindered by poor electrical conductivity, limited ion diffusion, and insufficient cycling stability. Herein, we present a novel strategy to improve the electrochemical performance of Co3O4 by growing grape-like Co3O4 clusters on a nitrogen-doped carbon framework consisting of nitrogen-doped graphene oxide (NGO) and nitrogen-doped carbon nanotubes (NCNTs) through a controlled hydrothermal process. The nitrogen functionalities in the carbon matrix not only facilitate strong interactions between the NGO and NCNTs but also provide abundant nucleation sites for the growth of Co3O4 spinel nanoparticles (30–50 nm). This unique structure promotes an efficient electron conduction and ion transport network, which significantly improves the electrochemical performance of the Co3O4 electrode. The Co3O4@NGO/NCNT ternary nanocomposite, containing 39% Co3O4 and featuring a high specific surface area of 162 m2 g−1, delivers a specific capacitance of 269 F g−1 at 1 A g−1 and maintains 82% of its capacitance when the current density increases to 10 A g−1. Notably, the nanocomposite demonstrates outstanding cycling stability, with negligible capacitance decay after 2000 charge–discharge cycles at a current density of 5 A g−1, underscoring its excellent electrochemical robustness. This Co3O4@NGO/NCNT nanocomposite represents a promising and efficient material for high-performance supercapacitor electrodes. Full article
(This article belongs to the Section Supercapacitors)
Show Figures

Figure 1

26 pages, 1489 KB  
Article
Emerging Directions in Sequential Hydrothermal Liquefaction and Anaerobic Digestion: Advancing Resource Recovery from Diverse Sludge Streams
by Chun-Ming Yen, Chang-Lung Han, Po-Kai Ding and Jiunn-Jyi Lay
Processes 2026, 14(4), 590; https://doi.org/10.3390/pr14040590 - 8 Feb 2026
Viewed by 236
Abstract
This study investigates the sequential integration of hydrothermal liquefaction (HTL) and anaerobic digestion (AD) as a strategy for resource recovery from municipal wastewater (MW) and semiconductor packaging wastewater (SPW) sludges. The primary objective is to determine the influence of HTL pretreatment on conversion [...] Read more.
This study investigates the sequential integration of hydrothermal liquefaction (HTL) and anaerobic digestion (AD) as a strategy for resource recovery from municipal wastewater (MW) and semiconductor packaging wastewater (SPW) sludges. The primary objective is to determine the influence of HTL pretreatment on conversion efficiencies, water quality metrics, and subsequent anaerobic biodegradability. Specifically, the research focuses on biogas generation, COD removal, and the potential to promote circular resource utilization. HTL was conducted under controlled temperature (150–374 °C) and pressure (10–25 MPa) conditions, followed by batch AD at 41 °C using hydrogen- and methane-producing inocula at various ratios, specifically 20%, 50%, and 80%. Key variables, including total solids (TS), suspended solids (SS), chemical oxygen demand (COD), pH, and electrical conductivity (EC), were monitored to assess degradation efficiency and resource recovery. Additionally, chemical modifications in HTL-processed sludge were characterized using Fourier Transform Infrared Spectroscopy (FTIR). Results indicate that MW sludge achieved significant reductions in TS (65.3%) and enhanced biogas production of 156.7 mL/g VS at 80% inoculum. These figures reflect high biodegradability and compatibility with AD. In contrast, SPW sludge demonstrated limited COD removal (26.6–85%) and lower biogas yields of 154.0 mL/g VS. These results are likely due to elevated salinity and compositional complexity. These findings suggest that while HTL pretreatment significantly improves MW sludge utilization, SPW sludge may require additional or alternative treatment strategies. Overall, this study clarifies key factors influencing the performance of integrated HTL-AD systems across distinct sludge types and lays a foundation for the further development of sustainable sludge management processes. Full article
(This article belongs to the Section Sustainable Processes)
Show Figures

Figure 1

15 pages, 3439 KB  
Article
Effect of Mixed Reduction Approach on the Oil Absorption Capacity of Graphene Oxide Aerogels
by Carlos Cargua, Nelly Maria Rosas-Laverde, Arturo Barjola, Enrique Giménez and Alina Iuliana Pruna
Materials 2026, 19(3), 632; https://doi.org/10.3390/ma19030632 - 6 Feb 2026
Viewed by 228
Abstract
This study evaluates the impact of a comprehensive design integrating precursor type, reduction and freeze-casting on the development of aerogels with high sorption capacity for engine oil. In this respect, the graphene oxide was varied from commercial to expanded; the reduction approach relied [...] Read more.
This study evaluates the impact of a comprehensive design integrating precursor type, reduction and freeze-casting on the development of aerogels with high sorption capacity for engine oil. In this respect, the graphene oxide was varied from commercial to expanded; the reduction approach relied either on purely hydrothermal or combined hydrothermal–chemical reduction approaches. Following the synthesis, freeze-casting was applied at −5 °C and −196 °C. To further improve the reduction degree, annealing in an inert atmosphere was employed upon drying. The effects of precursors, reduction approach, freeze-casting and annealing were systematically investigated. Characterization techniques, including FT-IR, Raman spectroscopy, SEM, and EDS, were used to correlate the degree of reduction and morphological features of the porous structure with the absorption properties. The use of expanded GO as a precursor yielded aerogels with more homogeneous three-dimensional networks, a reduced bulk density of 3 mg cm−3, and lower oxygen-containing functional group content, thereby achieving consistently superior oil absorption of 270 g g−1, with an oil occupancy of 94%. The process was found to fit well with the pseudo-first-order kinetic model. The results demonstrate that a comprehensive approach—considering combined reduction, freeze-casting, and thermal annealing—enables the tailored optimization of both the structure and absorption performance of GO aerogels for the remediation of oil spills. Full article
(This article belongs to the Section Green Materials)
Show Figures

Figure 1

20 pages, 3018 KB  
Article
Comparative LCA and Mass–Energy Evaluation of Thermal Sewage Sludge Treatment Pathways: Incineration, Gasification, Pyrolysis, and HTC
by Nikolina Poranek, Tomasz Billig, Agata Wajda, Krzysztof Pikoń, Tomasz Iluk and Ruslan Lagashkin
Energies 2026, 19(3), 815; https://doi.org/10.3390/en19030815 - 4 Feb 2026
Viewed by 252
Abstract
Sewage sludge management is a major challenge in modern wastewater treatment, as sludge contains organic matter, nutrients, pathogens, heavy metals, and emerging contaminants. Increasing wastewater volumes from urbanization and population growth have led to steadily rising global sludge production, emphasizing the need for [...] Read more.
Sewage sludge management is a major challenge in modern wastewater treatment, as sludge contains organic matter, nutrients, pathogens, heavy metals, and emerging contaminants. Increasing wastewater volumes from urbanization and population growth have led to steadily rising global sludge production, emphasizing the need for sustainable and resource-efficient treatment strategies. Conventional methods—such as landfilling, land application, and biological treatment—face limitations due to contaminant risks, regulatory restrictions, and incomplete pollutant removal. Thermal and thermochemical processes offer substantial volume reduction, energy recovery, and resource valorization. Incineration is widely implemented and ensures complete oxidation but requires high energy input and emission control. Gasification and pyrolysis produce syngas, bio-oil, and biochar, supporting circular economy applications, while hydrothermal carbonization (HTC) efficiently converts wet sludge into hydrochar without intensive drying. This study presents a comparative life cycle assessment (LCA) and mass–energy assessment of these four thermal treatment methods, highlighting their environmental impacts, energy efficiencies, and resources’ recovery potential to support more sustainable sludge management. Full article
(This article belongs to the Special Issue A Circular Economy Perspective: From Waste to Energy)
Show Figures

Figure 1

13 pages, 1100 KB  
Article
Influence of Peach Stone Composition, Pretreatment and Processing Method on the Properties of the Resulting Carbon Adsorbent
by Ivanka Stoycheva, Bilyana Petrova, Boyko Tsyntsarski, Nartzislav Petrov and Bogdan Ranguelov
Biomass 2026, 6(1), 14; https://doi.org/10.3390/biomass6010014 - 4 Feb 2026
Viewed by 177
Abstract
This paper explores the complex interrelationships between biomass composition, thermochemical conversion pathways, carbon yield and other characteristics in order to expand the knowledge for biomass conversion processes and adapt them to specific requirements. A comprehensive characterization, chemical and thermal analysis of peach stone [...] Read more.
This paper explores the complex interrelationships between biomass composition, thermochemical conversion pathways, carbon yield and other characteristics in order to expand the knowledge for biomass conversion processes and adapt them to specific requirements. A comprehensive characterization, chemical and thermal analysis of peach stone biomass, was performed. Thermogravimetric analysis, elemental analysis and low-temperature nitrogen sorption were also carried out in order to establish the composition and textural characteristics of the precursor material and obtained product. Carbon adsorbents were obtained from the studied biomass precursor under different conditions via one-step hydro-pyrolysis process by using steam activation at 800 °C. After research was conducted, it was established that cellulose is the main component, which influences the quantity and quality of the obtained adsorbent. The high content of hemicellulose reveals peach stones as a good candidate, especially for hydrothermal carbonization. High cellulose content (40%) in the biomass precursor is a prerequisite for the formation of porous texture in carbon adsorbent during hydro-pyrolysis. It was also shown that the carbon yield (26.70%) can be predicted and is highly dependent on the precursor composition. These results highlight the potential of peach stones as a valuable precursor for the production of sustainable, high-performance carbon adsorbents for environmental remediation. Full article
Show Figures

Figure 1

14 pages, 3779 KB  
Article
Defect Repair and Valence Restoration: A Facile Hydrothermal Strategy for Regenerating High-Performance LiFePO4 Cathodes from Spent Batteries
by Jinyu Tan, Xiaotao Wang, Wei Li, Shixiang Sun, Jingwen Cui, Yingqun Li, Yidan Zhang, Yukun Zhang, Yuan Zhao, Yan Cao and Chao Huang
Inorganics 2026, 14(2), 48; https://doi.org/10.3390/inorganics14020048 - 4 Feb 2026
Viewed by 1610
Abstract
With the increasing deployment of lithium iron phosphate (LiFePO4) batteries in electric vehicles and energy storage systems, the recycling of these materials has become an urgent necessity. Specifically, the reclamation of lithium iron phosphate cathode materials presents a significant challenge in [...] Read more.
With the increasing deployment of lithium iron phosphate (LiFePO4) batteries in electric vehicles and energy storage systems, the recycling of these materials has become an urgent necessity. Specifically, the reclamation of lithium iron phosphate cathode materials presents a significant challenge in the recycling process. In this study, we proposed an efficient low-temperature hydrothermal direct regeneration method aimed at repairing lithium vacancies and Fe/Li inversion defects in spent lithium iron phosphate resulting from prolonged cycling. By using this method, spent lithium iron phosphate was successfully regenerated through a hydrothermal process conducted at 80 °C for 6 h, utilizing hydrazine hydrate (N2H4·H2O) as a potent reducing agent and lithium hydroxide (LiOH·H2O) as the lithium source. X-ray diffraction (XRD) analysis, coupled with Rietveld refinement, revealed a substantial reduction in the concentration of Fe/Li anti-site defects in the spent material, decreasing from 8.8% to 3.3% following regeneration. Consequently, the electrochemical performance was significantly restored. The initial specific discharge capacity increased from 118.0 mAh·g−1 to 150.3 mAh·g−1, and the capacity retention after 100 cycles (at 1 C) improved from 67.5% to 90.7%. The hydrothermal regeneration process introduced in this work effectively repairs the material structure and restores the active valence state of iron, thereby significantly enhancing lithium-ion diffusion and electron transport capabilities. This approach constitutes a technically viable solution for the efficient, environmentally friendly, and cost-effective recycling of spent lithium-ion batteries. Full article
(This article belongs to the Section Inorganic Materials)
Show Figures

Figure 1

Back to TopTop