Synthesis and Evaluation of PtNi Electrocatalysts for CO and Methanol Oxidation in Low Temperature Fuel Cells
Abstract
1. Introduction
2. Results and Discussion
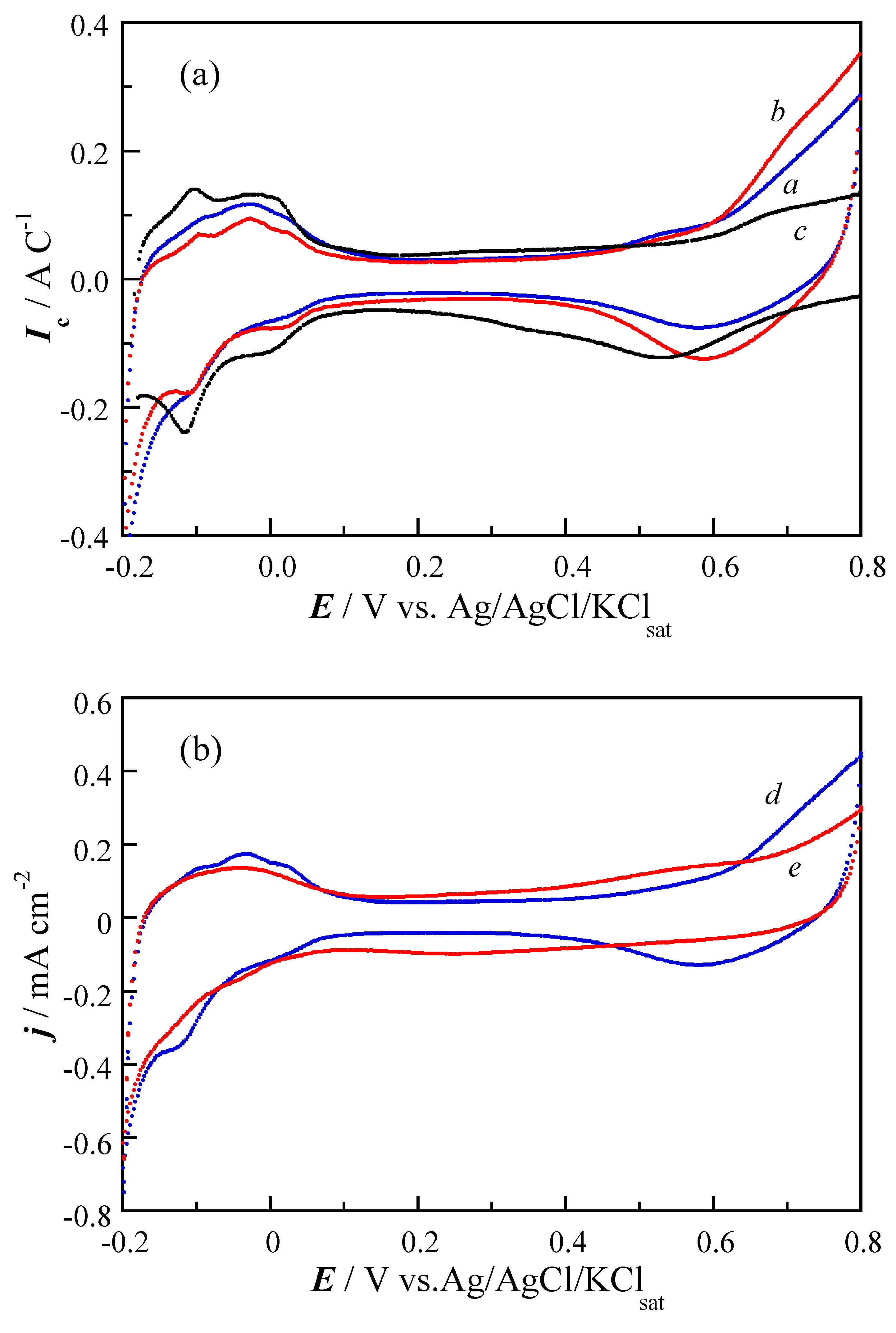
2.1. Electrochemical Characterization by CV
2.2. Structural Analysis
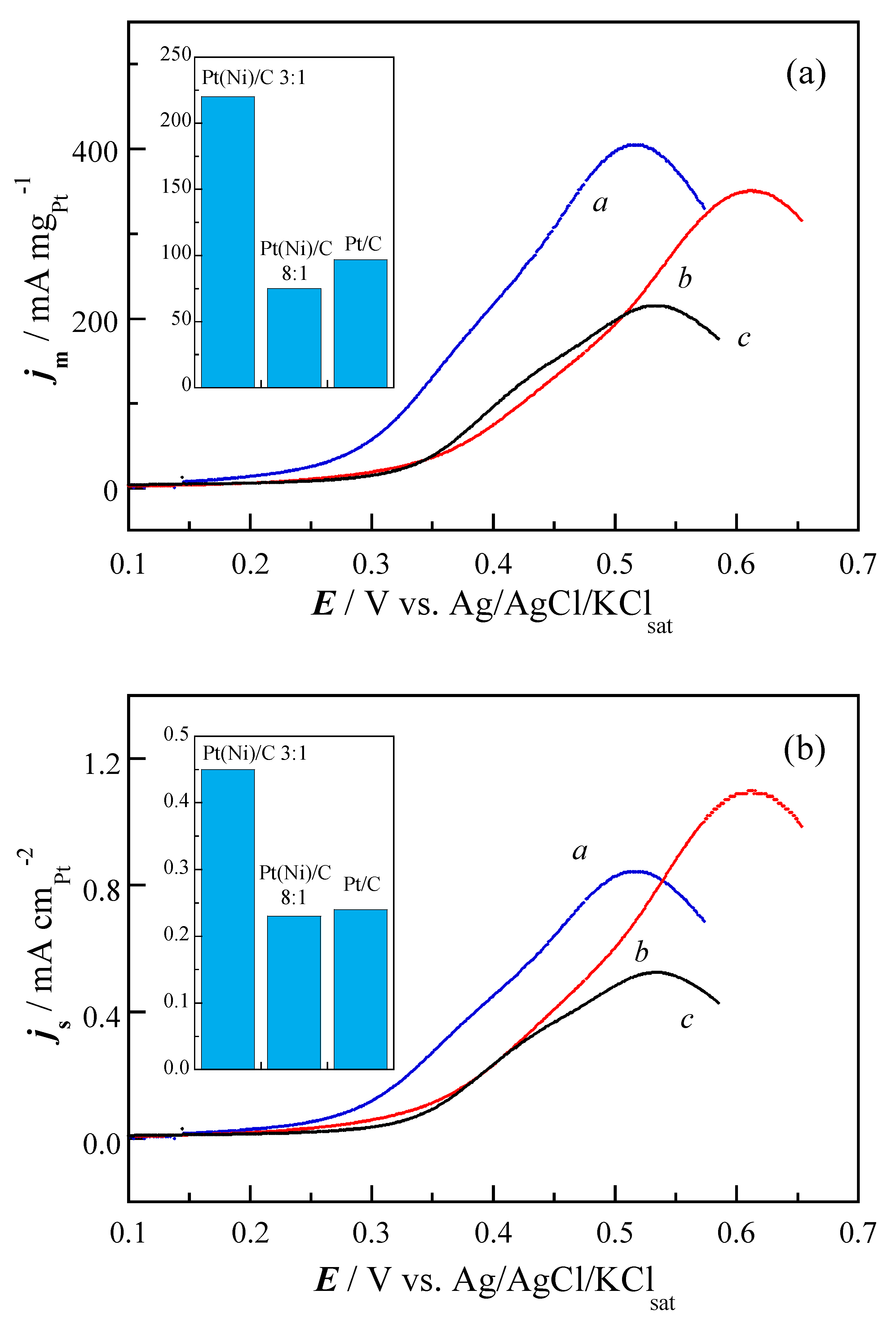
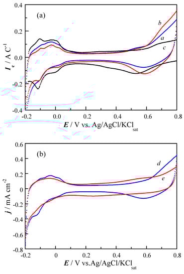
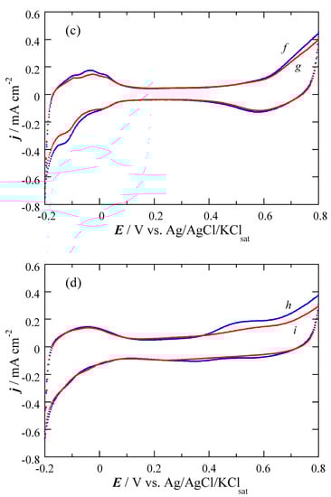
2.3. CO Electrooxidation
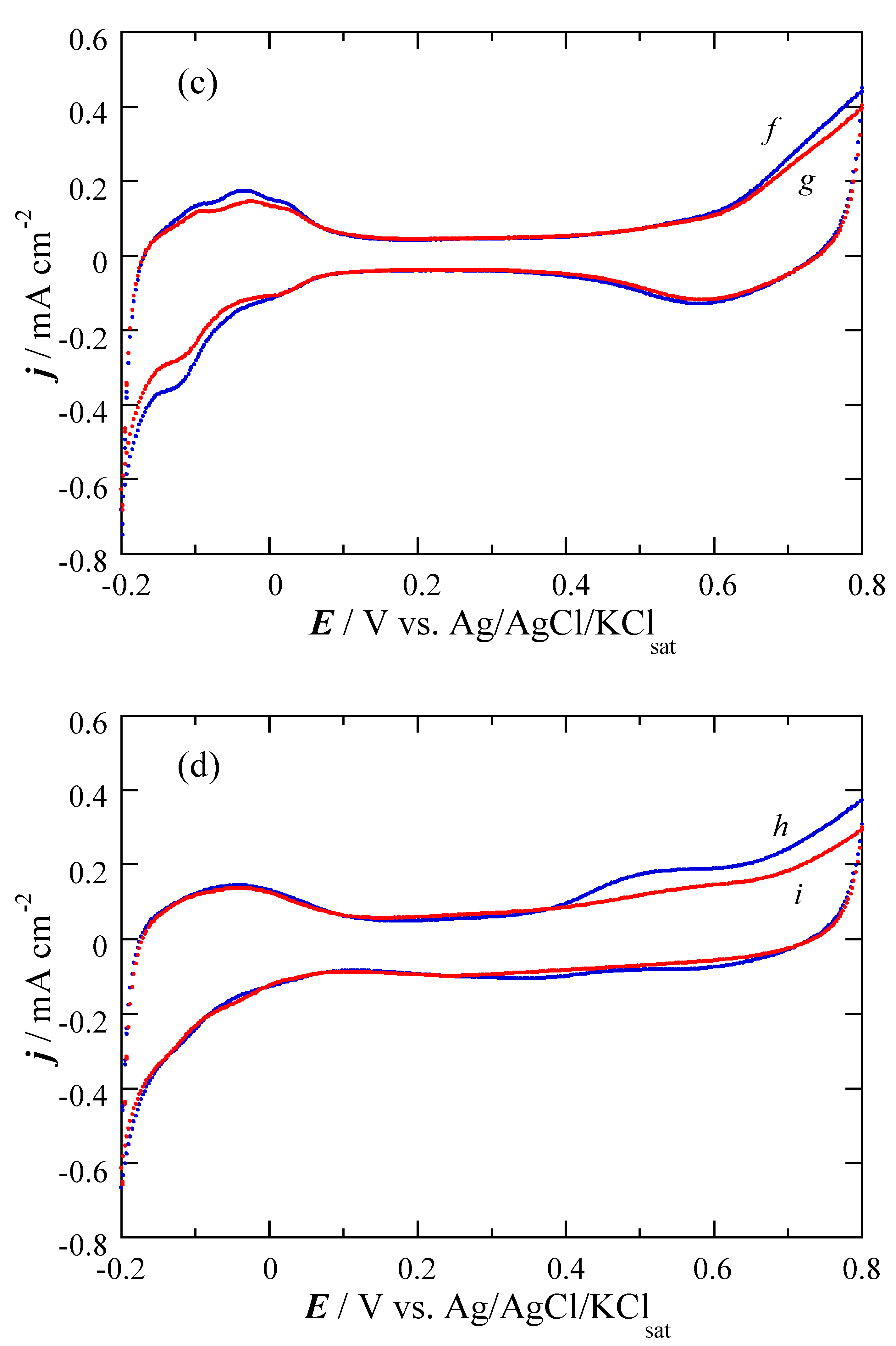
2.4. Methanol Electrooxidation
3. Materials and Methods
3.1. Synthesis of the Pt(Ni)/C and PtRu(Ni)/C Catalysts
3.2. Structural Analyses
3.3. Electrochemical Testing
4. Conclusions
Author Contributions
Funding
Acknowledgments
Conflicts of Interest
References
- Serov, A.; Zenyuk, I.; Arges, C.; Chatenet, M. Hot topics in alkaline exchange membrane fuel cells. J. Power Sources 2017, 375, 149–157. [Google Scholar] [CrossRef]
- Alcaide, F.; Cabot, P.L.; Brillas, E. Fuel Cell for chemicals and energy cogeneration. J. Power Sources 2006, 153, 47–60. [Google Scholar] [CrossRef]
- Cohen, J.; Volpe, D.; Abruña, H. Electrochemical determination of activation energies for methanol oxidation on polycrystalline platinum in acidic and alkaline electrolytes. Phys. Chem. Chem. Phys. 2007, 9, 49–77. [Google Scholar] [CrossRef] [PubMed]
- Demirci, U.B. Direct liquid-feed fuel cells: Thermodynamic and environmental concerns. J. Power Sources 2007, 169, 239–246. [Google Scholar] [CrossRef]
- Ong, B.C.; Kamarudin, S.K.; Basri, S. Direct liquid fuel cells: A review. Int. J. Hydrogen Energy 2017, 42, 10142–10157. [Google Scholar] [CrossRef]
- Apanel, G.; Johnson, E. Direct methanol fuel cells—Ready to go comercial? Fuel Cells 2004, 11, 12–17. [Google Scholar] [CrossRef]
- Vassiliev, Y.B.; Bagotsky, V.S.; Osetrova, N.V.; Khasova, O.A.; Mayorova, N.A. Electroreduction of carbon dioxide: Part I. The mechanism and kinetics of electroreduction of CO2 in aqueous solutions on metals with high and moderate hydrogen overvoltages. J. Electroanal. Chem. Interfacial Electrochem. 1985, 189, 271–294. [Google Scholar] [CrossRef]
- Puthiyapura, V.K.; Lin, W.F.; Russell, A.E.; Brett, D.J.L.; Hardacre, C. Effect of Mass Transport on the Electrochemical Oxidation of Alcohols Over Electrodeposited Film and Carbon-Supported Pt Electrodes. Top. Catal. 2018, 61, 240–253. [Google Scholar] [CrossRef]
- Spendelow, J.S.; Wieckowski, A. Electrocatalysis of oxygen reduction and small alcohol oxidation in alkaline media. Phys. Chem. Chem. Phys. 2007, 9, 2654–2675. [Google Scholar] [CrossRef]
- Ruth, K.; Vogt, M.; Zuber, R. Development of CO-Tolerant Catalysts. In Handbook of Fuel Cells-Fundamentals, Technology and Applications; Vielstich, W., Gasteiger, H.A., Lamm, A., Eds.; John Wiley & Sons: New York, NY, USA, 2003; Volume 3, pp. 489–496. [Google Scholar]
- Velázquez-Palenzuela, A.; Brillas, E.; Arias, C.; Centellas, F.; Garrido, J.A.; Rodríguez, R.M.; Cabot, P.L. Carbon monoxide, methanol and ethanol electro-oxidation on Ru decorated carbon-supported Pt nanoparticles prepared by spontaneous deposition. J. Power Sources 2013, 225, 163–171. [Google Scholar] [CrossRef]
- Antolini, E. Effect of the structural characteristics of binary Pt-Ru and ternary Pt-Ru-M fuel cell catalysts on the activity of ethanol electrooxidation in acid medium. ChemSusChem 2013, 6, 966–973. [Google Scholar] [CrossRef] [PubMed]
- Rigsby, M.A.; Zhou, W.P.; Lewera, A.; Duong, H.T.; Bagus, P.S.; Jaegermann, W.; Hunger, R.; Wieckowski, A. Experiment and theory of fuel cell catalysis: Methanol and formic acid decomposition on nanoparticle Pt/Ru. J. Phys. Chem. C 2008, 112, 15595–15601. [Google Scholar] [CrossRef]
- Caballero-Manrique, G.; Brillas, E.; Centellas, F.; Garrido, J.A.; Rodríguez, R.M.; Cabot, P.L. Electrochemical oxidation of the carbon support to synthesize Pt(Cu) and Pt-Ru(Cu) core-shell electrocatalysts for low-temperature fuel cells. Catalysts 2015, 5, 815–837. [Google Scholar] [CrossRef]
- Watanabe, M.; Motoo, S. Electrocatalysis by ad-atoms: Part III. Enhancement of the oxidation of carbon monoxide on platinum by ruthenium ad-atoms. J. Electroanal. Chem. Interfacial Electrochem. 1975, 60, 275–283. [Google Scholar] [CrossRef]
- Brankovic, S.R.; Wang, J.X.; Adzić, R.R. Pt Submonolayers on Ru Nanoparticles: A Novel Low Pt Loading, High CO Tolerance Fuel Cell Electrocatalyst. Electrochem. Solid-State Lett. 2001, 4, 217–220. [Google Scholar] [CrossRef]
- Caballero-Manrique, G.; Velázquez-Palenzuela, A.; Centellas, F.; Garrido, J.A.; Arias, C.; Rodríguez, R.M.; Brillas, E.; Cabot, P.L. Electrochemical synthesis and characterization of carbon-supported Pt and Pt-Ru nanoparticles with Cu cores for CO and methanol oxidation in polymer electrolyte fuel cells. Int. J. Hydrogen Energy 2014, 39, 12859–12869. [Google Scholar] [CrossRef]
- Wang, Q.; Wang, G.; Tao, H.; Li, Z.; Han, L. Highly CO tolerant PtRu/PtNi/C catalyst for polymer electrolyte membrane fuel cell. RSC Adv. 2017, 7, 8453–8459. [Google Scholar] [CrossRef]
- Dinh, H.; Ren, X.; Garzon, F.; Zelenay, P.; Gottesfeld, S. Electrocatalysis in direct methanol fuel cells: In-situ probing of PtRu anode catalyst surfaces. J. Electroanal. Chem. 2000, 491, 222–233. [Google Scholar] [CrossRef]
- Alcaide, F.; Álvarez, G.; Cabot, P.L.; Genova-Koleva, R.V.; Grande, H.J.; Martínez-Huerta, M.; Miguel, O. Supporting PtRh alloy nanoparticle catalysts by electrodeposition on carbon paper for the ethanol electrooxidation in acidic medium. J. Electroanal. Chem. 2020, 861, 113960. [Google Scholar] [CrossRef]
- Iwasita, T.; Pastor, E. A DEMS and FTIR spectroscopic investigation of adsorbed ethanol on polycrystalline platinum. Electrochim. Acta 1994, 39, 531–537. [Google Scholar] [CrossRef]
- Zhou, W.; Zhou, Z.; Song, S.; Li, W.; Sun, G.; Tsiakaras, P.; Xin, Q. Pt based anode catalysts for direct ethanol fuel cells. Appl. Catal. B 2003, 46, 273–285. [Google Scholar] [CrossRef]
- Zignani, S.C.; Baglio, V.; Sebastián, D.; Siracusano, S.; Aricò, A.S. Enhancing ethanol oxidation rate at PtRu electro-catalysts using metal-oxide additives. Electrochim. Acta 2016, 191, 183–191. [Google Scholar] [CrossRef]
- Zhou, W.K.; Zhou, B.; Li, W.Z.; Zhou, Z.H.; Song, S.Q.; Sun, G.Q.; Xin, Q.; Douvartzides, S.; Goula, M.; Tsiakaras, P. Performance comparison of low-temperature direct alcohol fuel cells with different anode catalysts. J. Power Sources 2004, 126, 16–22. [Google Scholar] [CrossRef]
- Zhou, W.J.; Li, W.Z.; Song, S.Q.; Zhou, Z.H.; Jiang, L.H.; Sun, G.Q.; Xin, Q.; Poulianitis, K.; Kontou, S.; Tsiakaras, P. Bi- and tri-metallic Pt-based anode catalysts for direct ethanol fuel cells. J. Power Sources 2004, 131, 217–223. [Google Scholar] [CrossRef]
- Spinacé, E.V.; Dias, R.R.; Brandalise, M.; Linardi, M.; Neto, A.O. Electro-oxidation of ethanol using PtSnRh/C electrocatalysts prepared by an alcohol-reduction process. Ionics 2010, 16, 91–95. [Google Scholar] [CrossRef]
- Macias-Ferrer, D.; Melo, J.A.; Páramo, U.; Silva, R.; Lam-Maldonado, M.; Meraz-Melo, M.A.; Verde-Gómez, J.Y.; Díaz-Zavala, N.P. Pt, Co, Fe and Ni Nanoparticles on Micro/Nano-Structured Carbon for the Methanol Electro-Oxidation in Acid Medium. AJER 2018, 7, 344–356. [Google Scholar] [CrossRef]
- Beermann, V.; Gocyla, M.; Willinger, E.; Rudi, S.; Heggen, M.; Dunin-Borkowski, R.E.; Willinger, M.G.; Strasser, P. Rh-doped Pt-Ni octahedral nanoparticles: Understanding the correlation between elemental distribution, ORR and shape stability. Nano Lett. 2016, 16, 1719–1725. [Google Scholar] [CrossRef]
- Shen, Y.; Zhang, M.Z.; Xiao, K.; Xi, J. Synthesis of Pt, PtRh, and PtRhNi alloys supported by pristine graphene nanosheets for ethanol oxidation. ChemCatChem 2014, 6, 3254–3261. [Google Scholar] [CrossRef]
- Stamenkovic, V.R.; Mun, B.S.; Arenz, M.; Mayrhofer, K.J.J.; Lucas, C.A.; Wang, G.F.; Ross, P.N.; Markovic, N.M. Trends in electrocatalysis on extended and nanoscale Pt-bimetallic alloy surfaces. Nat. Mater. 2007, 6, 241–247. [Google Scholar] [CrossRef]
- Park, K.W.; Choi, J.H.; Kwon, B.K.; Lee, S.A.; Sung, Y.E.; Ha, H.Y.; Hong, S.A.; Kim, H.; Wieckowski, A. Chemical and Electronic Effects of Ni in Pt/Ni and Pt/Ru/Ni Alloy Nanoparticles in Methanol Electrooxidation. J. Phys. Chem. B 2002, 106, 1869–1877. [Google Scholar] [CrossRef]
- Corona, B.; Howard, M.; Zhang, L.; Henkelman, G. Computational screening of core@shell nanoparticles for the hydrogen evolution and oxygen reduction reactions. J. Chem. Phys. 2016, 145, 244708. [Google Scholar] [CrossRef] [PubMed]
- Choi, J.; Lee, Y.; Kim, J.; Lee, H. Enhancing stability of octahedral PtNi nanoparticles for oxygen reduction reaction by halide treatment. J. Power Sources 2016, 307, 883–890. [Google Scholar] [CrossRef]
- Wu, F.; Liu, Y.; Wu, C. Preparation of Pt/C Nanocatalysts by Ethylene Glycol Method in Weakly Acidic Solutions. J. Mater. Sci. Technol. 2010, 26, 705–710. [Google Scholar] [CrossRef]
- Mohanraju, K.; Cindrella, L. One-pot surfactant-free synthesis of high surface area ternary alloys, PtMCo/C (M ¼ Cr, Mn, Fe, Ni, Cu) with enhanced electrocatalytic activity and durability for PEM fuel cell application. Int. J. Hydrogen Energy 2016, 41, 9320–9331. [Google Scholar] [CrossRef]
- Stephen, A.; Rees, N.; Mikheenko, I.; Macaskie, L. Platinum and Palladium Bio-Synthesized Nanoparticles as Sustainable Fuel Cell Catalysts. Front. Energy Res. 2019, 7, 1–13. [Google Scholar] [CrossRef]
- Serrà, A.; Gómez, E.; Vallés, E. Novel electrodeposition media to synthesize CoNi-Pt Core@Shell stable mesoporous nanorods with very high active surface for methanol electro-oxidation. Electrochim. Acta 2015, 174, 630–639. [Google Scholar] [CrossRef]
- Liang, Y.; Zhang, H.; Tian, Z.; Zhu, X.; Wang, X.; Yi, B. Synthesis and Structure-Activity Relationship Exploration of Carbon-Supported PtRuNi Nanocomposite as a CO-Tolerant Electrocatalyst for Proton Exchange Membrane Fuel Cells. J. Phys. Chem. B 2006, 110, 7828–7834. [Google Scholar] [CrossRef]
- Zignani, S.; Baglio, V.; Sebastián, D.; Rocha, T.; Gonzalez, E.; Aricò, A. Investigation of PtNi/C as methanol tolerant electrocatalyst for the oxygen reduction reaction. J. Electroanal. Chem. 2016, 763, 10–17. [Google Scholar] [CrossRef]
- Menshchikov, V.; Alekseenko, A.; Guterman, V.; Nechitailov, A.; Glebova, N.; Tomasov, A.; Spiridonova, O.; Belenov, S.; Zelenina, N.; Safronenko, O. Effective Platinum-Copper Catalysts for Methanol Oxidation and Oxygen Reduction in proton-Exchange membrane Fuel Cell. Nanomaterials 2020, 10, 742. [Google Scholar] [CrossRef]
- Antolini, E.; Salgado, J.R.C.; Gonzalez, E.R. Carbon supported Pt75M25 (M = Co, Ni) alloys as anode and cathode electrocatalysts for direct methanol fuel cells. J. Electroanal. Chem. 2005, 580, 145–154. [Google Scholar] [CrossRef]
- Caballero-Manrique, G.; Nadeem, I.; Brillas, E.; Centellas, F.; Garrido, J.A.; Rodríguez, R.M.; Cabot, P.L. Effects of the Electrodeposition Time in the Synthesis of Carbon-Supported Pt(Cu) and Pt-Ru(Cu) Core-Shell Electrocatalysts for Polymer Electrolyte Fuel Cells. Catalysts 2016, 6, 125. [Google Scholar] [CrossRef]
- Garcia-Cardona, J.; Sirés, I.; Alcaide, F.; Brillas, E.; Centellas, F.; Cabot, P.L. Electrochemical performance of carbon-supported Pt(Cu) electrocatalysts for low-temperature fuel cells. Int. J. Hydrogen Energy 2020, in press. [Google Scholar] [CrossRef]
- Erini, N.; Rudi, S.; Beermann, V.; Krause, P.; Yang, R.; Huang, Y.; Strasser, P. Exceptional Activity of a Pt–Rh–Ni Ternary Nanostructured Catalyst for the Electrochemical Oxidation of Ethanol. ChemElectroChem 2015, 2, 903–908. [Google Scholar] [CrossRef]
- Wang, Z.B.; Zuo, P.J.; Wang, G.J.; Du, C.Y.; Yin, G.P. Effect of Ni on PtRu/C Catalyst Performance for Ethanol Electrooxidation in Acidic Medium. J. Phys. Chem. C 2008, 112, 6582–6587. [Google Scholar] [CrossRef]
- Ribadeneira, E.; Hoyos, B.A. Evaluation of Pt–Ru–Ni and Pt–Sn–Ni catalysts as anodes in direct ethanol fuel cells. J. Power Sources 2008, 180, 238–242. [Google Scholar] [CrossRef]
- Cui, C.; Gan, L.; Li, H.H.; Yu, S.H.; Heggen, M.; Strasser, P. Octahedral PtNi nanoparticle catalysts: Exceptional oxygen reduction activity by tuning the alloy particle surface composition. Nano Lett. 2012, 12, 5885–5889. [Google Scholar] [CrossRef]
- Stamenkovic, V.R.; Fowler, B.; Mun, B.S.; Wang, G.; Ross, P.N.; Lucas, C.A.; Markovic, N.M. Improved Oxygen Reduction Activity on Pt3Ni(111) via Increased Surface Site. Science 2007, 315, 493–497. [Google Scholar] [CrossRef]
- Glüsen, A.; Dionigi, F.; Paciok, P.; Heggen, M.; Müller, M.; Gan, L.; Strasser, P.; Dunin-Borkowski, R.E.; Stolten, D. Dealloyed PtNi-Core-Shell Nanocatalysts Enable Significant Lowering of Pt Electrode Content in Direct Methanol fuel Cells. ACS Catal. 2019, 9, 3764–3772. [Google Scholar] [CrossRef]
- Jiang, Q.; Jiang, L.; Hou, H.; Qi, J.; Wang, S.; Sun, G. Promoting Effect of Ni in PtNi Bimetallic Electrocatalysts for the Methanol Oxidation Reaction in Alkaline Media Experimental and Density Functional Theory Studies. J. Phys. Chem. C 2010, 114, 19714–19722. [Google Scholar] [CrossRef]
- Wang, Y.; Yang, J.; Sun, S.; Wang, L.; Guo, T.; Zhang, D.; Xue, Z.; Zhou, X. PtNi nanoparticles supported on electrochemically reduced porous graphene oxide for methanol oxidation reaction. Chem. Phys. Lett. 2019, 730, 575–581. [Google Scholar] [CrossRef]
- Guerrero-Ortega, L.P.A.; Manzo-Robledo, A.; Ramírez-Meneses, E.; Mateos-Santiago, J.; Lartundo-Rojas, L.; Garibay-Febles, V. Methanol electrooxidation reaction at the interface of (bi)-metallic (PtNi) synthesized nanoparticles supported on carbon Vulcan. Int. J. Hydrogen Energy 2018, 43, 6117–6130. [Google Scholar] [CrossRef]
- Wang, C.; Zhang, Y.; Zhang, Y.; Xu, P.; Feng, C.; Chen, T.; Guo, T.; Yang, F.; Wang, Q.; Wang, J.; et al. Highly Ordered Hierarchical Pt and PtNi Nanowire Arrays for Enhanced Electrocatalytic Activity toward Methanol Oxidation. ACS Appl. Mater. Interfaces 2018, 10, 9444–9459. [Google Scholar] [CrossRef] [PubMed]
- Gao, F.; Zhang, Y.; Song, P.; Wang, J.; Yan, B.; Sun, Q.; Li, L.; Zhu, X.; Du, Y. Shape-control of one-dimensional PtNi nanostructures as efficient electrocatalysts for alcohol electrooxidation. Nanoscale 2019, 11, 4831–4836. [Google Scholar] [CrossRef]
- Solla-Gullón, J.; Vidal-Iglesias, F.J.; Herrero, E.; Feliu, J.M.; Aldaz, A. CO monolayer oxidation on semi-spherical and preferentially oriented (100) and (111) platinum nanoparticles. Electrochem. Commun. 2006, 8, 189–194. [Google Scholar] [CrossRef]
- Esparbé, I.; Brillas, E.; Centellas, F.; Garrrido, J.A.; Rodríguez, R.M.; Arias, C.; Cabot, P.L. Structure and electrocatalytic performance of carbon-supported platinum nanoparticles. J. Power Sources 2009, 190, 201–209. [Google Scholar] [CrossRef]
- Rizo, R.; Sebastián, D.; Lázaro, M.J.; Pastor, E. On the design of Pt-Sn efficient catalyst for carbon monoxide and ethanol oxidation in acid and alkaline media. Appl. Catal. B Environ. 2017, 200, 246–254. [Google Scholar] [CrossRef]
- Powder Diffraction File (2018). International Centre for Diffraction Data (ICDD). 12 Campus Boulevard. Newton Square, PA, USA. 2018. Available online: http://www.icdd.com (accessed on 30 March 2020).
- Hosseini, M.G.; Mahmoodi, R. Preparation method of Ni@Pt/C nanocatalyst affects the performance of direct borohydride-hydrogen peroxide fuel cell: Improved power density and increased catalytic oxidation of borohydride. J. Colloid Interface Sci. 2017, 500, 264–275. [Google Scholar] [CrossRef]
- Maya-Cornejo, J.; Carrera-Cerritos, R.; Sebastián, D.; Ledesma-García, J.; Arriaga, L.G.; Aricò, A.S.; Baglio, V. PtCu catalyst for the electro-oxidation of ethanol in an alkaline direct alcohol fuel cell. Int. J. Hydrogen Energy 2017, 42, 27919–27928. [Google Scholar] [CrossRef]
- Velázquez-Palenzuela, A.; Centellas, F.; Garrido, J.A.; Arias, C.; Rodríguez, R.M.; Brillas, E.; Cabot, P.L. Structural characterization of Ru-modified carbon-supported Pt nanoparticles using spontaneous deposition with CO oxidation activity. J. Phys. Chem. C 2012, 116, 18469–18478. [Google Scholar] [CrossRef]
- Sugimoto, W.; Yokoshima, K.; Murakami, Y.; Takasu, Y. Charge storage mechanism of nanostructured anhydrous and hydrous ruthenium-based oxides. Electrochim. Acta 2006, 52, 1742–1748. [Google Scholar] [CrossRef]
- Dos Santos, L.; Colmati, F.; González, E.R. Preparation and characterization of supported Pt-Ru catalysts with a high Ru content. J. Power Sources 2006, 159, 869–877. [Google Scholar] [CrossRef]
- Wang, H.; Baltruschat, H. DEMS Study on Methanol Oxidation at Poly- and Monocrystalline Platinum Electrodes: The Effect of Anion, Temperature, Surface Structure, Ru Adatom, and Potential. J. Phys. Chem. 2007, 111, 7038–7048. [Google Scholar] [CrossRef]
- Velázquez-Palenzuela, A.; Centellas, F.; Garrido, J.A.; Arias, C.; Rodríguez, R.M.; Brillas, E.; Cabot, P.L. Kinetic analysis of carbon monoxide and methanol oxidation on high performance carbon-supported Pt-Ru electrocatalyst for direct methanol fuel cells. J. Power Sources 2011, 196, 3503–3512. [Google Scholar] [CrossRef]
- Antolini, E. Carbon supports for low-temperature fuel cell catalysts. Appl. Catal. B Environ. 2009, 88, 1–24. [Google Scholar] [CrossRef]
- Velázquez-Palenzuela, A.; Brillas, E.; Arias, C.; Centellas, F.; Garrido, J.A.; Rodríguez, R.M.; Cabot, P.L. Structural analysis of carbon-supported Ru-decorated Pt nanoparticles synthesized using forced deposition and catalytic performance towards CO, methanol, and ethanol electro-oxidation. J. Catal. 2013, 298, 112–121. [Google Scholar] [CrossRef]








| Catalyst | Crystallite Size/nm | Particle Size/nm | Pt Content/wt% | Ni Content/wt% | Pt:Ni/at% | ECSA a/m2 g−1 |
|---|---|---|---|---|---|---|
| Pt(Ni)/C 3:1 | 2.4 ± 0.4 | 2.7 ± 0.5 | 15.1 ± 2.3 | 0.62 ± 0.11 | 88:12 | 47.8 |
| Pt(Ni)/C 8:1 | 2.7 ± 0.5 | 3.5 ± 0.7 | 19.3 ± 2.8 | 0.11 ± 0.03 | 98:2 | 31.5 |
| Pt/C | 2.2 ± 0.5 | 2.6 ± 0.5 | 19.0 ± 1.1 | 0.0 | 100:0 | 74.5 |
| Catalyst | ba/V dec−1 | αa | js0/mA cm−2 |
|---|---|---|---|
| Pt(Ni)/C 3:1 | 0.150 | 0.39 | 1.3 × 10−4 |
| Pt(Ni)/C 8:1 | 0.170 | 0.35 | 1.2 × 10−4 |
| Pt/C | 0.125 | 0.48 | 1.3 × 10−5 |
© 2020 by the authors. Licensee MDPI, Basel, Switzerland. This article is an open access article distributed under the terms and conditions of the Creative Commons Attribution (CC BY) license (http://creativecommons.org/licenses/by/4.0/).
Share and Cite
Caballero-Manrique, G.; Garcia-Cardona, J.; Brillas, E.; Jaén, J.A.; Sánchez, J.M.; Cabot, P.L. Synthesis and Evaluation of PtNi Electrocatalysts for CO and Methanol Oxidation in Low Temperature Fuel Cells. Catalysts 2020, 10, 563. https://doi.org/10.3390/catal10050563
Caballero-Manrique G, Garcia-Cardona J, Brillas E, Jaén JA, Sánchez JM, Cabot PL. Synthesis and Evaluation of PtNi Electrocatalysts for CO and Methanol Oxidation in Low Temperature Fuel Cells. Catalysts. 2020; 10(5):563. https://doi.org/10.3390/catal10050563
Chicago/Turabian StyleCaballero-Manrique, Griselda, Julia Garcia-Cardona, Enric Brillas, Juan A. Jaén, John Manuel Sánchez, and Pere L. Cabot. 2020. "Synthesis and Evaluation of PtNi Electrocatalysts for CO and Methanol Oxidation in Low Temperature Fuel Cells" Catalysts 10, no. 5: 563. https://doi.org/10.3390/catal10050563
APA StyleCaballero-Manrique, G., Garcia-Cardona, J., Brillas, E., Jaén, J. A., Sánchez, J. M., & Cabot, P. L. (2020). Synthesis and Evaluation of PtNi Electrocatalysts for CO and Methanol Oxidation in Low Temperature Fuel Cells. Catalysts, 10(5), 563. https://doi.org/10.3390/catal10050563

