Hydrogenolysis of Glycerol on the ZrO2-TiO2 Supported Pt-WOx Catalyst
Abstract
1. Introduction
2. Results and Discussions
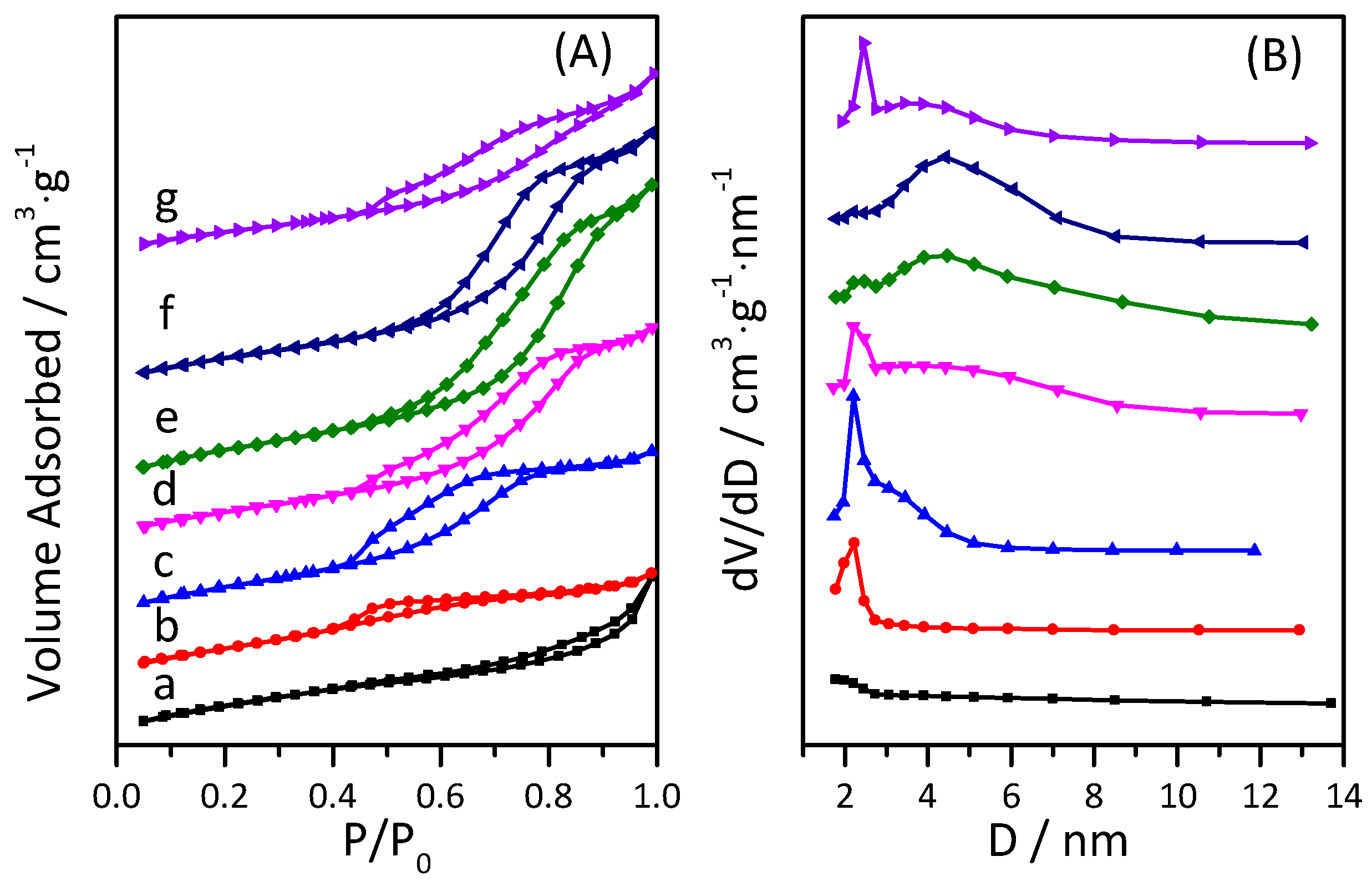
2.1. Characterization
2.2. Acidic Properties
2.3. Catalytic Performance
3. Materials and Methods
3.1. Catalyst Preparation
3.2. Characterization
3.3. Catalysts Test
4. Conclusions
Author Contributions
Funding
Acknowledgments
Conflicts of Interest
References
- Zhu, S.; Zhu, Y.; Hao, S.; Zheng, H.; Mo, T.; Li, Y. One-step hydrogenolysis of glycerol to biopropanol over Pt–H4SiW12O40/ZrO2 catalysts. Green Chem. 2012, 14, 2607–2616. [Google Scholar] [CrossRef]
- Shinmi, Y.; Koso, S.; Kubota, T.; Nakagawa, Y.; Tomishige, K. Modification of Rh/SiO2 catalyst for the hydrogenolysis of glycerol in water. Appl. Catal. B Environ. 2010, 94, 318–326. [Google Scholar] [CrossRef]
- Ma, L.; He, D.H. Influence of catalyst pretreatment on catalytic properties and performances of Ru–Re/SiO2 in glycerol hydrogenolysis to propanediols. Catal. Today 2010, 149, 148–156. [Google Scholar] [CrossRef]
- Shimao, A.; Koso, S.; Ueda, N.; Shinmi, Y.; Furikado, I.; Tomishige, K. Promoting Effect of Re Addition to Rh/SiO2 on Glycerol Hydrogenolysis. Chem. Lett. 2009, 38, 540–541. [Google Scholar] [CrossRef]
- Ma, L.; He, D. Hydrogenolysis of Glycerol to Propanediols Over Highly Active Ru–Re Bimetallic Catalysts. Top. Catal. 2009, 52, 834–844. [Google Scholar] [CrossRef]
- Amada, Y.; Shinmi, Y.; Koso, S.; Kubota, T.; Nakagawa, Y.; Tomishige, K. Reaction mechanism of the glycerol hydrogenolysis to 1,3-propanediol over Ir-ReOx/SiO2 catalyst. Appl. Catal. B Environ. 2011, 105, 117–127. [Google Scholar] [CrossRef]
- Nakagawa, Y.; Ning, X.; Amada, Y.; Amanda, Y.; Tomishige, K. Solid acid co-catalyst for the hydrogenolysis of glycerol to 1,3-propanediol over Ir-ReOx/SiO2. Appl. Catal. A Gen. 2012, 433–434, 128–134. [Google Scholar] [CrossRef]
- Zhu, S.; Gao, X.; Zhu, Y.; Zhu, Y.; Xiang, X.; Hu, C.; Li, Y. Alkaline metals modified Pt-H4SiW12O40/ZrO2 catalysts for the selective hydrogenolysis of glycerol to 1,3-propanediol. Appl. Catal. B Environ. 2013, 140–141, 60–67. [Google Scholar] [CrossRef]
- Zhu, S.; Qiu, Y.; Zhu, Y.; Hao, S.; Zheng, H.; Li, Y. Hydrogenolysis of glycerol to 1,3-propanediol over bifunctional catalysts containing Pt and heteropolyacids. Catal. Today 2013, 212, 120–126. [Google Scholar] [CrossRef]
- Qin, L.; Song, M.; Chen, C. Aqueous-phase deoxygenation of glycerol to 1,3-propanediol over Pt/WO3/ZrO2 catalysts in a fixed-bed reactor. Green Chem. 2010, 12, 1466. [Google Scholar] [CrossRef]
- Zhu, S.; Gao, X.; Zhu, Y.; Cui, J.; Zheng, H.; Li, Y. SiO2 promoted Pt/WOx/ZrO2 catalysts for the selective hydrogenolysis of glycerol to 1,3-propanediol. Appl. Catal. B Environ. 2014, 158–159, 391–399. [Google Scholar] [CrossRef]
- Dam, J.; Djanashvili, K.; Kapteijn, F.; Hanefeld, U. Pt/Al2O3Catalyzed 1,3-Propanediol Formation from Glycerol using Tungsten Additives. ChemCatChem 2013, 5, 497–505. [Google Scholar]
- Sepúlveda, C.; Delgado, L.; García, R.; Melendrez, M.; Fierro, J.L.G.; Ghampson, I.T.; Escalona, N. Effect of phosphorus on the activity of Cu/SiO2 catalysts in the hydrogenolysis of glycerol. Catal. Today 2017, 279, 217–223. [Google Scholar] [CrossRef]
- Fan, Y.; Cheng, S.; Wang, H.; Tian, J.; Xie, S.; Pei, Y.; Qiao, M.; Zong, B. Pt-WOx on monoclinic or tetrahedral ZrO2: Crystal phase effect of zirconia on glycerol hydrogenolysis to 1,3-propanediol. Appl. Catal. B Environ. 2017, 217, 331–341. [Google Scholar] [CrossRef]
- Zhou, W.; Luo, J.; Wang, Y.; Liu, J.; Zhao, Y.; Wang, S.; Ma, X. WOx domain size, acid properties and mechanistic aspects of glycerol hydrogenolysis over Pt/WOx/ZrO2. Appl. Catal. B Environ. 2019, 242, 410–421. [Google Scholar] [CrossRef]
- Li, S.; Zhou, H.; Jin, C.; Feng, N.; Liu, F.; Deng, F.; Wang, J.; Huang, W.; Xiao, L.; Fan, J. Formation of Subnanometer Zr-WOx Clusters within Mesoporous W-Zr Mixed Oxides as Strong Solid Acid Catalysts for Friedel-Crafts Alkylation. J. Phy. Chem. C 2014, 118, 6283–6290. [Google Scholar] [CrossRef]
- Song, K.; Zhang, H.; Zhang, Y.; Tang, Y.; Tang, K. Preparation and characterization of WOx/ZrO2 nanosized catalysts with high WOx dispersion threshold and acidity. J. Catal. 2013, 299, 119–128. [Google Scholar] [CrossRef]
- Vila, F.; López Granados, M.; Ojeda, M.; Fierro, J.L.G.R. Mariscal, Glycerol hydrogenolysis to 1,2-propanediol with Cu/γ-Al2O3: Effect of the activation process. Catal. Today 2012, 187, 122–128. [Google Scholar] [CrossRef]
- Gandarias, I.; Arias, P.L.; Requies, J.; Güemez, M.B.; Fierro, J.L.G. Hydrogenolysis of glycerol to propanediols over a Pt/ASA catalyst: The role of acid and metal sites on product selectivity and the reaction mechanism. Appl. Catal. B 2010, 97, 248–256. [Google Scholar] [CrossRef]
- Hamzah, N.; Nordin, N.M.; Nadzri, A.H.A.; Nik, Y.A.; Kassim, M.B.; Yarmo, M.A. Enhanced activity of Ru/TiO2 catalyst using bisupport, bentonite-TiO2 for hydrogenolysis of glycerol in aqueous media. Appl. Catal. A 2012, 419–420, 133–141. [Google Scholar] [CrossRef]
- Kim, T.; Burrows, A.; Kiely, C.J.; Wachs, I.E. Molecular/electronic structure-surface acidity relationships of model-supported tungsten oxide catalysts. J. Catal. 2007, 246, 370–381. [Google Scholar] [CrossRef]
- Wang, H.; Yao, Z.; Zhan, X.; Wu, Y.; Li, M. Preparation of highly dispersed W/ZrO2-Al2O3 hydrodesulfurization catalysts at high WO3 loading via a microwave hydrothermal method. Fuel 2015, 158, 918–926. [Google Scholar] [CrossRef]
- Escobar, J.; Antonio De Los Reyes, J.; Viveros, T. Nickel on TiO2-modified Al2O3 sol-gel oxides Effect of synthesis parameters on the supported phase properties. Appl. Catal. A Gen. 2003, 253, 151–163. [Google Scholar] [CrossRef]
- Gong, Y.; Chen, H.; Chen, Y.; Cui, X.; Zhu, Y.; Zhou, X.; Shi, J. A Cu/Mn co-loaded mesoporous ZrO2-TiO2 composite and its CO catalytic oxidation property. Micro. Meso. Mater. 2013, 173, 112–120. [Google Scholar] [CrossRef]
- Liu, C.; Li, X.; Wu, Y.; Sun, L.; Zhang, L.; Chang, X.; Zhang, X.; Wang, X. Enhanced photocatalytic activity by tailoring the interface in TiO2–ZrTiO4 heterostructure in TiO2–ZrTiO4–SiO2 ternary system. Ceram. Int. 2019, 45, 17163–17172. [Google Scholar] [CrossRef]
- Ross-Medgaarden, E.I.; Knowles, W.K.; Kim, T.; Wong, M.S.; Zhou, W.; Kiely, C.J.; Wachs, I.E. New insights into the nature of the acidic catalytic active sites present in ZrO2-supported tungsten oxide catalysts. J. Catal. 2008, 256, 108–125. [Google Scholar] [CrossRef]
- Hernández, M.L.; Montoya, J.A.; Hernández, I.; Viniegra, M.; Llanos, M.E.; Garibay, V.; Angel, P. Effect of the surfactant on the nanostructure of mesoporous Pt/Mn/WOx/ZrO2 catalysts and their catalytic activity in the hydroisomerization of n-hexane. Micro. Meso. Mater. 2006, 89, 186–195. [Google Scholar] [CrossRef]
- Oanh, L.M.; Do, D.B.; Hung, N.M.; Thang, D.V.; Phuong, D.T.; Ha, D.T.; Minh, N.V. Formation of Crystal Structure of Zirconium Titanate ZrTiO4 Powders Prepared by Sol-Gel Method. J. Elec. Mater. 2016, 45, 2553–2558. [Google Scholar] [CrossRef]
- Takasu, Y.; Teramoto, M.; Matsuda, Y. Effects of particle size on the desorption behaviour of hydrogen from silica-supported platinum catalysts. J. Chem. Soc. Chem. Commun. 1983, 22, 1329–1330. [Google Scholar] [CrossRef]
- Wang, L.; Stuckert, N.R.; Chen, H.; Yang, R. Effects of Pt Particle Size on Hydrogen Storage on Pt-Doped Metal-Organic Framework IRMOF-8. J. Phys. Chem. C 2011, 115, 4793–4799. [Google Scholar] [CrossRef]
- Scheithauer, M.; Grasselli, R.K.; Knözinger, H. Genesis and Structure of WOx/ZrO2 Solid Acid Catalysts. Langmuir 1998, 14, 3019–3029. [Google Scholar] [CrossRef]
- Arribas, M.; Márquez, F.; Martínez, A. Activity, Selectivity, and Sulfur Resistance of Pt/WOx-ZrO2 and Pt/Beta Catalysts for the Simultaneous Hydroisomerization of n-Heptane and Hydrogenation of Benzene. J. Catal. 2000, 190, 309–319. [Google Scholar] [CrossRef]
- Zhao, X.; Wang, J.; Yang, M.; Lei, N.; Li, L.; Hou, B.; Miao, S.; Pan, X.; Wang, A.; Zhang, T. Selective Hydrogenolysis of Glycerol to 1,3-Propanediol: Manipulating the Frustrated Lewis Pairs by Introducing Gold to Pt/WOx. ChemSusChem 2016, 9, 1–7. [Google Scholar] [CrossRef] [PubMed]
- Moulder, J.F.; Stickle, W.F.; Sobol, P.E.; Bomben, K.D. Handbook of X-ray Photoelectron Spectroscopy; Chastain, J., Ed.; Perkin-Elmer: Eden Prairie, MN, USA, 1992. [Google Scholar]
- Chaudhary, M.; Shen, P.; Chang, S. The roles of phosphate and tungstate species in surface acidities of TiO2-ZrO2 binary oxides - A comparison study. Appl. Surf. Sci. 2018, 440, 369–377. [Google Scholar] [CrossRef]
- Ma, T.; Yun, Z.; Xu, W.; Chen, L.; Li, L.; Ding, J.; Shao, R. Pd-H3PW12O40/Zr-MCM-41: An efficient catalyst for the sustainable dehydration of glycerol to acrolein. Chem. Eng. J. 2016, 294, 343–352. [Google Scholar] [CrossRef]
- Onfroy, T.; Lebarbier, V.; Clet, G.; Houalla, M. Quantitative relationship between the nature of surface species and the catalytic activity of tungsten oxides supported on crystallized titania. J. Mol. Catal. A Chem. 2010, 318, 1–7. [Google Scholar] [CrossRef]
- García-Fernández, S.; Gandarias, I.; Requies, J.; Güemez, M.B.; Benici, S.; Auroux, A.; Arias, A.L. New approaches to the Pt/WOx/Al2O3 catalytic system behavior for the selective glycerol hydrogenolysis to 1,3-propanediol. J. Catal. 2015, 323, 65–75. [Google Scholar] [CrossRef]
- Zhu, S.; Gao, X.; Zhu, Y.; Li, Y. Promoting effect of WOx on selective hydrogenolysis of glycerol to 1,3-propanediol over bifunctional Pt-WOx/Al2O3 catalysts. J. Mol. Catal. A Chem. 2015, 398, 391–398. [Google Scholar] [CrossRef]
- Boffito, D.C.; Crocellà, V.; Pirola, C.; Neppolian, B.; Cerrato, G.; Ashokkumar, M.; Bianchi, C.L. Ultrasonic enhancement of the acidity, surface area and free fatty acids esterification catalytic activity of sulphated ZrO2-TiO2 systems. J. Catal. 2013, 297, 17–26. [Google Scholar] [CrossRef]






| Catalyst | SBET (m2/g) | Dpore (nm) | Vpore (cm3/g) |
|---|---|---|---|
| PtWZr | 57.0 | 2.1 | 0.023 |
| PtWZr7Ti3 | 50.6 | 2.6 | 0.016 |
| PtWZr5Ti5 | 58.6 | 2.8 | 0.040 |
| PtWZr4Ti6 | 59.1 | 3.9 | 0.058 |
| PtWZr3Ti7 | 64.4 | 4.7 | 0.083 |
| PtWZr2Ti8 | 58.9 | 4.4 | 0.071 |
| PtWTi | 47.0 | 3.8 | 0.042 |
| Catalysts | Binding Energy (eV) | Surface Elemental Concentration (%) | Pt0/(Pt2++Pt0) | Zr/Ti | |||||
|---|---|---|---|---|---|---|---|---|---|
| W6+4f7/2 | Pt2+4f7/2 | Pt04f7/2 | Zr3d | Ti3p | Pt | W | |||
| PtWZr | 35.6 | 72.4 | 70.8 | 180.1 | - | 0.71 | 1.59 | 0.654 | - |
| PtWZr7Ti3 | 35.2 | 72.1 | 70.5 | 180.1 | 36.7 | 0.58 | 1.32 | 0.612 | 3.42(2.33) |
| PtWZr5Ti5 | 35.2 | 71.8 | 70.4 | 180.0 | 36.8 | 0.76 | 1.72 | 0.630 | 1.43(1) |
| PtWZr4Ti6 | 35.3 | 72.0 | 70.6 | 182.9 | 36.4 | 0.59 | 1.42 | 0.702 | 0.94(0.67) |
| PtWZr3Ti7 | 35.7 | 72.4 | 71.0 | 181.7 | 37.1 | 0.78 | 1.72 | 0.801 | 0.74(0.43) |
| PtWZr2Ti8 | 35.3 | 72.2 | 70.7 | 182.2 | 36.7 | 0.43 | 1.71 | 0.799 | 0.46(0.25) |
| PtWTi | 35.6 | 72.1 | 70.9 | - | 37.1 | 0.37 | 2.16 | 0.610 | - |
| Catalysts | B Acid Sites/ν19b = 1540 cm−1 | L Acid Sites/ν19b = 1450 cm−1 | B/L | ||||
|---|---|---|---|---|---|---|---|
| 200 °C | 300 °C | 400 °C | 200 °C | 300 °C | 400 °C | ||
| PtWZr | 42.6 | 29.4 | 10.3 | 90.1 | 52.3 | 35.1 | 0.46 |
| PtWZr7Ti3 | 48.5 | 32.6 | 12.2 | 97.8 | 56.3 | 37.0 | 0.49 |
| PtWZr5Ti5 | 50.2 | 34.1 | 13.4 | 101.6 | 59.0 | 38.8 | 0.49 |
| PtWZr4Ti6 | 50.8 | 33.9 | 13.1 | 101.5 | 63.3 | 39.2 | 0.48 |
| PtWZr3Ti7 | 51.4 | 33.3 | 13.9 | 101.7 | 69.0 | 40.5 | 0.45 |
| PtWZr2Ti8 | 45.0 | 30.7 | 11.0 | 91.5 | 53.9 | 35.8 | 0.48 |
| PtWTi | 32.0 | 18.9 | 7.6 | 68.2 | 39.5 | 24.8 | 0.44 |
© 2020 by the authors. Licensee MDPI, Basel, Switzerland. This article is an open access article distributed under the terms and conditions of the Creative Commons Attribution (CC BY) license (http://creativecommons.org/licenses/by/4.0/).
Share and Cite
Xi, Z.; Hong, Z.; Huang, F.; Zhu, Z.; Jia, W.; Li, J. Hydrogenolysis of Glycerol on the ZrO2-TiO2 Supported Pt-WOx Catalyst. Catalysts 2020, 10, 312. https://doi.org/10.3390/catal10030312
Xi Z, Hong Z, Huang F, Zhu Z, Jia W, Li J. Hydrogenolysis of Glycerol on the ZrO2-TiO2 Supported Pt-WOx Catalyst. Catalysts. 2020; 10(3):312. https://doi.org/10.3390/catal10030312
Chicago/Turabian StyleXi, Zhiwen, Zhe Hong, Fangtao Huang, Zhirong Zhu, Wenzhi Jia, and Junhui Li. 2020. "Hydrogenolysis of Glycerol on the ZrO2-TiO2 Supported Pt-WOx Catalyst" Catalysts 10, no. 3: 312. https://doi.org/10.3390/catal10030312
APA StyleXi, Z., Hong, Z., Huang, F., Zhu, Z., Jia, W., & Li, J. (2020). Hydrogenolysis of Glycerol on the ZrO2-TiO2 Supported Pt-WOx Catalyst. Catalysts, 10(3), 312. https://doi.org/10.3390/catal10030312

