Enhanced Catalytic Performance of Hierarchical MnOx/ZSM-5 Catalyst for the Low-Temperature NH3-SCR
Abstract
1. Introduction
2. Results and Discussion
2.1. XRD Results
2.2. SEM and TEM Results
2.3. BET Results
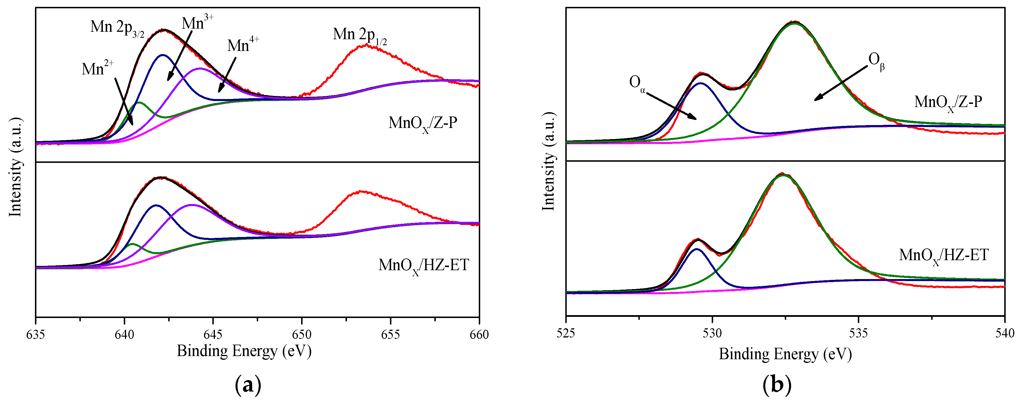
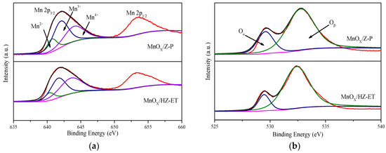
2.4. XPS Results
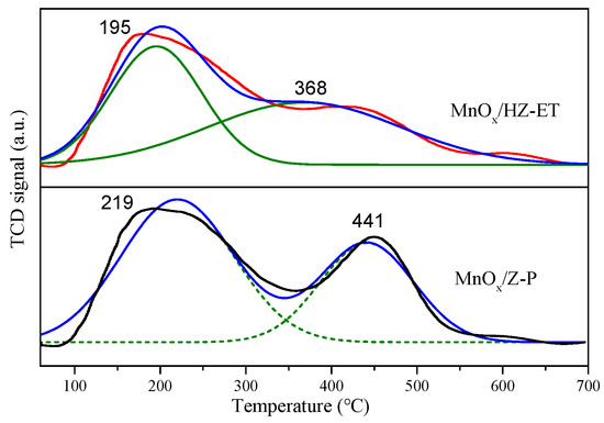
2.5. NH3-TPD Results
2.6. SCR Performance
2.7. Effect of SO2 on SCR Catalytic Activity
3. Materials and Methods
3.1. Catalyst Preparation
3.2. Low-Temperature NH3-SCR Activity Measurements
3.3. Characterization
4. Conclusions
Author Contributions
Funding
Conflicts of Interest
References
- Salazar, M.; Hoffmann, S.; Tillmann, L.; Singer, V.; Becker, R.; Grünert, W. Hybrid catalysts for the selective catalytic reduction (SCR) of NO by NH3: Precipitates and physical mixtures. Appl. Catal. B 2017, 218, 793–802. [Google Scholar] [CrossRef]
- Wang, H.J.; Huang, B.C.; Yu, C.L.; Lu, M.J.; Huang, H.; Zhou, Y.L. Research progress, challenges and perspectives on the sulfur and water resistance of catalysts for low temperature selective catalytic reduction of NOx by NH3. Appl. Catal. A. 2019, 588, 117207. [Google Scholar] [CrossRef]
- Nakhostin Panahi, P. Comparative study of ZSM-5 supported transition metal (Cu, Mn, Co, and Fe) nanocatalysts in the selective catalytic reduction of NO with NH3. Environ. Prog. Sustain. Energy 2017, 36, 1049–1055. [Google Scholar] [CrossRef]
- Saeidi, M.; Hamidzadeh, M. Co-doping a metal (Cr, Mn, Fe, Co, Ni, Cu, and Zn) on Mn/ZSM-5 catalyst and its effect on the catalytic reduction of nitrogen oxides with ammonia. Res. Chem. Intermed. 2016, 43, 2143–2157. [Google Scholar] [CrossRef]
- Wijayanti, K.; Xie, K.; Kumar, A.; Kamasamudram, K.; Olsson, L. Effect of gas compositions on SO2 poisoning over Cu/SSZ-13 used for NH3-SCR. Appl. Catal. B 2017, 219, 142–154. [Google Scholar] [CrossRef]
- Kwon, D.W.; Hong, S.C. Promotional effect of tungsten-doped CeO2/TiO2 for selective catalytic reduction of NOx with ammonia. Appl. Surf. Sci. 2015, 356, 181–190. [Google Scholar] [CrossRef]
- Wang, L.S.; Huang, B.C.; Su, Y.X.; Zhou, G.Y.; Wang, K.L.; Luo, H.C.; Ye, D.Q. Manganese oxides supported on multi-walled carbon nanotubes for selective catalytic reduction of NO with NH3: Catalytic activity and characterization. Chem. Eng. J. 2012, 192, 232–241. [Google Scholar] [CrossRef]
- Yu, C.L.; Huang, B.C.; Dong, L.F.; Chen, F.; Yang, Y.; Fan, Y.M.; Yang, Y.X.; Liu, X.Q.; Wang, X.N. Effect of Pr/Ce addition on the catalytic performance and SO2 resistance of highly dispersed MnOx/SAPO-34 catalyst for NH3 -SCR at low temperature. Chem. Eng. J. 2017, 316, 1059–1068. [Google Scholar] [CrossRef]
- Fan, Y.M.; Ling, W.; Huang, B.C.; Dong, L.F.; Yu, C.L.; Xi, H.X. The synergistic effects of cerium presence in the framework and the surface resistance to SO2 and H2O in NH3 -SCR. J. Ind. Eng. Chem. 2017, 56, 108–119. [Google Scholar] [CrossRef]
- Gao, X.; Li, L.; Song, L.H.; Lu, T.; Zhao, J.X.; Liu, Z. Highly dispersed MnOx nanoparticles supported on three-dimensionally ordered macroporous carbon: A novel nanocomposite for catalytic reduction of NOx with NH3 at low temperature. RSC Adv. 2015, 5, 29577–29588. [Google Scholar] [CrossRef]
- Fang, C.; Shi, L.Y.; Hu, H.; Zhang, J.P.; Zhang, D.S. Rational design of 3D hierarchical foam-like Fe2O3@CuOx monolith catalysts for selective catalytic reduction of NO with NH3. RSC Adv. 2015, 5, 11013–11022. [Google Scholar] [CrossRef]
- Hong, Z.; Wang, Z.; Chen, D.; Sun, Q.; Li, X.B. Hollow ZSM-5 encapsulated Pt nanoparticles for selective catalytic reduction of NO by hydrogen. Appl. Surf. Sci. 2018, 440, 1037–1046. [Google Scholar] [CrossRef]
- Ma, J.; Weng, D.; Wu, X.D.; Si, Z.C.; Wu, Z.W. Highly dispersed iron species created on alkali-treated zeolite for ammonia SCR. Prog. Nat. Sci. 2013, 23, 493–500. [Google Scholar] [CrossRef]
- Zhu, N.; Lian, Z.H.; Zhang, Y.; Shan, W.P.; He, H. Improvement of low-temperature catalytic activity over hierarchical Fe-Beta catalysts for selective catalytic reduction of NOx with NH3. Chin. Chem. Lett. 2019, 30, 867–870. [Google Scholar] [CrossRef]
- Chen, L.; Wang, X.X.; Cong, Q.L.; Ma, H.Y.; Li, S.J.; Li, W. Design of a hierarchical Fe-ZSM-5@CeO2 catalyst and the enhanced performances for the selective catalytic reduction of NO with NH3. Chem. Eng. J. 2019, 369, 957–967. [Google Scholar] [CrossRef]
- Diao, Z.H.; Wang, L.; Zhang, X.W.; Liu, G.Z. Catalytic cracking of supercritical n-dodecane over meso-HZSM-5@Al-MCM-41 zeolites. Chem. Eng. Sci. 2015, 135, 452–460. [Google Scholar] [CrossRef]
- Carja, G.; Kameshima, Y.; Okada, K.; Madhusoodana, C.D. Mn–Ce/ZSM5 as a new superior catalyst for NO reduction with NH3. Appl. Catal. B. 2007, 73, 60–64. [Google Scholar] [CrossRef]
- Li, S.H.; Huang, B.C.; Yu, C.L. A CeO2-MnOx core-shell catalyst for low-temperature NH3-SCR of NO. Catal. Commun. 2017, 98, 47–51. [Google Scholar] [CrossRef]
- Na, J.D.; Liu, G.Z.; Zhou, T.Y.; Ding, G.C.; Hu, S.L.; Wang, L. Synthesis and Catalytic Performance of ZSM-5/MCM-41 Zeolites With Varying Mesopore Zize by Surfactant-Directed Recrystallization. Catal. Lett. 2013, 143, 267–275. [Google Scholar] [CrossRef]
- Zhang, L.; Shi, L.Y.; Huang, L.; Zhang, J.P.; Gao, R.H.; Zhang, D.S. Rational Design of High-Performance DeNOx Catalysts Based on MnxCo3–xO4 Nanocages Derived from Metal–Organic Frameworks. ACS Catal. 2014, 4, 1753–1763. [Google Scholar] [CrossRef]
- Lu, X.N.; Song, C.Y.; Jia, S.H.; Tong, Z.S.; Tang, X.L.; Teng, Y.X. Low-temperature selective catalytic reduction of NOx with NH3 over cerium and manganese oxides supported on TiO2–graphene. Chem. Eng. J. 2015, 260, 776–784. [Google Scholar] [CrossRef]
- Putluru, S.S.R.; Schill, L.; Jensen, A.D.; Siret, B.; Tabaries, F.; Fehrmann, R. Mn/TiO2 and Mn–Fe/TiO2 catalysts synthesized by deposition precipitation—promising for selective catalytic reduction of NO with NH3 at low temperatures. Appl. Catal. B 2015, 165, 628–635. [Google Scholar] [CrossRef]
- Putluru, S.S.R.; Schill, L.; Jensen, A.D.; Fehrmann, R.S.N. Selective Catalytic Reduction of NOx with NH3 on Cu-, Fe-, and Mn-Zeolites Prepared by Impregnation: Comparison of Activity and Hydrothermal Stability. J. Chem. 2018, 2018, 1–11. [Google Scholar] [CrossRef]
- Grossale, A.; Nova, I.; Tronconi, E. Ammonia blocking of the “Fast SCR” reactivity over a commercial Fe-zeolite catalyst for Diesel exhaust aftertreatment. J. Catal. 2009, 265, 141–147. [Google Scholar] [CrossRef]
- Guo, K.; Fan, G.F.; Gu, D.; Yu, S.H.; Ma, K.L.; Liu, A.N.; Tan, W.; Wang, J.M.; Du, X.Z.; Zou, W.X.; et al. Pore Size Expansion Accelerates Ammonium Bisulfate Decomposition for Improved Sulfur Resistance in Low-Temperature NH3-SCR. ACS Appl. Mater. Interfaces 2019, 11, 4900–4907. [Google Scholar] [CrossRef]
- Dai, C.Y.; Zhang, A.F.; Liu, M.; Guo, X.W.; Song, C.H. Hollow ZSM-5 with Silicon-Rich Surface, Double Shells, and Functionalized Interior with Metallic Nanoparticles and Carbon Nanotubes. Adv. Funct. Mater. 2015, 25, 7479–7487. [Google Scholar] [CrossRef]










| Samples | RC (%) |
|---|---|
| Z-P | 100 |
| MnOx/HZ-ET | 81.4 |
| MnOx/Z-P | 79.3 |
| Sample | SBET/(m2·g−1) | Sext/(m2·g−1) | Vtotal/(cm3·g−1) | Vmicro/(cm3·g−1) | Vmeso/(cm3·g−1) |
|---|---|---|---|---|---|
| MnOx/HZ-ET | 328 | 124 | 0.191 | 0.079 | 0.112 |
| MnOx/Z-P | 247 | 12 | 0.157. | 0.098 | 0.059 |
| Sample | Atomic Fraction/(%) | XO/(%) | XMn/(%) | |||||
|---|---|---|---|---|---|---|---|---|
| Mn | O | Others | Oα | Oβ | Mn2+ | Mn3+ | Mn4+ | |
| MnOx/HZ-ET | 9.62 | 58.51 | 31.87 | 12.91 | 87.09 | 9.78 | 41.12 | 49.10 |
| MnOx/Z-P | 8.47 | 58.85 | 32.68 | 24.59 | 75.41 | 15.35 | 48.29 | 36.36 |
| Sample | Area of Peak | Total Area of Peaks | |
|---|---|---|---|
| Peak 1 | Peak 2 | ||
| MnOx/HZ-ET | 1415 | 1671 | 3086 |
| MnOx/Z-P | 1878 | 1042 | 2920 |
© 2020 by the authors. Licensee MDPI, Basel, Switzerland. This article is an open access article distributed under the terms and conditions of the Creative Commons Attribution (CC BY) license (http://creativecommons.org/licenses/by/4.0/).
Share and Cite
Shao, J.; Cheng, S.; Li, Z.; Huang, B. Enhanced Catalytic Performance of Hierarchical MnOx/ZSM-5 Catalyst for the Low-Temperature NH3-SCR. Catalysts 2020, 10, 311. https://doi.org/10.3390/catal10030311
Shao J, Cheng S, Li Z, Huang B. Enhanced Catalytic Performance of Hierarchical MnOx/ZSM-5 Catalyst for the Low-Temperature NH3-SCR. Catalysts. 2020; 10(3):311. https://doi.org/10.3390/catal10030311
Chicago/Turabian StyleShao, Jing, Shuyuan Cheng, Zhaoxu Li, and Bichun Huang. 2020. "Enhanced Catalytic Performance of Hierarchical MnOx/ZSM-5 Catalyst for the Low-Temperature NH3-SCR" Catalysts 10, no. 3: 311. https://doi.org/10.3390/catal10030311
APA StyleShao, J., Cheng, S., Li, Z., & Huang, B. (2020). Enhanced Catalytic Performance of Hierarchical MnOx/ZSM-5 Catalyst for the Low-Temperature NH3-SCR. Catalysts, 10(3), 311. https://doi.org/10.3390/catal10030311

