Next Article in Journal
Carbon-Based Materials for the Development of Highly Dispersed Metal Catalysts: Towards Highly Performant Catalysts for Fine Chemical Synthesis
Previous Article in Journal
Ab Initio Multiscale Process Modeling of Ethane, Propane and Butane Dehydrogenation Reactions: A Review
error_outline You can access the new MDPI.com website here. Explore and share your feedback with us.
 
 
Font Type:
Arial Georgia Verdana
Font Size:
Aa Aa Aa
Line Spacing:
Column Width:
Background:
Review

Glycerol Role in Nano Oxides Synthesis and Catalysis

by
Ana F. Cristino
1,
Inês A. S. Matias
2,
David E. N. Bastos
2,3,
Rui Galhano dos Santos
3,
Ana P. C. Ribeiro
2,* and
Luísa M. D. R. S. Martins
2,*
1
Centro de Química Estrutural, Faculdade de Ciências, Universidade de Lisboa, Campo Grande, 1749-016 Lisboa, Portugal
2
Centro de Química Estrutural, Departamento de Engenharia Química, Instituto Superior Técnico, Universidade de Lisboa, Av. Rovisco Pais, 1049-001 Lisboa, Portugal
3
CERENA—Centre for Natural Resources and the Environment, Instituto Superior Técnico, Av. Rovisco Pais, 1049-001 Lisboa, Portugal
*
Authors to whom correspondence should be addressed.
Catalysts 2020, 10(12), 1406; https://doi.org/10.3390/catal10121406
Submission received: 30 October 2020 / Revised: 28 November 2020 / Accepted: 30 November 2020 / Published: 2 December 2020

Abstract

The transformation of biomass and the utilization of all the by products derived from chemical conversion of biomass resources is one of the most important challenges nowadays. The impact in society and the level of awareness that already exists inside and outside the scientific community, makes the challenge of improving conversion of biomass to commodities a hot topic. Glycerol, a by-product obtained from the biodiesel production, is a key player compound due to its chemical versatility. The possibility of being used as solvent, reagent, reducing agent (in the polyol method), and so forth, makes glycerol an extremely appealing commodity. When used within nanotechnology, namely combined with nanomaterials, its potential becomes even higher. This review summarizes the work developed by the scientific community, during the last five years, in the use of glycerol with nano oxides. The analysis goes from the simple role of solvent to the oxidation of glycerol by nano oxides.

Graphical Abstract

1. Introduction

Global warming is one of humanity’s major concerns in view of the continuous increase of greenhouse gas emissions that results from the anthropogenic activities (consequence of rapid population growing).
Currently, fossil fuels carbon sources (e.g., natural gas, oil, or coal) constitute over 80% of the world’s primary energy supply. As an outcome, the climate stability of the biosphere is affected with countless consequences. In December 2015, the 21st Conference of the Parties, COP21 (the United Nations conference on climate change), brought public awareness to the measures required to slow down global warming. Moreover, a framework to mitigate climate change was set, by agreeing on 17 SDGs—sustainable development goals. In addition, the Intergovernmental Panel on Climate Change (IPCC) set as an aim to keep the warming under 2 °C above preindustrial levels and to pursue efforts to restrict the temperature increase to a limit of 1.5 °C above preindustrial levels, whereas the European Union set the aim of reducing 80% of domestic emissions by 2050 (when compared to 1990) [1]. The use of greener fuels to address such envisaged goals is pointed out as one of the most promising solutions, unlocking a competitive, low carbon, and energy efficient future.
By using wastes and emissions as feedstock to produce fuels, a new sustainable alternative to traditional petrochemical feedstock processes (avoiding their uncertain availability, and their environmental concerns) can be attained, which is imperative, especially to the transport sector [2]. However, there is still much to overcome to achieve a cost-effective and operationally feasible methodology that can be incorporated in a biorefinery, where, through jointly applied conversion technologies, almost all types of biomass feedstocks can be transformed into different classes of bio- fuels and chemicals.
There are several methods to produce biodiesel that includes transesterification, blending of raw oils, microemulsion, dilution, and pyrolysis or thermal cracking. The predominant biodiesel production process, which is also the easiest route, being consequently the most cost-effective approach, involves a step of transesterification yielding glycerol (1,2,3-propanetriol, Figure 1) as a by-product [3].
Increases in biodiesel production in many countries, to replace the traditional petroleum-based energy have led to an excess of crude glycerol. This represents the main bottleneck in the biodiesel production chain. Simultaneously, such a glycerol surplus has created new challenges to its sustainable use. In fact, although available on the market at a very low cost, glycerol contains a number of impurities (e.g., un-reacted glycerides, water, methanol, free fatty acids, methyl esters and other organic materials or inorganic salts [4,5,6]), which affects its properties (biological, chemical, and physical) and therefore inhibits its direct usage in industries.
The composition of crude glycerol depends on the process used for the production of the biodiesel as well as on the nature of feedstock [7]. As such, there is a wide variety of potential alternatives to add value to glycerol, which fall into the following main categories of applications: (i) manufacture of commodities; (ii) production of polymers; (iii) production of biofuels and biogas; and (iv) use of purified glycerol. Thus, the multifunctionality of glycerol makes it a suitable bio-renewable platform chemical. Figure 2 presents different chemical reaction pathways of glycerol.
Glycerol is considered a particularly interesting building block to provide added-value bio-based compounds. In the chemicals market, the production of bio-based products has become a priority for the industries of plastics, solvents, lubricants, and surfactants. The forecast period of 2019–2027 [8] expects an increase at a compound annual growth rate (CAGR) of 16.67%.
The production of bio-based compounds offers an excellent alternative to reduce the dependence of petroleum-based feedstocks, to improve the environmental balance (decreasing CO2 emissions), to boost cleaner, more efficient, modern and future oriented industries, and to meet the increasing of consumers demand for healthier and safer products.
Besides the several pathways to obtain molecules derived from glycerol (Figure 2), there is a much less explored application of glycerol that can be as important and relevant as the currently most known ones: the production of nanomaterials. In fact, nanosciences and nanotechnology assume a pivotal role in the processes of accelerating the energy transition to the use of renewable sources through the development of new materials, which increase the efficiency of processes, rationalize the use of resources and raw materials, and help to reduce the costs.
The use of glycerol as solvent for the dispersion of metal oxide nanoparticles presenting catalytic abilities (Figure 3), increasing their lifetime, is also an emerging field of research.
In fact, glycerol has been successfully used as a solvent, a co-solvent with water, ethanol, and any other polar solvent, for the synthesis of a huge variety of nanomaterials [10,11]. Recently, it was reported that glycerol can act both as solvent and reducing agent [12]. Regarding the present environmental legislation as well as the substitution of the most often used sources of hydrogen, the use of glycerol turns out to be either economically appealing and a highly promising alternative to develop sustainable synthetic processes of materials [13,14]. Thus, the use of glycerol as solvent, co-solvent, and reductant is not only a fascinating area of research but is also gathering tremendous interest in the development of sustainable protocols (in line with green chemistry) for nanomaterials synthesis.
Despite the above-mentioned potential, the utilization of nanomaterials-based catalysts for scalable industrial processes is still highly challenging. In fact, the search for cheap and accessible non-noble metals exhibiting high activity, selectivity, and stability, is a crucial issue that needs to be addressed. In this regard, metal oxides appear as attractive alternatives to noble metal catalysts. In particular, the ability to tailoring both size and morphology of such metal oxides contributes significantly to improving their catalytic performance [15].
In this work, the production of nano oxides using glycerol in their process is reviewed within the last five years. Also, the application of those nanomaterials in catalysis, namely glycerol oxidation, will be presented and discussed to reinforce the importance and versatility of glycerol.

2. Copper Oxide Nanoparticles

Although several synthetic routes of copper(II) oxide (CuO) have been reported in the literature [15], the synthesis of crystalline nanostructured CuO with high purity and through an efficient and fast one-pot method still remains challenging, particularly for water-based phase reactions. Traditionally, the synthesis of copper(II) oxide involves high calcination temperatures (>400 °C) and it is an energy consuming synthesis to transform the synthesized copper(I) oxide (Cu2O) into CuO.
The synthesis using unconventional solvents of colloidal systems based on Cu2O was explored by Chahdoura et al. [16], being the most recognized work (in number of citations) where nanosized copper(I) oxide was synthesized using glycerol (Figure 4) in order to obtain a low-cost catalyst for the environment.
The copper(I) oxide synthesis was performed using glycerol as solvent and copper acetate, Cu(OAc)2, as the metal precursor. The authors used poly(vinylpyrrolidone) (PVP) to stabilize the copper(I) oxide nanoparticles and dihydrogen (H2) as reducing agent. Interestingly, the initial part of the procedure was carried out at room temperature under a stable atmosphere, in a Fischer-Porter bottle until the PVP was completely dissolved. After this, the system was pressurized with H2 at 3 bar and stirred at 100 °C overnight. The formed orange-brown solution was washed with pentane under reduced pressure and the Cu2O nanoparticles were separated from the colloidal solution by centrifugation (Figure 4).
The copper(I) oxide nanoparticles, Cu2O NPs, were fully characterized by spectroscopic and optical methods. The effect of the PVP polymer on the produced nanomaterial showed the best results for the Cu/monomer ratio 1:20, where a uniform micelle-type arrangement was observed. From the analysis by transmission electron microscopy (TEM) after the Cu/monomer ratio 1:20 was dispersed in glycerol, it could be validated that the nanoparticles dispersion was successful and exhibited a mean diameter of (4.7 ± 1.5 nm, Figure 5).
The organized system observed initially could be due to an antiparticle assembly promoted by glycerol during the synthesis, which was disrupted by the centrifugation step. A similar behavior was observed when palladium nanoparticles were synthesized in glycerol [17].
The effect of the absence of H2, has shown that the copper salt reduction would not occur, which led to the conclusion that glycerol would not act as a reducing agent. Also, and in an H2 atmosphere but without the PVP, it was observed that the reduction does not occur either, indicating that glycerol and the polymer both react during the formation of the Cu2O NPs and the PVP acts as an antioxidant layer.
To confirm the role of glycerol as solvent, ethanol was used instead of glycerol. No evident change occurred, proving that glycerol acts exclusively as a solvent in opposition to other more commonly used solvents, such as acetonitrile or ethanol.
The as-prepared Cu2O NPs in glycerol were used for 1,3-dipolar Huisgen cycloadditions and as a catalyst for C-heteroatom bond formation processes. The results show that in the case of cross-couplings (C-N and C-S), the secondary amines and thioethers were isolated in over 90% yields. Anilines were also obtained by using aqueous ammonia as the nucleophile. Moreover, triazoles (mono-, bis- and tris-) were successfully prepared from terminal alkynes. This process was quite selective and only the corresponding 1,4-disubstituted regioisomer was obtained for all cases. In addition, this Cu2O NPs has shown to be a quite versatile catalyst with applications in one-pot multistep Cu-catalyzed reactions. An example are the as C-N coupling followed sequentially by the chemical reduction of nitro groups and azide–alkyne cycloaddition/cross-coupling tandem processes. In this process, there is no isolation of the corresponding intermediates and high global yields are achieved. As a bonus, the catalytic glycerol phase could be recycled ten times maintaining its initial catalytic behavior.
Catalytic multi-step processes, where the design of well-defined and easily dispersed metallic nanoparticles are a requirement, can be the key for new developments in catalysis. The fact the nanoparticles can be made in neat glycerol and are appropriate for the desired production of target molecules is a future goal. This is an understudied topic that can lead to the boost of glycerol as a solvent that can be well used in nanomaterials synthesis. Due to the outstanding properties of glycerol for applications in catalysis [18], such as, its low cost and toxicity, high boiling point, negligible vapor pressure, high solubilizing ability for organic (except those that are completely non polar) and inorganic compounds. In addition, glycerol hydroxyl groups can trigger supramolecular arrangements by hydrogen-bond formation, which stabilizes nanoparticles in such a network [19].
Hydrothermal synthesis of metal nanoparticles using glycerol as a reducing agent, is a procedure already used. When glycerol is used as a reducing agent for the formation of Cu2O, the procedure is commonly known as the polyol process.
Kim et al., addressed the hydrothermal reduction of several metal oxides and metals using supercritical water (SCW) as reaction medium and as reducing agent, they chose glycerol [20]. Manganese, cobalt, copper, iron, nickel, and silver nitrates were tested for their reduction. Glycerol differs from other reducing agents in several ways. Most importantly, glycerol is readily available, considered environmentally benign, odorless, safe upon skin contact, and does not require an glovebox for formulation. Glycerol can be oxidized into several products such as glyceraldehyde, glyceric acid, dihydroxy acetone, or hydroxypyruvinic aldehyde among others (see below, in topic 8) [21]. The ability to produce commodities is still understudied, and the control of the selectivity is the main drawback. Acrolein dehydration using glycerol treated in SCW can also be formed. Therefore, various glycerol-derived chemicals can be formed simultaneously.
Ong et al. [5] synthetized CuO nano-sol in glycerol at ambient conditions through a chemical reduction method and used it with success in alkyd resin preparation. Their aim was to produce an efficient nanosized heterogeneous catalyst due to its ultrafine size and high surface area. Further, the addition of nanosized catalyst to a homogeneous catalytic system would introduce a new catalytic atmosphere all through the resin preparation. Moreover, the catalyst would remain in the polymer after polyesterification, acting as a property enhancing agent [5].
The synthetic procedure for the copper nanoparticles solution was performed at room temperature. CuO was used, due to its catalytic reactivity, good antibacterial behavior, and low price, by chemical reduction route using hydrazine as a reducing agent and glycerol as a solvent. The structural characterization was attained by X-ray absorption near edge structure spectroscopy (XANES) and X-ray photoelectron spectroscopy (XPS).
The authors prepared successfully a palm oil-based alkyd resin by a combining system (heterogeneous with homogeneous catalyst) comprised of NaOH and CuO nanoparticles. The obtained system with the addition of CuO exhibited higher catalytic behavior than the conventional homogeneous system. CuO nanoparticles exhibited good antibacterial activity. The curing property of resin was better by copper oxide nanoparticles via a decrease in the exothermic heat of the reaction. The authors concluded that CuO nanoparticles can act as a co-catalyst as well as an antibacterial agent during alkyd resin preparation.

3. Iron Oxide Nanoparticles

There are numerous routes to synthesize iron oxide nanoparticles (IONPs) [22]. The synthetic method must be carefully chosen in order to obtain the desired result, since this choice may affect the size distribution, core shape, and surface properties of the IONPs. With promising conduct in well-known areas such as magnetic resonance imaging (MRI) [23] and in therapeutic applications [24], two of the foremost examined IONPs are magnetite (Fe3O4) and maghemite (γ-Fe2O3). However, IONPs such as these ones, tend to aggregate not only due to their strong magnetic dipole-dipole attractions, but also due to their large surface energy. By using surfactants and polymeric compounds to functionalize iron oxide magnetic nanoparticles or thin films, this condition can be solved, opening a new range of applications such as chemical and new biomedical applications with special emphasis on important parameters like toxicity and biocompatibility [25,26]. In the work of Prodan et al., the toxicity of GIO nanoparticles was studied on HeLa cells. The results obtained showed that these NPs were nontoxic, confirming their biocompatibility even after 72 h [27].
In the work done by Popa et al., glycerol is used as a co-material in conjunction with ferric and ferrous chlorides to form glycerol coated-iron oxide (GIO) nanoparticles [28]. The nanoparticles were synthetized by coprecipitation method in air, at room temperature. After, the GIO nanoparticles were purified by ultra-purification and then dispersed in ethanol. The XRD patterns of GIO thin films showed its homogenous structure conservation. Also, the authors found that the size of the spherical microspheres increased with the increase of the amount of glycerol, revealing that the effect of glycerol could not be as simple as a solvent. However, no further discussion was provided for the role of glycerol.
To better understand solvent effects such as hydrogen bonding, polarity, and viscosity in nanofluids made with glycerol and iron(III) oxide (Fe2O3) nanoparticles, Christensen et al. studied the diffusivity and dispersibility of the Fe2O3 nanoparticles in glycerol, among other solvents, when subjected or not, to the action of an applied magnetic field using an optical microscope [29]. They were able to publish images (from microscopy) that indicated that inter-molecule hydrogen bonding from the solvents with one OH group (water, ethanol, 1-propanol or isopropanol) would assist in the dispersion and alignment of the Fe2O3 nanoparticles. The intra-molecular forces reported (such as hydrogen bonding) were the cause for a dramatic increase in viscosity for fluids with multiple hydroxyl groups, such as glycerol, and as a consequence, makes the dispersion and alignment of Fe2O3 nanoparticles more difficult to achieve. The addition of water to those fluids, as reported by the authors, led to a significant reduction in viscosity and made possible for the particles to disperse and align more easily. Vshivkov et al. studied the viscosity of IONPs in the form of magnetic fluids [30]. The study was conducted in the presence and absence of a magnetic field, and showed that a higher iron oxide particle concentration leads to an increase in viscosity. In their findings, they also attested that in the presence of a magnetic field, an increase of 20–80 times originate the formation of IONPs aggregates. Also, the authors observed that higher polarity yields promoted better dispersion and consequent alignment of the Fe2O3 nanoparticles, and non-polar solvents such as hydrocarbons (cyclohexane and hexane) can cause poor dispersion and agglomeration of the nano oxide. This is due to the low viscosities of hydrocarbons, that allow for little interaction with the Fe2O3 nanoparticles due to London interactions, and no hydrogen bonding or charge separation.
In addition, it is worth mentioning that thermal studies (such as thermal conductivity) of nanofluids containing metal oxide particles, with hydrogen bonding in solvents, is enhanced when compared to the theoretically calculated data. The thermal response and the magneto-structural properties of two different samples of IONPs dispersed in glycerol (2wt. %) was studied by Smolkova et al. [31]. By changing the mixing order of the initial reagents (Figure 6), the differences in the magneto-structural properties were more than evident, changing from uniform and high-crystalline, in the case of an alkaline medium (sample II), to polydispersed, in case of an acidic medium (sample I). This behavior was in the basis of the different heating efficiency exhibit by the two samples, being sample II the one that provided a rapid temperature increase.
Similar results were obtained by Pruba et al. In this work, changes in parameters used in the co-precipitation method resulted in different crystallite sizes, affecting the heating efficiency. Their magnetite nanoparticles under a glycerol (5 wt %) environment for a long time (18 months) suffered a phase transformation, leading to the formation of large fraction of hematite phase. When compared to the magnetite phase, the hematite dispersion presented an unfavorable heating efficiency [32].
Besides acting as a base fluid, glycerol can act as an antioxidant in hydrothermal synthesis of metal oxides such as CoO, Fe3O4, and MnO. Kim et al. synthesized metal and metal oxide nanoparticles using scH2O (supercritical water) as a reaction medium and glycerol as an anti-oxidant in the hydrothermal synthesis of metal oxides [20]. The anti-oxidant role of glycerol was showed by the complete reduction of silver copper and nickel nitrates to zero valent metals, and by the partial reduction into low valent metal oxides for cobalt iron and manganese.

4. Nickel Oxide Nanoparticles

These NPs are commonly used as catalysts for hydrocarbon substitution reactions. The Ni/NiO core-shell nanomaterials are valuable ferromagnetic materials. Regardless of its value, very limited studies are available, most likely due to the complications in reducing the Ni2+ cation into metallic nickel over a liquid chemical process with regular reducing agents.
In their research work, Li and co-workers aimed to synthesize nickel and Ni/NiO core-shell nanoparticles [33]. They achieved this by performing a complex-precipitation where glycerol was used as an intermediary. Experimentally, a solution with nickel acetate and nickel nitrate with glycerol was heated at 353 K and stirred for 30 min. After, a sodium carbonate aqueous solution was added, which 1 h later was filtered resulting in a solid sample that, which when calcinated in nitrogen, would produce Ni nanoparticles (Figure 7).
X-ray diffraction (XRD), thermogravimetric analysis/differential thermal analysis (TGA-DTA), and TEM was used to characterize the resulting nanoparticles. The TGA-DTA analysis showed a particularly interesting result; the existence of an exothermal peak is attributed to the re-oxidation of the recently formed Ni nanoparticles, generating NiO nanoparticles. In the calcination step, temperature and atmosphere was found to affect the structures of the nanomaterials. The use of nitrogen would produce only metal Ni nanoparticles with a typical face-centered cubic (f.c.c.) structure. An air environment would produce metallic Ni coated with nickel oxide formed with a f.c.c. structure. The role of glycerol was also discussed, since it generated a highly viscous and stable mixture solution, preventing the formation of aggregates. Also, during the calcination process, the glycerol ligands would start to decompose simultaneously with the Ni generating H2 and CO2. The detailed process of the formation of nanoparticles using glycerol can be represented through reactions (1) to (4). In an initial reaction (reaction 1), we obtained a complex by mixing Ni2+ with glycerol. This complex is then involved in a precipitation (Ni(OH)x(CO3)y(C3H6O3)z) (reaction 2) with the addition of a sodium carbonate aqueous solution. The precipitate started to decompose during the calcination step (reaction 3), producing H2, CO, CO2 and metallic nickel particles of 14.4 nm by reduction of Ni2+. The final step represented the oxidation of the outer surface of the Ni nanoparticles into NiO in the presence of air (reaction 4). The result was a Ni/NiO core-shell nanoparticles.
Ni2+ + C3H8O3 + 2OH → Ni(C3H6O3) + 2H2O
Ni(C3H6O3) + OH + CO32− → Ni(OH)x(CO3)y(C3H6O3)z
Ni(OH)x(CO3)y(C3H6O3)z → Ni + CO2 + H2O + CO + H2
Ni + 1/2 O2 → NiO
Adjustable processing parameters can easily be used to control the structures of Ni and Ni/NiO core-shell nanoparticles produced in this study.

5. Zinc Oxide Nanoparticles

Zinc oxide (ZnO) nanoparticles are valuable multifunctional semiconductor materials for many applications as photocatalysts, in solar cells, electronic, optoelectronic and field-emission devices, or in sensors [34,35,36,37]. Moreover, ZnO nanoparticles are recognized as safe and biocompatible materials and have been employed as drug carriers and medical fillings, UV-absorbers in sun creams and in coating application, photoluminescence agents in biosensors, or antibacterial agents in a huge number of industrial products [38].
Janković et al. synthesized ZnO nanoparticles without solvent using zinc nitrate hexahydrate as starting material and glycerol as dispersant, without any solvent [39]. This method demonstrated to be straightforward, economic, and eco-friendly. Zinc nitrate and glycerol were mixed in different ratios in order to prevent and overcome a possible agglomeration. As a conclusion, the authors stated that the solvent-free method proved to be a very efficient procedure for the synthesis of ZnO nanoparticles having the size of quantum dots (2.06 nm).
A facile process of preparing zinc oxide NPs starting from aqueous zinc chloride (ZnCl2) solution and with aqueous hydroxide solution with glycerol acting as a stabilizer at room temperature was developed by Wang et al. [40]. ZnCl2 aqueous solutions with a concentration of 65–80 wt% were used as zinc source. The concentration of zinc chloride solutions as well as the molar ratio of glycerol to Zn2+ played a clear effect on the sizes and shapes of the zinc oxide nanoparticles. The ZnO nanoparticles shape shifted from rods of approximately 50–120 nm long and 30–70 nm in diameter to globular ones with diameters of nearly 20 nm as the concentration of the zinc chloride solution and the mole ratio of glycerol to Zn2+ increased. It may be concluded that the glycerol, acting as a stabilizer, played a significant role in the formation process of zinc oxide nanostructures even for a highly concentrated zinc source at room temperature. Without stabilizer, with the increase of the concentration of Zn2+ and OH, supersaturated ZnO nuclei would aggregate easily, growing larger, leading to heterogeneous ZnO nanoparticles (see Figure 8I). Glycerol has three hydroxyl groups, with which the Zn2+ could interact, creating a zinc-glycerol complex. Adding a sodium hydroxide solution led to the reaction of zinc-glycerol complex with OH affording [Zn(OH)4]2− around the hydroxyl groups of glycerol. Subsequently, [Zn(OH)4]2− dehydrates into zinc oxide near glycerol. The high sodium hydroxide concentration (50 wt%) triggered a burst of the initial homogeneous nucleation of zin oxide crystals, and the supersaturated ZnO nuclei aggregate together near the glycerol molecule, which acted as a stabilizer. As shown in Figure 8II, for lower glycerol content in the glycerol/water system, the blocking effect of glycerol decreased, demonstrating that once the less glycerol is avoiding the growth and agglomeration of ZnO, the resulting ZnO nanoparticles were uneven and presented a larger size.
With a high content of glycerol, there was a decrease in the concentration of unbonded zinc ions due to the combination of the hydroxyl groups from glycerol and zinc ions. This increased blocking effect due to glycerol causes ZnO to become more uniform and to exhibit a smaller size (see Figure 8III). In fact, ZnO morphologies could be controlled by the mole ratio of glycerol to Zn2+. It appears that glycerol operated as an obstructer for agglomeration and at the same time as a stabilizer of nano-sized ZnO. This effect occured under conditions of an extremely concentrated zinc source and in presence of an alkaline solution. Diameters of approximately 20 or 50 nm of granular ZnO nanoparticles could be generated from sodium hydroxide or potassium hydroxide saturated solutions, respectively. This shows that the hydroxides also had an obvious influence on the size of ZnO particles and this process occurs at room temperature. The authors thus proposed, with this study, a facile process and size-controllable method for the synthesis of ZnO nanoparticles.
Copeland et al. also produced ZnO nanoparticles to understand how the properties of the nano oxide affect the surface of species formed by glycerol [41]. This metal oxide is a common catalyst and also catalyst support, that provides a range of surface properties. These properties like basicity, acidity, and degree of surface hydroxylation, permits to understand how the surface species are influenced by the metal oxide characteristics, in particular how they affect the surface interactions between glycerol and ZnO.
Even though its discussion is not focused on in this review, the literature review stressed that the application of nano oxides in catalysis is being explored and under fast expansion.

6. Cerium Oxide Nanoparticles

Cerium oxide (ceria, CeO2, CeO2−x) nanoparticles are widely studied for their ability to be applied in a variety of areas such as catalysis, fuel cells, sun-screens, pigments, protective coatings, and medicine, namely medical therapeutics due to its ability to mimics natural enzymes, by storing and delivering redox equivalents.
Cerium oxide nanoparticles can be readily prepared by a simple, solvent free, and eco-friendly method using glycerol as organic dispersant and cerium nitrate as starting material. The material was characterized by XRD, scanning electron microscopy (SEM), UV-visible and fluorescence techniques. XRD analysis revealed that cerium oxide nanoparticles were a crystalline pure phase and presented a face-centered cubic structure, with the average particle size of about 59 nm. The surface morphology of the material was carried out using SEM, which is able to confirm that the particles form a nanotubular structure reached 3 nm. The purity of the compound was assessed by energy dispersive X-ray analysis (EDAX). The UV-spectrum exhibited a maximum at 338 nm, assigned to the charge transfer from oxygen to cerium in cerium dioxide. The nanoparticles exhibited room temperature photoluminescence of the blue light at 378, 438, and 484 nm [42].
Testino and co-workers prepared CeO2, Ni, Ag, and Ca3(PO4)2 nanoparticles (NPs) via polyol synthesis route combined with the segmented flow tubular reactor (SFTR) [43]. The work showcased the extended ability of the SFTR concept to produce NPs on organic medium at temperatures >100 °C compared with aqueous systems.
The polyol route allows the preparation of the material with outstanding properties due to the polarity of the polyols favoring the solubility of inorganic precursor salts; the possibility of using atmospheric pressure at high temperatures decreases the complexity of the experimental apparatus, to apply relatively high temperatures at ambient pressure simplifying the equipment used for the synthesis. On the other hand, such a high temperature leads to well-crystallized materials. Another advantage is related with the chelation effect of the solid by the polyol that limits the particle growth, avoiding the particles agglomeration. The organic solvents used in the procedure can be recovered (by distillation) and re-used, additionally, due to the polyols low weight (they can be easily removed from the particle surface). Moreover, reducing medium properties of the polyols allows the preparation of oxidation sensitive materials.
It should also be noted that this method, despite being fully compatible with aqueous medium, can be conducted in organic medium, as for example with ethylene glycol, since the density and viscosity of such chemicals are fully compatible with SFTR plants designed for aqueous systems. This will open a vast portfolio of synthetic options for the production of high-quality NPs. New systems are being developed for the continuous synthesis of Metal Organic Frameworks (MOFs) as well as to prepare precious-metal-doped mixed-oxide compounds for catalytic applications. A new configuration, operating under hydrothermal conditions up to 250 °C, is also being envisaged by Testino and co-workers [43].

7. Titanium Oxide Nanoparticles

Titanium oxide (TiO2), a semiconductor metal oxide, is used for a wide range of purposes, comprising, dye-sensitized solar cells [44], photocatalytic hydrogen generation [45], organic synthesis of chemicals [46], or environmental remediation [47,48].
Vinodbhini et al., studied the effect of microwave (MW) irradiation on the preparation of titanium oxide nanostructures [49]. The titanium-based structures can be obtained using microwave irradiation as a low-cost method from a polyol medium of glycerol. A domestic microwave oven of 2.45 GHz was used, at several power densities of irradiation, to prepare, for the first time, titanium glycerolate and TiO2 powders. The studies were very useful to assess the impact of MW power on morphology tuning.
X-ray diffraction (XRD), field emission scanning electron microscopy (FESEM), and Raman spectra analysis were used for the characterization of the structural and morphological characteristics of both titanium glycerolate and TiO2 powders. These TiO2-based structures were successfully used in the fabrication of photovoltaic devices.
In a nutshell, a novel and rapid microwave-driven method was proven to be effective for the preparation of TiO2 nano powder. Titanium tetraisopropoxide in combination with glycerol was used as the precursor for the formation of the titanium glycerolate complex. Upon calcination, the titanium glycerolate is converted into TiO2 nano powder. The FESEM technique was applied to characterize the morphology of the prepared titanium glycerolate and TiO2 nano powders by domestic microwave power irradiation. This study led to the conclusion that the 480 W irradiation power led to a one-dimensional growth and it retains the morphology after annealing. The stacking of the self-assembled sphere-shaped nanoparticles in a particular direction is responsible for a rod-like morphology. A pure anatase phase of TiO2 was found when applying 480 W, while for other frequencies an anatase with secondary rutile phases was observed. These materials are very useful to be used in the improvement of novel photovoltaic devices.
Huei et al. [50] established a glycerol-mediated reliable and straightforward technique to synthesize colored titania nanoparticles (NPs) in solution. Interestingly, the use of glycerol, as co-solvent and a reductant, offered an effective and greener route for the preparation of colored titania. This procedure starts by hydrolyzing the TiCl4 precursor in aqueous solution containing different glycerol concentrations (0.0, 1.163, 3.834, and 5.815 mol/L) and afterwards a calcination is conducted at 300 °C for 1 h. As a result, besides the preservation of crystallinity, narrow bad gap and significant optical response of titania were achieved. The authors believed that the produced colored titania benefit from the introduction of Ti3+ species as Ti2O3, which may induce mid gap states in the band gap, which enhances the visible light absorption capability and consequently its photocatalytic performance. The colored TiO2 NPs prepared in 1.163 mol/L aqueous glycerol solution demonstrated the best photocatalytic performance, for palm oil mill effluent (POME). The results presented 48.17% degradation of phenolic compounds along with 62.18% in color removal. Based on these results, the authors assumed that the concentration of glycerol was a decisive factor in the extent of reduction, variation in specific surface area, bandgap, change of color, and the formation of Ti3+ species.

8. Glycerol Oxidation with Nano Oxides as Catalyst

As stated previously, this work overviews the use of glycerol in the production of nano oxides than can be further used as catalysts in a glycerol oxidation process. Although glycerol oxidation is a well debated and published field due to the interest arising from being a biomass derivative, there is still a need for further studies in the research of a catalyst that can be cheap and robust. Metal oxide nanoparticles are quite stable and production methods are becoming simpler and easier to replicate. The possibility of using a solvent in the synthesis of nanoparticles that then becomes the target for a catalyzed reaction is a challenge, but it can be the solution for larger implementation of glycerol application and transformation. This “one-pot” procedure is a challenge that some researchers have started to investigate, and their findings are as follows.
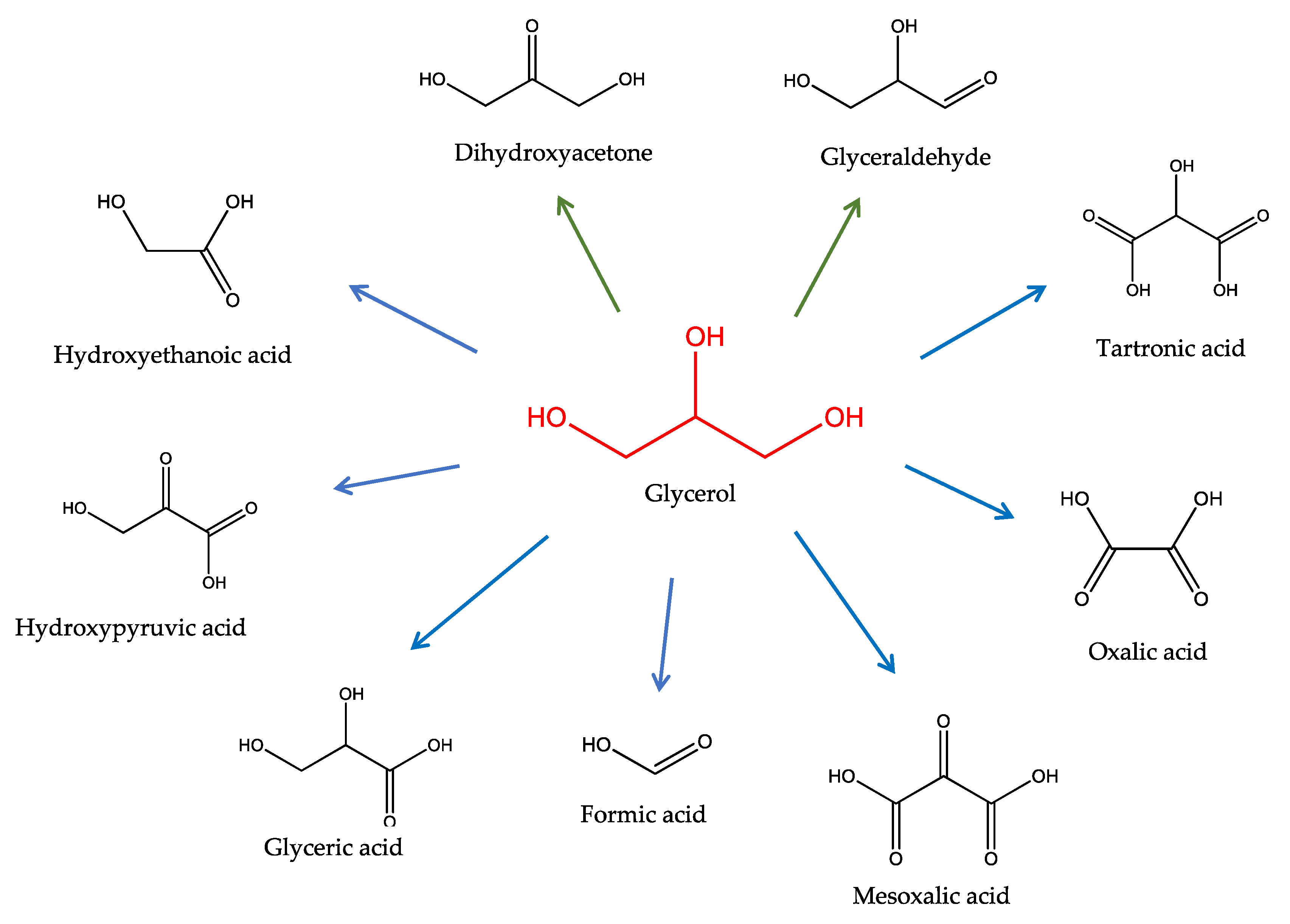
Several different value-added chemicals can be obtained from glycerol oxidation (Figure 9).
Han et al. [51] studied the performance of different cobalt-based spinel oxide nanostructures (MCo2O4, M = Mn, Fe, Ni, Co, Zn, or Cu) as electrocatalysts in the conversion of glycerol into formic acid. According to the authors, the catalytic activity showed by the catalysts, in alkaline media, had the following order CuCo2O4 > NiCo2O4 > CoCo2O4 > FeCo2O4 > ZnCo2O4 > MnCo2O4. Based on this sequence, the authors used the nanomaterial with best catalytic activity and combine it with carbon fiber paper electrodes for the electrolytic oxidation of glycerol at a constant potential (1.30 V) versus the reversible hydrogen electrode; a glycerol conversion of 79.7% was achieved as well as a high selectivity of 80.6% towards formic acid.
Several mixtures of Cu oxides (CuMgAlO, CuNiAlO, CuMnAlO, CuFeAlO, CuCoAlO, and CuZnAlO) were analyzed by Zhang et al. [52] for glycerol oxidation employing two types of oxidants, H2O2 and O2. According to Table 1, the use of H2O2 as an oxidant leads to the highest conversion of glycerol, 33.6%, for CuNiAlO along with highest selectivity for formic acid, 57.2%. Concerning the use of O2 as oxidant, the major conversion of glycerol occurs with CuMnAlO, 34.5%, being glyceric acid produced with a selectivity of 53.6%.
Kaskow et al. [53] studied the catalytic performance of ZnO towards glycerol oxidation, being possible to observe a 10% conversion of glycerol, with the best selectivity, 45%, for glycolic acid.
Over the last five years, nano oxides are mostly used as catalyst support more than as the catalyst itself, in the oxidation of glycerol. Due to this, we decided to, as mentioned below, present some examples of it.
An example of glycerol oxidation is demonstrated by the work of Lakshmanan et al. which used CeO2-supported gold nanoparticles as catalysts to obtain lactic acid and glyceric acid as main products [54]. The authors observed that the ceria supported AuNPs (chemically reduced samples) are more efficient catalysts for the aerobic oxidation of glycerol when compared with hydrogen reduced samples due to the larger size of the AuNPs. The highest selectivity towards lactic acid, 83%, was achieved for 1% Au/CeO2, corresponding to a glycerol conversion of 98%.
Glycerol oxidation using nanocrystalline CeO2 supported catalysts was evaluated in aqueous solution in the presence of a base and oxygen by Jayanthi [42]. A selectivity towards lactic acid of 80% concomitant with a glycerol conversion of 99% is achieved by Au-Pt/nCeO2 catalyst. Therefore, the authors conclude that bimetallic nanocrystalline CeO2 supported Au-Pt systems present higher catalytic performance than the monometallic ones (nanocrystalline CeO2 supported gold and nanocrystalline CeO2 supported platinum).
Catalytic performance of TiO2 nanofiber supported platinum catalysts and TiO2 nano powder supported platinum catalysts were evaluated by Chornaja et al. [55] for the oxidation of glycerol, to obtain as main product glyceric acid. A selectivity towards glyceric acid of 63%, with 100% conversion of glycerol, was achieved using TiO2 nanofiber supported platinum as catalyst and in the case of TiO2 nano powder supported platinum the selectivity to glyceric acid was 68%, corresponding to a glycerol conversion of 95%.
According to Chornaja et al., in a separate study, alumina-supported palladium catalysts were used for the oxidation of glycerol to obtain mainly glyceric acid [56]. The authors proved, with the TEM technique, that the palladium exhibits a nano-size on the carrier surface. They could also conclude that the best catalysts for the oxidation of glycerol were 1.25% Pd/Al2O3 and 2.5% Pd/Al2O3.

9. Conclusions

In order to promote a more sustainable and green future it is vital and urgent to find substitutes for fossil fuels. A way to do that consists in the use of wastes that are produced in large amounts.
The easy accessibility to obtain glycerol, as a waste from biodiesel industries, and its use to obtain value-added products, arouses interest all over the world. However, biomass-derived products from crude-glycerol remain a big challenge once its level of impurities is normally high.
In light of the findings discussed in this review, the use of glycerol in synthetic processes is unequivocally a significant theme in the field of nanomaterials, becoming potentially, very soon, a hot topic among the research community, especially in catalytic processes. Recent advances concerning the design and preparation of metallic nano oxide structures in the presence of glycerol, such as copper-, iron-, nickel-, zinc-, cerium-, and titanium oxide nanoparticles, proved that a diversity of non-precious metals and preparation methodologies contribute to overcoming the drawbacks of traditional synthetic approaches.
In parallel, the catalytic oxidation of glycerol using nano oxides as catalysts into value-added chemicals is still a challenge. We believe this is one of the reasons why nano oxides are not yet well explored as a catalyst for glycerol oxidation.

Author Contributions

Writing—original draft preparation, A.F.C., I.A.S.M., D.E.N.B., R.G.d.S., A.P.C.R., and L.M.D.R.S.M.; writing—review and editing, A.P.C.R., I.A.S.M., and L.M.D.R.S.M. All authors have read and agreed to the published version of the manuscript.

Funding

This research was partially funded by FCT through UIDB/00100/2020 of Centro de Química Estrutural. A.P.C.R. thanks Instituto Superior Técnico for the Scientific Employment contract IST-ID/119/2018. I.A.S.M. is thankful to FCT for her PhD fellowship (SFRH/BD/146426/2019).

Conflicts of Interest

The authors declare no conflict of interest.

References

  1. Global Climate Change. Available online: https://www.climate.nasa.gov (accessed on 16 October 2020).
  2. Ribeiro, A.P.C.; Martins, L.M.D.R.S.; Pombeiro, A.J.L. Carbon dioxide-to-methanol single-pot conversion using a C-scorpionate iron(II) catalyst. Green Chem. 2017, 19, 4801–4962. [Google Scholar] [CrossRef]
  3. Bartoli, M.; Rosi, L.; Frediani, M. Introductory Chapter: A Brief Insight about Glycerol, Glycerine Production and Transformation—An Innovative Platform for Sustainable Biorefinery and Energy; IntechOpen: London, UK, 2019. [Google Scholar] [CrossRef]
  4. Dobrovolný, K.; Ulbrich, P.; Švecová, M.; Bartůněk, V. Affordable, Green, and Facile Synthesis of Copper Nanoparticles Stabilized by Environmentally Friendly Surfactants. Metall. Mater. Trans. B 2015, 46, 2529–2533. [Google Scholar] [CrossRef]
  5. Ong, H.R.; Khan, M.R.; Ramli, R.; Yunus, R.M.; Rahman, W.; Hong, C.S.; Ahmad, M.S. Formation of CuO Nanoparticle in Glycerol and Its Catalytic Activity for Alkyd Resin Synthesis. Mater. Today Proc. 2018, 5, 3165–3175. [Google Scholar] [CrossRef]
  6. Wang, Z.; Suo, Q.; Zhang, C.; Chai, Z.; Wang, X. Solvent-controlled platinum nanocrystals with a high growth rate along 〈100〉 to 〈111〉 and enhanced electro-activity in the methanol oxidation reaction. RSC Adv. 2016, 6, 89098–89102. [Google Scholar] [CrossRef]
  7. Dang-Bao, T.; Pradel, C.; Favier, I.; Gómez, M. Making Copper(0) Nanoparticles in Glycerol: A Straightforward Synthesis for a Multipurpose Catalyst. Adv. Synth. Catal. 2017, 359, 2832–2846. [Google Scholar] [CrossRef]
  8. Global Bio-based Chemicals Market Forecast. 2018. Available online: https://www.prnewswire.com/news-releases/global-bio-based-chemicals-market-forecast-2018-2026-300646520.html (accessed on 26 October 2020).
  9. Favier, I.; Pla, D.; Gómez, M. Metal-based nanoparticles dispersed in glycerol: An efficient approach for catalysis. Catal. Today 2017, 310, 98–106. [Google Scholar] [CrossRef]
  10. Wolfson, A.; Dlugy, C.; Shotland, Y. Glycerol as a Green Solvent for High Product Yields and Selectivities. Environ. Chem. Lett. 2007, 5, 67–71. [Google Scholar] [CrossRef]
  11. Escudero, A.; Moretti, E.; Ocana, M. Synthesis and Luminescence of Uniform Europium-doped Bismuth Fluoride and Bismuth Oxyfluoride Particles with Different Morphologies. CrystEngComm 2014, 16, 3274–3283. [Google Scholar] [CrossRef]
  12. Sinhamahapatra, A.; Bhattacharjya, D.; Yu, J.S. Green Fabrication of 3-dimensional Flower-shaped Zinc Glycerolate and ZnO Microstructures for p-nitrophenol Sensing. RSC Adv. 2015, 5, 37721–37728. [Google Scholar] [CrossRef]
  13. Diaz-Alvarez, A.; Cadierno, V. Glycerol: A Promising Green Solvent and Reducing Agent for Metal-catalyzed Transfer Hydrogenation Reactions and Nanoparticles Formation. J. Appl. Sci. 2013, 3, 55–69. [Google Scholar] [CrossRef]
  14. Gu, Y.; Jerome, F. Glycerol as a Sustainable Solvent for Green Chemistry. Green Chem. 2010, 12, 1127–1138. [Google Scholar] [CrossRef]
  15. Amaniampong, P.N.; Trinh, Q.T.; Varghese, J.J.; Behling, R.; Valange, S.; Mushrif, S.H.; Jérôme, F. Unraveling the mechanism of the oxidation of glycerol to dicarboxylic acids over a sonochemically synthesized copper oxide catalyst. Green Chem. 2018, 20, 2730–2741. [Google Scholar] [CrossRef]
  16. Chahdoura, F.; Pradel, C.; Gómez, M. Copper(I) Oxide Nanoparticles in Glycerol: A Convenient Catalyst for Cross-Coupling and Azide–Alkyne Cycloaddition Processes. ChemCatChem 2014, 6, 2929–2936. [Google Scholar] [CrossRef]
  17. Chahdoura, F.; Pradel, C.; Gómez, M. Palladium Nanoparticles in Glycerol: A Versatile Catalytic System for C-X Bond Formation and Hydrogenation Processes. Adv. Synth. Catal. 2013, 355, 3648–3660. [Google Scholar] [CrossRef]
  18. Corma, A.; Iborra, S.; Velty, A. Chemical Routes for the Transformation of Biomass into Chemicals. Chem. Rev. 2007, 107, 2411–2502. [Google Scholar] [CrossRef]
  19. Favier, I.; Teuma, E.; Gómez, M. Palladium and ruthenium nanoparticles: Reactivity and coordination at the metallic surface. C. R. Chim. 2009, 12, 533–545. [Google Scholar] [CrossRef]
  20. Kim, M.; Son, W.-S.; Ahn, K.H.; Kim, D.S.; Lee, H.; Lee, Y.-W. Hydrothermal synthesis of metal nanoparticles using glycerol as a reducing agent. J. Supercrit. Fluids 2014, 90, 53–59. [Google Scholar] [CrossRef]
  21. Katryniok, B.; Kimura, H.; Skrzyńska, E.; Girardon, J.-S.; Fongarland, P.; Capron, M.; Ducoulombier, R.; Mimura, N.; Paul, S.; Dumeignil, F. Selective catalytic oxidation of glycerol: Perspectives for high value chemicals. Green Chem. 2011, 13, 1960–1979. [Google Scholar] [CrossRef]
  22. Fernández-Barahona, I.; Muñoz-Hernando, M.; Herranz, F. Microwave-Driven Synthesis of Iron-Oxide Nanoparticles for Molecular Imaging. Molecules 2019, 24, 1224. [Google Scholar] [CrossRef]
  23. Wei, H.; Bruns, O.T.; Kaul, M.G.; Hansen, E.C.; Barch, M.; Wiśniowska, A.; Chen, O.; Chen, Y.; Li, N.; Okada, S.; et al. Exceedingly small iron oxide nanoparticles as positive MRI contrast agents. Proc. Natl. Acad. Sci. USA 2017, 114, 2325–2330. [Google Scholar] [CrossRef]
  24. Saeed, M.; Ren, W.; Wu, A. Therapeutic applications of iron oxide based nanoparticles in cancer: Basic concepts and recent advances. Biomater. Sci. 2018, 6, 708–725. [Google Scholar] [CrossRef]
  25. Predoi, D.; Ciobanu, C.S.; Radu, M.; Costache, M.; Dinischiotu, A.; Propescu, C.; Axente, E.; Mihailescu, I.N.; Gyorgy, E. Hybrid dextran-iron oxide thin films deposited by laser techniques for biomedical applications. Mater. Sci. Eng. C 2012, 32, 296–302. [Google Scholar] [CrossRef]
  26. Andronescu, E.; Carmen, C.; Pall, L.; Costache, M.; Predoi, D. Preliminary biocompatibility studies of hydroxyapatite coated iron oxide. Rev. Rom. Mater. 2010, 40, 242–249. [Google Scholar]
  27. Prodan, A.M.; Beuran, M.; Turculet, C.S.; Popa, M.; Andronescu, E.; Bleotu, C.; Raita, S.M.; Soare, M.; Lupescu, O. In vitro evaluation of glycerol coated iron oxide nanoparticles in solution. Rom. Biotech. Lett. 2018, 23, 13901–13908. [Google Scholar] [CrossRef]
  28. Popa, C.L.; Prodan, A.M.; Chapon, P.; Turculet, C.; Predoi, D. Inhibitory Effect Evaluation of Glycerol-Iron Oxide Thin Films on Methicillin-Resistant Staphylococcus aureus. J. Nanomater. 2015, 2015, 1–8. [Google Scholar] [CrossRef]
  29. Christensen, G.; Younes, H.; Hong, H.; Smith, P. Effects of solvent hydrogen bonding, viscosity, and polarity on the dispersion and alignment of nanofluids containing Fe2O3 nanoparticles. J. Appl. Phys. 2015, 118, 1–8. [Google Scholar] [CrossRef]
  30. Vshivkov, S.A.; Rusinova, E.V.; Galyas, A.G. Effect of a magnetic field on the rheological properties of iron oxide–water–glycerol system. Rheol. Acta 2016, 55, 155–161. [Google Scholar] [CrossRef]
  31. Smolkova, I.S.; Kazantseva, N.E.; Parmar, H.; Babayan, V.; Smolka, P.; Saha, P. Correlation between coprecipitation reaction course and magneto-structural properties of iron oxide nanoparticles. Mater. Chem. Phys. 2015, 155, 178–190. [Google Scholar] [CrossRef]
  32. Pruba, M.; Smolkova, I.; Pawlik, K.; Zubko, M.; Pawlik, P. Phase Structure and Heating Efficiency of As-Synthesised Iron-Oxide Nanoparticles and after Long Time Storage in Glycerol. Acta Phys. Pol. A 2019, 135, 229–231. [Google Scholar] [CrossRef]
  33. Li, Y.; Cai, M.; Rogers, J.; Xu, Y.; Shen, W. Glycerol-mediated synthesis of Ni and Ni/NiO core-shell nanoparticles. Mater. Lett. 2006, 60, 750–753. [Google Scholar] [CrossRef]
  34. Chi, P.-W.; Wei, D.-H. Dielectric enhancement with low dielectric loss in textured ZnO films inserted with NiFe. J. Mater. Chem. C 2017, 5, 1394–1401. [Google Scholar] [CrossRef]
  35. Law, M.; Greene, L.E.; Johnson, J.C.; Saykally, R.; Yang, P. Nanowire dye-sensitized solar cells. Nat. Mater. 2005, 4, 455–459. [Google Scholar] [CrossRef]
  36. Kathiravan, D.; Huang, B.-R.; Saravanan, A. Multifunctional sustainable materials: The role of carbon existing protein in the enhanced gas and UV sensing performances of ZnO-based biofilms. J. Mater. Chem. C 2017, 5, 5239–5247. [Google Scholar] [CrossRef]
  37. Liu, Y.; Cai, T.; Wang, L.; Zhang, S.; Zhang, G.; Xia, X. Hollow Microsphere TiO2/ZnO p–n Heterojuction with High Photocatalytic Performance for 2,4-Dinitropheno Mineralization. Nano 2017, 12, 1–12. [Google Scholar] [CrossRef]
  38. Lizundia, E.; Urruchi, A.; Vilas, J.L.; León, L.M. Increased functional properties and thermal stability of flexible cellulose nanocrystal/ZnO films. Carbohydr. Polym. 2016, 136, 250–258. [Google Scholar] [CrossRef]
  39. Jankovi, S.; Milisavi, D.; Okoli, T.; Jeli, D. Preparation and characterization of ZnO nanoparticles by solvent free method. Contemp. Mater. 2018, IX-1, 48–52. [Google Scholar] [CrossRef]
  40. Wang, Z.; Li, H.; Tang, F.; Ma, J.; Zhou, X. A Facile Approach for the Preparation of Nano-size Zinc Oxide in Water/Glycerol with Extremely Concentrated Zinc Sources. Nanoscale Res. Lett. 2018, 13, 1–9. [Google Scholar] [CrossRef]
  41. Copeland, J.R.; Santillan, I.A.; Schimming, S.M.; Ewbank, J.L.; Sievers, C. Surface Interactions of Glycerol with Acidic and Basic Metal Oxides. J. Phys. Chem. C 2013, 117, 21413–21425. [Google Scholar] [CrossRef]
  42. Jayanthi, S.S. A novel eco friendly synthesis of cerium oxide nano particles using glycerol as stabilizing agent. Nano Sci. Nano Technol. Indian J. 2014, 8, 274–278. [Google Scholar]
  43. Testino, A.; Pilger, F.; Lucchini, M.A.; Quinsaat, J.E.Q.; Stähli, C.; Bowen, P. Continuous Polyol Synthesis of Metal and Metal Oxide Nanoparticles Using a Segmented Flow Tubular Reactor (SFTR). Molecules 2015, 20, 10566–10581. [Google Scholar] [CrossRef]
  44. Gratzel, M. Photoelectrochemical Cells. Nature 2001, 414, 338–344. [Google Scholar] [CrossRef]
  45. Jafari, T.; Moharreri, E.; Amin, A.; Miao, R.; Song, W.; Suib, S. Photocatalytic Water splitting-the Untamed Dream: A Review of Recent Advances. Molecules 2016, 21, 900. [Google Scholar] [CrossRef] [PubMed]
  46. Liu, G.; Yang, H.G.; Pan, J.; Yang, Y.Q.; Lu, G.Q.; Cheng, H.M. Titanium Dioxide crystals with Tailored Facets. Chem. Rev. 2014, 114, 9559–9612. [Google Scholar] [CrossRef]
  47. Reddy, C.V.; Reddy, K.R.; Shetti, N.P.; Mishra, A.; Basu, S. Recent Progress in TiO2 and ZnO-Based Nanostructured Hybrid Photocatalysts for Water Purification and Hydrogen Generation. In Nanoscale Materials in Water Purification; Elsevier: Amsterdam, The Netherlands, 2019; pp. 815–843. [Google Scholar]
  48. Byrne, C.; Subramanian, G.; Pillai, S.C. Recent Advances in Photocatalysis for Environmental Applications. J. Environ. Chem. Eng. 2018, 6, 3531–3555. [Google Scholar] [CrossRef]
  49. Vinodhini, J.; Mayandi, J.; Atchudan, R.; Jayabal, P.; Sasirekha, V.; Pearce, J.M. Effect of microwave power irradiation on TiO2 nano-structures and binder free paste screen printed dye sensitized solar cells. Ceram. Int. 2019, 45, 4667–4673. [Google Scholar] [CrossRef]
  50. Nawaz, R.; Kait, C.F.; Chia, H.Y.; Isa, M.H.; Huei, L.W. Glycerol-mediated facile synthesis of colored titania nanoparticles for visible light photodegradation of phenolic compounds. Nanomaterials 2019, 9, 1586. [Google Scholar] [CrossRef]
  51. Han, X.; Sheng, H.; Yu, C.; Walker, T.W.; Huber, G.W.; Qiu, J.; Jin, S. Electrocatalytic Oxidation of Glycerol to Formic Acid by CuCo2O4 Spinel Oxide Nanostructure Catalysts. ACS Catal. 2020, 1–33. [Google Scholar] [CrossRef]
  52. Zhang, F.; Wang, X.; Wu, G.; Zhang, C.; Song, S.; Lan, J. Selective Oxidation of Alcohols Catalyzed by Supported Nano-Au Catalysts. ChemistrySelect 2019, 4, 13876–13883. [Google Scholar] [CrossRef]
  53. Kaskow, I.; Decyk, P.; Sobczak, I. The effect of copper and silver on the properties of Au-ZnO catalyst and its activity in glycerol oxidation. Appl. Surf. Sci. 2018, 444, 197–207. [Google Scholar] [CrossRef]
  54. Lakshmanan, P.; Upare, P.P.; Le, N.T.; Hwang, Y.K.; Hwang, D.W.; Lee, U.H.; Kim, H.R.; Chang, J.S. Facile synthesis of CeO2-supported gold nanoparticle catalysts for selective oxidation of glycerol into lactic acid. Appl. Catal. A 2013, 468, 260–268. [Google Scholar] [CrossRef]
  55. Chornaja, S.; Sile, E.; Drunka, R.; Grabis, J.; Jankovica, D.; Kunakovs, J.; Dubencovs, K.; Zhizhkuna, S.; Serga, V. Pt supported TiO2-nanofibers and TiO2-nanopowder as catalysts for glycerol oxidation. React. Kinet. Mech. Catal. 2016, 119, 569–584. [Google Scholar] [CrossRef]
  56. Chornaja, S.; Dubencov, K.; Kampars, V.; Stepanova, O.; Zhizhkun, S.; Serga, V.; Kulikova, L. Oxidation of glycerol with oxygen in alkaline aqueous solutions in the presence of supported palladium catalysts prepared by the extractive-pyrolytic method. React. Kinet. Mech. Catal. 2013, 108, 341–357. [Google Scholar] [CrossRef]
Figure 1. Glycerol (1,2,3-propanetriol) structure.
Figure 1. Glycerol (1,2,3-propanetriol) structure.
Catalysts 10 01406 g001
Figure 2. Various glycerol conversion pathways. Adapted with permission from Bartoli et al. [3], published by IntechOpen, 2019.
Figure 2. Various glycerol conversion pathways. Adapted with permission from Bartoli et al. [3], published by IntechOpen, 2019.
Catalysts 10 01406 g002
Figure 3. Example of the use of glycerol with nano oxides. Reproduced with permission from [9], published by Elsevier B.V., 2017.
Figure 3. Example of the use of glycerol with nano oxides. Reproduced with permission from [9], published by Elsevier B.V., 2017.
Catalysts 10 01406 g003
Figure 4. Synthesis of copper(I) oxide nanoparticles, Cu2O NPs, in glycerol. Reproduced with permission from [16], published by John Wiley and Sons, 2014.
Figure 4. Synthesis of copper(I) oxide nanoparticles, Cu2O NPs, in glycerol. Reproduced with permission from [16], published by John Wiley and Sons, 2014.
Catalysts 10 01406 g004
Figure 5. TEM (Ni grid) micrograph of Cu2O NPs in glycerol. (a); High Resolution-TEM micrograph of one isolated particle dispersed in glycerol (b) HR-TEM micrograph (Ni grid) of one isolated particle of Cu2ONP- 20 dispersed in glycerol after centrifugation; (c) electronic diffraction spots observed by fast Fourier transform of one ingle particle (image b); (d) powder X-ray diffraction analysis of Cu2ONPs at solid state (e); image with filters showing the zone axis [1] (f); with the corresponding drawing of the cubic structure of bulk Cu2O. Reproduced with permission from [16], published by John Wiley and Sons, 2014.
Figure 5. TEM (Ni grid) micrograph of Cu2O NPs in glycerol. (a); High Resolution-TEM micrograph of one isolated particle dispersed in glycerol (b) HR-TEM micrograph (Ni grid) of one isolated particle of Cu2ONP- 20 dispersed in glycerol after centrifugation; (c) electronic diffraction spots observed by fast Fourier transform of one ingle particle (image b); (d) powder X-ray diffraction analysis of Cu2ONPs at solid state (e); image with filters showing the zone axis [1] (f); with the corresponding drawing of the cubic structure of bulk Cu2O. Reproduced with permission from [16], published by John Wiley and Sons, 2014.
Catalysts 10 01406 g005
Figure 6. Variation of pH in the reaction medium during coprecipitation. Reproduced with permission from [31], published by Elsevier B.V., 2015.
Figure 6. Variation of pH in the reaction medium during coprecipitation. Reproduced with permission from [31], published by Elsevier B.V., 2015.
Catalysts 10 01406 g006
Figure 7. Synthetic procedures for Ni and Ni/NiO nanoparticles. Reproduced with permission from [33], published by Elsevier B.V., 2017.
Figure 7. Synthetic procedures for Ni and Ni/NiO nanoparticles. Reproduced with permission from [33], published by Elsevier B.V., 2017.
Catalysts 10 01406 g007
Figure 8. Schematic presentation of glycerol role in the synthesis process of ZnO nanoparticles. Reproduced with permission from [40], published by Springer Nature, 2018.
Figure 8. Schematic presentation of glycerol role in the synthesis process of ZnO nanoparticles. Reproduced with permission from [40], published by Springer Nature, 2018.
Catalysts 10 01406 g008
Figure 9. Products from glycerol oxidation. Adapted with permission. from Bartoli et al. [3], published by IntechOpen., 2019.
Figure 9. Products from glycerol oxidation. Adapted with permission. from Bartoli et al. [3], published by IntechOpen., 2019.
Catalysts 10 01406 g009
Table 1. Obtained results for the oxidation of glycerol, using two different oxidants, in Zhang et al.’s work a,b [52].
Table 1. Obtained results for the oxidation of glycerol, using two different oxidants, in Zhang et al.’s work a,b [52].
Selectivity (%)
CatalystsGlycerol Conversion (%)GlyceraldehydeGlyceric AcidTartronic AcidGlycolic AcidFormic Acid
H2O2O2H2O2O2H2O2O2H2O2O2H2O2O2H2O2O2
CuMgAlO33.128.912.51.332522.53.10.57.552.536.1
CuNiAlO33.627.99.5030.155.93.23.40557.235.7
CuMnAlO22.234.510.33.133.753.62.801.217.25226.1
CuFeAlO3226.28.72.735.648.52.700.820.152.228.7
CuCoAlO30.3239.51.537.351.71.600.524.951.121.9
CuZnAlO29.128.69.71.941.853.22.301.119.545.125.4
a Reaction conditions using H2O2 as oxidant: glycerol (10 mmol), 3% H2O2 (25 mL), catalyst 0.2 g, 60 °C, 4 h. b Reaction conditions using O2 as oxidant: glycerol (10 mmol), O2 60 mL/min, catalyst 0.2 g, NaOH 40 mmol, 80 °C, 8 h.
Publisher’s Note: MDPI stays neutral with regard to jurisdictional claims in published maps and institutional affiliations.

Share and Cite

MDPI and ACS Style

Cristino, A.F.; Matias, I.A.S.; Bastos, D.E.N.; Galhano dos Santos, R.; Ribeiro, A.P.C.; Martins, L.M.D.R.S. Glycerol Role in Nano Oxides Synthesis and Catalysis. Catalysts 2020, 10, 1406. https://doi.org/10.3390/catal10121406

AMA Style

Cristino AF, Matias IAS, Bastos DEN, Galhano dos Santos R, Ribeiro APC, Martins LMDRS. Glycerol Role in Nano Oxides Synthesis and Catalysis. Catalysts. 2020; 10(12):1406. https://doi.org/10.3390/catal10121406

Chicago/Turabian Style

Cristino, Ana F., Inês A. S. Matias, David E. N. Bastos, Rui Galhano dos Santos, Ana P. C. Ribeiro, and Luísa M. D. R. S. Martins. 2020. "Glycerol Role in Nano Oxides Synthesis and Catalysis" Catalysts 10, no. 12: 1406. https://doi.org/10.3390/catal10121406

APA Style

Cristino, A. F., Matias, I. A. S., Bastos, D. E. N., Galhano dos Santos, R., Ribeiro, A. P. C., & Martins, L. M. D. R. S. (2020). Glycerol Role in Nano Oxides Synthesis and Catalysis. Catalysts, 10(12), 1406. https://doi.org/10.3390/catal10121406

Note that from the first issue of 2016, this journal uses article numbers instead of page numbers. See further details here.

Article Metrics

Back to TopTop