Recent Advances in Selective Photo-Epoxidation of Propylene: A Review
Abstract
1. Introduction
2. Designing Photocatalysts and the Role of Silica Supports
- Extensive, highly dispersed, tetrahedrally coordinated metal oxides: some candidates, such as TiO2, V2O5, Mo2O3, and Cr2O3 moieties, could be successfully dispersed and isolated when implanting on the silica matrix. It has been noted that these dispersed and isolated Ti, V, Mo, and Cr transition metal oxides can be easily excited under light irradiation to construct corresponding charge-transfer excited states that engage an electron dispatch from O2− to Mn+, as shown in Equation (1).(Mn+ = O2−) + hv → (M(n−1)+ − O−)* M: Ti, V, Mo, Cr,…This particular property concerns a single-site photocatalyst, which differs from a conventional photocatalyst [29,32]. The highly reactive and selective catalytic epoxidation of propylene under these charge-transfer excited states constructed, in which the states of electron–hole pairs are localized nearby on single-site heterogeneous catalysts, leads to such a significant photo-epoxidation.
 - Localization of the photoexcitation at the moiety because of the electric non-conductance of silica. Silica is a well-known electrical insulator, in theory. Thus, its photoexcitation (electron–hole pairs) is localized at the moiety of metal–oxygen and has a long lifetime, which favors photoexcitation.
 - Transparency support material: silica allows UV-visible light to pass through the material, and does not hamper significantly when the light reaches the photoactive sites.
 - Depression of side reaction: silica support is mostly inactive for a photocatalytic reaction.
 
3. Optimization of Experimental Conditions for Photo-Epoxidation
3.1. Effect of the Light Source
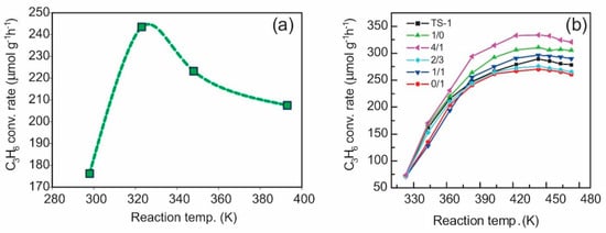
3.2. Effect of Reaction Temperature
3.3. Effects of Oxygen/Propylene Ratio
3.4. Effects of Co-Feeds
4. Elucidating Mechanisms of Photo-Epoxidation
5. Comparison of the Photo-Epoxidation Process and Others
6. Summary and Future Perspectives
- The mechanisms and kinetics of the photo-epoxidation of propylene should be elucidated and determined at a fundamental level. Understanding their roles can support the design of effective photocatalysts in the future.
 - Novel photocatalysts should be tailored that can widen visible light absorption, strengthen the forward reaction, depress the reverse reaction, achieve a recombination of photogenerated electron–hole pairs, prolong the lifetime of photogenerated electron–hole pairs, and favor the adsorption of reactants, with a particular focus on the metal oxides supported on zeolites and mesoporous silica photocatalytic materials.
 - Novel photocatalytic systems, including photoreactors and reaction conditions that can upgrade the mass transfer, photon transfer, distribution, and usage of the light source should be designed and prepared for a scale-up through a reconstruction of the current systems.
 
Funding
Conflicts of Interest
Abbreviations
References
- Baer, H.; Bergamo, M.; Forlin, A.; Pottenger, L.H.; Lindner, J. Propylene oxide. In Ullmann’s Encyclopedia of Industrial Chemistry; MCB UP Ltd.: Bingley, UK, 2012. [Google Scholar] [CrossRef]
 - Propylene Oxide Market—Growth, Trends, and Forecast (2019–2024). Available online: https://www.mordorintelligence.com/industry-reports/propylene-oxide-market (accessed on 5 October 2019).
 - Tsuji, J.; Yamamoto, J.; Ishino, M.; Oku, N. Development of new propylene oxide process. Sumitomo Kagaku 2006, 1, 4–10. [Google Scholar]
 - Russo, V.; Tesser, R.; Santacesaria, E.; Di Serio, M. Chemical and technical aspects of propene oxide production via hydrogen peroxide (HPPO process). Ind. Eng. Chem. Res. 2013, 52, 1168–1178. [Google Scholar] [CrossRef]
 - Kuperman, A.; Bowman, R.G.; Clark, H.W.; Hartwell, G.E.; Schoeman, B.J.; Tuinstra, H.E.; Meima, G.R. Process for the Hydro-Oxidation tf Olefins to Olefin Oxides Using Oxidized old Catalyst. Google Patents US6255499B1, 3 July 2001. [Google Scholar]
 - Nguyen, V.-H.; Lin, S.D.; Wu, J.C.-S. Synergetic photo-epoxidation of propylene over VTi/MCM-41 mesoporous photocatalysts. J. Catal. 2015, 331, 217–227. [Google Scholar] [CrossRef]
 - Nguyen, V.-H.; Chan, H.-Y.; Wu, J.C.S.; Bai, H. Direct gas-phase photocatalytic epoxidation of propylene with molecular oxygen by photocatalysts. Chem. Eng. J. 2012, 179, 285–294. [Google Scholar] [CrossRef]
 - Nguyen, V.-H.; Chan, H.-Y.; Wu, J. Synthesis, characterization and photo-epoxidation performance of Au-loaded photocatalysts. J. Chem. Sci. 2013, 1–9. [Google Scholar] [CrossRef]
 - Murata, C.; Yoshida, H.; Kumagai, J.; Hattori, T. Active sites and active oxygen species for photocatalytic epoxidation of propene by molecular oxygen over TiO2−SiO2 binary oxides. J. Phys. Chem. B 2003, 107, 4364–4373. [Google Scholar] [CrossRef]
 - Yoshida, H.; Murata, C.; Hattori, T. Screening study of silica-supported catalysts for photoepoxidation of propene by molecular oxygen. J. Catal. 2000, 194, 364–372. [Google Scholar] [CrossRef]
 - Amano, F.; Yamaguchi, T.; Tanaka, T. Photocatalytic oxidation of propylene with molecular oxygen over highly dispersed titanium, vanadium, and chromium oxides on silica. J. Phys. Chem. B 2005, 110, 281–288. [Google Scholar] [CrossRef]
 - Yoshida, H.; Murata, C.; Hattori, T. Photocatalytic epoxidation of propene by molecular oxygen over highly dispersed titanium oxide species on silica. Chem. Commun. 1999, 1551–1552. [Google Scholar] [CrossRef]
 - Yoshida, H.; Tanaka, T.; Yamamoto, M.; Funabiki, T.; Yoshida, S. Photooxidation of propene by O2 over silica and Mg-loaded silica. Chem. Commun. 1996, 2125–2126. [Google Scholar] [CrossRef]
 - Amano, F.; Tanaka, T. Modification of photocatalytic center for photo-epoxidation of propylene by rubidium ion addition to V2O5/SiO2. Catal. Commun. 2005, 6, 269–273. [Google Scholar] [CrossRef]
 - Nguyen, V.-H.; Wu, J.C.S.; Bai, H. Temperature effect on the photo-epoxidation of propylene over V–Ti/MCM-41 photocatalyst. Catal. Commun. 2013, 33, 57–60. [Google Scholar] [CrossRef]
 - Murcia-López, S.; Vaiano, V.; Sannino, D.; Hidalgo, M.C.; Navío, J.A. Photocatalytic propylene epoxidation on Bi2WO6-based photocatalysts. Res. Chem. Intermediat. 2014, 1–14. [Google Scholar] [CrossRef]
 - Wong, J.; Lytle, F.W.; Messmer, R.P.; Maylotte, D.H. K-edge absorption spectra of selected vanadium compounds. Phys. Rev. B 1984, 30, 5596–5610. [Google Scholar] [CrossRef]
 - Nguyen, V.-H.; Chan, H.-Y.; Wu, J.C.S.; Bai, H. Photo-epoxidation of propylene to propylene oxide over V-Ti/MCM-41: A wavelength effect on photocatalytic activities. In Proceedings of the 14th Asia Pacific Confederation of Chemical Engineering Congress, Singapore, 22–24 February 2012. [Google Scholar]
 - Nguyen, V.-H.; Lin, S.D.; Wu, J.C.-S.; Bai, H. Artificial sunlight and ultraviolet light induced photo-epoxidation of propylene over V-Ti/MCM-41 photocatalyst. Beilstein J. Nanotechnol. 2014, 5, 566–576. [Google Scholar] [CrossRef] [PubMed]
 - Yoshida, H.; Tanaka, T.; Yamamoto, M.; Yoshida, T.; Funabiki, T.; Yoshida, S. Epoxidation of propene by gaseous oxygen over silica and Mg-Loaded silica under photoirradiation. J. Catal. 1997, 171, 351–357. [Google Scholar] [CrossRef]
 - Pichat, P.; Herrmann, J.M.; Disdier, J.; Mozzanega, M.N. Photocatalytic oxidation of propene over various oxides at 320 K. Selectivity. J. Phys. Chem. 1979, 83, 3122–3126. [Google Scholar] [CrossRef]
 - Xiang, Y.; Larsen, S.C.; Grassian, V.H. Photooxidation of 1-Alkenes in zeolites: A study of the factors that influence product selectivity and formation. J. Am. Chem. Soc. 1999, 121, 5063–5072. [Google Scholar] [CrossRef]
 - Blatter, F.; Sun, H.; Vasenkov, S.; Frei, H. Photocatalyzed oxidation in zeolite cages. Catal. Today 1998, 41, 297–309. [Google Scholar] [CrossRef]
 - Blatter, F.; Sun, H.; Frei, H. Selective oxidation of propylene by O2 with visible light in a zeolite. Catal. Lett. 1995, 35, 1–12. [Google Scholar] [CrossRef]
 - Tanaka, T.; Nojima, H.; Yoshida, H.; Nakagawa, H.; Funabiki, T.; Yoshida, S. Preparation of highly dispersed niobium oxide on silica by equilibrium adsorption method. Catal. Today 1993, 16, 297–307. [Google Scholar] [CrossRef]
 - Yoshida, S.; Magatani, Y.; Noda, S.; Funabiki, T. Partial oxidation of propene over U.V.-irradiated vanadium oxide supported on silica. J. Chem. Soc. Chem. Commun. 1981, 601–602. [Google Scholar] [CrossRef]
 - Nguyen, V.-H.; Lin, S.D.; Wu, J.C.S.; Bai, H. Influence of co-feeds additive on the photo-epoxidation of propylene over V–Ti/MCM-41 photocatalyst. Catal. Today 2015, 245, 186–191. [Google Scholar] [CrossRef]
 - Yoshida, S.; Tanaka, T.; Okada, M.; Funabiki, T. Mechanism of photo-oxidation of propene over vanadium oxide supported on silica. J. Chem. Soc. Faraday Trans. 1984, 80, 119–128. [Google Scholar] [CrossRef]
 - Anpo, M.; Kim, T.-H.; Matsuoka, M. The design of Ti-, V-, Cr-oxide single-site catalysts within zeolite frameworks and their photocatalytic reactivity for the decomposition of undesirable molecules—The role of their excited states and reaction mechanisms. Catal. Today 2009, 142, 114–124. [Google Scholar] [CrossRef]
 - Murata, C.; Yoshida, H.; Hattori, T. Visible light-induced photoepoxidation of propene by molecular oxygen over chromia-silica catalysts. Chem. Commun. 2001, 2412–2413. [Google Scholar] [CrossRef]
 - Yoshida, H. Active sites of silica-based quantum photocatalysts for non-oxidative reactions. Catal. Surv. Asia 2005, 9, 1–9. [Google Scholar] [CrossRef]
 - Anpo, M.; Thomas, J.M. Single-site photocatalytic solids for the decomposition of undesirable molecules. Chem. Commun. 2006, 3273–3278. [Google Scholar] [CrossRef]
 - Kresge, C.T.; Leonowicz, M.E.; Roth, W.J.; Vartuli, J.C.; Beck, J.S. Ordered mesoporous molecular sieves synthesized by a liquid-crystal template mechanism. Nature 1992, 359, 710–712. [Google Scholar] [CrossRef]
 - Zhao, D.; Feng, J.; Huo, Q.; Melosh, N.; Fredrickson, G.H.; Chmelka, B.F.; Stucky, G.D. Triblock copolymer syntheses of mesoporous silica with periodic 50 to 300 angstrom pores. Science 1998, 279, 548–552. [Google Scholar] [CrossRef]
 - Inagaki, S.; Fukushima, Y.; Kuroda, K. Synthesis of highly ordered mesoporous materials from a layered polysilicate. J. Chem. Soc. Chem. Commun. 1993, 680–682. [Google Scholar] [CrossRef]
 - Ishikawa, T.; Matsuda, M.; Yasukawa, A.; Kandori, K.; Inagaki, S.; Fukushima, T.; Kondo, S. Surface silanol groups of mesoporous silica FSM-16. J. Chem. Soc. Faraday Trans. 1996, 92, 1985–1989. [Google Scholar] [CrossRef]
 - Jansen, J.C.; Shan, Z.; Marchese, L.; Zhou, W.; Puil, N.v.d.; Maschmeyer, T. A new templating method for three-dimensional mesopore networks. Chem. Commun. 2001, 713–714. [Google Scholar] [CrossRef]
 - Hoffmann, F.; Cornelius, M.; Morell, J.; Fröba, M. Silica-based mesoporous organic–inorganic hybrid materials. Angew. Chem. Int. Ed. 2006, 45, 3216–3251. [Google Scholar] [CrossRef]
 - Grün, M.; Unger, K.K.; Matsumoto, A.; Tsutsumi, K. Novel pathways for the preparation of mesoporous MCM-41 materials: control of porosity and morphology. Microporous Mesoporous Mater. 1999, 27, 207–216. [Google Scholar] [CrossRef]
 - Yamashita, H.; Kida, K.; Ikeue, K.; Kanazawa, Y.; Yoshizawa, K.; Anpo, M. Photocatalytic epoxidation of propene with molecular oxygen under visible light irradiation on V ion-implanted Ti-HMS and Cr-HMS mesoporous molecular sieves. In Studies in Surface Science and Catalysis; Park, S.-E., Ryoo, R., Ahn, W.-S., Lee, C.W., Chang, J.-S., Eds.; Elsevier: Amsterdam, The Netherlands, 2003; Volume 146, pp. 597–600. [Google Scholar]
 - Fox, M.A.; Dulay, M.T. Heterogeneous photocatalysis. Chem. Rev. 1993, 93, 341–357. [Google Scholar] [CrossRef]
 - Li, N.; Yang, B.; Liu, M.; Chen, Y.; Zhou, J. Synergetic photo-epoxidation of propylene with molecular oxygen over bimetallic Au–Ag/TS-1 photocatalysts. Chinese J. Catal. 2017, 38, 831–843. [Google Scholar] [CrossRef]
 - Hayden, P.; Sampson, R.J.; Spencer, C.B.; Pinnegar, H. Promoted Silver Catalyst for Producing Alkylene Oxides. Google Patents US4007135A, 8 Feburary 1977. [Google Scholar]
 - Khatib, S.J.; Oyama, S.T. Direct oxidation of propylene to propylene oxide with molecular oxygen: A review. Catal. Rev. 2015, 1–39. [Google Scholar] [CrossRef]
 - Carter, E.A.; Goddard, W.A. The surface atomic oxyradical mechanism for Ag-catalyzed olefin epoxidation. J. Catal. 1988, 112, 80–92. [Google Scholar] [CrossRef]
 - Amano, F.; Tanaka, T.; Funabiki, T. Steady-state photocatalytic epoxidation of propene by O2 over V2O5/SiO2 photocatalysts. Langmuir 2004, 20, 4236–4240. [Google Scholar] [CrossRef]
 - Oyama, S.T. Rates, kinetics, and mechanisms of epoxidation: homogeneous, heterogeneous, and biological routes. In Mechanisms in Homogeneous and Heterogeneous Epoxidation Catalysis; Oyama, S.T., Ed.; Elsevier: Amsterdam, The Netherlands, 2008; pp. 3–99. [Google Scholar] [CrossRef]
 - Taylor, B.; Lauterbach, J.; Delgass, W.N. Gas-phase epoxidation of propylene over small gold ensembles on TS-1. Appl. Catal. A 2005, 291, 188–198. [Google Scholar] [CrossRef]
 - Lu, J.; Zhang, X.; Bravo-Suárez, J.J.; Bando, K.K.; Fujitani, T.; Oyama, S.T. Direct propylene epoxidation over barium-promoted Au/Ti-TUD catalysts with H2 and O2: Effect of Au particle size. J. Catal. 2007, 250, 350–359. [Google Scholar] [CrossRef]
 - Liu, C.-H.; Guan, Y.; Hensen, E.J.M.; Lee, J.-F.; Yang, C.-M. Au/TiO2@SBA-15 nanocomposites as catalysts for direct propylene epoxidation with O2 and H2 mixtures. J. Catal. 2011, 282, 94–102. [Google Scholar] [CrossRef]
 - Mizuno, N.; Yamaguchi, K.; Kamata, K. Epoxidation of olefins with hydrogen peroxide catalyzed by polyoxometalates. Coord. Chem. Rev. 2005, 249, 1944–1956. [Google Scholar] [CrossRef]
 - Farinas, E.T.; Alcalde, M.; Arnold, F. Alkene epoxidation catalyzed by cytochrome P450 BM-3 139-3. Tetrahedron 2004, 60, 525–528. [Google Scholar] [CrossRef]
 
















| No. | Type of Reactions | Catalysts | Reaction Conditions | Epoxidation Performances | Ref. | ||||||||
|---|---|---|---|---|---|---|---|---|---|---|---|---|---|
| Dosage (gcat) | Light | Temp. (°C) | Feeds | GHSV (mL·gcat−1·h−1) | Others | Conv. (%) | Select. (%) | Yield (g·kgcat−1·h−1) | TOF (s−1) | ||||
| 1 | Heterogeneous Photocatalysis  | V0.2/MCM-41 | 0.01 | UV-light: 0.3 mW·cm−2 | 50 | C3H6/O2/N2= 1/1/16 | 360,000 | N/A | 0.07 | 22.7 | 7.6 | 3.70 × 10−3 | [6] | 
| 2 | V0.2Ti0.3/MCM-41 | 0.16 | 48.1 | 36.8 | 4.20 × 10−3 | ||||||||
| 3 | Ti0.3/MCM-41 | 0.01 | 73.3 | 3.3 | 0.30 × 10−3 | ||||||||
| 4 | 0.1 mol % V2O5/SiO2 | 0.3 | 300 W Xe arc lamp | 30 | C3H6/O2/He = 2:1:7 | 20,000 | N/A | N/A | 37.0 | 5.0 | N/A | [11] | |
| 5 | Rb ion-modified 0.5 wt % V2O5/SiO2 | 0.3 | 300 W Xe arc lamp | 50 | C3H6/O2/He = 2:1:7 | 5000 | N/A | 1.56 | 28.1 | 10.1 | N/A | [14] | |
| 6 | BiWO-Ti50i/GS | 20 | UV-LEDs: 90 mW·cm−2 | 80 | N/A | 1500 | N/A | N/A | 30.7 | 16.9 | N/A | [16] | |
| 7 | Au–Ag/TS-1 (4/1) | 0.1 | 100 W high-pressure Hg lamp: 90 mW·cm−2 | N/A | N/A | 12,720 | N/A | N/A | 52.3 | 3.97 | N/A | [42] | |
| 8 | Heterogeneous Halcon styrene monomer process  | Mo naphthenate + K naphthenate promoter | N/A | N/A | 90 | N/A | N/A | EBHP; 10 bar | 92.00 (H2O2 conv.) | 90.0 | 72 | 0.11 | [47] | 
| 9 | Heterogeneous Degussa–Huls–Headwaters hydrogen peroxide process  | TS-1 + liquid base promoter (ammonia) | N/A | N/A | 50 | H2O2 with H2O solvent, MeOH, and MTBE | N/A | 15 bar, pH = 8.5 | 19.00 | 95.0 | 770 | 2.20 × 10−2 | [47] | 
| 10 | Heterogeneous Hydrogen process  | 0.05 Au/TS-1(36) | 0.3 | N/A | 200 | C3H6/H2/O2/He = 1/1/1/7 | 7000 | N/A | 8.80 | 81.0 | 116 | 0.33 | [48] | 
| 11 | Au–Ba/Ti–TUD | N/A | N/A | 150 | C3H6/H2/O2/He = 1/1/1/7 | 7000 | N/A | 1.40 | 99.6 | 25 | 2.20 × 10−2 | [49] | |
| 12 | Au-TiO2(0.05)@SBA-15 | 0.1 | N/A | 80 | C3H6/H2/O2/He = 1/1/1/7 | 15,000 | N/A | 2.30 (H2 conv.) | 62.0 | 51.8 | N/A | [50] | |
| 0.1 | N/A | 150 | C3H6/H2/O2/He = 1/1/1/7 | 15,000 | N/A | 19.00 | 99.0 | 17.1 | N/A | ||||
| 13 | Homogeneous Busch system  | CH3ReO3, pyridine-N-oxide | N/A | N/A | 30 | H2O2 with CH3OH solvent | N/A | 20 bar N2, | N/A | >95.0 | N/A | 5.70 × 10−3 | [47] | 
| 14 | Homogeneous Mizuno system, closed system  | tetra-n-butylammonium salt [γ-SiW10O34(H2O)2] 4– | 8 μmol | N/A | 32 | Propylene (6 atm, 5 mmol); 30% aq. H2O2 (1 mmol), acetonitrile (6 mL) | N/A | 8 h | 99.00 (H2O2 conv.) | >99.0 | Yield of 90% | 2.00 × 10−2 | [47,51] | 
| 15 | Biological | cytochrome P450 BM-3 139-3 | N/A | N/A | 25 | N/A | N/A | 1 atm, pH 8, NADPH | N/A | 100.0 | N/A | 12.00 | [52] | 
© 2020 by the authors. Licensee MDPI, Basel, Switzerland. This article is an open access article distributed under the terms and conditions of the Creative Commons Attribution (CC BY) license (http://creativecommons.org/licenses/by/4.0/).
Share and Cite
Nguyen, V.-H.; Nguyen, B.-S.; Vo, H.-T.; Nguyen, C.C.; Bae, S.-R.; Kim, S.Y.; Le, Q.V. Recent Advances in Selective Photo-Epoxidation of Propylene: A Review. Catalysts 2020, 10, 87. https://doi.org/10.3390/catal10010087
Nguyen V-H, Nguyen B-S, Vo H-T, Nguyen CC, Bae S-R, Kim SY, Le QV. Recent Advances in Selective Photo-Epoxidation of Propylene: A Review. Catalysts. 2020; 10(1):87. https://doi.org/10.3390/catal10010087
Chicago/Turabian StyleNguyen, Van-Huy, Ba-Son Nguyen, Hieu-Thao Vo, Chinh Chien Nguyen, Sa-Rang Bae, Soo Young Kim, and Quyet Van Le. 2020. "Recent Advances in Selective Photo-Epoxidation of Propylene: A Review" Catalysts 10, no. 1: 87. https://doi.org/10.3390/catal10010087
APA StyleNguyen, V.-H., Nguyen, B.-S., Vo, H.-T., Nguyen, C. C., Bae, S.-R., Kim, S. Y., & Le, Q. V. (2020). Recent Advances in Selective Photo-Epoxidation of Propylene: A Review. Catalysts, 10(1), 87. https://doi.org/10.3390/catal10010087
        
