Next Article in Journal
Learning Optimal Strategies in a Duel Game
Previous Article in Journal
A Model of k-Winners
 
 
Font Type:
Arial Georgia Verdana
Font Size:
Aa Aa Aa
Line Spacing:
Column Width:
Background:
Article

A Note on the Welfare and Policy Implications of a Two-Period Real Option Game Under Imperfect Information

by
Congcong Wang
1,†,
Yuhan Wang
1,†,
Shanshan Chen
1,†,
Shravan Luckraz
2,*,† and
Bruno Antonio Pansera
3,*,†
1
School of Finance, Zhejiang University of Finance and Economics, Hangzhou 310012, China
2
School of Economics and CeDeX China, University of Nottingham Ningbo China, Ningbo 315104, China
3
Department of Law, Economics and Human Sciences & Decisions_Lab, University Mediterranea of Reggio Calabria, Via dell’Universitá 25, I-89124 Reggio Calabria, Italy
*
Authors to whom correspondence should be addressed.
These authors contributed equally to this work.
Games 2025, 16(1), 7; https://doi.org/10.3390/g16010007
Submission received: 3 December 2024 / Revised: 18 January 2025 / Accepted: 24 January 2025 / Published: 3 February 2025
(This article belongs to the Section Applied Game Theory)

Abstract

We show that the discrete real option game model proposed in the recent literature can be extended to the case of imperfect information. As a result, the model can cover a wider range of applications. However, we also observe that the effectiveness of implementing the subsidy is affected by the imperfect informational structure.

1. Introduction

In a recent study, Wang et al. (2023) analyzed the welfare implications of a discrete real option game where firms make investment decisions sequentially. One of their key findings was that, under equilibrium conditions where no firm invests in the first period, the government can introduce a subsidy in a timely manner to induce at least one firm to invest early. However, while their analysis assumes a sequential decision-making process with a designated leader firm moving first, many real-world scenarios involve firms operating under imperfect information. In such contexts, firms lack knowledge of whether competitors have already invested when making their decisions. This is particularly relevant in applications like Public–Private Partnerships (PPPs), where informational asymmetries are prevalent.
In this paper, we relax the assumption of perfect information and reconsider the real option game under imperfect information. We explore the resulting welfare implications and evaluate the effectiveness of policy interventions in this more general informational framework. Our findings reveal that while the equilibrium outcomes remain unchanged, the shift to an imperfect informational structure significantly impacts the effectiveness of subsidies.
This work builds on a rich literature examining real options and strategic decision making under uncertainty. For example, Lambrecht and Perraudin (2003) integrated partial information and anticipatory behavior into a model of competitive investment decisions, showing how optimal strategies range between the zero-NPV threshold and a monopolist’s preferred strategy. Similarly, Weeds (2002) investigated irreversible investments in competitive R&D under uncertain profits within a patent system, highlighting how lack of cooperation leads to delays in investment due to fears of initiating a patent race. Huisman and Kort (2004) explored dynamic markets where firms compete in adopting new technologies, revealing how the likelihood of technological innovation affects strategic behaviors—shifting from preemption games to wars of attrition. Miltersen and Schwart (2004) extended the real options framework to include game-theoretic dynamics for evaluating patent-protected R&D projects under competition. Pawlina and Kort (2006) examined asymmetric investment costs in a duopoly, identifying three distinct equilibrium strategies. Murto and Keppo (2002) developed a game model where multiple firms compete for a single investment opportunity, demonstrating the existence of Nash equilibria based on varying assumptions about firms’ knowledge of competitors’ project evaluations.
Our work also relates to Smit and Ankum (1993), who adopted a microeconomic approach to analyze competing business investments using real options and game theory. They forecasted cash inflows from operations that use economic rents or excess profit (see also Smit, 2003; Smit & Trigeorgis, 2006), while Grenadier (1996) applied a game equilibrium model to housing development, investigating how market demand and asset values shape investment capacity. Martzoukos and Zacharias (2009) highlighted strategic decision making in R&D, incorporating spillover effects and pricing dynamics, and McGahan (1993) examined sectoral strategies integrating real options and game theory with an emphasis on collaborative versus competitive R&D. Kulatilaka (1993) provided a flexible framework for evaluating investment decisions under uncertainty, such as switching between operating modes in a dual-fuel industrial boiler project. Myers (1977) linked corporate debt behavior to real option values, identifying how risky loans can constrain investment strategies and reduce firm value. Tondji (2016) examined welfare outcomes in R&D-intensive markets using Cournot and Bertrand competition models, while Paddock et al. (1988) extended financial options theory to evaluate claims on real assets like offshore oil leases.
In light of this extensive literature, our study offers new insights into the low participation rates observed in PPP projects. As noted by Wang et al. (2023), participation in such initiatives in China remains as low as 10–20% despite the introduction of subsidies. Our model identifies two primary reasons for this phenomenon. First, firms face strong incentives to delay investment due to uncertain future profits. Second, competition under imperfect information deters entry, as firms cannot anticipate whether they will face a competitor in later stages of the game. This contrasts with the sequential move case, where followers have full visibility of the leader’s actions.
The remainder of the paper is structured as follows: Section 2 introduces the extended version of the Wang et al. model and presents our main results and Section 3 concludes.

2. A 2-Period 2-Stage Real Option Game

We consider the (Wang et al., 2023) model in an environment with imperfect information. The game is played over two periods, t = 0 , 1 . At t = 0 , firms make their investment decisions simultaneously. As in (Wang et al., 2023), at t = 1 , demand follows a simple binomial process and depending on the investment decisions the market structure could be a duopoly or monopoly at t = 0 or t = 1 or in both periods. The game is played under perfect information across the period, but imperfect information within each period. The cost of investment is denoted by I . As in (Wang et al., 2023) the demand and profit functions for firm i is given as follows:
p i = a b q i + θ q j , i = 1 , 2 i j , a , b > 0
π i = Y t p i q i c q i
where Y t , for t = 0 , 1 , is an exogenous shock, which can be on the supply side or on the demand side and each firm faces a marginal cost of c. As in (Wang et al., 2023), we assume that Y 0 is deterministic while Y 1 is stochastic with the possible realization of either a good state denoted by G or a bad state denoted by B. More formally, the stochastic process is as follows:
Y 1 = u Y 0 if G d Y 0 if B
where 0 d < 1 < u . Let the probability p denote the probability that state G is realized. As in (Wang et al., 2023), if we let μ p u + ( 1 p ) d , the expected value of Y 1 is given by E Y 1 = μ Y 0 . We denote by r the risk free interest rate and we let R 1 + r . As in (Wang et al., 2023), we denote the duopoly symmetric profit of a firm in period t by D 1 , 1 Y t so that from the above we have:
D 1 , 1 1 θ b 1 + θ a c 2 θ 2 .
Furthermore, we denote the monopoly profit of the firm in period t by D 1 , 0 Y t so that we have:
D 1 , 0 1 b a c 2 4 .
When no firm invests, each firm obtains 0 profits. This is denoted by D 0 , 0 Y t and finally, when only one firm invests, the firm that did not invest obtains 0 profits, which we denote by D 0 , 1 Y t . Thus, we have:
D 0 , 0 = D 0 , 1 = 0
Following (Wang et al., 2023), we have D 1 , 0 > D 1 , 1 and the following inequalities hold:
D 1 , 0 > D 1 , 1 > D 0 , 0 = D 0 , 1 = 0
and
D 1 , 0 D 0 , 0 > D 1 , 1 D 0 , 1
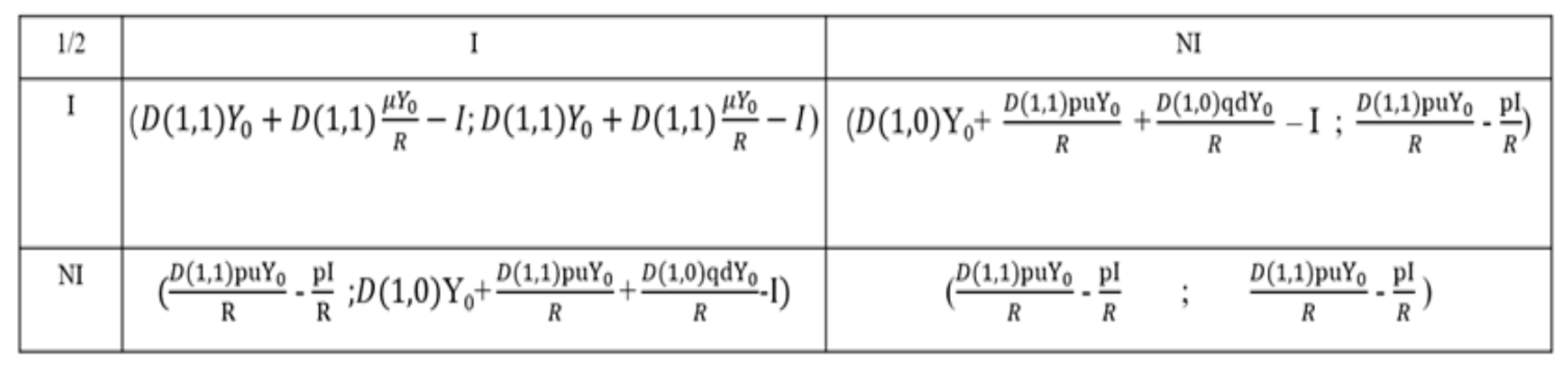
We represent the above 2-period game as an extensive game and its complete description is given in the game tree below.
We now find the perfect Nash Equilibrium subgame. As in (Wang et al., 2023), we use the following expressions in the presentation of our results. Let E D 1 , 1 Y 0 R + ( 1 p ) d R p and F D 1 , 0 Y 0 R + ( 1 p ) d R p . We assume that the magnitude of the positive (negative) shock if the good (bad) states realizes is sufficiently high (low), that is:
D 1 , 1 d Y 0 < E
and
D 1 , 1 u Y 0 > F
As a result of the above assumption, we have the following:
D 1 , 0 d Y 0 < E < F < D 1 , 1 u Y 0
In Figure 1, the game is represented as a game in extensive form. Each has five information sets (1.1–1.5) for player 1 and information sets (2.1–2.2) for player 2. A strategy for the k player is a mapping s k from 1 . i i = 1 5 I , N I , where k = 1 , 2 . Let S 1 denote the set of all strategies of player 1 while S 2 denote the set of all strategies of player 2. Moreover, let S = S 1 × S 1 denote the set of all strategy profiles of the game. We say that some profile s s 1 ; s 1 S is a perfect Nash Equilibrium (SPNE) subgame of the game if its restriction to each subgame is a Nash Equilibrium of that subgame. Consider the following profiles: s * , s * * , s * * * , where:
s * s 1 * ; s 2 * ,
s 1 * = s 2 * = I , I , N I , I , N I ,
s * * s k * * ; s l * * ,
s k * * = I , I , N I , I , N I ,
s l * * = N I , I , N I , I , N I , where k = 1 , 2 and k l
s * * * s 1 * * ; s 2 * * ,
s 1 * * * = s 2 * * * = N I , I , N I , I , N I ,
Our main result characterizes the set of equilibria of the game described by Figure 1 and Figure 2.
Proposition 1. 
The subgame perfect Nash equilibria of the game are given as follows:
s = s * if D 1 , 0 d Y 0 < I E s * * if E < I F s * * * if F < I D 1 , 1 u Y 0
Proof. 
From inequalities D 1 , 0 d Y 0 < E , F < D 1 , 1 u Y 0 , I D 1 , 1 u Y 0 and D 1 , 0 d Y 0 < I , we know that each firm will invest in the G state and will not invest in the B state in period 1 under all three strategies. Using backward induction, we can then proceed to period 0. The reduced period 0 game tree is given in Figure 3.
Therefore, we consider the following three cases of the proposition.
  • Case (i): D 1 , 0 d Y 0 < I E .
In Case (i), solving the game using backward induction again, it can be shown that the inequalities ensure that we have the equilibrium path shown in Figure 4.
  • Case (ii) E < I F .
In Case (ii), solving the game using backward induction again, it can be shown that the inequalities ensure that we have the equilibrium path shown in Figure 5.
  • Case (iii): F < I D 1 , 1 u Y 0 .
In Case (iii), solving the game using backward induction again, it can be shown that the inequalities ensure that we have the equilibrium path shown in Figure 6.
This completes the proof. □
Proposition 1 shows that the main proposition of (Wang et al., 2023) remains robust to the imperfect information structure. Thus, under imperfect information if the cost of investment is sufficiently low, both firms would exercise their options in the first period, whereas if it is sufficiently high, then both firms would not exercise their options in the first period. Moreover, there exists a range of values of the investment costs for which only one firm invests in period 0.
We can also establish the robustness of propositions 2 and 3 of (Wang et al., 2023) as follows.
Proposition 2. 
Under an imperfect information structure, the thresholds investment levels E and F are increasing in d and p while decreasing in R.
Proposition 3. 
Suppose that the information structure is imperfect, F < I D 1 , 1 u Y 0 holds and R + q d R 1 Y 0 W M > I . Then, welfare improves if the government subsidizes at least one firm in the initial period. In this case, the subsidy is given by S = I F + ϵ , where ϵ is positive. As a result, a subgame perfect Nash Equilibrium in which exactly one firm invests in period 0 can be achieved.
Remark 1. 
The policymaker cannot implement the subsidy without resorting to some arbitrary rule that discriminates between the two firms. This is in contrast to (Wang et al., 2023), where, at the beginning of stage 1 in period 0, the policymaker could announce that it would subsidize the leader if it invests and then implement the subsidy if the leader has invested. Under simultaneous moves, the designations “leader” and “follower” no longer exist, and therefore, although the policymaker could still implement a subsidy that induces exactly one firm to invest, it can only do so by arbitrarily discriminating between firm 1 and firm 2.

3. Conclusions

We have shown that the previous result remains unchanged under this new informational structure. However, we found that the effectiveness of the implementation of the policy is reduced for the simultaneous move case.

Author Contributions

Conceptualization, C.W., Y.W., S.C., S.L. and B.A.P.; validation, C.W., Y.W., S.C., S.L. and B.A.P.; formal analysis, C.W., Y.W., S.C., S.L. and B.A.P.; investigation, C.W., Y.W., S.C., S.L. and B.A.P.; writing—original draft preparation, C.W., Y.W., S.C., S.L. and B.A.P.; writing—review and editing, C.W., Y.W., S.C., S.L. and B.A.P.; supervision, S.L. All authors have read and agreed to the published version of the manuscript.

Funding

This research was supported by the Zhejiang Provincial Natural Science Foundation of China under Grant No. LMS25G030001.

Data Availability Statement

No new data were created or analyzed in this study. Data sharing is not applicable to this article.

Acknowledgments

The authors express their gratitude to the three anonymous reviewers and the academic editor for their useful comments, suggestions, and observations aimed at improving the paper.

Conflicts of Interest

The authors declare no conflicts of interest.

References

  1. Grenadier, S. (1996). The strategic exercise of options: Development cascades and overbuilding in real estate markets. Journal of Finance, 51(5), 1653–1679. [Google Scholar] [CrossRef]
  2. Huisman, K., & Kort, P. (2004). Strategic Technology Adoption taking into account Future Technological Improvements: A Real Options Approach. European Journal of Operational Research, 159, 705–728. [Google Scholar] [CrossRef]
  3. Kulatilaka, N. (1993). The value of flexibility: The case of a dual-fuel industrial steam boiler. Financial Management, 22(3), 271–280. [Google Scholar] [CrossRef]
  4. Lambrecht, B., & Perraudin, W. (2003). Real Options and Preemption under Incomplete Information. Journal of Economic Dynamic and Control, 27, 619–643. [Google Scholar] [CrossRef]
  5. Martzoukos, S., & Zacharias, E. (2009). Real option games with R&D and learning spillovers. MPRA. [Google Scholar]
  6. McGahan, A. M. (1993). The incentive not to invest: Capacity commitments in the compact disc introduction. Research and Technology Innovation, Management and Policy, 5(4), 177–197. [Google Scholar]
  7. Miltersen, K. R., & Schwart, E. S. (2004). R&D Investments with Competitive Interactions. Review of Finance, 8(3), 355–401. [Google Scholar]
  8. Murto, P., & Keppo, J. (2002). A Game Model of Irreversible Investment under Uncertainty. International Game Theory Review, 4, 127–140. [Google Scholar] [CrossRef]
  9. Myers, S. C. (1977). Determinants of Corporate Borrowing. Journal of Financial Economics, 5(2), 147–175. [Google Scholar] [CrossRef]
  10. Paddock, J. L., Siegel, D. R., & Smith, J. L. (1988). Option valuation of claims on real assets: The case of offshore petroleum leases. The Quarterly Journal of Economics, 103(3), 479–508. [Google Scholar] [CrossRef]
  11. Pawlina, G., & Kort, P. (2006). Real Options in an Asymmetric Duopoly: Who Benefits from your Competitive Disadvantage? Journal of Economics & Management Strategy, 15, 1–35. [Google Scholar]
  12. Smit, H. T. J. (2003). Infrastructure investment as a real options game: The case of European airport expansion. Financial Management, 32(4), 27–57. [Google Scholar] [CrossRef]
  13. Smit, H. T. J., & Ankum, L. A. (1993). A Real Option and Game-Theoretic Approach to Corporate Investment Strategy Under Competition. Financial Management, 22(3), 241–250. [Google Scholar] [CrossRef]
  14. Smit, H. T. J., & Trigeorgis, L. (2006). Real options and games: Competition, alliances and other applications of valuation and strategy. Review of Financial Economics, 15(2), 95–112. [Google Scholar] [CrossRef]
  15. Tondji, J. B. (2016). Welfare analysis of cournot and bertrand competition with(out) investment in R&D. MPRA. [Google Scholar]
  16. Wang, C., Chen, S., Wang, Y., Luckraz, S., & Pansera, B. A. (2023). On the welfare and policy implications of a two-period real option game. Socio-Economic Planning Sciences, 90, 101717. [Google Scholar] [CrossRef]
  17. Weeds, H. (2002). Strategic delay in a real options model of R&D competition. The Review of Economic Studies, 69(3), 729–747. [Google Scholar]
Figure 1. The 2-period, 2-stage, 2-player game.
Figure 1. The 2-period, 2-stage, 2-player game.
Games 16 00007 g001
Figure 2. The game tree for period 0.
Figure 2. The game tree for period 0.
Games 16 00007 g002
Figure 3. The general case.
Figure 3. The general case.
Games 16 00007 g003
Figure 4. The diagram for Case 1.
Figure 4. The diagram for Case 1.
Games 16 00007 g004
Figure 5. The diagram for Case 2.
Figure 5. The diagram for Case 2.
Games 16 00007 g005
Figure 6. The diagram for Case 3.
Figure 6. The diagram for Case 3.
Games 16 00007 g006
Disclaimer/Publisher’s Note: The statements, opinions and data contained in all publications are solely those of the individual author(s) and contributor(s) and not of MDPI and/or the editor(s). MDPI and/or the editor(s) disclaim responsibility for any injury to people or property resulting from any ideas, methods, instructions or products referred to in the content.

Share and Cite

MDPI and ACS Style

Wang, C.; Wang, Y.; Chen, S.; Luckraz, S.; Pansera, B.A. A Note on the Welfare and Policy Implications of a Two-Period Real Option Game Under Imperfect Information. Games 2025, 16, 7. https://doi.org/10.3390/g16010007

AMA Style

Wang C, Wang Y, Chen S, Luckraz S, Pansera BA. A Note on the Welfare and Policy Implications of a Two-Period Real Option Game Under Imperfect Information. Games. 2025; 16(1):7. https://doi.org/10.3390/g16010007

Chicago/Turabian Style

Wang, Congcong, Yuhan Wang, Shanshan Chen, Shravan Luckraz, and Bruno Antonio Pansera. 2025. "A Note on the Welfare and Policy Implications of a Two-Period Real Option Game Under Imperfect Information" Games 16, no. 1: 7. https://doi.org/10.3390/g16010007

APA Style

Wang, C., Wang, Y., Chen, S., Luckraz, S., & Pansera, B. A. (2025). A Note on the Welfare and Policy Implications of a Two-Period Real Option Game Under Imperfect Information. Games, 16(1), 7. https://doi.org/10.3390/g16010007

Note that from the first issue of 2016, this journal uses article numbers instead of page numbers. See further details here.

Article Metrics

Back to TopTop