Latent Outlier Exposure in Real-Time Anomaly Detection at the Large Hadron Collider
Abstract
1. Introduction
2. Anomaly Detection and Autoencoders
3. Anomaly Detection in LHC Experiment Trigger Systems
4. Latent Outlier Exposure
5. Materials and Methods
5.1. Development of Relevant Theory
5.1.1. Autoencoder [29]
5.1.2. VAE [6,30]
5.1.3. Deep Autoencoding Support Vector Data Descriptor (DASVDD)
5.1.4. Physics Content of the Dataset
5.1.5. Dataset Description
- Inclusive W boson production, where the W boson decays to a charged lepton (ℓ) and a neutrino () (59.2% of the dataset). The lepton could be an electron (e), a muon (), or a tau () lepton.
- Inclusive Z boson production, with () (6.7% of the dataset).
- production (0.3% of the dataset).
- QCD multijet production (33.8% of the dataset).
- A leptoquark (LQ) with a mass of 80 GeV, decaying to a b quark and a lepton [50];
- A neutral scalar boson (A) with a mass of 50 GeV, decaying to two off-shell Z bosons, each forced to decay to two leptons: [51];
- A scalar boson with a mass of 60 GeV, decaying to two tau leptons: [52];
- A charged scalar boson with a mass of 60 GeV, decaying to a tau lepton and a neutrino: [53].
5.2. Model Design
5.2.1. Non-Contaminated
5.2.2. Contaminated [21]
5.2.3. Block Coordinate Descent with LOE [21]
| Algorithm 1: Training Process of LOE for AD in HEP | 
|  | 
5.3. Anomaly Detection Scores
5.3.1. Non-Contaminated
5.3.2. Contaminated
5.4. Performance at Floating-Point Precision
- IO, and IO + are used for the DASVDD and the LOE DASVDD;
- KL and are used for the VAE and LOEVAE;
- KL, , and are used for the Shifty VAE.
5.5. Sensitivity Analysis
6. Results and Discussion
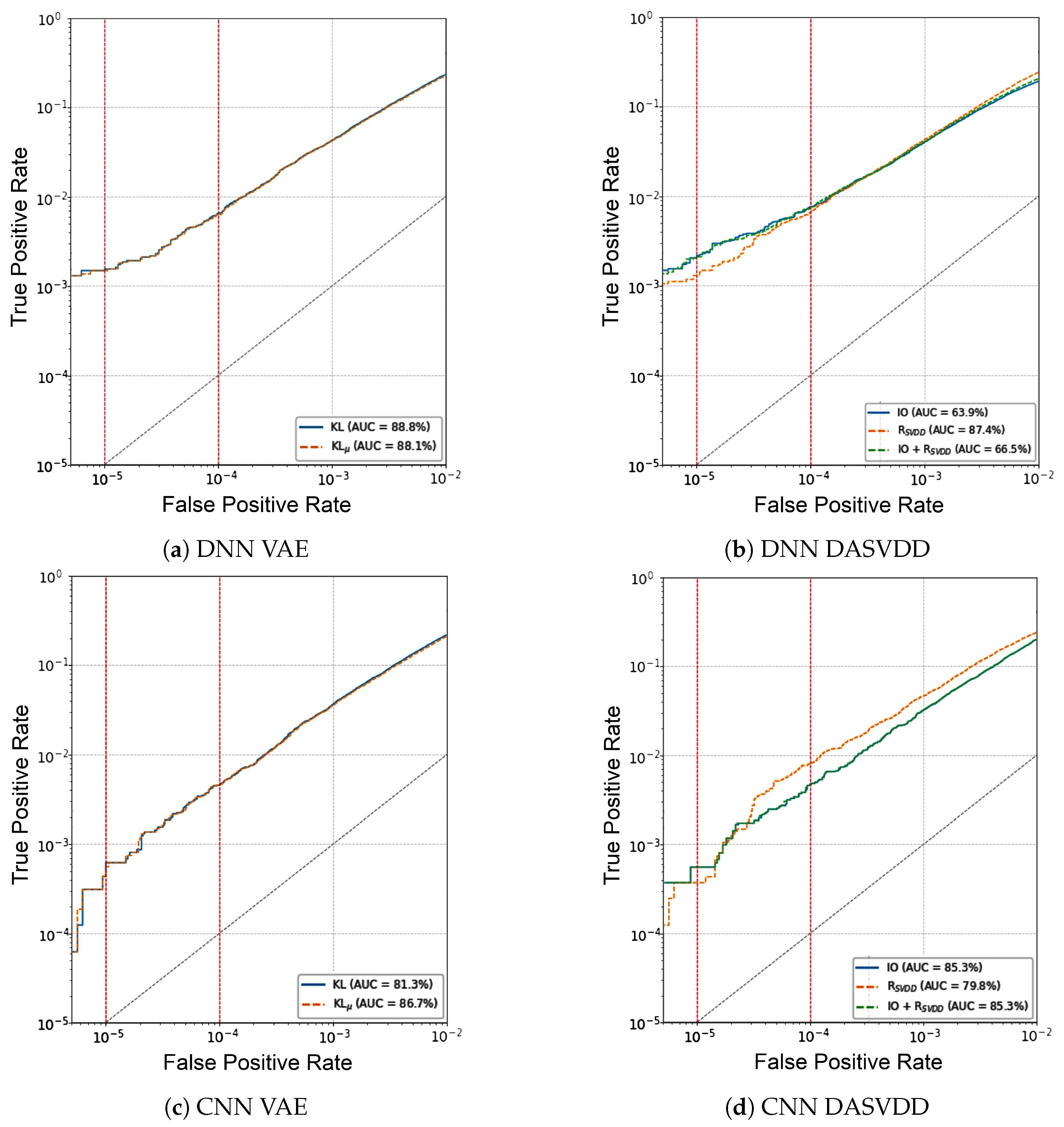
6.1. Non-Contaminated Models
6.1.1. Model Performance
6.1.2. Latent Distributions
6.2. Contaminated Models
6.2.1. Model Performance
6.2.2. Latent Distributions
6.3. Sensitivity Analysis
7. Conclusions and Future Work
Future Work
Author Contributions
Funding
Institutional Review Board Statement
Informed Consent Statement
Data Availability Statement
Acknowledgments
Conflicts of Interest
Abbreviations
| 1D | 1-dimensional | 
| 2D | 2-dimensional | 
| AD | anomaly detection | 
| AE | autoencoder | 
| ASIC | application-specific integrated circuit | 
| ATLAS | A Toroidal LHC Apparatus | 
| AUC | area under the ROC curve | 
| AXOL1TL | Anomaly eXtraction Online Level-1 Trigger Algorithm | 
| BSM | Beyond the Standard Model | 
| CMS | Compact Muon Solenoid | 
| CNN | convolutional neural network | 
| CPU | central processing unit | 
| DASVDD | deep autoencoding support vector data descriptor | 
| DNN | dense feed-forward neural networks | 
| ELBO | evidence lower bound | 
| FPGA | Field-Programmable Gate Arrays | 
| FPR | false positive rate | 
| HEP | High-Energy Physics | 
| HLT | High-Level Trigger | 
| hls4ml | high-level synthesis for machine learning | 
| IO | input–output | 
| KL | Kullback–Leibler | 
| L1 | level-1 | 
| L1T | level-1 trigger | 
| LHC | Large Hadron Collider | 
| LOE | Latent Outlier Exposure | 
| MSE | Mean Square Error | 
| ML | Machine Learning | 
| QCD | Quantum Chromodynamics | 
| ROC | receiver operating characteristic | 
| SM | Standard Model | 
| SVDD | support vector data descriptor | 
| TC | Test Crate | 
| TPR | true positive rate | 
| VAE | variational autoencoder | 
| UAD | Unsupervised Anomaly Detection | 
References
- Patrignani, C. Review of Particle Physics. Chin. Phys. C 2016, 40, 100001. [Google Scholar] [CrossRef]
- Cheng, H.C.; Low, I. TeV symmetry and the little hierarchy problem. J. High Energy Phys. 2003, 09, 051. [Google Scholar] [CrossRef]
- Morrissey, D.E.; Plehn, T.; Tait, T.M.P. Physics searches at the LHC. Phys. Rept. 2012, 515, 1–113. [Google Scholar] [CrossRef]
- Kasieczka, G.; Nachman, B.; Shih, D.; Amram, O.; Andreassen, A.; Benkendorfer, K.; Bortolato, B.; Brooijmans, G.; Canelli, F.; Collins, J.H.; et al. The LHC Olympics 2020 a community challenge for anomaly detection in high energy physics. Rep. Prog. Phys. 2021, 84, 124201. [Google Scholar] [CrossRef]
- Ballard, D.H. Modular Learning in Neural Networks. In Proceedings of the Sixth National Conference on Artificial Intelligence, AAAI’87, Seattle, WA, USA, 13–17 July 1987; Association for the Advancement of Artificial Intelligence: Washington, DC, USA; pp. 279–284. [Google Scholar]
- Kawachi, Y.; Koizumi, Y.; Harada, N. Complementary Set Variational Autoencoder for Supervised Anomaly Detection. In Proceedings of the 2018 IEEE International Conference on Acoustics, Speech and Signal Processing (ICASSP), Calgary, AB, Canada, 15–20 April 2018; pp. 2366–2370. [Google Scholar] [CrossRef]
- Luo, Q.; Chen, J.; Zi, Y.; Chang, Y.; Feng, Y. Multi-mode non-Gaussian variational autoencoder network with missing sources for anomaly detection of complex electromechanical equipment. ISA Trans. 2023, 134, 144–158. [Google Scholar] [CrossRef]
- Wang, X.; Du, Y.; Lin, S.; Cui, P.; Shen, Y.; Yang, Y. advae: A self-adversarial variational autoencoder with Gaussian anomaly prior knowledge for anomaly detection. Knowl.-Based Syst. 2020, 190, 105187. [Google Scholar] [CrossRef]
- Bortolato, B.; Smolkovič, A.; Dillon, B.M.; Kamenik, J.F. Bump hunting in latent space. Phys. Rev. D 2022, 105, 115009. [Google Scholar] [CrossRef]
- Kahn, A.; Gonski, J.; Ochoa, I.; Williams, D.; Brooijmans, G. Anomalous jet identification via sequence modeling. J. Instrum. 2021, 16, P08012. [Google Scholar] [CrossRef]
- Zipper, N. Testing a Neural Network for Anomaly Detection in the CMS Global Trigger Test Crate during Run 3. arXiv 2023, arXiv:2312.10009. [Google Scholar] [CrossRef]
- Govorkova, E.; Puljak, E.; Aarrestad, T.; James, T.; Loncar, V.; Pierini, M.; Pol, A.A.; Ghielmetti, N.; Graczyk, M.; Summers, S.; et al. Autoencoders on field-programmable gate arrays for real-time, unsupervised new physics detection at 40 MHz at the Large Hadron Collider. Nat. Mach. Intell. 2022, 4, 154–161. [Google Scholar] [CrossRef]
- Duarte, J.; Han, S.; Harris, P.; Jindariani, S.; Kreinar, E.; Kreis, B.; Ngadiuba, J.; Pierini, M.; Rivera, R.; Tran, N.; et al. Fast inference of deep neural networks in FPGAs for particle physics. J. Instrum. 2018, 13, P07027. [Google Scholar] [CrossRef]
- Tolstikhin, I.; Bousquet, O.; Gelly, S.; Schoelkopf, B. Wasserstein Auto-Encoders. arXiv 2019, arXiv:1711.01558. [Google Scholar]
- Aarrestad, T.; van Beekveld, M.; Bona, M.; Boveia, A.; Caron, S.; Davies, J.; de Simone, A.; Doglioni, C.; Duarte, J.; Farbin, A.; et al. The Dark Machines Anomaly Score Challenge: Benchmark Data and Model Independent Event Classification for the Large Hadron Collider. SciPost Phys. 2022, 12, 043. [Google Scholar] [CrossRef]
- Caron, S.; Hendriks, L.; Verheyen, R. Rare and Different: Anomaly Scores from a Combination of Likelihood and Out-of-Distribution Models to Detect New Physics at the LHC. SciPost Phys. Submiss. 2021; Submitted. [Google Scholar] [CrossRef]
- Huang, W.; Li, Y.; Xu, Z.; Yao, X.; Wan, R. Improved Deep Support Vector Data Description Model Using Feature Patching for Industrial Anomaly Detection. Sensors 2025, 25, 67. [Google Scholar] [CrossRef]
- Hojjati, H.; Armanfard, N. DASVDD: Deep Autoencoding Support Vector Data Descriptor for Anomaly Detection. IEEE Trans. Knowl. Data Eng. 2024, 36, 3739–3750. [Google Scholar] [CrossRef]
- ATLAS Level-1 Trigger: Technical Design Report, Release 5.5, Prepared by Mario Ruggier, Information and Programming Techniques Group, ECP Division, CERN, Geneva, Switzerland. 1998. Available online: https://cds.cern.ch/record/381429/files/cer-0307030.pdf (accessed on 7 October 2024).
- ATLAS Collaboration. ATLAS Public Results on Trigger Operation. 2023. Available online: https://twiki.cern.ch/twiki/bin/view/AtlasPublic/TriggerOperationPublicResults (accessed on 7 October 2024).
- Qiu, C.; Li, A.; Kloft, M.; Rudolph, M.; Mandt, S. Latent Outlier Exposure for Anomaly Detection with Contaminated Data. arXiv 2022, arXiv:2202.08088. [Google Scholar]
- Fortin, E. Machine Learning for Real-Time Processing of ATLAS Liquid Argon Calorimeter Signals with FPGAs. In Proceedings of the TIPP 2023 Conference, European Organization for Nuclear Research (CERN), Scotland, UK, 30 September–4 October 2024. [Google Scholar]
- Bartler, A.; Mauch, L.; Yang, B.; Reuter, M.; Stoicescu, L. Automated detection of solar cell defects with deep learning. In Proceedings of the 2018 26th European Signal Processing Conference (EUSIPCO), Rome, Italy, 3–7 September 2018; pp. 2035–2039. [Google Scholar]
- Liao, Y.; Bartler, A.; Yang, B. Anomaly Detection Based on Selection and Weighting in Latent Space. arXiv 2021, arXiv:2103.04662. [Google Scholar]
- Ruff, L.; Vandermeulen, R.; Goernitz, N.; Deecke, L.; Siddiqui, S.A.; Binder, A.; Muller, E.; Kloft, M. Deep one-class classification. In Proceedings of the International Conference on Machine Learning, PMLR, Stockholm, Sweden, 10–15 July 2018; pp. 4393–4402. [Google Scholar]
- Schlachter, P.; Liao, Y.; Yang, B. Deep one-class classification using intra-class splitting. In Proceedings of the 2019 IEEE Data Science Workshop (DSW), Minneapolis, MN, USA, 2–5 June 2019; pp. 100–104. [Google Scholar]
- Ruff, L.; Kauffmann, J.R.; Vandermeulen, R.A.; Montavon, G.; Samek, W.; Kloft, M.; Dietterich, T.G.; Muller, K.R. A Unifying Review of Deep and Shallow Anomaly Detection. Proc. IEEE 2021, 109, 756–795. [Google Scholar] [CrossRef]
- Hendrycks, D.; Mazeika, M.; Dietterich, T.G. Deep Anomaly Detection with Outlier Exposure. arXiv 2018, arXiv:1812.04606. [Google Scholar]
- Chen, Z.; Yeo, C.K.; Lee, B.S.; Lau, C.T. Autoencoder-based network anomaly detection. In Proceedings of the 2018 Wireless Telecommunications Symposium (WTS), Phoenix, AZ, USA, 17–20 April 2018; pp. 1–5. [Google Scholar] [CrossRef]
- Zhou, Y.; Liang, X.; Zhang, W.; Zhang, L.; Song, X. VAE-based Deep SVDD for anomaly detection. Neurocomputing 2021, 453, 131–140. [Google Scholar] [CrossRef]
- Kingma, D.P.; Welling, M. Auto-Encoding Variational Bayes. arXiv 2013, arXiv:1312.6114. [Google Scholar]
- Prifti, E.; Buban, J.P.; Thind, A.S.; Klie, R.F. Variational Convolutional Autoencoders for Anomaly Detection in Scanning Transmission Electron Microscopy. Small 2023, 19, 2205977. [Google Scholar] [CrossRef] [PubMed]
- Kingma, D.P.; Ba, J. Adam: A Method for Stochastic Optimization. arXiv 2017, arXiv:1412.6980. [Google Scholar]
- Asperti, A.; Evangelista, D.; Loli Piccolomini, E. A Survey on Variational Autoencoders from a Green AI Perspective. SN Comput. Sci. 2021, 2, 301. [Google Scholar] [CrossRef]
- Higgins, I.; Matthey, L.; Pal, A.; Burgess, C.; Glorot, X.; Botvinick, M.; Mohamed, S.; Lerchner, A. beta-VAE: Learning basic visual concepts with a constrained variational framework. In Proceedings of the PICLR 2017, Toulon, France, 24–26 April 2017. [Google Scholar]
- Burgess, C.; Higgins, I.; Pal, A.; Matthey, L.; Watters, N.; Desjardins, G.; Lerchner, A. Understanding Disentangling in Beta-VAE. arXiv 2018, arXiv:1804.03599. [Google Scholar]
- Chalapathy, R.; Menon, A.; Chawla, S. Anomaly detection using one-class neural networks. arXiv 2018, arXiv:1802.06360. [Google Scholar]
- Govorkova, E.; Puljak, E.; Aarrestad, T.; Pierini, M.; Woźniak, K.A.; Ngadiuba, J. LHC physics dataset for unsupervised New Physics detection at 40 MHz. arXiv 2021, arXiv:2107.02157. [Google Scholar] [CrossRef]
- Glashow, S.L. Partial-symmetries of weak interactions. Nucl. Phys. 1961, 22, 579–588. [Google Scholar] [CrossRef]
- Weinberg, S. A model of leptons. Phys. Rev. Lett. 1967, 19, 1264–1266. [Google Scholar] [CrossRef]
- Svartholm, N. (Ed.) Elementary Particle Theory: Relativistic Groups and Analyticity. In Proceedings of the Eighth Nobel Symposium, Älvsborg, Sweden, 19–25 May 1968; Technical Report. Nobelstiftelsen: Stockholm, Sweden; New York, NY, USA; London, UK, 1968. [Google Scholar]
- Wolchover, N. A new map of all the particles and forces. Quanta Magazine. 2020. Available online: https://www.quantamagazine.org/a-new-map-of-the-standard-model-of-particle-physics-20201022/ (accessed on 12 June 2024).
- Quigg, C. The Double simplex. In Proceedings of the GUSTAVOFEST: Symposium in Honor of Gustavo C. Branco: CP Violation and the Flavor Puzzle, Lisbon, Portugal, 19–20 July 2005. [Google Scholar]
- Zyla, P.; Barnett, R.; Beringer, J.; Dahl, O. Review of Particle Physics. Prog. Theor. Exp. Phys. 2020, 2020, 083C01. [Google Scholar] [CrossRef]
- Summary of the Cross Section Measurements of Standard Model Processes. 2021. Available online: https://twiki.cern.ch/twiki/bin/view/CMSPublic/PhysicsResultsCombined (accessed on 7 October 2024).
- Ellis, R.K.; Stirling, W.J.; Webber, B.R. QCD and Collider Physics; Cambridge Monographs on Particle Physics, Nuclear Physics and Cosmology; Cambridge University Press: Cambridge, UK, 1996. [Google Scholar]
- Nguyen, T.Q.; Weitekamp, D., III; Anderson, D.; Castello, R.; Cerri, O.; Pierini, M.; Spiropulu, M.; Vlimant, J.-R. Topology classification with deep learning to improve real-time event selection at the LHC. Comput. Softw. Big Sci. 2019, 3, 1807.00083. [Google Scholar] [CrossRef]
- Cerri, O.; Nguyen, T.Q.; Pierini, M.; Spiropulu, M.; Vlimant, J.R. Variational autoencoders for new physics mining at the Large Hadron Collider. J. High Energy Phys. 2019, 2019, 36. [Google Scholar] [CrossRef]
- Knapp, O.; Dissertori, G.; Cerri, O.; Nguyen, T.Q.; Vlimant, J.R.; Pierini, M. Adversarially Learned Anomaly Detection on CMS Open Data: Re-discovering the top quark. arXiv 2020, arXiv:2005.01598. [Google Scholar] [CrossRef]
- Govorkova, E.; Puljak, E.; Aarrestad, T.; Pierini, M.; Woźniak, K.A.; Ngadiuba, J. Unsupervised new physics detection at 40 MHz: h0→ττ signal benchmark dataset. Zenodo 2021. [Google Scholar] [CrossRef]
- Govorkova, E.; Puljak, E.; Aarrestad, T.; Pierini, M.; Woźniak, K.A.; Ngadiuba, J. Unsupervised new physics detection at 40 MHz: h+→τν signal benchmark dataset. Zenodo 2021. [Google Scholar] [CrossRef]
- Govorkova, E.; Puljak, E.; Aarrestad, T.; Pierini, M.; Woźniak, K.A.; Ngadiuba, J. Unsupervised new physics detection at 40 MHz: LQ→bτ signal benchmark dataset. Zenodo 2021. [Google Scholar] [CrossRef]
- Govorkova, E.; Puljak, E.; Aarrestad, T.; Pierini, M.; Woźniak, K.A.; Ngadiuba, J. Unsupervised new physics detection at 40 MHz: A→4 leptons signal benchmark dataset. Zenodo 2021. [Google Scholar] [CrossRef]
- Aarrestad, T.; Govorkova, E.; Ngadiuba, J.; Puljak, E.; Pierini, M.; Woźniak, K. Unsupervised new physics detection at 40 MHz: Black box dataset. Zenodo 2021. [Google Scholar] [CrossRef]
- Ioffe, S.; Szegedy, C. Batch normalization: Accelerating deep network training by reducing internal covariate shift. In Proceedings of the 32nd International Conference on Machine Learning, PMLR, Lille, France, 6–11 July 2015; Volume 37, p. 448. [Google Scholar]
- Maas, A.L.; Hannun, A.Y.; Ng, A.Y. Rectifier nonlinearities improve neural network acoustic models. In Proceedings of the ICML Workshop on Deep Learning for Audio, Speech and Language Processing, Atlanta, GA, USA, 16 June 2013. [Google Scholar]
- Abadi, M.; Agarwal, A.; Barham, P.; Brevdo, E.; Chen, Z.; Citro, C.; Corrado, G.S.; Davis, A.; Dean, J.; Devin, M.; et al. TensorFlow: Large-scale machine learning on heterogeneous systems. arXiv 2015, arXiv:1603.04467. [Google Scholar]
- Joyce, J.M. Kullback-Leibler Divergence; Springer: Berlin/Heidelberg, Germany, 2011; pp. 720–722. [Google Scholar]
- Bradley, A.P. The use of the area under the ROC curve in the evaluation of machine learning algorithms. Pattern Recognit. 1997, 30, 1145–1159. [Google Scholar] [CrossRef]
- Smith, W.H. Triggering at the LHC. Annu. Rev. Nucl. Part. Sci. 2016, 66, 123–141. [Google Scholar] [CrossRef]
- Shixin, Z.; Yang, Y.; Sun, F.; Fang, B. Application of Image Sensing System in Mineral/Rock Identification: Sensing Mode and Information Process. Adv. Intell. Syst. 2023, 5, 2300206. [Google Scholar] [CrossRef]
- Bamford, T.; Esmaeili, K.; Schoellig, A. A deep learning approach for rock fragmentation analysis. Int. J. Rock Mech. Min. Sci. 2021, 145, 104839. [Google Scholar] [CrossRef]
- Borisov, V.; Leemann, T.; Seßler, K.; Haug, J.; Pawelczyk, M.; Kasneci, G. Deep Neural Networks and Tabular Data: A Survey. IEEE Trans. Neural Netw. Learn. Syst. 2024, 35, 7499–7519. [Google Scholar] [CrossRef] [PubMed]
- Liu, T.; Fan, J.; Li, G.; Tang, N.; Du, X. Tabular data synthesis with generative adversarial networks: Design space and optimizations. VLDB J. 2024, 33, 255–280. [Google Scholar] [CrossRef]
- Aarrestad, T.; Loncar, V.; Ghielmetti, N.; Pierini, M.; Summers, S.; Ngadiuba, J.; Petersson, C.; Linander, H.; Iiyama, Y.; Di Guglielmo, G.; et al. Fast convolutional neural networks on FPGAs with hls4ml. Mach. Learn. Sci. Technol. 2021, 2, 045015. [Google Scholar] [CrossRef]
- Penc, O. ATLAS Level-1 Trigger Menu Testing. In Proceedings of the 42nd International Conference on High Energy Physics (ICHEP2024), Prague, Czech Republic, 24 July 2024. [Google Scholar]
- Kočka, J.; Penc, O. New Interface for ATLAS L1 Trigger Menu Testing. In Proceedings of the 42nd International Conference on High Energy Physics (ICHEP2024), Prague, Czech Republic, 24 July 2024. [Google Scholar]











| Model | Performance Metric | |||
|---|---|---|---|---|
| Architecture | AD Score | TPR @ | Avg. TPR @ | AUC [%] | 
| FPR | FPR [%] | |||
| VAE | KL | 0.1485 | 0.0835 | 88.8 | 
| VAE | 0.1485 | 0.0835 | 81.7 | |
| DASVDD | IO | 0.2042 | 0.0922 | 63.9 | 
| DASVDD | 0.1299 | 0.0699 | 87.4 | |
| DASVDD | + IO | 0.2042 | 0.0922 | 66.5 | 
| Model | Performance Metric | |||
|---|---|---|---|---|
| Architecture | AD Score | TPR @ | Avg. TPR @ | AUC [%] | 
| FPR | FPR [%] | |||
| VAE | KL | 0.0433 | 0.0161 | 81.3 | 
| VAE | 0.0433 | 0.0149 | 86.7 | |
| DASVDD | IO | 0.0555 | 0.0388 | 85.3 | 
| DASVDD | 0.0370 | 0.0481 | 79.8 | |
| DASVDD | + IO | 0.0555 | 0.0364 | 85.3 | 
| Model | Performance Metric | |||
|---|---|---|---|---|
| Architecture | AD Score | TPR @ | Avg. TPR @ | AUC [%] | 
| FPR | FPR [%] | |||
| LOE VAE | KL | 0.3218 | 0.1566 | 87.5 | 
| LOE VAE | 0.3589 | 0.1473 | 83.7 | |
| LOE DASVDD | IO | 0.0665 | 0.0439 | 86.1 | 
| LOE DASVDD | 0.0475 | 0.0539 | 87.0 | |
| LOE DASVDD | + IO | 0.0689 | 0.0441 | 86.6 | 
| Shifty VAE | KL | 0.2908 | 0.0983 | 75.3 | 
| Shifty VAE | 0.1980 | 0.0934 | 81.9 | |
| Shifty VAE | 0.1113 | 0.0786 | 40.7 | |
| LOE VAE | Shifty VAE | |||||||||
| assumed | assumed | |||||||||
| 0.5 | 1 | 2 | 5 | 0.5 | 1 | 2 | 5 | |||
| true | 0.5 | 0.30 | 0.24 | 0.29 | 0.21 | 0.22 | 0.21 | 0.26 | 0.16 | |
| 1 | 0.28 | 0.36 | 0.22 | 0.25 | 0.24 | 0.29 | 0.24 | 0.29 | ||
| 2 | 0.15 | 0.11 | 0.23 | 0.18 | 0.17 | 0.16 | 0.20 | 0.16 | ||
| 5 | 0.10 | 0.13 | 0.14 | 0.17 | 0.26 | 0.13 | 0.14 | 0.11 | ||
| LOE VAE | Shifty VAE | |||||||||
| assumed | assumed | |||||||||
| 0.5 | 1 | 2 | 5 | 0.5 | 1 | 2 | 5 | |||
| true | 0.5 | 83.9 | 84.6 | 82.4 | 82.6 | 29.1 | 80.3 | 75.7 | 84.2 | |
| 1 | 89.0 | 83.7 | 78.2 | 85.3 | 72.1 | 75.3 | 80.0 | 91.1 | ||
| 2 | 85.5 | 86.1 | 81.3 | 86.0 | 30.9 | 89.2 | 36.5 | 44.9 | ||
| 5 | 85.1 | 85.4 | 85.9 | 82.1 | 81.2 | 45.9 | 41.6 | 33.2 | ||
| LOE VAE | Shifty VAE | |||||||||
| assumed | assumed | |||||||||
| 0.5 | 1 | 2 | 5 | 0.5 | 1 | 2 | 5 | |||
| true | 0.5 | KL | KL | KL | KL | KL | ||||
| 1 | KL | KL | KL | KL | KL | |||||
| 2 | KL | KL | ||||||||
| 5 | KL | |||||||||
| Disclaimer/Publisher’s Note: The statements, opinions and data contained in all publications are solely those of the individual author(s) and contributor(s) and not of MDPI and/or the editor(s). MDPI and/or the editor(s) disclaim responsibility for any injury to people or property resulting from any ideas, methods, instructions or products referred to in the content. | 
© 2025 by the authors. Licensee MDPI, Basel, Switzerland. This article is an open access article distributed under the terms and conditions of the Creative Commons Attribution (CC BY) license (https://creativecommons.org/licenses/by/4.0/).
Share and Cite
Stern, T.D.; Mishra, A.K.; Keaveney, J.M. Latent Outlier Exposure in Real-Time Anomaly Detection at the Large Hadron Collider. Computers 2025, 14, 79. https://doi.org/10.3390/computers14030079
Stern TD, Mishra AK, Keaveney JM. Latent Outlier Exposure in Real-Time Anomaly Detection at the Large Hadron Collider. Computers. 2025; 14(3):79. https://doi.org/10.3390/computers14030079
Chicago/Turabian StyleStern, Thomas Dartnall, Amit Kumar Mishra, and James Michael Keaveney. 2025. "Latent Outlier Exposure in Real-Time Anomaly Detection at the Large Hadron Collider" Computers 14, no. 3: 79. https://doi.org/10.3390/computers14030079
APA StyleStern, T. D., Mishra, A. K., & Keaveney, J. M. (2025). Latent Outlier Exposure in Real-Time Anomaly Detection at the Large Hadron Collider. Computers, 14(3), 79. https://doi.org/10.3390/computers14030079
 
        


 
       