Perioperative Outcomes After Radical Nephrectomy with Inferior Vena Cava Thrombectomy
Simple Summary
Abstract
1. Introduction
2. Methods
2.1. Data Source
2.2. Selection Criteria, Coding, and Annual Hospital Caseload Threshold
2.3. Data Synthesis and Statistical Analysis
3. Results
3.1. Baseline Characteristics
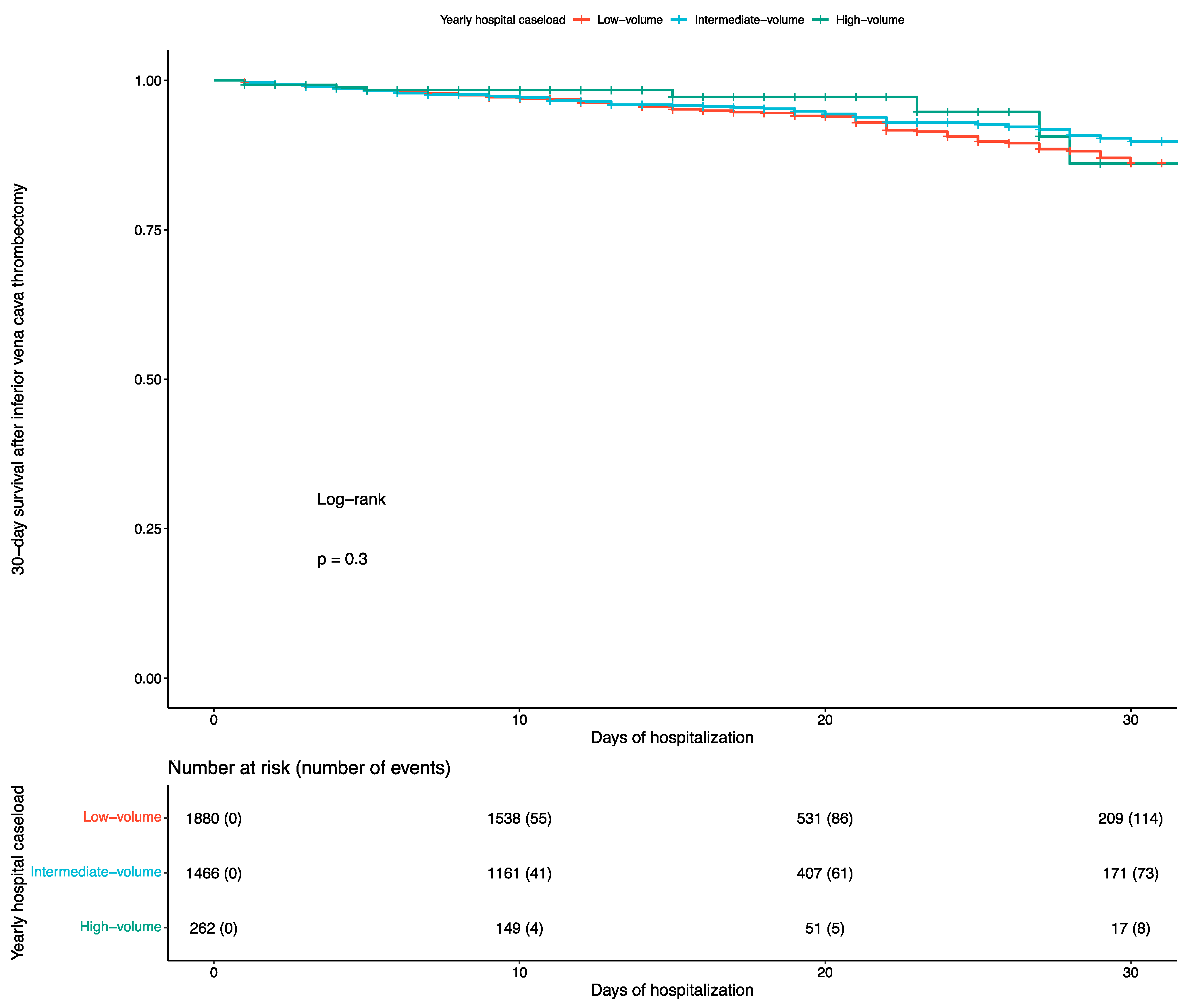
3.2. Effect of Surgery on 30-Day Perioperative Mortality
3.3. Effect of Surgery on Perioperative Complications
4. Discussion
5. Conclusions
Author Contributions
Funding
Institutional Review Board Statement
Informed Consent Statement
Data Availability Statement
Conflicts of Interest
References
- Diana, P.; Klatte, T.; Amparore, D.; Bertolo, R.; Carbonara, U.; Erdem, S.; Ingels, A.; Kara, O.; Marandino, L.; Marchioni, M.; et al. Screening programs for renal cell carcinoma: A systematic review by the EAU young academic urologists renal cancer working group. World J. Urol. 2023, 41, 929–940. [Google Scholar] [CrossRef] [PubMed]
- Whitson, J.M.; Reese, A.C.; Meng, M.V. Population based analysis of survival in patients with renal cell carcinoma and venous tumor thrombus. Urol. Oncol. Semin. Orig. Investig. 2013, 31, 259–263. [Google Scholar] [CrossRef]
- Wagner, B.; Patard, J.-J.; Méjean, A.; Bensalah, K.; Verhoest, G.; Zigeuner, R.; Ficarra, V.; Tostain, J.; Mulders, P.; Chautard, D.; et al. Prognostic value of renal vein and inferior vena cava involvement in renal cell carcinoma. Eur. Urol. 2009, 55, 452–459. [Google Scholar] [CrossRef] [PubMed]
- Ciancio, G.; Manoharan, M.; Katkoori, D.; De Los Santos, R.; Soloway, M.S. Long-term survival in patients undergoing radical nephrectomy and inferior vena cava thrombectomy: Single-center experience. Eur. Urol. 2010, 57, 667–672. [Google Scholar] [CrossRef] [PubMed]
- Martin, T.; Huber, J.; Koch, R.; Butea-Bocu, M.; Haak, L.; Flegar, L.; Giese, M.; Kormann, F.; Aksoy, C.; Zacharis, A.; et al. Defining a threshold for safe surgical management of vena cava thrombus in renal cell carcinoma patients: Evidence from German total population data with 3,700 cases from 2006 to 2020. World J. Urol. 2024, 43, 1. [Google Scholar] [CrossRef] [PubMed] [PubMed Central]
- Ghoreifi, A.; Djaladat, H. Surgical Tips for Inferior Vena Cava Thrombectomy. Curr. Urol. Rep. 2020, 21, 51. [Google Scholar] [CrossRef] [PubMed]
- Jurado, A.; Romeo, A.; Gueglio, G.; Marchiñena, P.G. Current Trends in Management of Renal Cell Carcinoma with Venous Thrombus Extension. Curr. Urol. Rep. 2021, 22, 23. [Google Scholar] [CrossRef]
- Katsimperis, S.; Tzelves, L.; Tandogdu, Z.; Ta, A.; Geraghty, R.; Bellos, T.; Manolitsis, I.; Pyrgidis, N.; Schulz, G.B.; Sridhar, A.; et al. Complications After Radical Cystectomy: A Systematic Review and Meta-analysis of Randomized Controlled Trials with a Meta-regression Analysis. Eur. Urol. Focus 2023, 9, 920–929. [Google Scholar] [CrossRef]
- Filizzola, R.; Romero, D.; Mendez, S.; Brunstein, D.; Benitez, A. Results of Radical Nephrectomy and Inferior Vena Cava Thrombectomy. Curr. Urol. Rep. 2024, 25, 339–342. [Google Scholar] [CrossRef] [PubMed]
- Prunty, M.; Bell, S.; Kutikov, A.; Bukavina, L. Review of Robotic-Assisted Radical Nephrectomy with Inferior Vena Cava Thrombectomy in Renal Cell Carcinoma. Curr. Urol. Rep. 2022, 23, 363–370. [Google Scholar] [CrossRef] [PubMed]
- Ljungberg, B.; Albiges, L.; Abu-Ghanem, Y.; Bedke, J.; Capitanio, U.; Dabestani, S.; Fernández-Pello, S.; Giles, R.H.; Hofmann, F.; Hora, M.; et al. European Association of Urology Guidelines on Renal Cell Carcinoma: The 2022 Update. Eur. Urol. 2022, 82, 399–410. [Google Scholar] [CrossRef] [PubMed]
- Vickers, A.J.; Assel, M.; Dunn, R.L.; Zabor, E.C.; Kattan, M.W.; van Smeden, M.; Dahly, D. Guidelines for reporting observational research in urology: The importance of clear reference to causality. BJU Int. 2023, 132, 4–8. [Google Scholar] [CrossRef] [PubMed]
- Lardas, M.; Stewart, F.; Scrimgeour, D.; Hofmann, F.; Marconi, L.; Dabestani, S.; Bex, A.; Volpe, A.; Canfield, S.E.; Staehler, M.; et al. Systematic Review of Surgical Management of Nonmetastatic Renal Cell Carcinoma with Vena Caval Thrombus. Eur. Urol. 2016, 70, 265–280. [Google Scholar] [CrossRef]
- Pyrgidis, N.; Schulz, G.B.; Stief, C.; Blajan, I.; Ivanova, T.; Graser, A.; Staehler, M. Surgical Trends and Complications in Partial and Radical Nephrectomy: Results from the GRAND Study. Cancers 2023, 16, 97. [Google Scholar] [CrossRef]
- Freifeld, Y.; Woldu, S.L.; Singla, N.; Clinton, T.; Bagrodia, A.; Hutchinson, R.; Lotan, Y.; Margulis, V. Impact of Hospital Case Volume on Outcomes Following Radical Nephrectomy and Inferior Vena Cava Thrombectomy. Eur. Urol. Oncol. 2019, 2, 691–698. [Google Scholar] [CrossRef]
- Toren, P.; Abouassaly, R.; Timilshina, N.; Kulkarni, G.; Alibhai, S.; Finelli, A. Results of a national population-based study of outcomes of surgery for renal tumors associated with inferior vena cava thrombus. Urology 2013, 82, 572–577. [Google Scholar] [CrossRef]
- Yap, S.A.; Horovitz, D.; Alibhai, S.M.H.; Abouassaly, R.; Timilshina, N.; Finelli, A. Predictors of early mortality after radical nephrectomy with renal vein or inferior vena cava thrombectomy—A population-based study. BJU Int. 2012, 110, 1283–1288. [Google Scholar] [CrossRef]
- Pyrgidis, N.; Volz, Y.; Ebner, B.; Kazmierczak, P.M.; Enzinger, B.; Hermans, J.; Buchner, A.; Stief, C.; Schulz, G.B. The effect of hospital caseload on perioperative mortality, morbidity and costs in bladder cancer patients undergoing radical cystectomy: Results of the German nationwide inpatient data. World J. Urol. 2024, 42, 19. [Google Scholar] [CrossRef]
- Baheen, Q.; Liu, Z.; Hao, Y.; Sawh, R.R.R.; Li, Y.; Zhao, X.; Hong, P.; Wu, Z.; Ma, L. The Significant Role of Tumor Volume on the Surgical Approach Choice, Surgical Complexity, and Postoperative Complications in Renal Cell Carcinoma with Venous Tumor Thrombus From a Large Chinese Center Experience. Front. Oncol. 2022, 12, 869891. [Google Scholar] [CrossRef]
- Klatte, T.; Pantuck, A.J.; Riggs, S.B.; Kleid, M.D.; Shuch, B.; Zomorodian, N.; Kabbinavar, F.F.; Belldegrun, A.S. Prognostic factors for renal cell carcinoma with tumor thrombus extension. J. Urol. 2007, 178, 1189–1195; discussion 1195. [Google Scholar] [CrossRef]
- Shi, T.; Huang, Q.; Liu, K.; Du, S.; Fan, Y.; Yang, L.; Peng, C.; Shen, D.; Wang, Z.; Gao, Y.; et al. Robot-assisted Cavectomy Versus Thrombectomy for Level II Inferior Vena Cava Thrombus: Decision-making Scheme and Multi-institutional Analysis. Eur. Urol. 2020, 78, 592–602. [Google Scholar] [CrossRef] [PubMed]
- Garg, H.; Psutka, S.P.; Hakimi, A.A.; Kim, H.L.; Mansour, A.M.; Pruthi, D.K.; Liss, M.A.; Wang, H.; Gaspard, C.S.; Ramamurthy, C.; et al. A Decade of Robotic-Assisted Radical Nephrectomy with Inferior Vena Cava Thrombectomy: A Systematic Review and Meta-Analysis of Perioperative Outcomes. J. Urol. 2022, 208, 542–560. [Google Scholar] [CrossRef] [PubMed]
- Chopra, S.; Simone, G.; Metcalfe, C.; de Castro Abreu, A.L.; Nabhani, J.; Ferriero, M.; Bove, A.M.; Sotelo, R.; Aron, M.; Desai, M.M.; et al. Robot-assisted Level II-III Inferior Vena Cava Tumor Thrombectomy: Step-by-Step Technique and 1-Year Outcomes. Eur. Urol. 2017, 72, 267–274. [Google Scholar] [CrossRef] [PubMed]
- Wang, B.; Huang, Q.; Liu, K.; Fan, Y.; Peng, C.; Gu, L.; Shi, T.; Zhang, P.; Chen, W.; Du, S.; et al. Robot-assisted Level III-IV Inferior Vena Cava Thrombectomy: Initial Series with Step-by-step Procedures and 1-yr Outcomes. Eur. Urol. 2020, 78, 77–86. [Google Scholar] [CrossRef]
- Zhang, Y.; Tian, X.; Bi, H.; Hong, P.; Liu, Z.; Yan, Y.; Liu, C.; Ma, L. Oncologic Outcomes of Renal Cell Carcinoma Patients Undergoing Radical Nephrectomy and Venous Thrombectomy: Prospective Follow-Up from a Single Center. J. Oncol. 2022, 2022, 9191659. [Google Scholar] [CrossRef]
- Beksac, A.T.; Shah, Q.N.; Paulucci, D.J.; Lo, J.Z.; Okhawere, K.E.; Elbakry, A.A.; Dayal, B.D.; Mehrazin, R.; Eun, D.; Hemal, A.; et al. Trends and outcomes in contemporary management renal cell carcinoma and vena cava thrombus. Urol. Oncol. 2019, 37, 576.e17–576.e23. [Google Scholar] [CrossRef]
- Pyrgidis, N.; Volz, Y.; Ebner, B.; Westhofen, T.; Staehler, M.; Chaloupka, M.; Apfelbeck, M.; Jokisch, F.; Bischoff, R.; Marcon, J.; et al. Evolution of Robotic Urology in Clinical Practice from the Beginning to Now: Results from the GRAND Study Register. Eur. Urol. Focus 2024, in press. [Google Scholar] [CrossRef]
- Marchioni, M.; Nazzani, S.; Preisser, F.; Bandini, M.; Tian, Z.; Kapoor, A.; Cindolo, L.; Primiceri, G.; Carmignani, L.; Briganti, A.; et al. The Effect of Institution Teaching Status on Perioperative Outcomes After Robotic Partial or Radical Nephrectomy. J. Endourol. 2018, 32, 621–629. [Google Scholar] [CrossRef]


| Complication | Hospital Caseload Threshold | Specificity | Sensitivity | NPV | PPV |
|---|---|---|---|---|---|
| 30-day mortality | 8 | 62% | 49% | 96% | 50% |
| Embolism | 2 | 33% | 71% | 91% | 10% |
| Admission to the ICU | 3 | 54% | 51% | 55% | 50% |
| Transfusion | 4 | 70% | 34% | 29% | 74% |
| Sepsis | 2 | 32% | 73% | 97% | 4% |
| Hospital stay | 7 | 79% | 65% | 50% | 88% |
| Characteristic | Overall, n = 3608 | Low Volume (<3), n = 1880 | Intermediate Volume (3–9), n = 1466 | High Volume (≥10), n = 262 | p-Value |
|---|---|---|---|---|---|
| Age (years) | 69 (60–76) | 69 (61–76) | 68 (59–75) | 69 (61–76) | 0.003 |
| Males | 2337 (65%) | 1221 (65%) | 945 (64%) | 171 (65%) | 0.94 |
| Diabetes | 846 (23%) | 440 (23%) | 352 (24%) | 54 (21%) | 0.49 |
| Chronic heart failure | 353 (9.8%) | 205 (11%) | 128 (8.7%) | 20 (7.6%) | 0.053 |
| Chronic obstructive pulmonary disease | 258 (7.2%) | 139 (7.4%) | 106 (7.2%) | 13 (5.0%) | 0.35 |
| Chronic kidney disease | 859 (24%) | 468 (25%) | 329 (22%) | 62 (24%) | 0.26 |
| Cerebrovascular disease | 115 (3.2%) | 63 (3.4%) | 47 (3.2%) | 5 (1.9%) | 0.46 |
| Dementia | 36 (1.0%) | 24 (1.3%) | 12 (0.8%) | 0 (0%) | 0.10 |
| Hypertension | 2179 (60%) | 1168 (62%) | 856 (58%) | 155 (59%) | 0.083 |
| Obesity | 356 (9.9%) | 182 (9.7%) | 147 (10%) | 27 (10%) | 0.92 |
| Operative technique | 0.31 | ||||
| Open | 3574 (99%) | 1857 (99%) | 1455 (99%) | 262 (100%) | |
| Laparoscopic | 20 (0.6%) | 13 (0.7%) | 7 (0.5%) | 0 (0%) | |
| Robotic | 14 (0.4%) | 10 (0.5%) | 4 (0.3%) | 0 (0%) | |
| Year of surgery | |||||
| 2005 | 165 (4.6%) | 97 (5.2%) | 68 (4.6%) | 0 (0%) | |
| 2006 | 169 (4.7%) | 89 (4.7%) | 80 (5.5%) | 0 (0%) | |
| 2007 | 192 (5.3%) | 105 (5.6%) | 67 (4.6%) | 20 (7.6%) | |
| 2008 | 206 (5.7%) | 104 (5.5%) | 85 (5.8%) | 17 (6.5%) | |
| 2009 | 199 (5.5%) | 116 (6.2%) | 69 (4.7%) | 14 (5.3%) | |
| 2010 | 202 (5.6%) | 119 (6.3%) | 83 (5.7%) | 0 (0%) | |
| 2011 | 196 (5.4%) | 108 (5.7%) | 77 (5.3%) | 11 (4.2%) | |
| 2012 | 229 (6.3%) | 114 (6.1%) | 101 (6.9%) | 14 (5.3%) | |
| 2013 | 234 (6.5%) | 111 (5.9%) | 93 (6.3%) | 30 (11%) | |
| 2014 | 238 (6.6%) | 119 (6.3%) | 104 (7.1%) | 15 (5.7%) | |
| 2015 | 245 (6.8%) | 112 (6.0%) | 76 (5.2%) | 57 (22%) | |
| 2016 | 226 (6.3%) | 130 (6.9%) | 74 (5.0%) | 22 (8.4%) | |
| 2017 | 219 (6.1%) | 104 (5.5%) | 115 (7.8%) | 0 (0%) | |
| 2018 | 171 (4.7%) | 97 (5.2%) | 74 (5.0%) | 0 (0%) | |
| 2019 | 191 (5.3%) | 90 (4.8%) | 91 (6.2%) | 10 (3.8%) | |
| 2020 | 195 (5.4%) | 93 (4.9%) | 80 (5.5%) | 22 (8.4%) | |
| 2021 | 166 (4.6%) | 85 (4.5%) | 71 (4.8%) | 10 (3.8%) | |
| 2022 | 165 (4.6%) | 87 (4.6%) | 58 (4.0%) | 20 (7.6%) |
| Outcome | Low Volume (<3) | Intermediate Volume (3–9) | High Volume (≥10) | Increase in Annual Hospital Caseload | |||
|---|---|---|---|---|---|---|---|
| Cases | Estimate (95% CI), p-Value | Cases | Estimate (95% CI), p-Value | Cases | Estimate (95% CI), p-Value | Estimate (95% CI), p-Value | |
| 30-day mortality | 114 (6.1%) | — | 73 (5%) | 0.8 (0.6, 1.2), 0.4 | 8 (3.1%) | 0.5 (0.2, 1), 0.07 | 0.95 (0.9, 0.99), 0.032 |
| ICU admission | 845 (45%) | — | 783 (53%) | 1.4 (1.3, 1.7), <0.001 | 77 (29%) | 0.5 (0.4, 0.7), <0.001 | 0.97 (0.96, 0.99), 0.002 |
| Transfusion | 1327 (71%) | — | 1077 (73%) | 1.2 (1, 1.4), 0.04 | 194 (74%) | 1.2 (0.9, 1.7), 0.2 | 1.02 (1, 1.04), 0.052 |
| Sepsis | 68 (3.6%) | — | 61 (4.2%) | 1.2 (0.8, 1.7), 0.4 | 7 (2.7%) | 0.7 (0.3, 1.5), 0.4 | 0.97 (0.92, 1.02), 0.3 |
| Acute kidney disease | 260 (14%) | — | 200 (14%) | 1 (0.8, 1.3), 0.9 | 28 (11%) | 0.7 (0.4, 1), 0.07 | 0.97 (0.94, 1), 0.029 |
| Acute embolism | 191 (10%) | — | 141 (9.6%) | 0.9 (0.7, 1.2), 0.5 | 32 (12%) | 1.2 (0.8, 1.8), 0.3 | 1 (0.97, 1.03), 0.8 |
| Ileus | 73 (3.9%) | — | 44 (3%) | 0.8 (0.5, 1.1), 0.2 | 8 (3.1%) | 0.7 (0.3, 1.5), 0.4 | 0.96 (0.9, 1.01), 0.14 |
| Length of hospital stay | 14 (11–21) | — | 14 (10–20) | −0.1 (−1, 1), 0.8 | 11 (8–17) | −3.9 (−5.6, −2.2), <0.001 | −0.28 (−0.39, −0.16), <0.001 |
Disclaimer/Publisher’s Note: The statements, opinions and data contained in all publications are solely those of the individual author(s) and contributor(s) and not of MDPI and/or the editor(s). MDPI and/or the editor(s) disclaim responsibility for any injury to people or property resulting from any ideas, methods, instructions or products referred to in the content. |
© 2025 by the authors. Licensee MDPI, Basel, Switzerland. This article is an open access article distributed under the terms and conditions of the Creative Commons Attribution (CC BY) license (https://creativecommons.org/licenses/by/4.0/).
Share and Cite
Pyrgidis, N.; Schulz, G.B.; Stief, C.G.; Blajan, I.; Ivanova, T.; Graser, A.; Staehler, M. Perioperative Outcomes After Radical Nephrectomy with Inferior Vena Cava Thrombectomy. Cancers 2025, 17, 1083. https://doi.org/10.3390/cancers17071083
Pyrgidis N, Schulz GB, Stief CG, Blajan I, Ivanova T, Graser A, Staehler M. Perioperative Outcomes After Radical Nephrectomy with Inferior Vena Cava Thrombectomy. Cancers. 2025; 17(7):1083. https://doi.org/10.3390/cancers17071083
Chicago/Turabian StylePyrgidis, Nikolaos, Gerald Bastian Schulz, Christian G. Stief, Iulia Blajan, Troya Ivanova, Annabel Graser, and Michael Staehler. 2025. "Perioperative Outcomes After Radical Nephrectomy with Inferior Vena Cava Thrombectomy" Cancers 17, no. 7: 1083. https://doi.org/10.3390/cancers17071083
APA StylePyrgidis, N., Schulz, G. B., Stief, C. G., Blajan, I., Ivanova, T., Graser, A., & Staehler, M. (2025). Perioperative Outcomes After Radical Nephrectomy with Inferior Vena Cava Thrombectomy. Cancers, 17(7), 1083. https://doi.org/10.3390/cancers17071083

