BRAF V600E and Non-V600E Mutations in RAS Wild-Type Metastatic Colorectal Cancer: Prognostic and Therapeutic Insights from a Nationwide, Multicenter, Observational Study (J-BROS)
Simple Summary
Abstract
1. Introduction
2. Materials and Methods
2.1. Patients
2.2. RAS, BRAF and MSI Testing
2.3. Treatment and Efficacy Assessment
2.4. Sample Size and Statistical Analysis
3. Results
3.1. Patient Characteristics and Prognosis
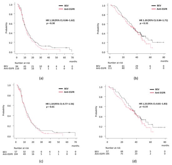
3.2. Treatment Effectiveness
4. Discussion
5. Conclusions
Author Contributions
Funding
Institutional Review Board Statement
Informed Consent Statement
Data Availability Statement
Acknowledgments
Conflicts of Interest
References
- Bray, F.; Laversanne, M.; Sung, H.; Ferlay, J.; Siegel, R.L.; Soerjomataram, I.; Jemal, A. Global cancer statistics 2022: GLOBOCAN estimates of incidence and mortality worldwide for 36 cancers in 185 countries. CA Cancer J. Clin. 2024, 74, 229–263. [Google Scholar] [CrossRef] [PubMed]
- Siegel, R.L.; Wagle, N.S.; Cercek, A.; Smith, R.A.; Jemal, A. Colorectal cancer statistics, 2023. CA Cancer J. Clin. 2023, 73, 233–254. [Google Scholar] [CrossRef]
- Cancer Statistics. Cancer Information Service, National Cancer Center, Japan (Vital Statistics of Japan, Ministry of Health, Labour and Welfare). Available online: https://ganjoho.jp/public/qa_links/report/statistics/pdf/cancer_statistics_2022_data_E.pdf (accessed on 1 November 2024).
- Kobayashi, H.; Asano, M.; Ishiguro, M.; Ishihara, S.; Inomata, M.; Kanemitsu, Y.; Komori, K.; Matsumoto, H.; Sugihara, K.; Ajioka, Y. Multi-institutional Registry of Large Bowel Cancer in Japan Conducted by the Japanese Society for Cancer of the Colon and Rectum in 2023: Cases Treated in 2015. J. Anus Rectum Colon 2024, 8, 265–270. [Google Scholar] [CrossRef] [PubMed]
- Kawakami, T.; Masuishi, T.; Kawamoto, Y.; Go, H.; Kato, K.; Kumanishi, R.; Sawada, K.; Yuki, S.; Yamamoto, K.; Komatsu, Y.; et al. The survival benefit of increasing the number of active drugs for metastatic colorectal cancer: A multicenter retrospective study. Cancer Med. 2022, 11, 2184–2192. [Google Scholar] [CrossRef] [PubMed]
- Yamazaki, K.; Nagase, M.; Tamagawa, H.; Ueda, S.; Tamura, T.; Murata, K.; Eguchi Nakajima, T.; Baba, E.; Tsuda, M.; Moriwaki, T.; et al. Randomized phase III study of bevacizumab plus FOLFIRI and bevacizumab plus mFOLFOX6 as first-line treatment for patients with metastatic colorectal cancer (WJOG4407G). Ann. Oncol. 2016, 27, 1539–1546. [Google Scholar] [CrossRef] [PubMed]
- Denda, T.; Takashima, A.; Gamoh, M.; Iwanaga, I.; Komatsu, Y.; Takahashi, M.; Nakamura, M.; Ohori, H.; Sakashita, A.; Tsuda, M.; et al. Combination therapy of bevacizumab with either S-1 and irinotecan or mFOLFOX6/CapeOX as first-line treatment of metastatic colorectal cancer (TRICOLORE): Exploratory analysis of RAS status and primary tumour location in a randomised, open-label, phase III, non-inferiority trial. Eur. J. Cancer 2021, 154, 296–306. [Google Scholar] [CrossRef]
- Mayer, R.J.; Van Cutsem, E.; Falcone, A.; Yoshino, T.; Garcia-Carbonero, R.; Mizunuma, N.; Yamazaki, K.; Shimada, Y.; Tabernero, J.; Komatsu, Y.; et al. Randomized trial of TAS-102 for refractory metastatic colorectal cancer. N. Engl. J. Med. 2015, 372, 1909–1919. [Google Scholar] [CrossRef]
- Hurwitz, H.; Fehrenbacher, L.; Novotny, W.; Cartwright, T.; Hainsworth, J.; Heim, W.; Berlin, J.; Baron, A.; Griffing, S.; Holmgren, E.; et al. Bevacizumab plus irinotecan, fluorouracil, and leucovorin for metastatic colorectal cancer. N. Engl. J. Med. 2004, 350, 2335–2342. [Google Scholar] [CrossRef]
- Cunningham, D.; Humblet, Y.; Siena, S.; Khayat, D.; Bleiberg, H.; Santoro, A.; Bets, D.; Mueser, M.; Harstrick, A.; Verslype, C.; et al. Cetuximab monotherapy and cetuximab plus irinotecan in irinotecan-refractory metastatic colorectal cancer. N. Engl. J. Med. 2004, 351, 337–345. [Google Scholar] [CrossRef]
- Punt, C.J.; Koopman, M.; Vermeulen, L. From tumour heterogeneity to advances in precision treatment of colorectal cancer. Nat. Rev. Clin. Oncol. 2017, 14, 235–246. [Google Scholar] [CrossRef]
- Malumbres, M.; Barbacid, M. RAS oncogenes: The first 30 years. Nat. Rev. Cancer 2003, 3, 459–465. [Google Scholar] [CrossRef] [PubMed]
- Van Cutsem, E.; Köhne, C.H.; Hitre, E.; Zaluski, J.; Chang Chien, C.R.; Makhson, A.; D’Haens, G.; Pintér, T.; Lim, R.; Bodoky, G.; et al. Cetuximab and chemotherapy as initial treatment for metastatic colorectal cancer. N. Engl. J. Med. 2009, 360, 1408–1417. [Google Scholar] [CrossRef] [PubMed]
- Amado, R.G.; Wolf, M.; Peeters, M.; Van Cutsem, E.; Siena, S.; Freeman, D.J.; Juan, T.; Sikorski, R.; Suggs, S.; Radinsky, R.; et al. Wild-type KRAS is required for panitumumab efficacy in patients with metastatic colorectal cancer. J. Clin. Oncol. 2008, 26, 1626–1634. [Google Scholar] [CrossRef] [PubMed]
- Douillard, J.Y.; Oliner, K.S.; Siena, S.; Tabernero, J.; Burkes, R.; Barugel, M.; Humblet, Y.; Bodoky, G.; Cunningham, D.; Jassem, J.; et al. Panitumumab-FOLFOX4 treatment and RAS mutations in colorectal cancer. N. Engl. J. Med. 2013, 369, 1023–1034. [Google Scholar] [CrossRef]
- Rajagopalan, H.; Bardelli, A.; Lengauer, C.; Kinzler, K.W.; Vogelstein, B.; Velculescu, V.E. Tumorigenesis: RAF/RAS oncogenes and mismatch-repair status. Nature 2002, 418, 934. [Google Scholar] [CrossRef]
- Sclafani, F.; Gullo, G.; Sheahan, K.; Crown, J. BRAF mutations in melanoma and colorectal cancer: A single oncogenic mutation with different tumour phenotypes and clinical implications. Crit. Rev. Oncol. Hematol. 2013, 87, 55–68. [Google Scholar] [CrossRef]
- Samowitz, W.S.; Sweeney, C.; Herrick, J.; Albertsen, H.; Levin, T.R.; Murtaugh, M.A.; Wolff, R.K.; Slattery, M.L. Poor survival associated with the BRAF V600E mutation in microsatellite-stable colon cancers. Cancer Res. 2005, 65, 6063–6069. [Google Scholar] [CrossRef]
- Van Cutsem, E.; Köhne, C.H.; Láng, I.; Folprecht, G.; Nowacki, M.P.; Cascinu, S.; Shchepotin, I.; Maurel, J.; Cunningham, D.; Tejpar, S.; et al. Cetuximab plus irinotecan, fluorouracil, and leucovorin as first-line treatment for metastatic colorectal cancer: Updated analysis of overall survival according to tumor KRAS and BRAF mutation status. J. Clin. Oncol. 2011, 29, 2011–2019. [Google Scholar] [CrossRef]
- Pietrantonio, F.; Petrelli, F.; Coinu, A.; Di Bartolomeo, M.; Borgonovo, K.; Maggi, C.; Cabiddu, M.; Iacovelli, R.; Bossi, I.; Lonati, V.; et al. Predictive role of BRAF mutations in patients with advanced colorectal cancer receiving cetuximab and panitumumab: A meta-analysis. Eur. J. Cancer 2015, 51, 587–594. [Google Scholar] [CrossRef]
- Ikenoue, T.; Hikiba, Y.; Kanai, F.; Aragaki, J.; Tanaka, Y.; Imamura, J.; Imamura, T.; Ohta, M.; Ijichi, H.; Tateishi, K.; et al. Different effects of point mutations within the B-Raf glycine-rich loop in colorectal tumors on mitogen-activated protein/extracellular signal-regulated kinase kinase/extracellular signal-regulated kinase and nuclear factor kappaB pathway and cellular transformation. Cancer Res. 2004, 64, 3428–3435. [Google Scholar] [CrossRef]
- Cremolini, C.; Di Bartolomeo, M.; Amatu, A.; Antoniotti, C.; Moretto, R.; Berenato, R.; Perrone, F.; Tamborini, E.; Aprile, G.; Lonardi, S.; et al. BRAF codons 594 and 596 mutations identify a new molecular subtype of metastatic colorectal cancer at favorable prognosis. Ann. Oncol. 2015, 26, 2092–2097. [Google Scholar] [CrossRef] [PubMed]
- Shinozaki, E.; Yoshino, T.; Yamazaki, K.; Muro, K.; Yamaguchi, K.; Nishina, T.; Yuki, S.; Shitara, K.; Bando, H.; Mimaki, S.; et al. Clinical significance of BRAF non-V600E mutations on the therapeutic effects of anti-EGFR monoclonal antibody treatment in patients with pretreated metastatic colorectal cancer: The Biomarker Research for anti-EGFR monoclonal Antibodies by Comprehensive Cancer genomics (BREAC) study. Br. J. Cancer 2017, 117, 1450–1458. [Google Scholar] [CrossRef] [PubMed]
- De Roock, W.; Claes, B.; Bernasconi, D.; De Schutter, J.; Biesmans, B.; Fountzilas, G.; Kalogeras, K.T.; Kotoula, V.; Papamichael, D.; Laurent-Puig, P.; et al. Effects of KRAS, BRAF, NRAS, and PIK3CA mutations on the efficacy of cetuximab plus chemotherapy in chemotherapy-refractory metastatic colorectal cancer: A retrospective consortium analysis. Lancet Oncol. 2010, 11, 753–762. [Google Scholar] [CrossRef] [PubMed]
- Corcoran, R.B.; Atreya, C.E.; Falchook, G.S.; Kwak, E.L.; Ryan, D.P.; Bendell, J.C.; Hamid, O.; Messersmith, W.A.; Daud, A.; Kurzrock, R.; et al. Combined BRAF and MEK inhibition with dabrafenib and trametinib in BRAF V600-mutant colorectal cancer. J. Clin. Oncol. 2015, 33, 4023–4031. [Google Scholar] [CrossRef]
- Kopetz, S.; Grothey, A.; Yaeger, R.; Van Cutsem, E.; Desai, J.; Yoshino, T.; Wasan, H.; Ciardiello, F.; Loupakis, F.; Hong, Y.S.; et al. Encorafenib, Binimetinib, and Cetuximab in BRAF V600E-mutated colorectal cancer. N. Engl. J. Med. 2019, 381, 1632–1643. [Google Scholar] [CrossRef]
- Japanese Society for Cancer of the Colon and Rectum. Japanese Classification of Colorectal, Appendiceal, and Anal Carcinoma: The 3rd English Edition [Secondary Publication]. J. Anus Rectum Colon 2019, 3, 175–195. [Google Scholar] [CrossRef]
- Taniguchi, H.; Okamoto, W.; Muro, K.; Akagi, K.; Hara, H.; Nishina, T.; Kajiwara, T.; Denda, T.; Hironaka, S.; Kudo, T.; et al. Clinical validation of newly developed multiplex kit using Luminex xMAP technology for detecting simultaneous RAS and BRAF mutations in colorectal cancer: Results of the RASKET-B study. Neoplasia 2018, 20, 1219–1226. [Google Scholar] [CrossRef]
- Osumi, H.; Shinozaki, E.; Wakatsuki, T.; Suenaga, M.; Ichimura, T.; Ogura, M.; Takahari, D.; Ooki, A.; Suzuki, T.; Ota, Y.; et al. Non-V600E BRAF mutations and EGFR signaling pathway in colorectal cancer. Int. J. Cancer 2019, 145, 2488–2495. [Google Scholar] [CrossRef]
- Bando, H.; Okamoto, W.; Fukui, T.; Yamanaka, T.; Akagi, K.; Yoshino, T. Utility of the quasi-monomorphic variation range in unresectable metastatic colorectal cancer patients. Cancer Sci. 2018, 109, 3411–3415. [Google Scholar] [CrossRef]
- Yokota, T.; Ura, T.; Shibata, N.; Takahari, D.; Shitara, K.; Nomura, M.; Kondo, C.; Mizota, A.; Utsunomiya, S.; Muro, K.; et al. BRAF mutation is a powerful prognostic factor in advanced and recurrent colorectal cancer. Br. J. Cancer 2011, 104, 856–862. [Google Scholar] [CrossRef]
- Thomsen, M.; Skovlund, E.; Sorbye, H.; Bolstad, N.; Nustad, K.J.; Glimelius, B.; Pfeiffer, P.; Kure, E.H.; Johansen, J.S.; Tveit, K.M.; et al. Prognostic role of carcinoembryonic antigen and carbohydrate antigen 19-9 in metastatic colorectal cancer: A BRAF-mutant subset with high CA 19-9 level and poor outcome. Br. J. Cancer 2018, 118, 1609–1616. [Google Scholar] [CrossRef] [PubMed]
- Le, D.T.; Kim, T.W.; Van Cutsem, E.; Geva, R.; Jäger, D.; Hara, H.; Burge, M.; O’Neil, B.; Kavan, P.; Yoshino, T.; et al. Phase II open-label study of pembrolizumab in treatment-refractory, microsatellite instability-high/mismatch repair-deficient metastatic colorectal cancer: KEYNOTE-164. J. Clin. Oncol. 2020, 38, 11–19. [Google Scholar] [CrossRef] [PubMed]
- Cremolini, C.; Loupakis, F.; Antoniotti, C.; Lupi, C.; Sensi, E.; Lonardi, S.; Mezi, S.; Tomasello, G.; Ronzoni, M.; Zaniboni, A.; et al. FOLFOXIRI plus bevacizumab versus FOLFIRI plus bevacizumab as first-line treatment of patients with metastatic colorectal cancer: Updated overall survival and molecular subgroup analyses of the open-label, phase 3 TRIBE study. Lancet Oncol. 2015, 16, 1306–1315. [Google Scholar] [CrossRef] [PubMed]
- Cremolini, C.; Antoniotti, C.; Stein, A.; Bendell, J.; Gruenberger, T.; Rossini, D.; Masi, G.; Ongaro, E.; Hurwitz, H.; Falcone, A.; et al. Individual patient data meta-analysis of FOLFOXIRI plus bevacizumab versus doublets plus bevacizumab as initial therapy of unresectable metastatic colorectal cancer. J. Clin. Oncol. 2020, 38, 3314–3324. [Google Scholar] [CrossRef]
- Shimozaki, K.; Hirata, K.; Sato, T.; Nakamura, M.; Kato, K.; Hirano, H.; Kumekawa, Y.; Hino, K.; Kawakami, K.; Kito, Y.; et al. WJOG13219G: The efficacy and safety of FOLFOXIRI or doublet plus anti-VEGF therapy in previously untreated BRAFV600E mutant metastatic colorectal cancer: A multi-institutional registry-based study (BRACELET study). Clin. Color. Cancer 2022, 21, 339–346. [Google Scholar] [CrossRef]
- Stintzing, S.; Heinrich, K.; Tougeron, D.; Modest, D.P.; Schwaner, I.; Eucker, J.; Pihusch, R.; Stauch, M.; Kaiser, F.; Kahl, C.; et al. FOLFOXIRI plus cetuximab or bevacizumab as first-line treatment of BRAFV600E-mutant metastatic colorectal cancer: The randomized phase II FIRE-4.5 (AIO KRK0116) study. J. Clin. Oncol. 2023, 41, 4143–4153. [Google Scholar] [CrossRef]
- Kopetz, S.; Guthrie, K.A.; Morris, V.K.; Lenz, H.J.; Magliocco, A.M.; Maru, D.; Yan, Y.; Lanman, R.; Manyam, G.; Hong, D.S.; et al. Randomized trial of irinotecan and cetuximab with or without vemurafenib in BRAF-mutant metastatic colorectal cancer (SWOG S1406). J. Clin. Oncol. 2021, 39, 285–294. [Google Scholar] [CrossRef]
- Ozeki, H.; Shimada, Y.; Nakano, M.; Kondo, S.; Ohashi, R.; Miwa, Y.; Yamai, D.; Matsumoto, A.; Abe, K.; Tajima, Y.; et al. Mucin phenotype and genetic alterations in non-V600E BRAF-mutated colorectal cancer. Hum. Pathol. 2024, 145, 71–79. [Google Scholar] [CrossRef]
- Osterlund, E.; Ristimäki, A.; Mäkinen, M.J.; Kytölä, S.; Kononen, J.; Pfeiffer, P.; Soveri, L.M.; Keinänen, M.; Sorbye, H.; Nunes, L.; et al. Atypical (non-V600E) BRAF mutations in metastatic colorectal cancer in population and real-world cohorts. Int. J. Cancer 2024, 154, 488–503. [Google Scholar] [CrossRef]
- Taniguchi, H.; Uehara, K.; Nakayama, G.; Nakayama, H.; Aiba, T.; Hattori, N.; Kataoka, M.; Nakano, Y.; Kawase, Y.; Okochi, O.; et al. Tumor location is associated with the prevalence of BRAF and PIK3CA mutations in patients with wild-type RAS colorectal cancer: A prospective multi-center cohort study in Japan. Transl. Oncol. 2020, 13, 100786. [Google Scholar] [CrossRef]
- Yao, Z.; Yaeger, R.; Rodrik-Outmezguine, V.S.; Tao, A.; Torres, N.M.; Chang, M.T.; Drosten, M.; Zhao, H.; Cecchi, F.; Hembrough, T.; et al. Tumours with class 3 BRAF mutants are sensitive to the inhibition of activated RAS. Nature 2017, 548, 234–238. [Google Scholar] [CrossRef]
- Yaeger, R.; Chatila, W.K.; Lipsyc, M.D.; Hechtman, J.F.; Cercek, A.; Sanchez-Vega, F.; Jayakumaran, G.; Middha, S.; Zehir, A.; Donoghue, M.T.A.; et al. Clinical sequencing defines the genomic landscape of metastatic colorectal cancer. Cancer Cell 2018, 33, 125–136.e3. [Google Scholar] [CrossRef] [PubMed]
- Kotani, D.; Bando, H.; Taniguchi, H.; Masuishi, T.; Komatsu, Y.; Yamaguchi, K.; Nakajima, T.; Satoh, T.; Nishina, T.; Esaki, T.; et al. BIG BANG study (EPOC1703): Multicentre, proof-of-concept, phase II study evaluating the efficacy and safety of combination therapy with binimetinib, encorafenib and cetuximab in patients with BRAF non-V600E mutated metastatic colorectal cancer. ESMO Open 2020, 5, e000624. [Google Scholar] [CrossRef] [PubMed]
- Liu, J.; Xie, H. BRAF non-V600 mutations in metastatic colorectal cancer. Cancers 2023, 15, 4604. [Google Scholar] [CrossRef] [PubMed]
- Heinemann, V.; von Weikersthal, L.F.; Decker, T.; Kiani, A.; Vehling-Kaiser, U.; Al-Batran, S.E.; Heintges, T.; Lerchenmüller, C.; Kahl, C.; Seipelt, G.; et al. FOLFIRI plus cetuximab versus FOLFIRI plus bevacizumab as first-line treatment for patients with metastatic colorectal cancer (FIRE-3): A randomised, open-label, phase 3 trial. Lancet Oncol. 2014, 15, 1065–1075. [Google Scholar] [CrossRef]
- Venook, A.P.; Niedzwiecki, D.; Lenz, H.J.; Innocenti, F.; Fruth, B.; Meyerhardt, J.A.; Schrag, D.; Greene, C.; O’Neil, B.H.; Atkins, J.N.; et al. Effect of first-line chemotherapy combined with cetuximab or bevacizumab on overall survival in patients with KRAS wild-type advanced or metastatic colorectal cancer: A randomized clinical trial. JAMA 2017, 317, 2392–2401. [Google Scholar] [CrossRef]
- Arnold, D.; Lueza, B.; Douillard, J.Y.; Peeters, M.; Lenz, H.J.; Venook, A.; Heinemann, V.; Van Cutsem, E.; Pignon, J.P.; Tabernero, J.; et al. Prognostic and predictive value of primary tumour side in patients with RAS wild-type metastatic colorectal cancer treated with chemotherapy and EGFR directed antibodies in six randomized trials. Ann. Oncol. 2017, 28, 1713–1729. [Google Scholar] [CrossRef]
- Watanabe, J.; Muro, K.; Shitara, K.; Yamazaki, K.; Shiozawa, M.; Ohori, H.; Takashima, A.; Yokota, M.; Makiyama, A.; Akazawa, N.; et al. Panitumumab vs bevacizumab added to standard first-line chemotherapy and overall survival among patients with RAS wild-type, left-sided metastatic colorectal cancer: A randomized clinical trial. JAMA 2023, 329, 1271–1282. [Google Scholar] [CrossRef]
- Ito, T.; Takashima, A.; Yamazaki, K.; Yukami, H.; Uetake, H.; Tsuda, M.; Suto, T.; Moriwaki, T.; Sugimoto, N.; Ojima, H.; et al. Primary tumor location as a predictor of survival in patients with RAS wild-type colorectal cancer who receive molecularly targeted drugs as first-line therapy: A multicenter real-world observational study by the Japanese Society for Cancer of the Colon and Rectum. Int. J. Clin. Oncol. 2022, 27, 1450–1458. [Google Scholar] [CrossRef]




| BRAF WT (N = 298) | BRAF V600E (N = 71) | BRAF NonV600E (N = 8) | BRAF V600E MSI-H (N = 8) | BRAF V600E Non MSI-H (N = 62) * | ||
|---|---|---|---|---|---|---|
| Age | Median | 65.5 | 67.0 | 64.5 | 74 | 65.5 |
| Range | 31–89 | 32–88 | 35–77 | 67–81 | 32–88 | |
| Sex | Male | 201 (67.9) | 35 (50.0) | 3 (37.5) | 4 (50.0) | 31 (50.0) |
| Female | 95 (32.1) | 35 (50.0) | 5 (62.5) | 4 (50.0) | 31 (50.0) | |
| ECOG PS | 0 | 196 (66.2) | 50 (71.4) | 5 (62.5) | 6 (75.0) | 44 (71.0) |
| 1 | 92 (31.1) | 15 (21.4) | 2 (25.0) | 0 (0.0) | 15 (24.2) | |
| ≥2 | 8 (2.7) | 5 (7.1) | 1 (12.5) | 2 (25.0) | 3 (4.8) | |
| Primary site | Left | 242 (81.8) | 22 (31.4) | 6 (75.0) | 1 (12.5) | 21 (33.9) |
| Right | 54 (18.2) | 48 (68.6) | 2 (25.0) | 7 (87.5) | 41 (66.1) | |
| Histology | Tub 1/Tub 2 | 267 (90.2) | 46 (66.7) | 8 (100.0) | 4 (50.0) | 42 (68.9) |
| Por/Muc/Sig | 29 (9.8) | 23 (33.3) | 0 (0.0) | 4 (50.0) | 19 (31.1) | |
| Metastatic Organ | Lymph node | 93 (32.5) | 32 (45.7) | 3 (37.5) | 6 (75.0) | 26 (41.9) |
| Liver | 171 (59.8) | 43 (61.4) | 6 (75.0) | 2 (25.0) | 41 (66.1) | |
| Lung | 84 (29.4) | 14 (20.0) | 3 (37.5) | 0 (0.0) | 14 (22.6) | |
| Peritoneum | 70 (24.5) | 23 (32.9) | 2 (25.0) | 1 (12.5) | 22 (35.5) | |
| CEA | Mean | 448.2 | 365.5 | 188.8 | 7.6 | 413.2 |
| Median | 15.3 | 11.3 | 42.4 | 3.2 | 21.0 | |
| CA 19-9 | Mean | 449.2 | 6056.9 | 121.3 | 47.7 | 6871.7 |
| Median | 21.5 | 212.9 | 13.1 | 29.0 | 266.5 |
| BRAF WT (N = 279) | BRAF V600E (N = 65) | BRAF NonV600E (N = 7) | BRAF V600E MSI-H (N = 8) | BRAF V600E Non MSI-H (N = 57) | ||
|---|---|---|---|---|---|---|
| Age | <70 years | 182 (65.2) | 43 (66.2) | 4 (57.1) | 1 (12.5) | 42 (73.7) |
| 70 ≤ years | 97 (34.8) | 22 (33.8) | 3 (42.9) | 7 (87.5) | 15 (26.3) | |
| Sex | Male | 191 (68.5) | 33 (50.8) | 3 (42.9) | 4 (50.0) | 29 (50.9) |
| Female | 88 (31.5) | 32 (49.2) | 4 (57.1) | 4 (50.0) | 28 (49.1) | |
| ECOG PS | 0 | 180 (64.5) | 46 (70.8) | 5 (71.4) | 6 (75.0) | 40 (70.2) |
| 1 | 91 (32.6) | 14 (21.5) | 2 (28.6) | 0 (0.0) | 14 (24.6) | |
| ≥2 | 8 (2.9) | 5 (7.7) | 0 (0.0) | 2 (25.0) | 3 (5.3) | |
| Primary site | Left | 228 (81.7) | 18 (27.7) | 5 (71.4) | 1 (12.5) | 17 (29.8 |
| Right | 51 (18.3) | 47 (72.3) | 2 (28.6) | 7 (87.5) | 40 (70.2) | |
| Primary tumor | Present | 75 (26.9) | 20 (30.8) | 1 (14.3) | 2 (25.0) | 18 (31.6) |
| Absent | 204 (73.1) | 45 (69.2) | 6 (85.7) | 6 (75.0) | 39 (68.4) | |
| Metastatic Organ | Lymph node | 90 (33.3) | 32 (49.2) | 2 (28.6) | 6 (75.0) | 26 (45.6) |
| Liver | 165 (61.1) | 41 (63.1) | 5 (71.4) | 2 (25.0) | 39 (68.4) | |
| Lung | 82 (30.4) | 14 (21.5) | 2 (28.6) | 0 (0.0) | 14 (24.6) | |
| Peritoneum | 64 (23.7) | 21 (32.3) | 1 (14.3) | 1 (12.5) | 20 (35.1) | |
| Cytotoxic drugs | Mono | 23 (8.2) | 5 (7.8) | 2 (28.6) | 1 (14.3) | 4 (7.0) |
| Doublet | 219 (78.5) | 45 (70.3) | 4 (57.1) | 5 (71.4) | 40 (70.2) | |
| Triplet | 37 (13.3) | 14 (21.9) | 1 (14.3) | 1 (14.3) | 13 (22.8) | |
| Anti-biologics | None | 23 (8.3) | 12 (19.0) | 1 (14.3) | 2 (28.6) | 10 (17.9) |
| BEV | 129 (46.6) | 27 (42.9) | 2 (28.6) | 2 (28.6) | 25 (44.6) | |
| Anti-EGFR | 125 (45.1) | 24 (38.1) | 4 (57.1) | 3 (42.9) | 21 (37.5) |
| No. | BRAF Mutation | Age | Sex | Primary Site | Regimen | Response | PFS | OS |
|---|---|---|---|---|---|---|---|---|
| 63 | BRAF D594G | 35 | Female | Sigmoid | FOLFOX + anti-EGFR | SD | 4.8 | 21.2+ |
| 68 | BRAF G466R | 61 | Male | Transverse | FOLFOX + BEV | PR | 22.0 | 34.7 |
| 102 | BRAF D594G | 70 | Male | Rectosigmoid | FOLFOX + anti-EGFR | PR | 5.5+ | 47.2+ |
| 239 | BRAF D594G | 68 | Male | Rectosigmoid | Capecitabine | PR | 8.3 | 26.6 |
| 249 | BRAF N581S | 70 | Female | Rectum | FOLFOXIRI + BEV | SD | 6.4 | 23.4 |
| 298 | BRAF D594G | 47 | Female | Transverse | FOLFOX + anti-EGFR | SD | 1.9+ | 2.2 |
| 347 | BRAF D594G | 77 | Female | Rectum | IRI + anti-EGFR | SD | 7.4 | 27.2+ |
Disclaimer/Publisher’s Note: The statements, opinions and data contained in all publications are solely those of the individual author(s) and contributor(s) and not of MDPI and/or the editor(s). MDPI and/or the editor(s) disclaim responsibility for any injury to people or property resulting from any ideas, methods, instructions or products referred to in the content. |
© 2025 by the authors. Licensee MDPI, Basel, Switzerland. This article is an open access article distributed under the terms and conditions of the Creative Commons Attribution (CC BY) license (https://creativecommons.org/licenses/by/4.0/).
Share and Cite
Taniguchi, H.; Uehara, K.; Ishikawa, T.; Okochi, O.; Akazawa, N.; Okuda, H.; Hasegawa, H.; Shiozawa, M.; Kataoka, M.; Satake, H.; et al. BRAF V600E and Non-V600E Mutations in RAS Wild-Type Metastatic Colorectal Cancer: Prognostic and Therapeutic Insights from a Nationwide, Multicenter, Observational Study (J-BROS). Cancers 2025, 17, 399. https://doi.org/10.3390/cancers17030399
Taniguchi H, Uehara K, Ishikawa T, Okochi O, Akazawa N, Okuda H, Hasegawa H, Shiozawa M, Kataoka M, Satake H, et al. BRAF V600E and Non-V600E Mutations in RAS Wild-Type Metastatic Colorectal Cancer: Prognostic and Therapeutic Insights from a Nationwide, Multicenter, Observational Study (J-BROS). Cancers. 2025; 17(3):399. https://doi.org/10.3390/cancers17030399
Chicago/Turabian StyleTaniguchi, Hiroya, Kay Uehara, Toshiaki Ishikawa, Osamu Okochi, Naoya Akazawa, Hiroyuki Okuda, Hiroko Hasegawa, Manabu Shiozawa, Masato Kataoka, Hironaga Satake, and et al. 2025. "BRAF V600E and Non-V600E Mutations in RAS Wild-Type Metastatic Colorectal Cancer: Prognostic and Therapeutic Insights from a Nationwide, Multicenter, Observational Study (J-BROS)" Cancers 17, no. 3: 399. https://doi.org/10.3390/cancers17030399
APA StyleTaniguchi, H., Uehara, K., Ishikawa, T., Okochi, O., Akazawa, N., Okuda, H., Hasegawa, H., Shiozawa, M., Kataoka, M., Satake, H., Shimura, T., Kondoh, C., Kuramochi, H., Matsumoto, T., Takegawa, N., Yamaguchi, T., Nagase, M., Nakamura, M., Takano, N., ... Masuishi, T. (2025). BRAF V600E and Non-V600E Mutations in RAS Wild-Type Metastatic Colorectal Cancer: Prognostic and Therapeutic Insights from a Nationwide, Multicenter, Observational Study (J-BROS). Cancers, 17(3), 399. https://doi.org/10.3390/cancers17030399

