Next Article in Journal
Carboxypeptidase A4: A Biomarker for Cancer Aggressiveness and Drug Resistance
Next Article in Special Issue
Lung Cancer Under Siege in Spain: Timeliness, Treatment, and Survival Before and After the COVID-19 Pandemic
Previous Article in Journal
Investigating the Influence of Conventional vs. Ultra-High Dose Rate Proton Irradiation Under Normoxic or Hypoxic Conditions on Multiple Developmental Endpoints in Zebrafish Embryos
Previous Article in Special Issue
Real-World Outcomes of Chemoradiotherapy in Patients with Stage II/III Non-Small-Cell Lung Cancer in the Durvalumab Era: An Observational Study
 
 
Font Type:
Arial Georgia Verdana
Font Size:
Aa Aa Aa
Line Spacing:
Column Width:
Background:
Article

Integrating Clinical and Imaging Markers for Survival Prediction in Advanced NSCLC Treated with EGFR-TKIs

by
Thanika Ketpueak
1,†,
Phumiphat Losuriya
2,†,
Thanat Kanthawang
3,
Pakorn Prakaikietikul
3,
Lalita Lumkul
4,5,
Phichayut Phinyo
4,5,6 and
Pattraporn Tajarernmuang
2,*
1
Division of Oncology, Department of Internal Medicine, Faculty of Medicine, Chiang Mai University, Chiang Mai 50200, Thailand
2
Division of Pulmonary, Critical Care and Allergy, Department of Internal Medicine, Faculty of Medicine, Chiang Mai University, Chiang Mai 50200, Thailand
3
Department of Radiology, Faculty of Medicine, Chiang Mai University, Chiang Mai 50200, Thailand
4
Center for Clinical Epidemiology and Clinical Statistics, Faculty of Medicine, Chiang Mai University, Chiang Mai 50200, Thailand
5
Center of Multidisciplinary Technology for Advanced Medicine (CMUTEAM), Faculty of Medicine, Chiang Mai University, Chiang Mai 50200, Thailand
6
Department of Biomedical Informatics and Clinical Epidemiology, Faculty of Medicine, Chiang Mai University, Chiang Mai 50200, Thailand
*
Author to whom correspondence should be addressed.
These authors contributed equally to this work.
Cancers 2025, 17(15), 2565; https://doi.org/10.3390/cancers17152565
Submission received: 24 June 2025 / Revised: 1 August 2025 / Accepted: 1 August 2025 / Published: 3 August 2025

Simple Summary

A high prevalence of epidermal growth factor receptor (EGFR) mutations in non-small cell lung cancer (NSCLC) has been observed among the Asian population, along with significantly lower survival rates reported in previous real-world studies compared to clinical trials. Therefore, a precise survival prediction model for this patient subgroup is crucial. A prognostic model was developed using fundamental clinical and non-cancerous radiologic parameters to predict 18-month mortality in patients with EGFR-mutated advanced NSCLC. Key factors included a BMI <18.5 or ≥23, presence of bone metastasis, neutrophil-to-lymphocyte ratio ≥ 5, albumin-to-globulin ratio < 1, and mean pulmonary artery diameter ≥ 29 mm. The model demonstrated good predictive accuracy and is available as a web-based tool for clinical use.

Abstract

Background: Epidermal growth factor receptor (EGFR) mutations are presented in approximately 50% of East Asian populations with advanced non-small cell lung cancer (NSCLC). While EGFR-tyrosine kinase inhibitors (TKIs) are the standard treatment, patient outcomes are also influenced by host-related factors. This study aimed to investigate clinical and radiological factors associated with early mortality and develop a prognostic prediction model in advanced EGFR-mutated NSCLC. Methods: A retrospective cohort was conducted in patients with EGFR-mutated NSCLC treated with first line EGFR-TKIs from January 2012 to October 2022 at Chiang Mai University Hospital. Clinical data and radiologic findings at the initiation of treatment were analyzed. A multivariable flexible parametric survival model was used to determine the predictors of death at 18 months. The predicted survival probabilities at 6, 12, and 18 months were estimated, and the model performance was evaluated. Results: Among 189 patients, 84 (44.4%) died within 18 months. Significant predictors of mortality included body mass index <18.5 or ≥23, bone metastasis, neutrophil-to-lymphocyte ratio ≥ 5, albumin-to-globulin ratio < 1, and mean pulmonary artery diameter ≥ 29 mm. The model demonstrated good performance (Harrell’s C-statistic = 0.72; 95% CI: 0.66–0.78). Based on bootstrap internal validation, the optimism-corrected Harrell’s C-statistic was 0.71 (95% CI: 0.71–0.71), derived from an apparent C-statistic of 0.75 (95% CI: 0.74–0.75) and an estimated optimism of 0.04 (95% CI: 0.03–0.04). Estimated 18-month survival ranged from 87.1% in those without risk factors to 2.1% in those with all predictors. A web-based tool was developed for clinical use. Conclusions: The prognostic model developed from fundamental clinical and radiologic parameters demonstrated promising utility in predicting 18-month mortality in patients with advanced EGFR-mutated NSCLC receiving first-line EGFR-TKI therapy.

1. Introduction

Lung cancer is a leading cause of death accounting for approximately 1.79 million (18% of all cancer) deaths worldwide in 2020 [1]. In Thailand, it was the second most common cancer in the same year, with an estimated 23,713 new cases and 20,395 deaths [2]. Non-small cell lung cancer (NSCLC) is the predominant type, with adenocarcinoma being the more frequently observed histology subtype [3]. Molecular testing plays a critical role in NSCLC to guide prognosis and treatment strategies [4].
Among molecular alterations in NSCLC, epidermal growth factor receptor (EGFR) mutations are significant contributors to oncogenesis. The incidence of EGFR mutations varies geographically, but with a high prevalence of 45–50% among Asian populations with NSCLC [4]. The most common mutations include deletions in exon 19 and the L858R substitution mutation in exon 21 [5]. These mutations are strongly associated with a favorable response to tyrosine kinase inhibitors (TKIs), which have become the standard treatment for advanced NSCLC with EGFR mutations [3,6]. The survival benefits of TKIs depend on their generation. For example, the phase III FLAURA trial demonstrated a median overall survival (OS) benefit of 38.6 months with a first-line treatment with osimertinib, a third generation EGFR-TKI, compared to 31.8 months with a first-generation EGFR-TKI [7].
In Thailand, a retrospective multicenter study conducted by Sukauichai et al. (2013–2019) reported that the median OS for advanced NSCLC patients treated with EGFR-TKIs was significantly longer compared to those receiving chemotherapy alone (19.08–32.46 months vs. 11.10 months, p = 0.006) [8]. However, due to reimbursement constraints, most patients with advanced EGFR-mutated NSCLC in Thailand are initially treated with first-generation EGFR-TKIs.
Prognostic factors influencing survival in NSCLC have been widely studied. Gong J et al. identified poor performance status (PS), elevated lactate dehydrogenase (LDH) levels, thrombocytosis, and smoking history as independent predictors of poor prognosis in advanced NSCLC [9]. Ping Lu et al. demonstrated that a low serum albumin to globulin ratio (AGR < 1.12) was independently associated with shorter progression-free survival (PFS) and OS [10]. Similarly, Ogura Y et al. found that inflammatory markers, such as neutrophil-to-lymphocyte ratio (NLR), C-reactive protein (CRP)-to-albumin ratio, and advanced lung cancer inflammation index, were significantly correlated with survival outcomes in patients treated with chemoimmunotherapy [11]. For EGFR-mutated NSCLC, meta-analysis suggested that patient with exon 19 deletions had better PFS compared to those with the L858R mutation in exon 21 [12]. Another study highlighted that Eastern Cooperative Oncology Group Performance Status (ECOG-PS) and brain metastasis significantly influence OS and PFS [13].
Host factors also influence lung cancer prognosis. For instance, a systematic review and meta-analysis of 26 observational studies revealed that coexisting chronic obstructive pulmonary disease (COPD) was strongly associated with poorer OS and disease-free survival (DFS), regardless of tumor stage. The presence of emphysema in patients with lung cancer was linked to a worse OS (HR 1.66) [14]. Another meta-analysis demonstrated the association of sarcopenia and shorter OS in all stages of NSCLC [15]. Non-cancerous chest computed tomography (CT) findings such as high coronary artery calcium (CAC) scores, increased pulmonary artery-to-aorta (PA/Ao) ratios, and reduced thoracic skeletal muscle index, were also independent predictors of worse outcomes [16]. Several studies have demonstrated good predictive performance of advanced radiomics features in NSCLC [17,18]. However, application of such models remains limited in resource-constrained setting due to complex imaging analysis, which is less accessible compared to more fundamental clinical parameters.
Given the high prevalence and distinct characteristics of EGFR-mutated NSCLC, developing a precise survival prediction model for this patient subgroup is crucial. Although these patients generally exhibit favorable prognoses, some experience rapid progression and early mortality. The aim of this study was to identify clinical factors and non-cancerous findings from routine chest CT scans associated with early mortality and develop a prognostic prediction model in patients with advanced EGFR-mutated NSCLC.

2. Materials and Methods

2.1. Study Design, Participants, and Data Collection

This was a retrospective study that collected the data from Chiang Mai University Hospital between January 2012 and October 2022. This study included adult patients (age ≥ 18 years) diagnosed with advanced or locally advanced EGFR-mutated NSCLC confirmed by pathological evaluation. All patients received at least one dose of a first-line EGFR-TKI as a treatment for advanced or locally advanced NSCLC. The study population was identified using ICD-10 codes (C341–343, C348–349, D381) and prescription records for EGFR-TKIs, including gefitinib, erlotinib, afatinib, and osimertinib. Inclusion criteria required availability of pre-treatment laboratory data such as complete blood count (CBC), creatinine (Cr), liver function test (LFT), and chest CT scan. Patients were excluded if they lacked these pre-treatment data, were receiving palliative end-of-life care at initial diagnosis without EGFR-TKI therapy, or received EGFR-TKI as a subsequent line of treatment. The platelet-to-lymphocyte ratio (PLR), the neutrophil-to-lymphocyte ratio (NLR), and the albumin-to-globulin ratio (AGR) were calculated from the pre-treatment laboratory results.
Clinical characteristics, including age, gender, body mass index (BMI), type of surgical procedures or interventions, comorbidities, laboratory results, imaging findings, pathological reports, disease staging, admission date, and discharge date were extracted from electronic medical records. Chest CT scan parameters including presence of emphysema, size of main pulmonary artery (MPA) and aorta (AO) at bifurcation, and MPA to AO ratio were assessed. All parameters in CT were measured on Picture Archiving and Communication System (PACS) workstations by two independent radiologists with 3 and 8 years of experience (P.P. and T.K., respectively), who were blinded to clinical data and ensured unbiased assessment. This study was approved by research ethics committee of Faculty of Medicine, Chiang Mai University (Research ID: 9423, Study code MED 2566-09423).

2.2. Data Management and Confidentiality

Data were collected electronically and stored in a secure, encrypted database accessible only to the research team. Access to protected health information (PHI) was strictly limited to authors. Identification data were stored separately in an encrypted format using the hospital’s current IT system and housed on a protected-password internal server. To ensure confidentiality, patients were assigned unique identification numbers, and all identifiable information was replaced with random codes, effectively de-identifying the data. The dataset used for analysis was entirely de-identified, ensuring that no patient could be personally identified. These unique identifiers and random codes were used exclusively for statistical analysis. After the publication of this study, patient identities will remain confidential.

2.3. Statistical Analysis

Statistical analysis was performed using Stata version 16 (StataCorp, College Station, TX, USA) and R statistical software version 2024.4.2.764 (R Core Team, Vienna, Austria). The significance level was set at a p-value of less than 0.05. Sample size calculations, based on previous literature, were conducted using Stata with an alpha of 0.05 (two-sided test) and power of 0.80, yielding a minimum sample size of 186 cases (Supplementary Table S1). Continuous data were summarized using mean and standard deviation (SD) for normally distributed data and median and interquartile range (IQR) for non-normally distributed data. Counts and percentages were used for categorical data.

2.4. Study Variables and Predictors

Prognostic factors including clinical characteristics, pre-treatment laboratory results, and parameters associated with survival outcomes were explored. The selection of prognostic predictors was based on the availability of predictors at the time of prediction, a review of the existing literature, and clinical expertise. Continuous predictors were categorized at generally accepted cutoff points, according to those in the literature. Kaplan–Meier curves were used to illustrate survival differences based on prognostic factors. Differences in survival distribution after 6, 12, and 18 months across prognostic factors were examined using the log-rank test. Cox’s proportional hazard regression was used to estimate the hazard ratio (HR) for mortality. Significant variables (p-value < 0.05) from univariable analysis were included in the model.

2.5. Missing Data Handling

Missing values in prognostic factors were addressed through imputation using the k-Nearest Neighbor (kNN) imputation based on a variation of the Gower distance [19]. Only prognostic factors were included in imputation procedures. The imputation was conducted in R using a kNN function from the VIM package with default arguments set to 5 neighbors, the median function for numerical data, and the maximum function for categorical data. To assess the robustness of our imputation approach, we also performed sensitivity analyses using the complete case analysis approach.

2.6. Derivation of the Survival Model

The prognostic model was derived using a flexible parametric survival model (Royston–Parmar (RP) model) via the stpm2 package in Stata version 16 (StataCorp, College Station, TX, USA). The proportional hazard assumption was tested using Schoenfeld’s residuals before fitting the RP model. The cumulative hazard scale with three degrees of freedom was selected based on the lowest Akaike Information Criterion (AIC) and Bayesian Information Criterion (BIC) values. Significant variables from univariable analysis were included in the multivariable flexible parametric model, with pre-specified hazard scale and number of knots. Backward elimination was performed on each predictor using a significance threshold of p-value < 0.05.

2.7. Discrimination and Calibration

Model performance was evaluated based on discrimination and calibration. Discrimination was assessed using Harrell’s C-statistic to determine the model’s ability to distinguish between patients with longer and shorter survival times. Additional discrimination statistics, including Somers’ D coefficient for Harrell’s C, Royston and Sauerbrei’s D statistic, and R2D, were also reported. Calibration was assessed by comparing predicted survival probabilities with observed survival outcomes using a calibration plot. Survival probabilities were divided into four quantiles, creating four distinct risk groups. The calibration plot was then examined to compare the agreement between the model-predicted survival curves and the Kaplan–Meier survival curves within each quantile.

2.8. Internal Validation

Internal validation and assessment of model optimism were conducted using the bootstrap resampling method. Two hundred samples, each equal in size to the original dataset, were generated through random sampling with replacement. The entire modeling process was repeated for each bootstrap sample, generating 200 unique models. Harrell’s C-statistics were calculated and averaged across all models, obtaining the apparent performance. Then, each bootstrap model was applied to the original dataset and Harrell’s C-statistic was calculated again, resulting in a performance test. The difference between these performance averages provided an estimate of the model’s optimism. Additionally, we reported the optimism for other discrimination measures, including Somers’ D coefficient for Harrell’s C, Royston and Sauerbrei’s D statistic, R2D, and the shrinkage factor, which particularly important for external validation studies.

2.9. Model Presentation

For applicability, the model was developed into a web application using Streamlit, an open-source Python framework for interactive data applications. Model coefficients and baseline survival rates after 6, 12, and 18 months were extracted to calculate survival probabilities at each time point. The model and Python script are available at https://github.com/Lalita-LL/lung-ca-survival-Aug2024 (accessed on 2 September 2024). The script was deployed with inputs including time to prediction and all predictors from the final model.

3. Results

3.1. Patient Characteristics

A total of 216 patients met the eligible criteria for this study. However, 27 patients were excluded due to incomplete pre-treatment CT results, leaving 189 patients for analysis. The baseline characteristics of the study population are summarized in Table 1. The average age of patients was 64.81 years (SD ± 10.76), with 133 patients (70.37%) being over 60 years old. Approximately one-third of the cohort was male (65 patients, 34.39%). The mean BMI was 22.38 kg/m2 (SD ± 4.05), with 44.44% of the patients falling within the normal BMI range (18.5–22.9 kg/m2). Most patients were never-smokers (62.96%) and the most common comorbid conditions were hypertension (43.39%), followed by diabetes mellitus (16.40%) and other second primary cancers (4.76%).
The majority of patients received a first-generation EGFR-TKI as first-line treatment, with 48.15% receiving gefitinib and 42.86% receiving erlotinib. Laboratory investigations and CT findings are detailed in Table 2. Among the patients, 48.13% of patients had a PLR greater than 200, while 20.86% had an NLR greater than 5. Additionally, 31.79% of patients exhibited an AGR of less than 1. Enlargement of the MPA size, defined as a diameter of at least 29 mm, was observed in 28.04% of patients. The average MPA-to-AO ratio was 0.84 (SD ± 0.12). The mutational analysis identified exon 19 deletion as the most common subtype (63.49%), followed by exon 21 L858R substitution (28.57%). Other rarer mutations are described in Supplementary Table S2.

3.2. Survival Rate of Patients

At the 18-month follow-up, 84 patients (44.44%) had died (Figure 1). The overall survival rates after 6, 12, and 18 months were 85.71% (95% CI: 79.86–89.97), 73.54% (95% CI: 66.64–789.24), and 55.56% (95% CI: 48.18–62.30), respectively.

3.3. Predictors Associated with 18-Month Mortality

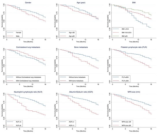
Significant poor prognostic factors identified through univariable analysis included low BMI (<18.5), presence of contralateral lung metastasis, bone metastasis, low hemoglobin, high PMN, PLR ≤ 200, NLR ≥ 5, elevated Cr, AGR < 1, and MPA size ≥ 29 mm. Figure 2 illustrates the survival differences among patients with and without each of these prognostic factors. All significant variables were included in the full model, and Schoenfeld’s residual test indicated no violations of a proportional hazard assumption (p = 0.677).
After applying backward elimination, the final reduced model identified the significant predictors including BMI < 18.5, BMI ≥ 23, bone metastasis, NLR ≥ 5, AGR < 1, and MPA size ≥ 29 mm (Table 3). Beta-coefficients based on the log hazard scale and their 95% CIs for all predictors in both full and reduced models are detailed in Supplementary Table S3. The results were consistent with complete case analysis, showing minor variations in hazard ratios and 95% CIs (Supplementary Table S4).

3.4. Model Discrimination and Calibration

For model discrimination, the Harrell’s C-statistics for the full model and reduced model were 0.74 (95% CI: 0.69–0.79) and 0.72 (95% CI: 0.66–0.78), respectively. Somers’ D was 0.48 for the full model and 0.43 for the reduced model. Royston and Sauerbrei R2D and D were 0.40 (95% CI: 0.28–0.51) and 1.687 (SE 0.214) for the full model, while the R2D and D for the reduced model were 0.37 (95% CI: 0.24–0.48) and 1.555 (SE 0.214), respectively. For the calibration plot, the prognostic model was well calibrated in the second and fourth quantiles while the first and third showed partial underestimation and overestimation of the probability of death at the later survival time, respectively (Figure 3).

3.5. Internal Validation

After internal validation, the apparent, test, and optimism-adjusted values for Harrell’s C-statistic were 0.75 (95% CI: 0.74–0.75; Min 0.68; Max 0.83), 0.71 (95% CI: 0.71–0.71; Min 0.60; Max 0.74), and 0.04 (95% CI: 0.03–0.04), respectively. The optimism from Somers’ D, Royston R2D, and Royston D was 0.08 (95% CI: 0.07–0.09), 0.12 (95% CI: 0.11–0.13), and 0.41 (95% CI: 0.37–0.46), respectively. The shrinkage factor was estimated at 0.970. (Supplementary Table S5). The performance measures, including 95% CIs and ranges, showed high concordance with the complete case analysis, with only minimal variations (Supplementary Table S6).

3.6. Demonstration of Individual Predictions from the Model

From our dataset, we selected nine patients with different combinations of predictors to illustrate survival probabilities after 6, 12, and 18 months (Table 4). Each patient had a unique combination of variables, resulting in varied survival estimates. The survival prediction curves for each patient are shown in Figure 4. Patients without any poor prognostic factors have an estimated 18-month survival rate of 87.09% (95% CI: 78.68–92.34). In contrast, those with all poor prognostic factors have an estimated 18-month survival rate of only 2.13% (95% CI: 0.60–13.85). The results were consistent in the complete case analysis (Supplementary Table S7).
To enhance the applicability of the model, the beta coefficients from each predictor and baseline survival rates were extracted from the final model and incorporated into equations to calculate survival probabilities. These equations were implemented in a web application, which is publicly accessible at https://lung-ca-survival-prediction.streamlit.app/ (accessed on 1 August 2024).

4. Discussion

Nowadays, molecular-oriented treatment for advanced NSCLC is essential not only to enhance treatment response but also to extend patients’ survival [20]. EGFR-mutated NSCLC is highly prevalent in Thailand; however, access to EGFR-TKIs remains a significant challenge. Our study demonstrated an OS rate of 73.54% after 12 months and 55.56% after 18 months among patients treated with upfront EGFR-TKIs therapy. The majority (91%) of patients in this study received first-generation EGFR-TKIs, which aligns with findings from a multicenter retrospective cohort study in Thailand, where the OS of patients receiving EGFR-TKIs was reported to be 19.8 months [8]. Several landmark trials have shown that the median OS for first-generation EGFR-TKIs ranged from 22.8 to 36 months [7,21,22]. However, in this study, the median OS has not yet been reached.
Several studies have identified various prognostic factors influencing outcomes in advanced NSCLC [23]. To our knowledge, both cancer-related and host factors play a crucial role in determining the survival of NSCLC patients [24]. This study identified several poor prognostic factors that were independently associated with death at 18 months in patients with advanced EGFR-mutated NSCLC treated with EGFR-TKI, based on univariable analysis. These factors included low BMI group, contralateral lung metastasis, bone metastasis, low hemoglobin, high PMN, PLR ≤ 200, NLR ≥ 5, high Cr, AGR < 1, and MPA size ≥ 29 mm. After backward elimination, the prediction model was created using five prognostic factors as follows: BMI group, presence of bone metastasis, NLR ≥ 5, AGR < 1, MPA size ≥ 29 mm.
Using backward elimination, a prediction model was developed with five key prognostic factors: BMI, presence of bone metastasis, NLR ≥ 5, AGR < 1, and MPA size ≥ 29 mm. Clinically, BMI was a significant predictor of survival. Patients with a BMI < 18.5 had a significantly worse prognosis (HR 1.34), whereas those with a BMI ≥ 23 had a more favorable outcome (HR 0.52). This finding is consistent with the study by Evcil FY et al., which reported that underweight patients with advanced EGFR-mutated NSCLC had 2.08-fold (95% CI: 1.05–4.14) higher risk of death compared to those with normal weight [25]. Similarly, a pooled analysis of 29,217 lung cancer patients (35% with advanced disease) found that underweight patients at diagnosis had worse OS than those with normal weight (HR 1.56, 95% CI: 1.43–1.70) [26].
The presence of bone metastasis is a well-established indicator of poor prognosis in patients with various type of cancer, including lung cancer. In lung cancer patients with bone metastasis, the median OS has been reported as approximately 6–7 months, with the 1-year survival rate ranging from 12% to 30% [27,28]. Consistently, this study identified bone metastasis as a significant factor associated with reduced OS, with an HR of 2.08. A study on a Chinese cohort of patients with bone metastasis NSCLC reported poor OS, with an HR of 1.38, which was associated with poor PFS outcomes [10]. Moreover, the presence of multiple-bone metastasis was significantly associated with shorter OS compared to single-bone metastasis [29]. In contrast, other metastasis sites and mutational subtype were not identified as significant prognostic factors in this study. Regarding laboratory parameters, high NLR (NLR ≥ 5) was associated with poor prognosis, aligning with previous studies [30,31]. Additionally, a low AGR (AGR < 1) was also linked to worse prognosis. This finding was consistent with a meta-analysis showing that a low pre-treatment AGR was significantly associated with poor OS in lung cancer patients (HR = 1.88, 95% CI: 1.49–2.38, p < 0.001) [32]. Two retrospective studies further supported the prognostic value of AGR. One study from Turkey reported that in advanced adenocarcinoma of the lung, an AGR < 1.01 prior to chemotherapy was a significant predictor of long-term mortality [33]. Another study from China demonstrated that low AGR was significantly associated with poor OS and PFS [10]. Notably, even in early-stage NSCLC, an AGR less than 1.51 was identified as an independent prognostic factor for OS (HR = 3.424 (95% CI: 1.600–7.331, p = 0.002) [34]. Given these findings, both AGR and NLR may serve as valuable surrogate biomarkers for predicting mortality. Furthermore, an increase in the serum albumin level and a reduction in NLR following treatment may indicate improved survival outcomes in patients with advanced NSCLC [35].
The identification of relevant parameters from CT imaging is relatively straightforward, given its routine use in staging and monitoring treatment response in lung cancer patients. Among these parameters, the size of the MPA is particularly significant, as chronic pulmonary conditions such as COPD, especially prevalent among smokers, are recognized risk factors for lung cancer [14]. Although lung cancers with EGFR mutation are generally less associated with smoking, this study found that an MPA size ≥ 29 mm was significantly associated with increased 18-month mortality (HR 2.74). This cutoff value was selected based on its high sensitivity in identifying pulmonary hypertension confirmed by right heart catheterization (RHC) [36]. Furthermore, both PA enlargement and elevated pulmonary artery systolic pressure (PASP) were associated with reduced OS in lung cancer patients (HR 1.705, 95% CI: 1.296–2.243). According to that report, the primary predictors of elevated PASP were advanced age, coagulation disorder, and intra-pulmonary metastasis [37]. However, this study found no difference in age and intra-pulmonary metastasis between dead and surviving groups.
The National Cancer Institute of Canada Clinical Trials Group Study BR.21 identified ten factors associated with poor OS in EGFR-mutated NSCLC patients treated with erlotinib [38]. These included smoking history, performance status, weight loss, anemia, elevated lactate dehydrogenase levels, response to prior chemotherapy, time from diagnosis, number of prior treatment regimens, EGFR copy number, and ethnicity. However, the study population was heterogeneous, and EGFR-TKI was administered as a second- or later-line therapy, which does not align with current clinical practice, wherein EGFR-TKIs are recommended as first-line treatment in patients with this activating mutation.
A prognostic model developed by Du et al. [38,39,40] in a Chinese cohort incorporated ECOG performance status, EGFR mutation subtype, EGFR co-mutations, presence of liver metastasis, and malignant pleural effusion to predict PFS. However, the prognostic factors identified in their study differed from those in ours. Notably, our model demonstrated a higher C-statistic, indicating superior predictive performance compared to the previously proposed model. Additionally, a Korean cohort study developed a nomogram for predicting PFS in EGFR-mutated NSCLC [38,40]. The model included five factors: de novo metastatic disease at presentation, response to EGFR-TKI, ECOG performance status, and treatment line of EGFR-TKI. While the model demonstrated good discriminative ability with a C-index of 0.708, its applicability may be limited by the inclusion of patients receiving EGFR-TKIs in various treatment lines (first to third line), potentially diminishing its relevance to current first-line treatment settings.
To date, several studies have evaluated the prognostic factors and developed predictive models to enhance accuracy and reliability across various subtypes of lung cancer [41,42]. Building on this foundation, the present study introduced a robust prognostic model based on a readily available clinical variables, including pretreatment characteristics, laboratory results, and chest CT parameters. Our model integrated five key predictive factors and demonstrated strong predictive performance, with satisfactory discriminative power and calibration. Notably, it offered practical and reliable tool for predicting 18-month survival in patients with EGFR-mutated NSCLC undergoing EGFR-TKI therapy.

Limitation

This study was a single-center retrospective cohort analysis. Nonetheless, the data were obtained from a large, well-characterized lung cancer cohort at a university medical center, with high-quality clinical, laboratory, and imaging data contributing to this study’s reliability. While third-generation EGFR-TKIs are now the global standard for first-line treatment due to their superior overall survival and progression-free survival outcomes, the majority of patients in our cohort received first-generation EGFR-TKIs, primarily due to reimbursement constraints. Consequently, the model’s predictive performance may not fully reflect outcomes in patients treated with newer-generation agents. Future study should externally validate this prognostic model in the larger, multicenter cohort, particularly among patients receiving third-generation EGFR-TKIs as first-line therapy.

5. Conclusions

The prognostic model developed from fundamental clinical and radiologic parameters demonstrated promising utility in predicting 18-month mortality in patients with advanced EGFR-mutated NSCLC receiving first-line EGFR-TKI therapy. By providing individualized risk stratification based on accessible pre-treatment data, this model could support clinicians in optimizing patient assessment, guiding treatment decisions, and facilitating informed prognostic discussions. Its integration into clinical practice has the potential to enhance personalized care and ultimately improve patient outcomes.

Supplementary Materials

The following supporting information can be downloaded at: https://www.mdpi.com/article/10.3390/cancers17152565/s1, Table S1: Sample size calculation per group [14,16,31,32,43]; Table S2: Mutational subtypes; Table S3: Estimated log hazard ratios in the full and reduced multivariable flexible parametric regression models; Table S4: Estimated hazard ratios in the full and reduced multivariable flexible parametric regression models using complete case analysis; Table S5: Performance measures from internal validation of 200 bootstrap samples; Table S6: Performance measures from internal validation of 200 bootstrap samples using complete case analysis; Table S7: Demonstration of the model-estimated survival probability at each time point from nine sample patient, estimated from complete case analysis.

Author Contributions

Conceptualization, T.K. (Thanika Ketpueak), P.L., T.K. (Thanat Kanthawang), and P.T.; methodology, T.K. (Thanika Ketpueak), P.L., T.K. (Thanat Kanthawang), and P.T.; software, T.K. (Thanika Ketpueak), P.L., T.K. (Thanat Kanthawang), and P.T.; validation, T.K. (Thanika Ketpueak), P.L., T.K. (Thanat Kanthawang), and P.T.; formal analysis, T.K. (Thanika Ketpueak), P.L., T.K. (Thanat Kanthawang), P.P. (Pakorn Prakaikietikul), L.L., P.P. (Phichayut Phinyo), and P.T.; investigation, T.K. (Thanika Ketpueak), P.L., T.K. (Thanat Kanthawang), P.P. (Pakorn Prakaikietikul), and P.T.; resources, T.K. (Thanika Ketpueak), P.L., T.K. (Thanat Kanthawang), P.P. (Pakorn Prakaikietikul), and P.T.; data curation, T.K. (Thanika Ketpueak) and P.P. (Pakorn Prakaikietikul); writing—original draft preparation, T.K. (Thanika Ketpueak), P.L., T.K. (Thanat Kanthawang), P.P. (Pakorn Prakaikietikul), and P.T.; writing—review and editing, T.K. (Thanika Ketpueak), P.L., T.K. (Thanat Kanthawang), P.P. (Pakorn Prakaikietikul), L.L., P.P. (Phichayut Phinyo), and P.T.; visualization, P.T.; supervision, P.T.; project administration, P.T.; funding acquisition, P.T. All authors have read and agreed to the published version of the manuscript.

Funding

This work was supported by the Faculty of Medicine, Chiang Mai university [grant number 060/2567].

Institutional Review Board Statement

This study was approved by The Research Ethics Committee of Faculty of Internal Medicine, Chiang Mai University. (Research ID: 9423 Study code: MED-2566-09423 and Approval ID: 084-2023. The approval was granted on 15 March 2023.)

Informed Consent Statement

Patient consent was waived because data were obtained from existing databases, and no participants were contacted. All methods employed in this project were in compliance with relevant guidelines and regulations. This consent waiving was approved by the Research Ethics Committee of the Faculty of Medicine at Chiang Mai University.

Data Availability Statement

The data that support the findings of this study are available from the corresponding author, PT, pattraporn.t@cmu.ac.th, upon reasonable request. The data are not publicly available due to privacy or ethical restrictions.

Acknowledgments

We would like to acknowledge Juthamas Inchai and Areerat Kittikhunakon for their valuable assistance in participant identification using ICD-10 codes and prescription data extracted from the CMU Hospital database, as well as updating vital status information from civil registration records.

Conflicts of Interest

The authors declare no potential conflicts of interest in the research, authorship, and publication of this article.

Abbreviations

EGFRepidermal growth factor receptor
NSCLCnon-small cell lung cancer
TKIstyrosine kinase inhibitors
OSoverall survival
PSperformance status
LDHlactate dehydrogenase
NLRneutrophil-to-lymphocyte ratio
CRPC-reactive protein
COPDchronic obstructive pulmonary disease
DFSdisease-free survival
CTcomputed tomography
CACcoronary artery calcium
PA/Aopulmonary artery-to-aorta
ECOG-PSEastern Cooperative Oncology Group Performance Status
CBCcomplete blood count
Crcreatinine
LFTliver function test
PLRplatelet-to-lymphocyte ratio
AGRalbumin-to-globulin ratio
BMIbody mass index
MPAmain pulmonary artery
AOaorta
PACSPicture Archiving and Communication System
PHIprotected health information
SDstandard deviation
IQRinterquartile range
HRhazard ratio
kNNk-nearest neighbor
RPRoyston–Parmar
AICAkaike Information Criterion
BICBayesian Information Criterion

References

  1. Sung, H.; Ferlay, J.; Siegel, R.L.; Laversanne, M.; Soerjomataram, I.; Jemal, A.; Bray, F. Global Cancer Statistics 2020: GLOBOCAN Estimates of Incidence and Mortality Worldwide for 36 Cancers in 185 Countries. CA Cancer J. Clin. 2021, 71, 209–249. [Google Scholar] [CrossRef]
  2. Reungwetwattana, T.; Oranratnachai, S.; Puataweepong, P.; Tangsujaritvijit, V.; Cherntanomwong, P. Lung Cancer in Thailand. J. Thorac. Oncol. 2020, 15, 1714–1721. [Google Scholar] [CrossRef]
  3. Planchard, D.; Popat, S.; Kerr, K.; Novello, S.; Smit, E.F.; Faivre-Finn, C.; Mok, T.S.; Reck, M.; Van Schil, P.E.; Hellmann, M.D.; et al. Metastatic non-small cell lung cancer: ESMO Clinical Practice Guidelines for diagnosis, treatment and follow-up. Ann. Oncol. 2018, 29, iv192–iv237. [Google Scholar] [CrossRef]
  4. Calvayrac, O.; Pradines, A.; Pons, E.; Mazières, J.; Guibert, N. Molecular biomarkers for lung adenocarcinoma. Eur. Respir. J. 2017, 49, 1601734. [Google Scholar] [CrossRef]
  5. Castellanos, E.; Feld, E.; Horn, L. Driven by Mutations: The Predictive Value of Mutation Subtype in EGFR-Mutated Non-Small Cell Lung Cancer. J. Thorac. Oncol. 2017, 12, 612–623. [Google Scholar] [CrossRef]
  6. Ettinger, D.S.; Wood, D.E.; Aisner, D.L.; Akerley, W.; Bauman, J.R.; Bharat, A.; Bruno, D.S.; Chang, J.Y.; Chirieac, L.R.; D’Amico, T.A.; et al. Non-Small Cell Lung Cancer, Version 3.2022, NCCN Clinical Practice Guidelines in Oncology. J. Natl. Compr. Cancer Netw. 2022, 20, 497–530. [Google Scholar] [CrossRef]
  7. Ramalingam, S.S.; Vansteenkiste, J.; Planchard, D.; Cho, B.C.; Gray, J.E.; Ohe, Y.; Zhou, C.; Reungwetwattana, T.; Cheng, Y.; Chewaskulyong, B.; et al. Overall Survival with Osimertinib in Untreated, EGFR-Mutated Advanced NSCLC. N. Engl. J. Med. 2020, 382, 41–50. [Google Scholar] [CrossRef]
  8. Sukauichai, S.; Maneenil, K.; Supavavej, A.; Paul, V.; Benjawongsathien, D.; Chantharakhit, C.; Neesanun, S.; Chayangsu, C.; Bowornkitiwong, T.; Sukaraphat, N. EGFR Mutation-positive Lung Cancer in Real-world Treatment Outcomes: A Multicenter Study from Thailand. Asian Pac. J. Cancer Care 2022, 7, 643–650. [Google Scholar] [CrossRef]
  9. Gong, J.; Xu, L.; Li, Z.; Hu, X.; Liu, J.; Teng, Y.; Jin, B.; Zhao, M.; Shi, J.; Guo, T.; et al. A Clinical Prognostic Score to Predict Survival of Advanced or Metastatic Non-Small Cell Lung Cancer (NSCLC) Patients Receiving First-Line Chemotherapy: A Retrospective Analysis. Med. Sci. Monit. 2018, 24, 8264–8271. [Google Scholar] [CrossRef] [PubMed]
  10. Lu, P.; Ma, Y.; Wei, S.; Liang, X. A Low Albumin-to-Globulin Ratio Predicts a Poor Prognosis in Patients with Metastatic Non-small-cell Lung Cancer. Front. Med. 2021, 8, 621592. [Google Scholar] [CrossRef] [PubMed]
  11. Ogura, Y.; Kataoka, N.; Kunimatsu, Y.; Tachibana, Y.; Sugimoto, T.; Tani, N.; Sato, I.; Hirose, K.; Kato, D.; Takeda, T. Predictors of survival among Japanese patients receiving first-line chemoimmunotherapy for advanced non-small cell lung cancer. Thorac. Cancer 2021, 12, 97–105. [Google Scholar] [CrossRef]
  12. Lee, C.K.; Wu, Y.L.; Ding, P.N.; Lord, S.J.; Inoue, A.; Zhou, C.; Mitsudomi, T.; Rosell, R.; Pavlakis, N.; Links, M.; et al. Impact of Specific Epidermal Growth Factor Receptor (EGFR) Mutations and Clinical Characteristics on Outcomes After Treatment with EGFR Tyrosine Kinase Inhibitors Versus Chemotherapy in EGFR-Mutant Lung Cancer: A Meta-Analysis. J. Clin. Oncol. 2015, 33, 1958–1965. [Google Scholar] [CrossRef]
  13. Lin, J.H.; Lin, D.; Xu, L.; Wang, Q.; Hu, H.H.; Xu, H.P.; He, Z.Y. The association between clinical prognostic factors and epidermal growth factor receptor-tyrosine kinase inhibitor (EGFR-TKI) efficacy in advanced non-small-cell lung cancer patients: A retrospective assessment of 94 cases with EGFR mutations. Oncotarget 2017, 8, 3412–3421. [Google Scholar] [CrossRef]
  14. Gao, Y.H.; Guan, W.J.; Liu, Q.; Wang, H.Q.; Zhu, Y.N.; Chen, R.C.; Zhang, G.J. Impact of COPD and emphysema on survival of patients with lung cancer: A meta-analysis of observational studies. Respirology 2016, 21, 269–279. [Google Scholar] [CrossRef]
  15. Yang, M.; Shen, Y.; Tan, L.; Li, W. Prognostic Value of Sarcopenia in Lung Cancer: A Systematic Review and Meta-analysis. Chest 2019, 156, 101–111. [Google Scholar] [CrossRef]
  16. Tahir, I.; Marquardt, J.P.; Mercaldo, N.D.; Bourgouin, P.P.; Wrobel, M.M.; Mrah, S.; Sharp, G.C.; Khandekar, M.J.; Willers, H.; Keane, F.K.; et al. Utility of Noncancerous Chest CT Features for Predicting Overall Survival and Noncancer Death in Patients With Stage I Lung Cancer Treated With Stereotactic Body Radiotherapy. AJR Am. J. Roentgenol. 2022, 219, 579–589. [Google Scholar] [CrossRef] [PubMed]
  17. Rinaldi, L.; Guerini Rocco, E.; Spitaleri, G.; Raimondi, S.; Attili, I.; Ranghiero, A.; Cammarata, G.; Minotti, M.; Lo Presti, G.; De Piano, F.; et al. Association between Contrast-Enhanced Computed Tomography Radiomic Features, Genomic Alterations and Prognosis in Advanced Lung Adenocarcinoma Patients. Cancers 2023, 15, 4553. [Google Scholar] [CrossRef] [PubMed]
  18. Zhang, X.; Lu, B.; Yang, X.; Lan, D.; Lin, S.; Zhou, Z.; Li, K.; Deng, D.; Peng, P.; Zeng, Z.; et al. Prognostic analysis and risk stratification of lung adenocarcinoma undergoing EGFR-TKI therapy with time-serial CT-based radiomics signature. Eur. Radiol. 2023, 33, 825–835. [Google Scholar] [CrossRef] [PubMed]
  19. Kowarik, A.; Templ, M. Imputation with the R Package VIM. J. Stat. Softw. 2016, 74, 1–16. [Google Scholar] [CrossRef]
  20. Arbour, K.C.; Riely, G.J. Systemic Therapy for Locally Advanced and Metastatic Non-Small Cell Lung Cancer: A Review. JAMA 2019, 322, 764–774. [Google Scholar] [CrossRef]
  21. Kobayashi, K.; Hagiwara, K. Epidermal growth factor receptor (EGFR) mutation and personalized therapy in advanced nonsmall cell lung cancer (NSCLC). Target. Oncol. 2013, 8, 27–33. [Google Scholar] [CrossRef] [PubMed]
  22. Zhou, C.; Wu, Y.L.; Chen, G.; Feng, J.; Liu, X.Q.; Wang, C.; Zhang, S.; Wang, J.; Zhou, S.; Ren, S.; et al. Final overall survival results from a randomised, phase III study of erlotinib versus chemotherapy as first-line treatment of EGFR mutation-positive advanced non-small-cell lung cancer (OPTIMAL, CTONG-0802). Ann. Oncol. 2015, 26, 1877–1883. [Google Scholar] [CrossRef]
  23. Rocco, D.; Della Gravara, L.; Ragone, A.; Sapio, L.; Naviglio, S.; Gridelli, C. Prognostic Factors in Advanced Non-Small Cell Lung Cancer Patients Treated with Immunotherapy. Cancers 2023, 15, 4684. [Google Scholar] [CrossRef]
  24. Zhao, D.; Chen, X.; Qin, N.; Su, D.; Zhou, L.; Zhang, Q.; Li, X.; Zhang, X.; Jin, M.; Wang, J. The prognostic role of EGFR-TKIs for patients with advanced non-small cell lung cancer. Sci. Rep. 2017, 7, 40374. [Google Scholar] [CrossRef]
  25. Evcil, F.Y.; Önal, Ö.; Özkan, E.E. The Effect of Body Mass Index on Survival in Lung Cancer. Nutr. Cancer 2023, 75, 857–866. [Google Scholar] [CrossRef]
  26. Shepshelovich, D.; Xu, W.; Lu, L.; Fares, A.; Yang, P.; Christiani, D.; Zhang, J.; Shiraishi, K.; Ryan, B.M.; Chen, C.; et al. Body Mass Index (BMI), BMI Change, and Overall Survival in Patients With SCLC and NSCLC: A Pooled Analysis of the International Lung Cancer Consortium. J. Thorac. Oncol. 2019, 14, 1594–1607. [Google Scholar] [CrossRef]
  27. Cetin, K.; Christiansen, C.F.; Jacobsen, J.B.; Nørgaard, M.; Sørensen, H.T. Bone metastasis, skeletal-related events, and mortality in lung cancer patients: A Danish population-based cohort study. Lung Cancer 2014, 86, 247–254. [Google Scholar] [CrossRef]
  28. Sugiura, H.; Yamada, K.; Sugiura, T.; Hida, T.; Mitsudomi, T. Predictors of survival in patients with bone metastasis of lung cancer. Clin. Orthop. Relat. Res. 2008, 466, 729–736. [Google Scholar] [CrossRef]
  29. Knapp, B.J.; Devarakonda, S.; Govindan, R. Bone metastases in non-small cell lung cancer: A narrative review. J. Thorac. Dis. 2022, 14, 1696–1712. [Google Scholar] [CrossRef] [PubMed]
  30. Cedrés, S.; Torrejon, D.; Martínez, A.; Martinez, P.; Navarro, A.; Zamora, E.; Mulet-Margalef, N.; Felip, E. Neutrophil to lymphocyte ratio (NLR) as an indicator of poor prognosis in stage IV non-small cell lung cancer. Clin. Transl. Oncol. 2012, 14, 864–869. [Google Scholar] [CrossRef] [PubMed]
  31. Yun, N.K.; Rouhani, S.J.; Bestvina, C.M.; Ritz, E.M.; Gilmore, B.A.; Tarhoni, I.; Borgia, J.A.; Batus, M.; Bonomi, P.D.; Fidler, M.J. Neutrophil-to-Lymphocyte Ratio Is a Predictive Biomarker in Patients with Epidermal Growth Factor Receptor (EGFR) Mutated Advanced Non-Small Cell Lung Cancer (NSCLC) Treated with Tyrosine Kinase Inhibitor (TKI) Therapy. Cancers 2021, 13, 1426. [Google Scholar] [CrossRef] [PubMed]
  32. Li, J.; Wang, Y.; Wu, Y.; Li, J.; Che, G. Prognostic Value of Pretreatment Albumin to Globulin Ratio in Lung Cancer: A Meta-Analysis. Nutr. Cancer 2021, 73, 75–82. [Google Scholar] [CrossRef]
  33. Duran, A.O.; Inanc, M.; Karaca, H.; Dogan, I.; Berk, V.; Bozkurt, O.; Ozaslan, E.; Ucar, M.; Eroglu, C.; Ozkan, M. Albumin-globulin ratio for prediction of long-term mortality in lung adenocarcinoma patients. Asian Pac. J. Cancer Prev. 2014, 15, 6449–6453. [Google Scholar] [CrossRef]
  34. Wang, Y.; Li, S.; Hu, X.; Wang, Y.; Wu, Y.; Li, P.; Che, G. The prognostic value of serum albumin-globulin ratio in early-stage non-small cell lung cancer: A retrospective study. Cancer Manag. Res. 2019, 11, 3545–3554. [Google Scholar] [CrossRef]
  35. Lee, Y.; Kim, S.H.; Han, J.Y.; Kim, H.T.; Yun, T.; Lee, J.S. Early neutrophil-to-lymphocyte ratio reduction as a surrogate marker of prognosis in never smokers with advanced lung adenocarcinoma receiving gefitinib or standard chemotherapy as first-line therapy. J. Cancer Res. Clin. Oncol. 2012, 138, 2009–2016. [Google Scholar] [CrossRef]
  36. Ratanawatkul, P.; Oh, A.; Richards, J.C.; Swigris, J.J. Performance of pulmonary artery dimensions measured on high-resolution computed tomography scan for identifying pulmonary hypertension. ERJ Open Res. 2020, 6, 00232–02019. [Google Scholar] [CrossRef]
  37. Yang, X.; Wang, L.; Lin, L.; Liu, X. Elevated Pulmonary Artery Systolic Pressure is Associated with Poor Survival of Patients with Non-Small Cell Lung Cancer. Cancer Manag. Res. 2020, 12, 6363–6371. [Google Scholar] [CrossRef]
  38. Florescu, M.; Hasan, B.; Seymour, L.; Ding, K.; Shepherd, F.A. A Clinical Prognostic Index for Patients Treated with Erlotinib in National Cancer Institute of Canada Clinical Trials Group Study BR.21. J. Thorac. Oncol. 2008, 3, 590–598. [Google Scholar] [CrossRef] [PubMed]
  39. Du, X.; Bai, H.; Wang, Z.; Daun, J.; Liu, Z.; Xu, J.; Chang, G.; Zhu, Y.; Wang, J. Establishment of prognostic nomograms for predicting the progression free survival of EGFR-sensitizing mutation, advanced lung cancer patients treated with EGFR-TKIs. Thorac. Cancer 2022, 13, 1289–1298. [Google Scholar] [CrossRef]
  40. Keam, B.; Kim, D.W.; Park, J.H.; Lee, J.O.; Kim, T.M.; Lee, S.H.; Chung, D.H.; Heo, D.S. Nomogram Predicting Clinical Outcomes in Non-small Cell Lung Cancer Patients Treated with Epidermal Growth Factor Receptor Tyrosine Kinase Inhibitors. Cancer Res. Treat. 2014, 46, 323–330. [Google Scholar] [CrossRef] [PubMed]
  41. Jafri, S.H.; Shi, R.; Mills, G. Advance lung cancer inflammation index (ALI) at diagnosis is a prognostic marker in patients with metastatic non-small cell lung cancer (NSCLC): A retrospective review. BMC Cancer 2013, 13, 158. [Google Scholar] [CrossRef] [PubMed]
  42. Kang, H.S.; Shin, A.Y.; Yeo, C.D.; Kim, S.K.; Park, C.K.; Kim, J.S.; Kim, S.J.; Lee, S.H.; Kim, J.W. Significance of Glasgow Prognostic Scores in NSCLC Patients Treated With Immunotherapy After Platinum-based Cytotoxic Chemotherapy. In Vivo 2021, 35, 3423–3430. [Google Scholar] [CrossRef] [PubMed]
  43. Kos, M.; Hocazade, C.; Kos, F.T.; Uncu, D.; Karakaş, E.; Dogan, M.; Yildirim Gökay, N.; Zengin, N. Association between blood urea nitrogen/albumin ratio and prognosis in non-small cell lung cancer. Acta Medica Mediterr. 2015, 31, 219–223. [Google Scholar]
Figure 1. Study flow diagram.
Figure 1. Study flow diagram.
Cancers 17 02565 g001
Figure 2. Kaplan–Meier curves visualizing differences in survival distribution among patients with and without prognostic factors. AGR, albumin-to-globulin ratio; MPA, main pulmonary artery (mm); NLR, neutrophil-to-lymphocyte ratio; PLR, platelet-to-lymphocyte ratio.
Figure 2. Kaplan–Meier curves visualizing differences in survival distribution among patients with and without prognostic factors. AGR, albumin-to-globulin ratio; MPA, main pulmonary artery (mm); NLR, neutrophil-to-lymphocyte ratio; PLR, platelet-to-lymphocyte ratio.
Cancers 17 02565 g002
Figure 3. Calibration plots compare the model-predicted risk and the observed outcomes against one another within each of the risk quantiles.
Figure 3. Calibration plots compare the model-predicted risk and the observed outcomes against one another within each of the risk quantiles.
Cancers 17 02565 g003
Figure 4. Individual prediction curves of nine randomly selected patients from the study cohort.
Figure 4. Individual prediction curves of nine randomly selected patients from the study cohort.
Cancers 17 02565 g004
Table 1. Clinical characteristics of patient cohort.
Table 1. Clinical characteristics of patient cohort.
Clinical CharacteristicsResultsMissing
N, (%)
Hazard Ratio *
(95% CI)
6-Month Survival,
% (95% CI)
12-Month Survival,
% (95% CI)
18-Month Survival,
% (95% CI)
p-Value **
Age (years), mean (SD)64.81 (10.76)01.00
(0.98–1.02)
---0.809
Age group, N (%) 0
   Age < 60 years56 (29.63)-Reference94.64
(84.30–98.24)
78.57
(65.36–87.22)
53.57
(39.75–65.55)
0.997
  Age ≥ 60 years133 (70.37)-1.00
(0.63–1.59)
81.95
(74.30–87.52)
71.43
(62.93–78.31)
56.39
(47.54–64.32)
Male, N (%)65 (34.39)01.46
(0.95–2.26)
84.62
(73.29–91.41)
66.15
(53.29–76.24)
47.69
(35.20–59.16)
0.080
BMI (kg/m2), mean (SD)22.38 (4.05)00.90
(0.85–0.96)
---0.001
BMI group, N (%) 0
  <18.527 (14.29)-1.95
(1.12–3.39)
85.19
(65.20–94.17)
48.15
(28.69–65.19)
29.63
(14.06–47.03)
0.001
  18.5–22.984 (44.44)-Reference83.33
(73.49–89.77)
72.62
(61.74–80.88)
54.76
(43.54–64.66)
  ≥2378 (41.27)-0.69
(0.42–1.12)
88.46
(79.00–93.82)
83.33
(73.04–89.96)
65.38
(53.72–74.79)
ECOG-PS, N (%) 0
  0–1183 (96.83)-Reference85.79
(79.84–90.10)
74.32
(67.34–80.03)
55.74
(48.24–62.58)
0.641
  2–36 (3.17) 1.31
(0.41–4.15)
83.33
(27.31–97.47)
50.00
(11.09–80.37)
50.00
(11.09–80.37)
Smoking, N (%) 0
  Never119 (62.96)-Reference86.55
(78.99–91.54)
75.63
(66.87–82.38)
58.82
(49.44–67.05)
0.196
  Yes70 (37.04)-1.32
(0.86–2.04)
84.29
(73.42–90.97)
70.00
(57.79–79.29)
50.00
(37.84–61.00)
Comorbid disease, N (%)107 (56.61)00.72
(0.47–1.11)
83.18
(74.64–89.05)
77.57
(68.43–84.36)
60.75
(50.84–69.27)
0.131
  COPD6 (3.17)-1.86
(0.68–5.10)
66.67
(19.46–90.44)
66.67
(19.46–90.44)
33.33
(4.61–67.56)
0.208
  Hypertension82 (43.39)-0.74
(0.47–1.15)
82.93
(72.88–89.51)
76.83
(66.11–84.54)
62.20
(50.79–71.69)
0.169
  Diabetes Mellitus31 (16.40)-1.06
(0.60–1.89)
80.65
(61.91–90.80)
70.97
(51.62–83.71)
54.84
(35.97–70.26)
0.833
  Other cancers9 (4.76)-0.41
(0.10–1.67)
88.89
(43.30–98.36)
88.89
(43.30–98.36)
77.78
(36.48–93.93)
0.191
TKI, N (%) 0
  Gefitinib91 (48.15)-Reference84.62
(75.41–90.59)
73.63
(63.29–81.47)
54.95
(44.17–64.47)
0.540
  Erlotinib81 (42.86)-0.99
(0.63–1.54)
85.19
(75.39–91.30)
70.37
(59.14–79.05)
54.32
(42.89–64.41)
  Afatinib7 (3.70)-1.10
(0.39–3.06)
100 (NA)85.71
(33.41–97.86)
42.86
(9.78–73.44)
  Osimertinib10 (5.29)-0.37
(0.09–1.54)
90.00
(47.30–98.53)
90.00
(47.30–98.53)
80.00
(40.87–94.59)
Characteristics of cancer
Staging of NSCLC, N (%) 0
  Locally advanced 3 (1.59)-Reference100 (NA)100 (NA)66.67
(5.41–94.52)
0.569
  Advanced186 (98.41)-1.74
(0.24–12.53)
85.48
(79.55–89.81)
73.12
(66.13–78.90)
55.38
(47.94–62.18)
Site of metastasis, N (%) 0
  Multiple sites62 (32.80)-0.93
(0.59–1.47)
90.32
(79.72–95.53)
74.19
(61.38–83.32)
56.45
(43.25–67.70)
0.761
  Contralateral lung65 (34.39)-0.61
(0.37–1.00)
92.31
(82.50–96.72)
76.92
(64.67–85.39)
66.15
(53.29–76.24)
0.044
  Brain33 (17.46)-1.31
(0.77–2.23)
78.79
(60.59–89.27)
66.67
(47.94–79.96)
48.48
(30.83–64.06)
0.308
  Bone63 (33.33)-2.03
(1.32–3.12)
79.37
(67.13–87.46)
61.90
(48.76–72.60)
39.68
(27.67–51.43)
<0.001
  Liver17 (8.99)-0.55
(0.22–1.35)
100 (NA)94.12
(65.02–99.15)
70.59
(43.15–86.56)
0.175
  Adrenal9 (4.76)-1.54
(0.67–3.54)
88.89
(43.30–98.36)
66.67
(28.17–87.83)
33.33
(7.83–62.26)
0.295
  Pleural82 (43.39)-0.98
(0.63–1.51)
85.37
(75.67–91.41)
73.17
(62.18–81.44)
56.10
(44.71–66.03)
0.918
  Pericardial4 (2.12)-1.81
(0.57–5.75)
100 (NA)75.00
(12.79–96.05)
25.00
(0.89–66.53)
0.299
Abbreviations: CI, confidence interval; ECOG-PS, Eastern Cooperative Oncology Group performance status; NA, not available; NSCLC, non-small cell lung cancer; SD, standard deviation. * Hazard ratio from univariable Cox’s proportional hazard regression. ** p value was obtained from log-rank test for categorical variables, while continuous variables used p-value from Cox’s proportional hazard regression.
Table 2. Laboratory investigation and computer tomography (CT) findings.
Table 2. Laboratory investigation and computer tomography (CT) findings.
Laboratory CharacteristicsResultsMissing,
N (%)
Hazard Ratio *
(95% CI)
6-Month Survival,
% (95% CI)
12-Month Survival,
% (95% CI)
18-Month Survival,
% (95% CI)
p-Value **
Hemoglobin (g/dL), mean (SD)12.01 (1.76)2 (1.06)0.78
(0.69–0.90)
---<0.001
WBC (cells/mm3), mean (SD)8099.68 (2722.25)2 (1.06)1.00
(1.00–1.00)
---0.548
PMN (%), mean (SD)66.84 (10.70)2 (1.06)1.04
(1.02–1.06)
---<0.001
Lymphocyte (%), mean (SD)23.43 (11.21)2 (1.06)0.95
(0.93–0.98)
---<0.001
PLT (×103 cells/mm3), mean (SD)329.91 (112.31)2 (1.06)1.00
(1.00–1.00)
---0.166
PLR (plt/lymph ratio), med (IQR)194.92
(135.14–279.14)
2 (1.06)1.00
(1.00–1.00)
---<0.001
PLR group, N (%) 2 (1.06)
  PLR ≤ 20097 (51.87)-Reference89.69
(81.69–94.32)
84.54
(75.67–90.37)
67.01
(56.70–75.39)
<0.001
  PLR > 20090 (48.13)-2.14
(1.37–3.33)
82.22
(72.63–88.71)
62.22
(51.37–71.32)
43.33
(32.95–53.24)
NLR (neu/lymph ratio), med (IQR)3.05 (2.00–4.62)2 (1.06)1.07
(1.03–1.10)
---<0.001
NLR group, N (%) 2 (1.06)
  NLR < 5148 (79.14)-Reference89.86
(83.75–93.76)
81.08
(73.79–86.53)
61.49
(53.15–68.78)
<0.001
  NLR ≥ 539 (20.86)-2.55
(1.60–4.06)
71.79
(54.88–83.28)
46.15
(30.16–60.73)
33.33
(19.29–48.02)
Bun (mg/dL), med (IQR) 11.00 (9–14)54 (28.57)0.97
(0.92–1.02)
---0.175
Cr, med (IQR) 0.75 (0.62–0.91)4 (2.12)0.27
(0.10–0.75)
---0.012
BUN/Alb ratio, med (IQR)2.41 (0–3.40)10 (5.29)1.05
(0.94–1.17)
---0.429
Albumin, mean (SD)3.92 (1.68)10 (5.29)0.34
(0.24–0.48)
---<0.001
AGR (alb/glob ratio), mean (SD)1.13 (0.44)16 (8.47)0.16
(0.07–0.41)
---<0.001
AGR group, N (%) 16 (8.42)
  AGR ≥ 1118 (68.21)-Reference91.53
(84.82–95.35)
83.045 (74.97–88.71)67.80
(58.55–75.41)
<0.001
  AGR < 155 (31.79)-2.57
(1.62–4.10)
78.18
(64.79–86.97)
54.55
(40.56–66.56)
38.18
(25.53–50.71)
CT finding characteristics
Emphysema20 (10.58)01.36
(0.72–2.56)
90.00
(65.60–97.40)
70.00
(45.05–85.25)
45.00
(23.11–64.71)
0.334
MPA size (mm), mean (SD)26.03 (3.93)01.09
(1.04–1.15)
---0.001
MPA group, N (%) 0
  MPA < 29 (mm)137 (72.11)-Reference88.24
(81.52–92.62)
77.21
(69.20–83.38)
63.24
(54.54–70.71)
<0.001
  MPA ≥ 29 (mm) 53 (28.04)-2.08
(1.34–3.21)
79.25
(65.66–87.93)
64.15
(49.73–75.42)
35.85
(6.59–48.57)
AO size (mm), mean (SD)31.05 (4.10)01.05
(1.00–1.11)
---0.054
MPA to AO ratio, mean (SD)0.84 (0.12)03.63
(0.71–18.54)
---0.121
Abbreviations: Alb, albumin; AO, aorta; CI, confidence interval; Glob, globulin; IQR, interquartile range; lymph, lymphocyte; Med, median; mm, millimeter; MPA, main pulmonary artery; neu, neutrophil; PLT, platelet; PMN, polymorphonuclear neutrophils; SD, standard deviation; WBC, white blood cell. * Hazard ratio from univariable Cox’s proportional hazard regression. ** p value was obtained from log-rank test for categorical variables, while continuous variables used p-value from Cox’s proportional hazard regression.
Table 3. Estimated hazard ratios in the full and reduced multivariable flexible parametric regression models.
Table 3. Estimated hazard ratios in the full and reduced multivariable flexible parametric regression models.
PredictorsFull ModelReduced Model
HR95% CIp ValueHR95% CIp Value
BMI group
  <18.51.350.75–2.450.3201.340.76–2.380.313
  18.5–22.91.00ReferenceNA1.00ReferenceNA
  ≥230.580.34–0.990.0450.520.31–0.880.015
Contralateral lung metastasis
  No1.00ReferenceNANot include
  Yes0.630.38–1.400.071
Bone metastasis
  No1.00ReferenceNA1.00ReferenceNA
  Yes1.931.21–3.050.0052.081.34–3.250.001
Hemoglobin (g/dL)0.930.80–1.070.310Not include
PMN (%)1.010.98–1.040.535Not include
PLR group
  PLR ≤ 2001.00ReferenceNANot include
  PLR > 2001.030.61–1.730.908
NLR group
  NLR < 51.00ReferenceNA1.00ReferenceNA
  NLR ≥ 51.660.83–3.310.1482.251.39–3.640.001
Cr0.590.24–1.400.230Not include
AGR group
  AGR ≥ 11.00ReferenceNA1.00ReferenceNA
  AGR < 11.961.21–3.160.0062.171.40–3.35<0.001
MPA group
  MPA < 29 (mm)1.00ReferenceNA1.00ReferenceNA
  MPA ≥ 29 (mm) 2.571.60–4.14<0.0012.741.72–4.36<0.001
Abbreviations: AGR, albumin-to-globulin ratio; CI, confidence interval; HR, hazard ratio; mm, millimeter; MPA, main pulmonary artery; NLR, neutrophil-to-lymphocyte ratio; PLR, platelet-to-lymphocyte ratio; PMN, polymorphonuclear neutrophils.
Table 4. Demonstration of the model-estimated survival probability at each time point from nine sample patient.
Table 4. Demonstration of the model-estimated survival probability at each time point from nine sample patient.
Input PredictorsModel Estimation of Survival Probability
(%, 95% CI)
No.BMI GroupsBone MetastasisNLR > 5AGR < 1MPA ≥ 296 Months12 Months18 Months
1≥23NoNoNoNo97.76
(95.43–98.90)
94.51
(89.90–97.05)
87.09
(78.68–92.34)
218.5–22.9NoNoNoNo95.75
(92.36–97.65)
89.75
(83.37–93.77)
76.76
(66.07–84.47)
3<18.5NoNoNoNo94.34
(88.30–97.31)
86.49
(75.07–92.92)
70.11
(51.35–82.77)
418.5–22.9NoNoNoYes88.78
(80.23–93.77)
74.35
(59.78–84.30)
48.43
(29.17–65.27)
518.5–22.9YesYesNoNo81.57
(67.55–89.96)
60.22
(39.25–75.96)
28.92
(10.49–50.52)
6<18.5NoYesYesNo75.24
(55.34–87.22)
49.26
(24.76–69.82)
17.69
(3.43–41.06)
7<18.5NoNoYesYes70.74
(49.57–84.30)
42.23
(19.32–63.64)
12.14
(1.75–33.35)
818.5–22.9YesYesYesNo64.31
(43.53–79.12)
33.32
(13.60–54.59)
6.80
(0.72–23.10)
9≥23YesYesYesYes53.15
(28.66–72.63)
20.73
(4.98–43.79)
2.13
(0.6–13.85)
Abbreviations: AGR, albumin-to-globulin ratio; CI, confidence interval; MPA, main pulmonary artery (mm); NLR, neutrophil-to-lymphocyte ratio.
Disclaimer/Publisher’s Note: The statements, opinions and data contained in all publications are solely those of the individual author(s) and contributor(s) and not of MDPI and/or the editor(s). MDPI and/or the editor(s) disclaim responsibility for any injury to people or property resulting from any ideas, methods, instructions or products referred to in the content.

Share and Cite

MDPI and ACS Style

Ketpueak, T.; Losuriya, P.; Kanthawang, T.; Prakaikietikul, P.; Lumkul, L.; Phinyo, P.; Tajarernmuang, P. Integrating Clinical and Imaging Markers for Survival Prediction in Advanced NSCLC Treated with EGFR-TKIs. Cancers 2025, 17, 2565. https://doi.org/10.3390/cancers17152565

AMA Style

Ketpueak T, Losuriya P, Kanthawang T, Prakaikietikul P, Lumkul L, Phinyo P, Tajarernmuang P. Integrating Clinical and Imaging Markers for Survival Prediction in Advanced NSCLC Treated with EGFR-TKIs. Cancers. 2025; 17(15):2565. https://doi.org/10.3390/cancers17152565

Chicago/Turabian Style

Ketpueak, Thanika, Phumiphat Losuriya, Thanat Kanthawang, Pakorn Prakaikietikul, Lalita Lumkul, Phichayut Phinyo, and Pattraporn Tajarernmuang. 2025. "Integrating Clinical and Imaging Markers for Survival Prediction in Advanced NSCLC Treated with EGFR-TKIs" Cancers 17, no. 15: 2565. https://doi.org/10.3390/cancers17152565

APA Style

Ketpueak, T., Losuriya, P., Kanthawang, T., Prakaikietikul, P., Lumkul, L., Phinyo, P., & Tajarernmuang, P. (2025). Integrating Clinical and Imaging Markers for Survival Prediction in Advanced NSCLC Treated with EGFR-TKIs. Cancers, 17(15), 2565. https://doi.org/10.3390/cancers17152565

Note that from the first issue of 2016, this journal uses article numbers instead of page numbers. See further details here.

Article Metrics

Back to TopTop