SLFN12 Expression Significantly Effects the Response to Chemotherapy Drugs in Triple-Negative Breast Cancer
Simple Summary
Abstract
1. Introduction
2. Methods and Materials
2.1. Cells and Reagents
2.2. Viral Constructs
2.3. RNA Isolation and qPCR
2.4. Cell Viability
2.5. Correlation Curves and Statistical Analysis
3. Results
3.1. SLFN Family mRNA Expression Variably Increases Following Chemotherapy and IFN-α2 Treatment Paired with the Loss of SLFN12
3.2. Chemotherapy, IFN-α2, and the Loss of SLFN12 Effectively Decreased TNBC Cell Viability
3.3. SLFN12 Signature Gene Response to Chemotherapy Agents
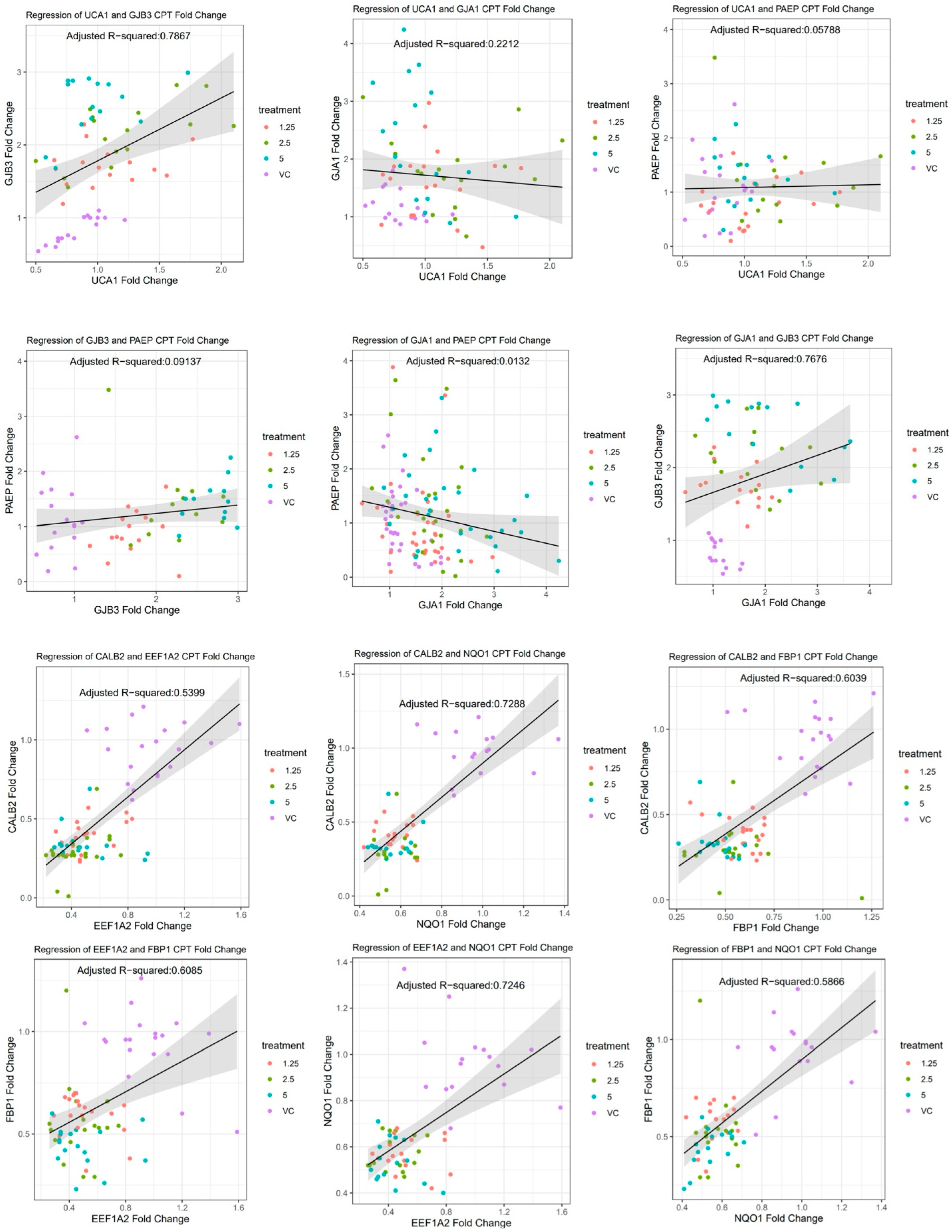
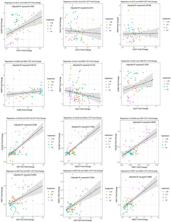
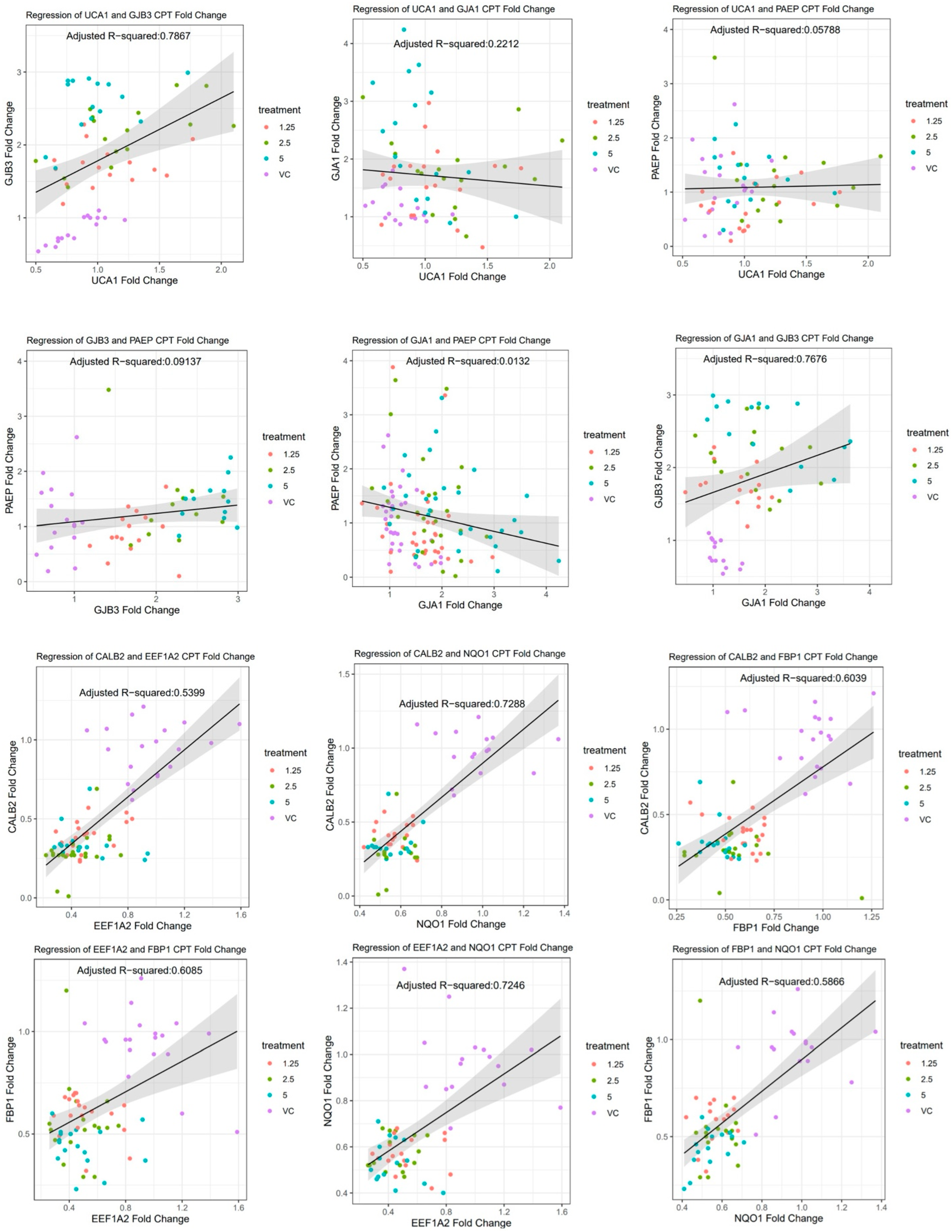
3.3.1. Camptothecin
3.3.2. Zoledronic Acid
3.3.3. Paclitaxel
3.3.4. Carboplatin
3.3.5. Correlative Effects of Chemotherapy Agents and SLFN12 Overexpression
4. Discussion
5. Conclusions
Supplementary Materials
Author Contributions
Funding
Institutional Review Board Statement
Informed Consent Statement
Data Availability Statement
Conflicts of Interest
References
- McIntosh, S.A.; Callaghan MBBChBAO, J.; Conti MBBS, I.; Carson MBBChBAO, V.; Davidson MBBChBAO, M.; Kargbo, S.; Lakshmipathy PGCert, G.; Maguire MBBChBAO, H.; McFerran, K.; Moore MBBChBAO, N.; et al. Global Funding for Cancer Research between 2016 and 2020: A Content Analysis of Public and Philanthropic Investments. Lancet Oncol. 2023, 24, 636–681. [Google Scholar] [CrossRef] [PubMed]
- Brown, S.R.; Vomhof-DeKrey, E.E. Current Immunotherapy Treatments of Primary Breast Cancer Subtypes. Biomedicines 2024, 12, 895. [Google Scholar] [CrossRef] [PubMed]
- Orrantia-Borunda, E.; Anchondo-Nuñez, P.; Acuña-Aguilar, L.E.; Gómez-Valles, F.O.; Ramírez-Valdespino, C.A. Subtypes of Breast Cancer. In Breast Cancer; Exon Publications: Brisbane, Australia, 2022; pp. 31–42. [Google Scholar] [CrossRef]
- Feng, Y.; Spezia, M.; Huang, S.; Yuan, C.; Zeng, Z.; Zhang, L.; Ji, X.; Liu, W.; Huang, B.; Luo, W.; et al. Breast Cancer Development and Progression: Risk Factors, Cancer Stem Cells, Signaling Pathways, Genomics, and Molecular Pathogenesis. Genes Dis. 2018, 5, 77–106. [Google Scholar] [CrossRef] [PubMed]
- Mayrovitz, H.N. Breast Cancer; Exon Publications: Brisbane, Australia, 2022. [Google Scholar]
- Levva, S. Recent Advances in Breast Cancer Treatment. Hell. J. Nucl. Med. 2023, 26, 83–84. [Google Scholar] [CrossRef] [PubMed]
- Bianchini, G.; Balko, J.M.; Mayer, I.A.; Sanders, M.E.; Gianni, L. Triple-Negative Breast Cancer: Challenges and Opportunities of a Heterogeneous Disease. Nat. Rev. Clin. Oncol. 2016, 13, 674–690. [Google Scholar] [CrossRef]
- Al-Marsoummi, S.; Vomhof-DeKrey, E.; Basson, M.D. SchlafEN12 Reduces the Aggressiveness of Triple Negative Breast Cancer through Post-Transcriptional Regulation of ZEB1 That Drives Stem Cell Differentiation. Cell. Physiol. Biochem. 2019, 53, 999–1014. [Google Scholar] [CrossRef]
- Hudis, C.A.; Gianni, L. Triple-Negative Breast Cancer: An Unmet Medical Need. Oncologist 2011, 16, 1–11. [Google Scholar] [CrossRef]
- Brown, S.R.; Vomhof-DeKrey, E.E.; Al-Marsoummi, S.; Brown, N.D.; Hermanson, K.; Basson, M.D. Schlafen Family Intra-Regulation by IFN-A2 in Triple-Negative Breast Cancer. Cancers 2023, 15, 5658. [Google Scholar] [CrossRef]
- Al-Marsoummi, S.; Vomhof-Dekrey, E.E.; Basson, M.D. Schlafens: Emerging Proteins in Cancer Cell Biology. Cells 2021, 10, 2238. [Google Scholar] [CrossRef]
- Al-Marsoummi, S.; Pacella, J.; Dockter, K.; Soderberg, M.; Singhal, S.K.; Vomhof-Dekrey, E.E.; Basson, M.D. Schlafen 12 Is Prognostically Favorable and Reduces C-Myc and Proliferation in Lung Adenocarcinoma but Not in Lung Squamous Cell Carcinoma. Cancers 2020, 12, 2738. [Google Scholar] [CrossRef]
- Basson, M.D.; Wang, Q.; Chaturvedi, L.S.; More, S.; Vomhof-Dekrey, E.E.; Al-Marsoummi, S.; Sun, K.; Kuhn, L.A.; Kovalenko, P.; Kiupel, M. Schlafen 12 Interaction with SerpinB12 and Deubiquitylases Drives Human Enterocyte Differentiation. Cell. Physiol. Biochem. 2018, 48, 1274–1290. [Google Scholar] [CrossRef] [PubMed]
- Kovalenko, P.L.; Basson, M.D. Schlafen 12 Expression Modulates Prostate Cancer Cell Differentiation. J. Surg. Res. 2014, 190, 177–184. [Google Scholar] [CrossRef] [PubMed]
- Arslan, A.D.; Sassano, A.; Saleiro, D.; Lisowski, P.; Kosciuczuk, E.M.; Fischietti, M.; Eckerdt, F.; Fish, E.N.; Platanias, L.C. Human SLFN5 Is a Transcriptional Co-Repressor of STAT1-Mediated Interferon Responses and Promotes the Malignant Phenotype in Glioblastoma. Oncogene 2017, 36, 6006–6019. [Google Scholar] [CrossRef] [PubMed]
- Elsayed, A.A.R.; Al-Marsoummi, S.; Vomhof-Dekrey, E.E.; Basson, M.D. SLFN12 Over-Expression Sensitizes Triple Negative Breast Cancer Cells to Chemotherapy Drugs and Radiotherapy. Cancer Genom. Proteom. 2022, 19, 328–338. [Google Scholar] [CrossRef]
- Singhal, S.K.; Al-Marsoummi, S.; Vomhof-DeKrey, E.E.; Lauckner, B.; Beyer, T.; Basson, M.D. Schlafen 12 Slows TNBC Tumor Growth, Induces Luminal Markers, and Predicts Favorable Survival. Cancers 2023, 15, 402. [Google Scholar] [CrossRef]
- Lakhtakia, R.; Burney, I. A Brief History of Breast Cancer. Sultan Qaboos Univ. Med. J. 2015, 15, e34–e38. [Google Scholar] [CrossRef]
- Dai, X.; Li, T.; Bai, Z.; Yang, Y.; Liu, X.; Zhan, J.; Shi, B. Breast Cancer Intrinsic Subtype Classification, Clinical Use and Future Trends. Am. J. Cancer Res. 2015, 5, 2929–2943. [Google Scholar]
- Wang, Y.; Minden, A. Current Molecular Combination Therapies Used for the Treatment of Breast Cancer. Int. J. Mol. Sci. 2022, 23, 11046. [Google Scholar] [CrossRef]
- Al-Marsoummi, S. Role of Schlafen 12 in Lung Adenocarcinoma and Triple Negative Role of Schlafen 12 in Lung Adenocarcinoma and Triple Negative Breast Cancer Breast Cancer. Ph.D. Thesis, University of North Dakota, Grand Forks, ND, USA, 2021. [Google Scholar]
- Aricò, E.; Castiello, L.; Capone, I.; Gabriele, L.; Belardelli, F. Type i Interferons and Cancer: An Evolving Story Demanding Novel Clinical Applications. Cancers 2019, 11, 1943. [Google Scholar] [CrossRef]
- Perez, R.E.; Eckerdt, F.; Platanias, L.C. Schlafens: Emerging Therapeutic Targets. Cancers 2024, 16, 1805. [Google Scholar] [CrossRef]
- Escudier, B.; Pluzanska, A.; Koralewski, P.; Ravaud, A.; Bracarda, S.; Szczylik, C.; Chevreau, C.; Filipek, M.; Melichar, B.; Bajetta, E.; et al. Bevacizumab plus Interferon Alfa-2a for Treatment of Metastatic Renal Cell Carcinoma: A Randomised, Double-Blind Phase III Trial. Lancet 2007, 370, 2103–2111. [Google Scholar] [CrossRef] [PubMed]
- Rini, B.I.; Halabi, S.; Rosenberg, J.E.; Stadler, W.M.; Vaena, D.A.; Ou, S.S.; Archer, L.; Atkins, J.N.; Picus, J.; Czaykowski, P.; et al. Bevacizumab plus Interferon Alfa Compared with Interferon Alfa Monotherapy in Patients with Metastatic Renal Cell Carcinoma: CALGB 90206. J. Clin. Oncol. 2008, 26, 5422–5428. [Google Scholar] [CrossRef] [PubMed]
- Huo, Y.; Zhou, Y.; Zheng, J.; Jin, G.; Tao, L.; Yao, H.; Zhang, J.; Sun, Y.; Liu, Y.; Hu, L.P. GJB3 Promotes Pancreatic Cancer Liver Metastasis by Enhancing the Polarization and Survival of Neutrophil. Front Immunol. 2022, 13, 983116. [Google Scholar] [CrossRef] [PubMed]
- Aasen, T.; Leithe, E.; Graham, S.V.; Kameritsch, P.; Mayán, M.D.; Mesnil, M.; Pogoda, K.; Tabernero, A. Connexins in Cancer: Bridging the Gap to the Clinic. Oncogene 2019, 38, 4429–4451. [Google Scholar] [CrossRef] [PubMed]
- Sáez, C.G.; Velásquez, L.; Montoya, M.; Eugenín, E.; Alvarez, M.G. Increased Gap Junctional Intercellular Communication Is Directly Related to the Anti-Tumor Effect of All-Trans-Retinoic Acid plus Tamoxifen in a Human Mammary Cancer Cell Line. J. Cell. Biochem. 2003, 89, 450–461. [Google Scholar] [CrossRef]
- Carystinos, G.D.; Alaoui-Jamali, M.A.; Phipps, J.; Yen, L.; Batist, G. Upregulation of Gap Junctional Intercellular Communication and Connexin 43 Expression by Cyclic-AMP and All-Trans-Retinoic Acid Is Associated with Glutathione Depletion and Chemosensitivity in Neuroblastoma Cells. Cancer Chemother. Pharmacol. 2001, 47, 126–132. [Google Scholar] [CrossRef]
- Wang, Y.; Zhang, C.; Zhang, S.; Zhao, Z.; Wang, J.; Song, J.; Wang, Y.; Liu, J.; Hou, S. Kanglaite Sensitizes Colorectal Cancer Cells to Taxol via NF-ΚΒ Inhibition and Connexin 43 Upregulation. Sci. Rep. 2017, 7, 1280. [Google Scholar] [CrossRef]
- Wang, L.; Fu, Y.; Peng, J.; Wu, D.; Yu, M.; Xu, C.; Wang, Q.; Tao, L. Simvastatin-Induced up-Regulation of Gap Junctions Composed of Connexin 43 Sensitize Leydig Tumor Cells to Etoposide: An Involvement of PKC Pathway. Toxicology 2013, 312, 149–157. [Google Scholar] [CrossRef]
- Wang, L.; Peng, J.; Huang, H.; Wang, Q.; Yu, M.; Tao, L. Simvastatin Protects Sertoli Cells against Cisplatin Cytotoxicity through Enhanced Gap Junction Intercellular Communication. Oncol. Rep. 2015, 34, 2133–2141. [Google Scholar] [CrossRef]
- Liu, D.; Zhou, H.; Wu, J.; Liu, W.; Li, Y.; Shi, G.; Yue, X.; Sun, X.; Zhao, Y.; Hu, X.; et al. Infection by Cx43 Adenovirus Increased Chemotherapy Sensitivity in Human Gastric Cancer BGC-823 Cells: Not Involving in Induction of Cell Apoptosis. Gene 2015, 574, 290. [Google Scholar] [CrossRef]
- Yamasaki, H.; Omori, Y.; Krutovskikh, V.; Zhu, W.; Mironov, N.; Yamakage, K.; Mesnil, M. Connexins in Tumour Suppression and Cancer Therapy. Novartis Found. Symp. 1999, 219, 217–224. [Google Scholar] [CrossRef]
- Choudhry, H. UCA1 Overexpression Promotes Hypoxic Breast Cancer Cell Proliferation and Inhibits Apoptosis via HIF-1 α Activation. J. Oncol. 2021, 2021, 5512156. [Google Scholar] [CrossRef]
- Ikeda, Y.; Hisano, H.; Nishikawa, Y.; Nagasaki, Y. Targeting and Treatment of Tumor Hypoxia by Newly Designed Prodrug Possessing High Permeability in Solid Tumors. Mol. Pharm. 2016, 13, 2283–2289. [Google Scholar] [CrossRef]
- Jaakkola, P.; Mole, D.R.; Tian, Y.M.; Wilson, M.I.; Gielbert, J.; Gaskell, S.J.; Von Kriegsheim, A.; Hebestreit, H.F.; Mukherji, M.; Schofield, C.J.; et al. Targeting of HIF-α to the von Hippel-Lindau Ubiquitylation Complex by O2-Regulated Prolyl Hydroxylation. Science 2001, 292, 468–472. [Google Scholar] [CrossRef]
- Ji, X.; Lu, Y.; Tian, H.; Meng, X.; Wei, M.; Cho, W.C. Chemoresistance Mechanisms of Breast Cancer and Their Countermeasures. Biomed. Pharmacother. 2019, 114, 108800. [Google Scholar] [CrossRef]
- Wang, G.L.; Jiang, B.H.; Rue, E.A.; Semenza, G.L. Hypoxia-Inducible Factor 1 Is a Basic-Helix-Loop-Helix-PAS Heterodimer Regulated by Cellular O2 Tension. Proc. Natl. Acad. Sci. USA 1995, 92, 5510–5514. [Google Scholar] [CrossRef]
- Tlemsani, C.; Pongor, L.; Elloumi, F.; Girard, L.; Huffman, K.E.; Roper, N.; Varma, S.; Luna, A.; Rajapakse, V.N.; Sebastian, R.; et al. SCLC-CellMiner: A Resource for Small Cell Lung Cancer Cell Line Genomics and Pharmacology Based on Genomic Signatures. Cell Rep. 2020, 33, 108296. [Google Scholar] [CrossRef]
- Tang, S.W.; Thomas, A.; Murai, J.; Trepel, J.B.; Bates, S.E.; Rajapakse, V.N.; Pommier, Y. Overcoming Resistance to DNA-Targeted Agents by Epigenetic Activation of Schlafen 11 (SLFN11) Expression with Class I Histone Deacetylase Inhibitors. Clin. Cancer Res. 2018, 24, 1944–1953. [Google Scholar] [CrossRef]
- Iwasaki, J.; Komori, T.; Nakagawa, F.; Nagase, H.; Uchida, J.; Matsuo, K.; Uto, Y. SchlafeN11 Expression Ιs Associated with the Antitumor Activity of Trabectedin in Human Sarcoma Cell Lines. Anticancer Res. 2019, 39, 3553–3563. [Google Scholar] [CrossRef]
- Coussy, F.; El-Botty, R.; Château-Joubert, S.; Dahmani, A.; Montaudon, E.; Leboucher, S.; Morisset, L.; Painsec, P.; Sourd, L.; Huguet, L.; et al. BRCAness, SLFN11, and RB1 Loss Predict Response to Topoisomerase I Inhibitors in Triple-Negative Breast Cancers. Sci. Transl. Med. 2020, 12, eaax2625. [Google Scholar] [CrossRef]
- Marzi, L.; Szabova, L.; Gordon, M.; Ohler, Z.W.; Sharan, S.K.; Beshiri, M.L.; Etemadi, M.; Murai, J.; Kelly, K.; Pommier, Y. The Indenoisoquinoline TOP1 Inhibitors Selectively Target Homologous Recombinationdeficient and Schlafen 11-Positive Cancer Cells and Synergize with Olaparib. Clin. Cancer Res. 2019, 25, 6206–6216. [Google Scholar] [CrossRef]
- Mao, S.; Chaerkady, R.; Yu, W.; D’Angelo, G.; Garcia, A.; Chen, H.; Barrett, A.M.; Phipps, S.; Fleming, R.; Hess, S.; et al. Resistance to Pyrrolobenzodiazepine Dimers Is Associated with SLFN11 Downregulation and Can Be Reversed through Inhibition of ATR. Mol. Cancer Ther. 2021, 20, 541–552. [Google Scholar] [CrossRef]
- Murai, J.; Feng, Y.; Yu, G.K.; Ru, Y.; Tang, S.W.; Shen, Y.; Pommier, Y. Resistance to PARP Inhibitors by SLFN11 Inactivation Can Be Overcome by ATR Inhibition. Oncotarget 2016, 7, 76534–76550. [Google Scholar] [CrossRef]
- Rathkey, D.; Khanal, M.; Murai, J.; Zhang, J.; Sengupta, M.; Jiang, Q.; Morrow, B.; Evans, C.N.; Chari, R.; Fetsch, P.; et al. Sensitivity of Mesothelioma Cells to PARP Inhibitors Is Not Dependent on BAP1 but Is Enhanced by Temozolomide in Cells With High-Schlafen 11 and Low-O6-Methylguanine-DNA Methyltransferase Expression. J. Thorac. Oncol. 2020, 15, 843–859. [Google Scholar] [CrossRef]
- Lok, B.H.; Gardner, E.E.; Schneeberger, V.E.; Ni, A.; Desmeules, P.; Rekhtman, N.; De Stanchina, E.; Teicher, B.A.; Riaz, N.; Powell, S.N.; et al. PARP Inhibitor Activity Correlates with Slfn11 Expression and Demonstrates Synergy with Temozolomide in Small Cell Lung Cancer. Clin. Cancer Res. 2017, 23, 523–535. [Google Scholar] [CrossRef]
- Inno, A.; Stagno, A.; Gori, S. Schlafen-11 (Slfn11): A Step Forward towards Personalized Medicine in Small-Cell Lung Cancer? Transl. Lung Cancer Res. 2018, 7 (Suppl. S4), S341–S345. [Google Scholar] [CrossRef]
- Serzan, M.T.; Farid, S.; Liu, S.V. Drugs in Development for Small Cell Lung Cancer. J. Thorac. Dis. 2020, 12, 6298–6307. [Google Scholar] [CrossRef]
- van Erp, A.E.M.; van Houdt, L.; Hillebrandt-Roeffen, M.H.S.; van Bree, N.F.H.N.; Flucke, U.E.; Mentzel, T.; Shipley, J.; Desar, I.M.E.; Fleuren, E.D.G.; Versleijen-Jonkers, Y.M.H.; et al. Olaparib and Temozolomide in Desmoplastic Small Round Cell Tumors: A Promising Combination in Vitro and in Vivo. J. Cancer Res. Clin. Oncol. 2020, 146, 1659–1670. [Google Scholar] [CrossRef]
- Zoppoli, G.; Regairaz, M.; Leo, E.; Reinhold, W.C.; Varma, S.; Ballestrero, A.; Doroshow, J.H.; Pommier, Y. Putative DNA/RNA Helicase Schlafen-11 (SLFN11) Sensitizes Cancer Cells to DNA-Damaging Agents. Proc. Natl. Acad. Sci. USA 2012, 109, 15030–15065. [Google Scholar] [CrossRef]
- Garvie, C.W.; Wu, X.; Papanastasiou, M.; Lee, S.; Fuller, J.; Schnitzler, G.R.; Horner, S.W.; Baker, A.; Zhang, T.; Mullahoo, J.P.; et al. Structure of PDE3A-SLFN12 Complex Reveals Requirements for Activation of SLFN12 RNase. Nat. Commun. 2021, 12, 4375. [Google Scholar] [CrossRef]
- Greulich, H. A Complex Puzzle: Regulation of SLFN12 RNase Activity by Phosphorylation. Cell Chem. Biol. 2022, 29, 925–927. [Google Scholar] [CrossRef] [PubMed]
- Jo, U.; Pommier, Y. Structural, Molecular, and Functional Insights into Schlafen Proteins. Exp. Mol. Med. 2022, 54, 730–738. [Google Scholar] [CrossRef] [PubMed]









| A | |||||||||
| CALB2 | EEF1A2 | NQO1 | FBP1 | UCA1 | PAEP | GJB3 | GJA1 | ||
| LV-SLFN12 | |||||||||
| B | |||||||||
| CALB2 | EEF1A2 | NQO1 | FBP1 | UCA1 | PAEP | GJB3 | GJA1 | ||
| CPT | |||||||||
| ZA | |||||||||
| Paclitaxel | |||||||||
| Carboplatin | |||||||||
| Upregulated | Downregulated | No Change | |||||||
| KEY | |||||||||
Disclaimer/Publisher’s Note: The statements, opinions and data contained in all publications are solely those of the individual author(s) and contributor(s) and not of MDPI and/or the editor(s). MDPI and/or the editor(s) disclaim responsibility for any injury to people or property resulting from any ideas, methods, instructions or products referred to in the content. |
© 2024 by the authors. Licensee MDPI, Basel, Switzerland. This article is an open access article distributed under the terms and conditions of the Creative Commons Attribution (CC BY) license (https://creativecommons.org/licenses/by/4.0/).
Share and Cite
Brown, S.R.; Vomhof-DeKrey, E.E.; Al-Marsoummi, S.; Beyer, T.; Lauckner, B.; Samson, M.; Sattar, S.; Brown, N.D.; Basson, M.D. SLFN12 Expression Significantly Effects the Response to Chemotherapy Drugs in Triple-Negative Breast Cancer. Cancers 2024, 16, 3848. https://doi.org/10.3390/cancers16223848
Brown SR, Vomhof-DeKrey EE, Al-Marsoummi S, Beyer T, Lauckner B, Samson M, Sattar S, Brown ND, Basson MD. SLFN12 Expression Significantly Effects the Response to Chemotherapy Drugs in Triple-Negative Breast Cancer. Cancers. 2024; 16(22):3848. https://doi.org/10.3390/cancers16223848
Chicago/Turabian StyleBrown, Savannah R., Emilie Erin Vomhof-DeKrey, Sarmad Al-Marsoummi, Trysten Beyer, Bo Lauckner, Mckenzie Samson, Sarah Sattar, Nicholas D. Brown, and Marc D. Basson. 2024. "SLFN12 Expression Significantly Effects the Response to Chemotherapy Drugs in Triple-Negative Breast Cancer" Cancers 16, no. 22: 3848. https://doi.org/10.3390/cancers16223848
APA StyleBrown, S. R., Vomhof-DeKrey, E. E., Al-Marsoummi, S., Beyer, T., Lauckner, B., Samson, M., Sattar, S., Brown, N. D., & Basson, M. D. (2024). SLFN12 Expression Significantly Effects the Response to Chemotherapy Drugs in Triple-Negative Breast Cancer. Cancers, 16(22), 3848. https://doi.org/10.3390/cancers16223848

