Impact of Screening on Mortality for Patients Diagnosed with Hepatocellular Carcinoma in a Safety-Net Healthcare System: An Opportunity for Addressing Disparities †
Simple Summary
Abstract
1. Introduction
2. Methods
2.1. Study Setting and Institutional Review Board Oversight
2.2. Study Procedures, Clinical Data Collection, and Characterization
2.3. Statistical Analysis
3. Results
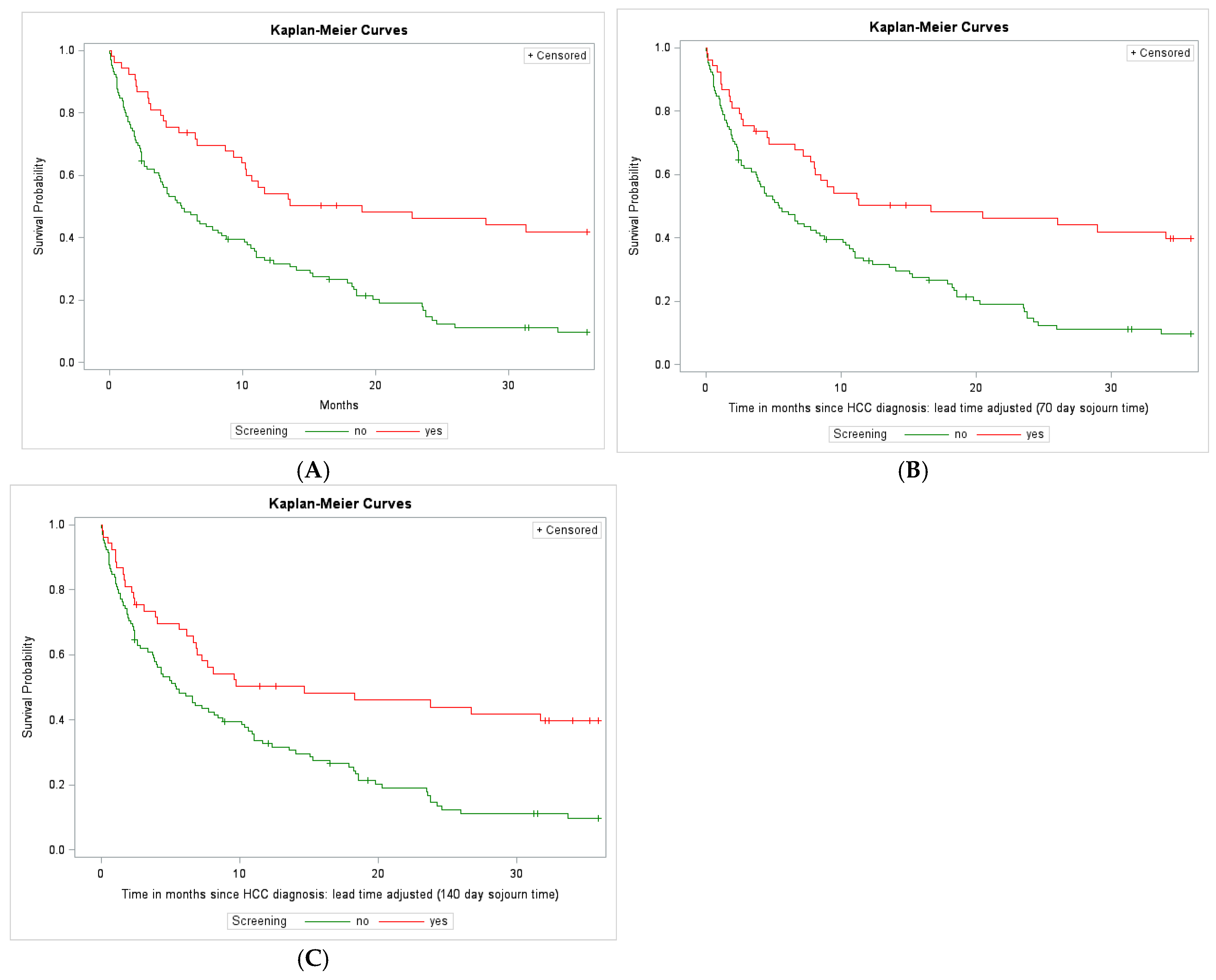
Lead-Time-Bias-Adjusted Overall Survival
4. Discussion
5. Conclusions
Author Contributions
Funding
Institutional Review Board Statement
Informed Consent Statement
Data Availability Statement
Acknowledgments
Conflicts of Interest
References
- Turse, E.; Aboona, M.; Charley, E.; Forlemu, A.; Bowie, T.; Bhattarai, B.; Chuang, K.-Y.; Nadir, A. Factors Associated with Survival of Hepatocellular Carcinoma (HCC) Patients at a Safety Net Hospital in Arizona without On-Site Liver Transplant Program. J. Hepatocell. Carcinoma 2022, 9, 1–11. [Google Scholar] [CrossRef] [PubMed]
- Janevska, D.; Chaloska-Ivanova, V.; Janevski, V. Hepatocellular Carcinoma: Risk Factors, Diagnosis and Treatment. Open Access Maced. J. Med. Sci. 2015, 3, 732–736. [Google Scholar] [CrossRef] [PubMed]
- Fateen, W.; Ryder, S. Screening for Hepatocellular Carcinoma: Patient Selection and Perspectives. J. Hepatocell. Carcinoma 2017, 4, 71–79. [Google Scholar] [CrossRef] [PubMed]
- Miller, Z.A.; Lee, K.S. Screening for Hepatocellular Carcinoma in High-Risk Populations. Clin. Imaging 2016, 40, 311–314. [Google Scholar] [CrossRef] [PubMed]
- Kardashian, A.; Serper, M.; Terrault, N.; Nephew, L.D. Health Disparities in Chronic Liver Disease. Hepatology 2023, 77, 1382–1403. [Google Scholar] [CrossRef]
- Barbosa, C.; Cowell, A.J.; Dowd, W.N. Alcohol Consumption in Response to the COVID-19 Pandemic in the United States. J. Addict. Med. 2021, 15, 341–344. [Google Scholar] [CrossRef]
- Pinedo, M. A Current Re-Examination of Racial/Ethnic Disparities in the Use of Substance Abuse Treatment: Do Disparities Persist? Drug Alcohol Depend. 2019, 202, 162–167. [Google Scholar] [CrossRef] [PubMed]
- Lee, B.; Holt, E.W.; Wong, R.J.; Sewell, J.L.; Somsouk, M.; Khalili, M.; Maher, J.J.; Tana, M.M. Race/Ethnicity Is an Independent Risk Factor for Autoimmune Hepatitis among the San Francisco Underserved. Autoimmunity 2018, 51, 258–264. [Google Scholar] [CrossRef]
- Rich, N.E.; Oji, S.; Mufti, A.R.; Browning, J.D.; Parikh, N.D.; Odewole, M.; Mayo, H.; Singal, A.G. Racial and Ethnic Disparities in Nonalcoholic Fatty Liver Disease Prevalence, Severity, and Outcomes in the United States: A Systematic Review and Meta-Analysis. Clin. Gastroenterol. Hepatol. 2018, 16, 198–210.e2. [Google Scholar] [CrossRef]
- Singal, A.G.; Llovet, J.M.; Yarchoan, M.; Mehta, N.; Heimbach, J.K.; Dawson, L.A.; Jou, J.H.; Kulik, L.M.; Agopian, V.G.; Marrero, J.A.; et al. AASLD Practice Guidance on Prevention, Diagnosis, and Treatment of Hepatocellular Carcinoma. Hepatology 2023, 78, 1922–1965. [Google Scholar] [CrossRef]
- NCCN Clinical Practice Guidelines in Oncology: Hepatocellular Carcinoma Version 2.2024; National Comprehensive Cancer Network: Plymouth Meeting, PA, USA, 2024.
- Zhang, B.-H.; Yang, B.-H.; Tang, Z.-Y. Randomized Controlled Trial of Screening for Hepatocellular Carcinoma. J. Cancer Res. Clin. Oncol. 2004, 130, 417–422. [Google Scholar] [CrossRef] [PubMed]
- Trinchet, J.-C.; Chaffaut, C.; Bourcier, V.; Degos, F.; Henrion, J.; Fontaine, H.; Roulot, D.; Mallat, A.; Hillaire, S.; Cales, P.; et al. Ultrasonographic Surveillance of Hepatocellular Carcinoma in Cirrhosis: A Randomized Trial Comparing 3- and 6-Month Periodicities. Hepatology 2011, 54, 1987–1997. [Google Scholar] [CrossRef]
- Thein, H.-H.; Campitelli, M.A.; Yeung, L.T.; Zaheen, A.; Yoshida, E.M.; Earle, C.C. Improved Survival in Patients with Viral Hepatitis-Induced Hepatocellular Carcinoma Undergoing Recommended Abdominal Ultrasound Surveillance in Ontario: A Population-Based Retrospective Cohort Study. PLoS ONE 2015, 10, e0138907. [Google Scholar] [CrossRef]
- Santi, V.; Trevisani, F.; Gramenzi, A.; Grignaschi, A.; Mirici-Cappa, F.; Poggio, P.D.; Nolfo, M.A.D.; Benvegnù, L.; Farinati, F.; Zoli, M.; et al. Semiannual Surveillance Is Superior to Annual Surveillance for the Detection of Early Hepatocellular Carcinoma and Patient Survival. J. Hepatol. 2010, 53, 291–297. [Google Scholar] [CrossRef]
- Singal, A.G.; Pillai, A.; Tiro, J. Early Detection, Curative Treatment, and Survival Rates for Hepatocellular Carcinoma Surveillance in Patients with Cirrhosis: A Meta-Analysis. PLoS Med. 2014, 11, e1001624. [Google Scholar] [CrossRef] [PubMed]
- Singal, A.G.; Zhang, E.; Narasimman, M.; Rich, N.E.; Waljee, A.K.; Hoshida, Y.; Yang, J.D.; Reig, M.; Cabibbo, G.; Nahon, P.; et al. HCC Surveillance Improves Early Detection, Curative Treatment Receipt, and Survival in Patients with Cirrhosis: A Meta-Analysis. J. Hepatol. 2022, 77, 128–139. [Google Scholar] [CrossRef]
- Parikh, N.D.; Singal, A.G.; Hutton, D.W.; Tapper, E.B. Cost-Effectiveness of Hepatocellular Carcinoma Surveillance: An Assessment of Benefits and Harms. Am. J. Gastroenterol. 2020, 115, 1642–1649. [Google Scholar] [CrossRef]
- Brahmania, M.; Alotaibi, A.; Mooney, O.; Rush, B. Treatment in Disproportionately Minority Hospitals Is Associated with an Increased Mortality in End-Stage Liver Disease. Eur. J. Gastroenterol. Hepatol. 2021, 33, 1408–1413. [Google Scholar] [CrossRef] [PubMed]
- Mukthinuthalapati, V.V.P.K.; Akinyeye, S.; Fricker, Z.P.; Syed, M.; Orman, E.S.; Nephew, L.; Vilar-Gomez, E.; Slaven, J.; Chalasani, N.; Balakrishnan, M.; et al. Early Predictors of Outcomes of Hospitalization for Cirrhosis and Assessment of the Impact of Race and Ethnicity at Safety-Net Hospitals. PLoS ONE 2019, 14, e0211811. [Google Scholar] [CrossRef]
- Helzberg, J.H.; Parish, A.; Niedzwiecki, D.; Kim, C.Y.; Patel, Y.A.; Wilder, J.M.; Muir, A.J. Racial Disparities in Transjugular Intrahepatic Portosystemic Shunt Procedure Outcomes. BMJ Open Gastroenterol. 2022, 9, e000747. [Google Scholar] [CrossRef]
- Nephew, L.D.; Serper, M. Racial, Gender, and Socioeconomic Disparities in Liver Transplantation. Liver Transpl. 2021, 27, 900–912. [Google Scholar] [CrossRef] [PubMed]
- Simmons, O.; Fetzer, D.T.; Yokoo, T.; Marrero, J.A.; Yopp, A.; Kono, Y.; Parikh, N.D.; Browning, T.; Singal, A.G. Predictors of Adequate Ultrasound Quality for Hepatocellular Carcinoma Surveillance in Patients with Cirrhosis. Aliment. Pharmacol. Ther. 2017, 45, 169–177. [Google Scholar] [CrossRef] [PubMed]
- Ahn, J.C.; Lee, Y.-T.; Agopian, V.G.; Zhu, Y.; You, S.; Tseng, H.-R.; Yang, J.D. Hepatocellular Carcinoma Surveillance: Current Practice and Future Directions. Hepatoma Res. 2022, 8, 10. [Google Scholar] [CrossRef] [PubMed]
- Reddy, V.; Narra, K.; Hull, M.; Teigen, K.; Bullock, J.C.; Basha, R.; Alawi-Kakomanolis, N.; Gerber, D.E.; Brown, T.J. Impact of Screening on Mortality for Patients Diagnosed with Hepatocellular Carcinoma at a Safety-Net Hospital: An Opportunity for Addressing Disparities. JCO Oncol. Pract. 2024, 20, 140. [Google Scholar] [CrossRef]
- Hull, M.; Teigen, K.; Bullock, J.; Basha, R.; Narra, K. Abstract 3056: Characteristics and Outcomes of Patients with Hepatocellular Carcinoma Diagnosed at John Peter Smith Hospital. Cancer Res. 2023, 83, 3056. [Google Scholar] [CrossRef]
- Liver Imaging Reporting & Data System (LI-RADS®). Available online: https://www.acr.org/Clinical-Resources/Reporting-and-Data-Systems/LI-RADS (accessed on 7 December 2023).
- Zhu, A.X.; Kang, Y.-K.; Yen, C.-J.; Finn, R.S.; Galle, P.R.; Llovet, J.M.; Assenat, E.; Brandi, G.; Pracht, M.; Lim, H.Y.; et al. Ramucirumab after Sorafenib in Patients with Advanced Hepatocellular Carcinoma and Increased α-Fetoprotein Concentrations (REACH-2): A Randomised, Double-Blind, Placebo-Controlled, Phase 3 Trial. Lancet Oncol. 2019, 20, 282–296. [Google Scholar] [CrossRef]
- Duffy, S.W.; Nagtegaal, I.D.; Wallis, M.; Cafferty, F.H.; Houssami, N.; Warwick, J.; Allgood, P.C.; Kearins, O.; Tappenden, N.; O’Sullivan, E.; et al. Correcting for Lead Time and Length Bias in Estimating the Effect of Screen Detection on Cancer Survival. Am. J. Epidemiol. 2008, 168, 98–104. [Google Scholar] [CrossRef]
- Day, N.E.; Walter, S.D. Simplified Models of Screening for Chronic Disease: Estimation Procedures from Mass Screening Programmes. Biometrics 1984, 40, 1. [Google Scholar] [CrossRef]
- Prevost, T.C.; Launoy, G.; Duffy, S.W.; Chen, H.H. Estimating Sensitivity and Sojourn Time in Screening for Colorectal Cancer: A Comparison of Statistical Approaches. Am. J. Epidemiol. 1998, 148, 609–619. [Google Scholar] [CrossRef][Green Version]
- Im, S.; Jang, E.S.; Lee, J.H.; Lee, C.S.; Kim, B.H.; Chung, J.W.; Kim, J.-W.; Jeong, S.-H. Surveillance Rate and Its Impact on Survival of Hepatocellular Carcinoma Patients in South Korea: A Cohort Study. Cancer Res. Treat. 2019, 51, 1357–1369. [Google Scholar] [CrossRef]
- El-Serag, H.B.; Kramer, J.R.; Chen, G.J.; Duan, Z.; Richardson, P.A.; Davila, J.A. Effectiveness of AFP and Ultrasound Tests on Hepatocellular Carcinoma Mortality in HCV-Infected Patients in the USA. Gut 2011, 60, 992–997. [Google Scholar] [CrossRef] [PubMed]
- Crown, A.; Ramiah, K.; Siegel, B.; Joseph, K.-A. The Role of Safety-Net Hospitals in Reducing Disparities in Breast Cancer Care. Ann. Surg. Oncol. 2022, 29, 4067–4075. [Google Scholar] [CrossRef] [PubMed]
- Yopp, A.C.; Mansour, J.C.; Beg, M.S.; Arenas, J.; Trimmer, C.; Reddick, M.; Pedrosa, I.; Khatri, G.; Yakoo, T.; Meyer, J.J.; et al. Establishment of a Multidisciplinary Hepatocellular Carcinoma Clinic Is Associated with Improved Clinical Outcome. Ann. Surg. Oncol. 2014, 21, 1287–1295. [Google Scholar] [CrossRef] [PubMed]
- Zhang, J.; Mavros, M.N.; Cosgrove, D.; Hirose, K.; Herman, J.M.; Smallwood–Massey, S.; Kamel, I.; Gurakar, A.; Anders, R.; Cameron, A.; et al. Impact of a Single-Day Multidisciplinary Clinic on the Management of Patients with Liver Tumours. Curr. Oncol. 2013, 20, 123–131. [Google Scholar] [CrossRef]
- Seif El Dahan, K.; Reczek, A.; Daher, D.; Rich, N.E.; Yang, J.D.; Hsiehchen, D.; Zhu, H.; Patel, M.S.; Bayona Molano, M.D.P.; Sanford, N.; et al. Multidisciplinary Care for Patients with HCC: A Systematic Review and Meta-Analysis. Hepatol. Commun. 2023, 7, e0143. [Google Scholar] [CrossRef]
- Lee, R.M.; Darby, R.; Medin, C.R.; Haser, G.C.; Mason, M.C.; Miller, L.S.; Staley, C.A.; Maithel, S.K.; Russell, M.C. Implementation of a Hepatocellular Carcinoma Screening Program for At-Risk Patients Safety-Net Hospital: A Model for National Dissemination. Ann. Surg. 2022, 276, 545–553. [Google Scholar] [CrossRef]
- Jaiswal, K.; Hull, M.; Furniss, A.L.; Doyle, R.; Gayou, N.; Bayliss, E. Delays in Diagnosis and Treatment of Breast Cancer: A Safety-Net Population Profile. J. Natl. Compr. Cancer Netw. 2018, 16, 1451–1457. [Google Scholar] [CrossRef]
- Daher, D.; Seif El Dahan, K.; Rich, N.E.; Tayob, N.; Merrill, V.; Huang, D.Q.; Yang, J.D.; Kulkarni, A.V.; Kanwal, F.; Marrero, J.; et al. Hepatocellular Carcinoma Screening in a Contemporary Cohort of At-Risk Patients. JAMA Netw. Open 2024, 7, e248755. [Google Scholar] [CrossRef]
- Hefner, J.L.; Hogan, T.H.; Opoku-Agyeman, W.; Menachemi, N. Defining Safety Net Hospitals in the Health Services Research Literature: A Systematic Review and Critical Appraisal. BMC Health Serv. Res. 2021, 21, 278. [Google Scholar] [CrossRef]
- Beltrán Ponce, S.; Gokun, Y.; Douglass, F.; Dawson, L.; Miller, E.; Thomas, C.R.; Pitter, K.; Conteh, L.; Diaz, D.A. Disparities in Outcomes and Access to Therapy Options in Hepatocellular Carcinoma. JNCI J. Natl. Cancer Inst. 2024, 116, 264–274. [Google Scholar] [CrossRef]
- White, D.L.; Thrift, A.P.; Kanwal, F.; Davila, J.; El-Serag, H.B. Incidence of Hepatocellular Carcinoma in All 50 United States, From 2000 Through 2012. Gastroenterology 2017, 152, 812–820.e5. [Google Scholar] [CrossRef]
- Mittal, S.; Kanwal, F.; Ying, J.; Chung, R.; Sada, Y.H.; Temple, S.; Davila, J.A.; El-Serag, H.B. Effectiveness of Surveillance for Hepatocellular Carcinoma in Clinical Practice: A United States Cohort. J. Hepatol. 2016, 65, 1148–1154. [Google Scholar] [CrossRef]
- Kim, H.; El-Serag, H.B. The Epidemiology of Hepatocellular Carcinoma in the USA. Curr. Gastroenterol. Rep. 2019, 21, 17. [Google Scholar] [CrossRef]
- Chavda, V.; Zajac, K.K.; Gunn, J.L.; Balar, P.; Khadela, A.; Vaghela, D.; Soni, S.; Ashby, C.R.; Tiwari, A.K. Ethnic Differences in Hepatocellular Carcinoma Prevalence and Therapeutic Outcomes. Cancer Rep. 2023, 6, e1821. [Google Scholar] [CrossRef]
- Ajayi, F.; Jan, J.; Singal, A.G.; Rich, N.E. Racial and Sex Disparities in Hepatocellular Carcinoma in the USA. Curr. Hepatol. Rep. 2020, 19, 462–469. [Google Scholar] [CrossRef]
- Scaglione, S.; Adams, W.; Caines, A.; Devlin, P.; Mittal, S.; Singal, A.G.; Parikh, N.D. Association Between Race/Ethnicity and Insurance Status with Outcomes in Patients with Hepatocellular Carcinoma. Dig. Dis. Sci. 2020, 65, 1669–1678. [Google Scholar] [CrossRef]
- Markides, K.S.; Coreil, J. The Health of Hispanics in the Southwestern United States: An Epidemiologic Paradox. Public Health Rep. 1986, 101, 253–265. [Google Scholar]
- Pinheiro, P.S.; Williams, M.; Miller, E.A.; Easterday, S.; Moonie, S.; Trapido, E.J. Cancer Survival among Latinos and the Hispanic Paradox. Cancer Causes Control 2011, 22, 553–561. [Google Scholar] [CrossRef]
- Malagon-Blackwell, E.M.; Seagle, B.-L.L.; Nieves-Neira, W.; Shahabi, S. The Hispanic Paradox in Endometrial Cancer: A National Cancer Database Study. Gynecol. Oncol. 2017, 146, 351–358. [Google Scholar] [CrossRef]
- Kumar, R.; Castillero, F.; Bhandari, S.; Malapati, S.; Kloecker, G. The Hispanic Paradox in Non-Small Cell Lung Cancer. Hematol./Oncol. Stem Cell Ther. 2022, 15, 21–29. [Google Scholar] [CrossRef]
- Palloni, A.; Arias, E. Paradox Lost: Explaining the Hispanic Adult Mortality Advantage. Demography 2004, 41, 385–415. [Google Scholar] [CrossRef] [PubMed]
- Scribner, R. Paradox as Paradigm--the Health Outcomes of Mexican Americans. Am. J. Public Health 1996, 86, 303–305. [Google Scholar] [CrossRef] [PubMed]
- Marrero, J.A.; Kudo, M.; Venook, A.P.; Ye, S.-L.; Bronowicki, J.-P.; Chen, X.-P.; Dagher, L.; Furuse, J.; Geschwind, J.-F.H.; de Guevara, L.L.; et al. Observational Registry of Sorafenib Use in Clinical Practice across Child-Pugh Subgroups: The GIDEON Study. J. Hepatol. 2016, 65, 1140–1147. [Google Scholar] [CrossRef]
- Ito, T.; Nguyen, M.H. Perspectives on the Underlying Etiology of HCC and Its Effects on Treatment Outcomes. J. Hepatocell. Carcinoma 2023, 10, 413–428. [Google Scholar] [CrossRef]
- Brown, T.J.; Mamtani, R.; Gimotty, P.A.; Karasic, T.B.; Yang, Y.-X. Outcomes of Hepatocellular Carcinoma by Etiology with First-Line Atezolizumab and Bevacizumab: A Real-World Analysis. J. Cancer Res. Clin. Oncol. 2023, 149, 2345–2354. [Google Scholar] [CrossRef]
- Johnson, P.J.; Berhane, S.; Kagebayashi, C.; Satomura, S.; Teng, M.; Reeves, H.L.; O’Beirne, J.; Fox, R.; Skowronska, A.; Palmer, D.; et al. Assessment of Liver Function in Patients With Hepatocellular Carcinoma: A New Evidence-Based Approach—The ALBI Grade. J. Clin. Oncol. 2015, 33, 550–558. [Google Scholar] [CrossRef]
- Reig, M.; Forner, A.; Rimola, J.; Ferrer-Fàbrega, J.; Burrel, M.; Garcia-Criado, Á.; Kelley, R.K.; Galle, P.R.; Mazzaferro, V.; Salem, R.; et al. BCLC Strategy for Prognosis Prediction and Treatment Recommendation: The 2022 Update. J. Hepatol. 2022, 76, 681–693. [Google Scholar] [CrossRef] [PubMed]
- Hiraoka, A.; Kumada, T.; Kudo, M.; Hirooka, M.; Tsuji, K.; Itobayashi, E.; Kariyama, K.; Ishikawa, T.; Tajiri, K.; Ochi, H.; et al. Albumin-Bilirubin (ALBI) Grade as Part of the Evidence-Based Clinical Practice Guideline for HCC of the Japan Society of Hepatology: A Comparison with the Liver Damage and Child-Pugh Classifications. Liver Cancer 2017, 6, 204–215. [Google Scholar] [CrossRef]
- Finn, R.S.; Qin, S.; Ikeda, M.; Galle, P.R.; Ducreux, M.; Kim, T.-Y.; Kudo, M.; Breder, V.; Merle, P.; Kaseb, A.O.; et al. Atezolizumab plus Bevacizumab in Unresectable Hepatocellular Carcinoma. N. Engl. J. Med. 2020, 382, 1894–1905. [Google Scholar] [CrossRef]
- Abou-Alfa, G.K.; Lau, G.; Kudo, M.; Chan, S.L.; Kelley, R.K.; Furuse, J.; Sukeepaisarnjaroen, W.; Kang, Y.-K.; Van Dao, T.; De Toni, E.N.; et al. Tremelimumab plus Durvalumab in Unresectable Hepatocellular Carcinoma. NEJM Evid. 2022, 1, EVIDoa2100070. [Google Scholar] [CrossRef]
- Llovet, J.M.; Ricci, S.; Mazzaferro, V.; Hilgard, P.; Gane, E.; Blanc, J.-F.; de Oliveira, A.C.; Santoro, A.; Raoul, J.-L.; Forner, A.; et al. Sorafenib in Advanced Hepatocellular Carcinoma. N. Engl. J. Med. 2008, 359, 378–390. [Google Scholar] [CrossRef] [PubMed]
- Kudo, M.; Finn, R.S.; Qin, S.; Han, K.H.; Ikeda, K.; Piscaglia, F.; Baron, A.; Park, J.W.; Han, G.; Jassem, J.; et al. Lenvatinib versus Sorafenib in First-Line Treatment of Patients with Unresectable Hepatocellular Carcinoma: A Randomised Phase 3 Non-Inferiority Trial. Lancet 2018, 391, 1163–1173. [Google Scholar] [CrossRef] [PubMed]
- Verset, G.; Borbath, I.; Karwal, M.; Verslype, C.; Van Vlierberghe, H.; Kardosh, A.; Zagonel, V.; Stal, P.; Sarker, D.; Palmer, D.H.; et al. Pembrolizumab Monotherapy for Previously Untreated Advanced Hepatocellular Carcinoma: Data from the Open-Label, Phase II KEYNOTE-224 Trial. Clin. Cancer Res. 2022, 28, 2547–2554. [Google Scholar] [CrossRef] [PubMed]
- United Network for Organ Sharing OPTN Policies. Available online: https://optn.transplant.hrsa.gov/policies-bylaws/policies/ (accessed on 7 May 2024).

| Characteristic | Screened (n = 53) | Not Screened (n = 105 ) | p |
|---|---|---|---|
| Mean ± SD or n (%) | |||
| Age at Diagnosis 1 | 61 ± 8.6 | 62 ± 9.0 | 0.54 |
| Alcohol 2,3 | 0.43 | ||
| Yes | 35 (66) | 62 (59) | |
| No | 18 (34) | 42 (40) | |
| Missing | 1 (1) | ||
| ALBI grade 4 | 0.001 | ||
| A1 | 7 (13) | 3 (3) | |
| A2 | 28 (53) | 37 (35) | |
| A3 | 18 (34) | 65 (62) | |
| AFP group 2,3 | 0.01 | ||
| <400 ng/L | 35 (66) | 48 (46) | |
| ≥400 ng/L | 16 (30) | 54 (51) | |
| Missing | 2 (4) | 3 (3) | |
| Gender 2 | 0.36 | ||
| Male | 39 (74) | 84 (80) | |
| Female | 14 (26) | 21 (20) | |
| Cirrhosis 4 | 0.04 | ||
| Yes | 52 (98) | 92 (88) | |
| No | 1 (2) | 13 (13) | |
| Hepatitis B 4 | 0.76 | ||
| Yes | 5 (9) | 8 (8) | |
| No | 48 (91) | 96 (91) | |
| Missing | 1 (1) | ||
| Hepatitis C 2,3 | 0.54 | ||
| Yes | 41 (77) | 75 (71) | |
| No | 12 (23) | 28 (27) | |
| Missing | 0 | 2 (2) | |
| Insurance Type 4 | 0.18 | ||
| Private | 5 (9) | 8 (8) | |
| Public | 28 (53) | 38 (36) | |
| Uninsured | 17 (32) | 51 (49) | |
| Missing | 3 (6) | 8 (8) | |
| Race and Ethnicity 2 | 0.23 | ||
| Non-Hispanic White | 21 (40) | 33 (31) | |
| Non-Hispanic Black | 12 (23) | 36 (34) | |
| Hispanic | 15 (28) | 32 (30) | |
| Other | 5 (9) | 4 (4) | |
| Treatment Received 4 | 0.08 | ||
| None | 19 (36) | 51 (49) | |
| Resection | 3 (6) | 2 (2) | |
| Locoregional | 27 (51) | 34 (32) | |
| Systemic | 3 (6) | 12 (11) | |
| Missing | 1 (2) | 6 (6) | |
| Characteristic | Univariate | Multivariable 1 | ||||
|---|---|---|---|---|---|---|
| HR | 95% CI | p | HR | 95% CI | p | |
| Age at Diagnosis | 1.01 | (0.99, 1.03) | 0.43 | |||
| Alcohol | ||||||
| No | 0.99 | (0.69, 1.43) | 0.96 | |||
| Yes | Reference | Reference | ||||
| ALBI grade | ||||||
| A1 | 0.15 | (0.05, 0.48) | 0.0013 | 0.000 | 0.000 | 0.98 |
| A2 | 0.39 | (0.27, 0.57) | <0.0001 | 0.42 | (0.27, 0.64) | <0.0001 |
| A3 | Reference | Reference | Reference | Reference | ||
| AFP Group | ||||||
| 0–399 ng/L | 0.36 | (0.25, 0.51) | <0.0001 | 0.40 | (0.26, 0.61) | <0.0001 |
| ≥400 ng/L | Reference | Reference | Reference | Reference | ||
| Cirrhosis | ||||||
| No | 1.2 | (0.66, 2.2) | 0.56 | |||
| Yes | Reference | Reference | ||||
| Gender | ||||||
| Female | 0.84 | (0.54, 1.3) | 0.44 | |||
| Male | Reference | Reference | ||||
| Hepatitis B | ||||||
| No | 1.5 | (0.75, 3.1) | 0.25 | |||
| Yes | Reference | Reference | ||||
| Hepatitis C | ||||||
| No | 0.76 | (0.5, 1.2) | 0.20 | 1.06 | (0.66, 1.7) | 0.80 |
| Yes | Reference | Reference | Reference | Reference | ||
| Insurance Type | ||||||
| Private | Reference | Reference | Reference | Reference | ||
| Public | 2.0 | (0.92, 4.5) | 0.08 | 1.89 | (0.73, 4.9) | 0.1902 |
| Uninsured | 2.0 | (0.91, 4.4) | 0.08 | 1.53 | (0.59, 3.9) | 0.3823 |
| Race and Ethnicity | ||||||
| Non-Hispanic White | Reference | Reference | ||||
| Non-Hispanic Black | 0.78 | (0.5,1.2) | 0.27 | |||
| Hispanic | 0.78 | (0.5, 1.2) | 0.28 | |||
| Other | 0.62 | (0.26, 1.5) | 0.27 | |||
| Treatment Received | ||||||
| None | Reference | Reference | Reference | Reference | ||
| Resection or Locoregional | 0.26 | (0.17,0.39) | <0.0001 | 0.34 | (0.22, 0.53) | <0.0001 |
| Systemic | 0.34 | (0.18, 0.63) | 0.0007 | 0.20 | (0.1, 0.4) | <0.0001 |
| Screening | ||||||
| No | 2.4 | (1.6, 3.6) | <0.0001 | 1.9 | (1.2, 3.1) | 0.009 |
| Yes | Reference | Reference | Reference | Reference | ||
| Characteristic | Univariate | ||
|---|---|---|---|
| HR | 95% CI | p | |
| No adjustment for lead-time bias | |||
| Screening | |||
| No | 2.4 | (1.6,3.6) | <0.0001 |
| Yes | Reference | Reference | |
| Mean Sojourn Time = 70 days | |||
| Screening | |||
| No | 2.19 | (1.4, 3.3) | 0.0002 |
| Yes | Reference | Reference | |
| Mean Sojourn Time = 140 days | |||
| Screening | |||
| No | 2.09 | (1.4, 3.2) | 0.0005 |
| Yes | Reference | Reference | |
Disclaimer/Publisher’s Note: The statements, opinions and data contained in all publications are solely those of the individual author(s) and contributor(s) and not of MDPI and/or the editor(s). MDPI and/or the editor(s) disclaim responsibility for any injury to people or property resulting from any ideas, methods, instructions or products referred to in the content. |
© 2024 by the authors. Licensee MDPI, Basel, Switzerland. This article is an open access article distributed under the terms and conditions of the Creative Commons Attribution (CC BY) license (https://creativecommons.org/licenses/by/4.0/).
Share and Cite
Narra, K.; Hull, M.; Teigen, K.J.; Reddy, V.; Bullock, J.C.; Basha, R.; Alawi-Kakomanolis, N.; Gerber, D.E.; Brown, T.J. Impact of Screening on Mortality for Patients Diagnosed with Hepatocellular Carcinoma in a Safety-Net Healthcare System: An Opportunity for Addressing Disparities. Cancers 2024, 16, 3829. https://doi.org/10.3390/cancers16223829
Narra K, Hull M, Teigen KJ, Reddy V, Bullock JC, Basha R, Alawi-Kakomanolis N, Gerber DE, Brown TJ. Impact of Screening on Mortality for Patients Diagnosed with Hepatocellular Carcinoma in a Safety-Net Healthcare System: An Opportunity for Addressing Disparities. Cancers. 2024; 16(22):3829. https://doi.org/10.3390/cancers16223829
Chicago/Turabian StyleNarra, Kalyani, Madison Hull, Kari J. Teigen, Vedaamrutha Reddy, Jolonda C. Bullock, Riyaz Basha, Nadia Alawi-Kakomanolis, David E. Gerber, and Timothy J. Brown. 2024. "Impact of Screening on Mortality for Patients Diagnosed with Hepatocellular Carcinoma in a Safety-Net Healthcare System: An Opportunity for Addressing Disparities" Cancers 16, no. 22: 3829. https://doi.org/10.3390/cancers16223829
APA StyleNarra, K., Hull, M., Teigen, K. J., Reddy, V., Bullock, J. C., Basha, R., Alawi-Kakomanolis, N., Gerber, D. E., & Brown, T. J. (2024). Impact of Screening on Mortality for Patients Diagnosed with Hepatocellular Carcinoma in a Safety-Net Healthcare System: An Opportunity for Addressing Disparities. Cancers, 16(22), 3829. https://doi.org/10.3390/cancers16223829

