Prognostic Impact of Serum β2-Microglobulin Levels in Hodgkin Lymphoma Treated with ABVD or Equivalent Regimens: A Comprehensive Analysis of 915 Patients
Abstract
Simple Summary
Abstract
1. Introduction
2. Patients and Methods
2.1. Patients, Staging, Treatment Strategies and Laboratory Assays
2.2. Statistical Analysis
3. Results
3.1. Patients’ Characteristics
3.2. Serum β2-Microglobulin Levels and Clinicopathologic Correlations
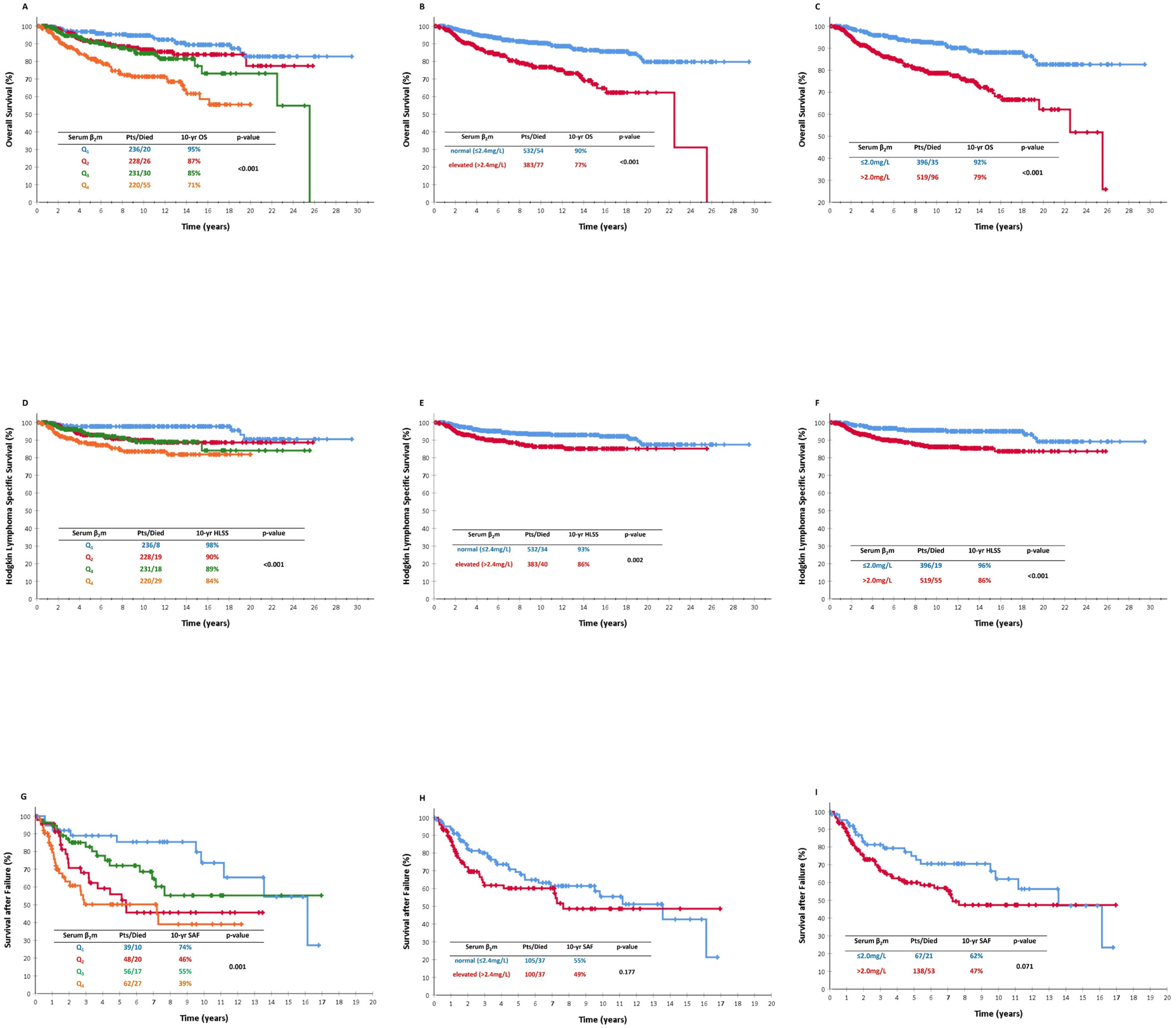
3.3. Freedom from Progression
3.3.1. All Patients
3.3.2. Early Stages
3.3.3. Advanced Stages
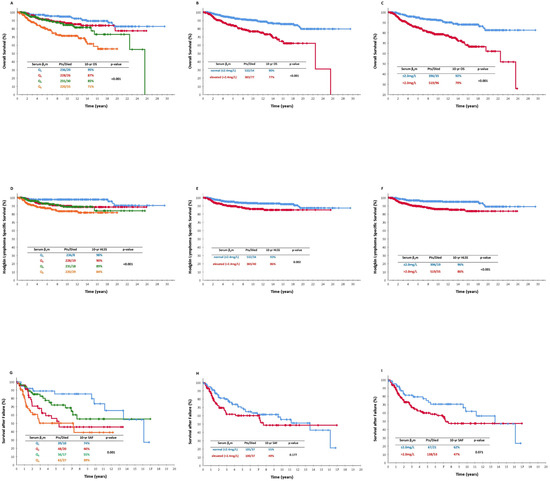
3.4. Overall Survival
3.4.1. All Patients
3.4.2. Early and Advanced Stages
3.5. Causes of Death, Hodgkin Lymphoma-Specific Survival and Survival after Failure
4. Discussion
5. Conclusions
Author Contributions
Funding
Institutional Review Board Statement
Informed Consent Statement
Data Availability Statement
Conflicts of Interest
References
- Canellos, G.P.; Rosenberg, S.A.; Friedberg, J.W.; Lister, T.A.; Devita, V.T. Treatment of Hodgkin lymphoma: A 50-year perspective. J. Clin. Oncol. 2014, 32, 163–168. [Google Scholar] [CrossRef] [PubMed]
- Vassilakopoulos, T.P.; Angelopoulou, M.K. Advanced and relapsed/refractory Hodgkin lymphoma: What has been achieved during the last 50 years. Semin. Hematol. 2013, 50, 4–14. [Google Scholar] [CrossRef] [PubMed][Green Version]
- Armand, P.; Zinzani, P.L.; Lee, H.J.; Johnson, N.A.; Brice, P.; Radford, J.; Ribrag, V.; Molin, D.; Vassilakopoulos, T.P.; Tomita, A.; et al. Five-year follow-up of KEYNOTE-087: Pembrolizumab monotherapy in relapsed/refractory classical Hodgkin lymphoma. Blood 2023, 142, 878–886. [Google Scholar] [CrossRef] [PubMed]
- Armand, P.; Engert, A.; Younes, A.; Fanale, M.; Santoro, A.; Zinzani, P.L.; Timmerman, J.M.; Collins, G.P.; Ramchandren, R.; Cohen, J.B.; et al. Nivolumab for Relapsed/Refractory Classic Hodgkin Lymphoma After Failure of Autologous Hematopoietic Cell Transplantation: Extended Follow-Up of the Multicohort Single-Arm Phase II CheckMate 205 Trial. J. Clin. Oncol. 2018, 36, 1428–1439. [Google Scholar] [CrossRef] [PubMed]
- Vassilakopoulos, T.P.; Chatzidimitriou, C.; Asimakopoulos, J.V.; Arapaki, M.; Tzoras, E.; Angelopoulou, M.K.; Konstantopoulos, K. Immunotherapy in Hodgkin Lymphoma: Present Status and Future Strategies. Cancers 2019, 11, 1071. [Google Scholar] [CrossRef] [PubMed]
- Vassilakopoulos, T.P.; Asimakopoulos, J.V.; Konstantopoulos, K.; Angelopoulou, M.K. Optimizing outcomes in relapsed/refractory Hodgkin lymphoma: A review of current and forthcoming therapeutic strategies. Ther. Adv. Hematol. 2020, 11, 2040620720902911. [Google Scholar] [CrossRef] [PubMed]
- Kuruvilla, J.; Ramchandren, R.; Santoro, A.; Paszkiewicz-Kozik, E.; Gasiorowski, R.; Johnson, N.A.; Fogliatto, L.M.; Goncalves, I.; de Oliveira, J.S.R.; Buccheri, V.; et al. Pembrolizumab versus brentuximab vedotin in relapsed or refractory classical Hodgkin lymphoma (KEYNOTE-204): An interim analysis of a multicentre, randomised, open-label, phase 3 study. Lancet Oncol. 2021, 22, 512–524. [Google Scholar] [CrossRef] [PubMed]
- Vassilakopoulos, T.P.; Liaskas, A.; Pereyra, P.; Panayiotidis, P.; Angelopoulou, M.K.; Gallamini, A. Incorporating Monoclonal Antibodies into the First-Line Treatment of Classical Hodgkin Lymphoma. Int. J. Mol. Sci. 2023, 24, 13187. [Google Scholar] [CrossRef]
- Carbone, P.P.; Kaplan, H.S.; Musshoff, K.; Smithers, D.W.; Tubiana, M. Report of the Committee on Hodgkin’s Disease Staging Classification. Cancer Res. 1971, 31, 1860–1861. [Google Scholar]
- Lister, T.A.; Crowther, D.; Sutcliffe, S.B.; Glatstein, E.; Canellos, G.P.; Young, R.C.; Rosenberg, S.A.; Coltman, C.A.; Tubiana, M. Report of a committee convened to discuss the evaluation and staging of patients with Hodgkin’s disease: Cotswolds meeting. J. Clin. Oncol. 1989, 7, 1630–1636. [Google Scholar] [CrossRef]
- Cheson, B.D.; Fisher, R.I.; Barrington, S.F.; Cavalli, F.; Schwartz, L.H.; Zucca, E.; Lister, T.A. Recommendations for initial evaluation, staging, and response assessment of Hodgkin and non-Hodgkin lymphoma: The Lugano classification. J. Clin. Oncol. 2014, 32, 3059–3068. [Google Scholar] [CrossRef] [PubMed]
- Carde, P.; Hagenbeek, A.; Hayat, M.; Monconduit, M.; Thomas, J.; Burgers, M.J.; Noordijk, E.M.; Tanguy, A.; Meerwaldt, J.H.; Le Fur, R.; et al. Clinical staging versus laparotomy and combined modality with MOPP versus ABVD in early-stage Hodgkin’s disease: The H6 twin randomized trials from the European Organization for Research and Treatment of Cancer Lymphoma Cooperative Group. J. Clin. Oncol. 1993, 11, 2258–2272. [Google Scholar] [CrossRef] [PubMed]
- Noordijk, E.M.; Carde, P.; Dupouy, N.; Hagenbeek, A.; Krol, A.D.; Kluin-Nelemans, J.C.; Tirelli, U.; Monconduit, M.; Thomas, J.; Eghbali, H.; et al. Combined-modality therapy for clinical stage I or II Hodgkin’s lymphoma: Long-term results of the European Organisation for Research and Treatment of Cancer H7 randomized controlled trials. J. Clin. Oncol. 2006, 24, 3128–3135. [Google Scholar] [CrossRef]
- Fermé, C.; Eghbali, H.; Meerwaldt, J.H.; Rieux, C.; Bosq, J.; Berger, F.; Girinsky, T.; Brice, P.; van’t Veer, M.B.; Walewski, J.A.; et al. Chemotherapy plus involved-field radiation in early-stage Hodgkin’s disease. N. Engl. J. Med. 2007, 357, 1916–1927. [Google Scholar] [CrossRef] [PubMed]
- Raemaekers, J.M.; André, M.P.; Federico, M.; Girinsky, T.; Oumedaly, R.; Brusamolino, E.; Brice, P.; Fermé, C.; van der Maazen, R.; Gotti, M.; et al. Omitting radiotherapy in early positron emission tomography-negative stage I/II Hodgkin lymphoma is associated with an increased risk of early relapse: Clinical results of the preplanned interim analysis of the randomized EORTC/LYSA/FIL H10 trial. J. Clin. Oncol. 2014, 32, 1188–1194. [Google Scholar] [CrossRef]
- Fermé, C.; Thomas, J.; Brice, P.; Casasnovas, O.; Vranovsky, A.; Bologna, S.; Lugtenburg, P.J.; Bouabdallah, R.; Carde, P.; Sebban, C.; et al. ABVD or BEACOPP(baseline) along with involved-field radiotherapy in early-stage Hodgkin Lymphoma with risk factors: Results of the European Organisation for Research and Treatment of Cancer (EORTC)-Groupe d’Étude des Lymphomes de l’Adulte (GELA) H9-U intergroup randomised trial. Eur. J. Cancer 2017, 81, 45–55. [Google Scholar] [CrossRef]
- Engert, A.; Franklin, J.; Eich, H.T.; Brillant, C.; Sehlen, S.; Cartoni, C.; Herrmann, R.; Pfreundschuh, M.; Sieber, M.; Tesch, H.; et al. Two cycles of doxorubicin, bleomycin, vinblastine, and dacarbazine plus extended-field radiotherapy is superior to radiotherapy alone in early favorable Hodgkin’s lymphoma: Final results of the GHSG HD7 trial. J. Clin. Oncol. 2007, 25, 3495–3502. [Google Scholar] [CrossRef]
- Engert, A.; Schiller, P.; Josting, A.; Herrmann, R.; Koch, P.; Sieber, M.; Boissevain, F.; De Wit, M.; Mezger, J.; Duhmke, E.; et al. Involved-field radiotherapy is equally effective and less toxic compared with extended-field radiotherapy after four cycles of chemotherapy in patients with early-stage unfavorable Hodgkin’s lymphoma: Results of the HD8 trial of the German Hodgkin’s Lymphoma Study Group. J. Clin. Oncol. 2003, 21, 3601–3608. [Google Scholar] [CrossRef]
- Engert, A.; Plütschow, A.; Eich, H.T.; Lohri, A.; Dörken, B.; Borchmann, P.; Berger, B.; Greil, R.; Willborn, K.C.; Wilhelm, M.; et al. Reduced treatment intensity in patients with early-stage Hodgkin’s lymphoma. N. Engl. J. Med. 2010, 363, 640–652. [Google Scholar] [CrossRef]
- Eich, H.T.; Diehl, V.; Görgen, H.; Pabst, T.; Markova, J.; Debus, J.; Ho, A.; Dörken, B.; Rank, A.; Grosu, A.L.; et al. Intensified chemotherapy and dose-reduced involved-field radiotherapy in patients with early unfavorable Hodgkin’s lymphoma: Final analysis of the German Hodgkin Study Group HD11 trial. J. Clin. Oncol. 2010, 28, 4199–4206. [Google Scholar] [CrossRef]
- Behringer, K.; Goergen, H.; Hitz, F.; Zijlstra, J.M.; Greil, R.; Markova, J.; Sasse, S.; Fuchs, M.; Topp, M.S.; Soekler, M.; et al. Omission of dacarbazine or bleomycin, or both, from the ABVD regimen in treatment of early-stage favourable Hodgkin’s lymphoma (GHSG HD13): An open-label, randomised, non-inferiority trial. Lancet 2015, 385, 1418–1427. [Google Scholar] [CrossRef] [PubMed]
- von Tresckow, B.; Plütschow, A.; Fuchs, M.; Klimm, B.; Markova, J.; Lohri, A.; Kral, Z.; Greil, R.; Topp, M.S.; Meissner, J.; et al. Dose-intensification in early unfavorable Hodgkin’s lymphoma: Final analysis of the German Hodgkin Study Group HD14 trial. J. Clin. Oncol. 2012, 30, 907–913. [Google Scholar] [CrossRef] [PubMed]
- Fuchs, M.; Goergen, H.; Kobe, C.; Kuhnert, G.; Lohri, A.; Greil, R.; Sasse, S.; Topp, M.S.; Schafer, E.; Hertenstein, B.; et al. Positron Emission Tomography-Guided Treatment in Early-Stage Favorable Hodgkin Lymphoma: Final Results of the International, Randomized Phase III HD16 Trial by the German Hodgkin Study Group. J. Clin. Oncol. 2019, 37, 2835–2845. [Google Scholar] [CrossRef]
- Borchmann, P.; Plutschow, A.; Kobe, C.; Greil, R.; Meissner, J.; Topp, M.S.; Ostermann, H.; Dierlamm, J.; Mohm, J.; Thiemer, J.; et al. PET-guided omission of radiotherapy in early-stage unfavourable Hodgkin lymphoma (GHSG HD17): A multicentre, open-label, randomised, phase 3 trial. Lancet Oncol. 2021, 22, 223–234. [Google Scholar] [CrossRef] [PubMed]
- Hasenclever, D.; Diehl, V. A prognostic score for advanced Hodgkin’s disease. International Prognostic Factors Project on Advanced Hodgkin’s Disease. N. Engl. J. Med. 1998, 339, 1506–1514. [Google Scholar] [CrossRef] [PubMed]
- Hayden, A.R.; Lee, D.G.; Villa, D.; Gerrie, A.S.; Scott, D.W.; Slack, G.W.; Sehn, L.H.; Connors, J.M.; Savage, K.J. Validation of a simplified international prognostic score (IPS-3) in patients with advanced-stage classic Hodgkin lymphoma. Br. J. Haematol. 2020, 189, 122–127. [Google Scholar] [CrossRef] [PubMed]
- Diefenbach, C.S.; Li, H.; Hong, F.; Gordon, L.I.; Fisher, R.I.; Bartlett, N.L.; Crump, M.; Gascoyne, R.D.; Wagner, H., Jr.; Stiff, P.J.; et al. Evaluation of the International Prognostic Score (IPS-7) and a Simpler Prognostic Score (IPS-3) for advanced Hodgkin lymphoma in the modern era. Br. J. Haematol. 2015, 171, 530–538. [Google Scholar] [CrossRef]
- Rodday, A.M.; Parsons, S.K.; Upshaw, J.N.; Friedberg, J.W.; Gallamini, A.; Hawkes, E.; Hodgson, D.; Johnson, P.; Link, B.K.; Mou, E.; et al. The Advanced-Stage Hodgkin Lymphoma International Prognostic Index: Development and Validation of a Clinical Prediction Model From the HoLISTIC Consortium. J. Clin. Oncol. 2023, 41, 2076–2086. [Google Scholar] [CrossRef]
- Moccia, A.A.; Donaldson, J.; Chhanabhai, M.; Hoskins, P.J.; Klasa, R.J.; Savage, K.J.; Shenkier, T.N.; Slack, G.W.; Skinnider, B.; Gascoyne, R.D.; et al. International Prognostic Score in advanced-stage Hodgkin’s lymphoma: Altered utility in the modern era. J. Clin. Oncol. 2012, 30, 3383–3388. [Google Scholar] [CrossRef]
- Brockelmann, P.J.; Angelopoulou, M.K.; Vassilakopoulos, T.P. Prognostic factors in Hodgkin lymphoma. Semin. Hematol. 2016, 53, 155–164. [Google Scholar] [CrossRef] [PubMed]
- Greipp, P.R.; San Miguel, J.; Durie, B.G.; Crowley, J.J.; Barlogie, B.; Bladé, J.; Boccadoro, M.; Child, J.A.; Avet-Loiseau, H.; Kyle, R.A.; et al. International staging system for multiple myeloma. J. Clin. Oncol. 2005, 23, 3412–3420. [Google Scholar] [CrossRef] [PubMed]
- Federico, M.; Guglielmi, C.; Luminari, S.; Mammi, C.; Marcheselli, L.; Gianelli, U.; Maiorana, A.; Merli, F.; Bellei, M.; Pozzi, S.; et al. Prognostic relevance of serum beta2 microglobulin in patients with follicular lymphoma treated with anthracycline-containing regimens. A GISL study. Haematologica 2007, 92, 1482–1488. [Google Scholar] [CrossRef] [PubMed]
- Federico, M.; Bellei, M.; Marcheselli, L.; Luminari, S.; Lopez-Guillermo, A.; Vitolo, U.; Pro, B.; Pileri, S.; Pulsoni, A.; Soubeyran, P.; et al. Follicular lymphoma international prognostic index 2: A new prognostic index for follicular lymphoma developed by the international follicular lymphoma prognostic factor project. J. Clin. Oncol. 2009, 27, 4555–4562. [Google Scholar] [CrossRef] [PubMed]
- Shi, C.; Zhu, Y.; Su, Y.; Chung, L.W.; Cheng, T. Beta2-microglobulin: Emerging as a promising cancer therapeutic target. Drug Discov. Today 2009, 14, 25–30. [Google Scholar] [CrossRef] [PubMed]
- Yoo, C.; Yoon, D.H.; Suh, C. Serum beta-2 microglobulin in malignant lymphomas: An old but powerful prognostic factor. Blood Res. 2014, 49, 148–153. [Google Scholar] [CrossRef]
- Miyashita, K.; Tomita, N.; Taguri, M.; Suzuki, T.; Ishiyama, Y.; Ishii, Y.; Nakajima, Y.; Numata, A.; Hattori, Y.; Yamamoto, W.; et al. Beta-2 microglobulin is a strong prognostic factor in patients with DLBCL receiving R-CHOP therapy. Leuk. Res. 2015, 39, 1187–1191. [Google Scholar] [CrossRef] [PubMed]
- Melchardt, T.; Troppan, K.; Weiss, L.; Hufnagl, C.; Neureiter, D.; Tränkenschuh, W.; Hopfinger, G.; Magnes, T.; Deutsch, A.; Neumeister, P.; et al. A modified scoring of the NCCN-IPI is more accurate in the elderly and is improved by albumin and β2 -microglobulin. Br. J. Haematol. 2015, 168, 239–245. [Google Scholar] [CrossRef] [PubMed]
- Seo, S.; Hong, J.Y.; Yoon, S.; Yoo, C.; Park, J.H.; Lee, J.B.; Park, C.S.; Huh, J.; Lee, Y.; Kim, K.W.; et al. Prognostic significance of serum beta-2 microglobulin in patients with diffuse large B-cell lymphoma in the rituximab era. Oncotarget 2016, 7, 76934–76943. [Google Scholar] [CrossRef]
- Yoo, C.; Yoon, D.H.; Kim, S.; Huh, J.; Park, C.S.; Park, C.J.; Lee, S.W.; Suh, C. Serum beta-2 microglobulin as a prognostic biomarker in patients with mantle cell lymphoma. Hematol. Oncol. 2016, 34, 22–27. [Google Scholar] [CrossRef]
- Kanemasa, Y.; Shimoyama, T.; Sasaki, Y.; Tamura, M.; Sawada, T.; Omuro, Y.; Hishima, T.; Maeda, Y. Beta-2 microglobulin as a significant prognostic factor and a new risk model for patients with diffuse large B-cell lymphoma. Hematol. Oncol. 2017, 35, 440–446. [Google Scholar] [CrossRef]
- Montalbán, C.; Díaz-López, A.; Dlouhy, I.; Rovira, J.; Lopez-Guillermo, A.; Alonso, S.; Martín, A.; Sancho, J.M.; García, O.; Sánchez, J.M.; et al. Validation of the NCCN-IPI for diffuse large B-cell lymphoma (DLBCL): The addition of β(2) -microglobulin yields a more accurate GELTAMO-IPI. Br. J. Haematol. 2017, 176, 918–928. [Google Scholar] [CrossRef]
- Sorigue, M.; Bishton, M.; Domingo-Domenech, E.; McMillan, A.; Prusila, R.; García, O.; Kuusisto, M.; Condom, M.; Tapia, G.; Ribera, J.M.; et al. Refractoriness to rituximab-based therapy and elevated serum B2-microglobulin predict for inferior survival in marginal zone lymphoma. Leuk. Lymphoma 2019, 60, 2524–2531. [Google Scholar] [CrossRef]
- Khashab, T.; Hagemeister, F.; Romaguera, J.E.; Fanale, M.A.; Pro, B.; McLaughlin, P.; Rodriguez, M.A.; Neelapu, S.S.; Fayad, L.; Younes, A.; et al. Long-term overall- and progression-free survival after pentostatin, cyclophosphamide and rituximab therapy for indolent non-Hodgkin lymphoma. Br. J. Haematol. 2019, 185, 670–678. [Google Scholar] [CrossRef] [PubMed]
- Bento, L.; Díaz-López, A.; Barranco, G.; Martín-Moreno, A.M.; Baile, M.; Martín, A.; Sancho, J.M.; García, O.; Rodríguez, M.; Sánchez-Pina, J.M.; et al. New prognosis score including absolute lymphocyte/monocyte ratio, red blood cell distribution width and beta-2 microglobulin in patients with diffuse large B-cell lymphoma treated with R-CHOP: Spanish Lymphoma Group Experience (GELTAMO). Br. J. Haematol. 2020, 188, 888–897. [Google Scholar] [CrossRef] [PubMed]
- Advani, R.H.; Skrypets, T.; Civallero, M.; Spinner, M.A.; Manni, M.; Kim, W.S.; Shustov, A.R.; Horwitz, S.M.; Hitz, F.; Cabrera, M.E.; et al. Outcomes and prognostic factors in angioimmunoblastic T-cell lymphoma: Final report from the international T-cell Project. Blood 2021, 138, 213–220. [Google Scholar] [CrossRef] [PubMed]
- Kang, S.; Cho, H.; Kim, S.; Lee, K.; Kang, E.H.; Park, J.S.; Lee, Y.S.; Park, C.S.; Go, H.; Huh, J.; et al. A New Prognostic Index for Extranodal Natural Killer/T-Cell Lymphoma: Incorporation of Serum β-2 Microglobulin to PINK. Cancer Res. Treat. 2023, 55, 314–324. [Google Scholar] [CrossRef] [PubMed]
- Tsimberidou, A.M.; Kantarjian, H.M.; Wen, S.; O’Brien, S.; Cortes, J.; Wierda, W.G.; Koller, C.; Pierce, S.; Brandt, M.; Freireich, E.J.; et al. The prognostic significance of serum beta2 microglobulin levels in acute myeloid leukemia and prognostic scores predicting survival: Analysis of 1,180 patients. Clin. Cancer Res. 2008, 14, 721–730. [Google Scholar] [CrossRef]
- Dimopoulos, M.A.; Cabanillas, F.; Lee, J.J.; Swan, F.; Fuller, L.; Allen, P.K.; Hagemeister, F.B. Prognostic role of serum beta 2-microglobulin in Hodgkin’s disease. J. Clin. Oncol. 1993, 11, 1108–1111. [Google Scholar] [CrossRef]
- Fleury, J.; Tortochaux, J.; Legros, M.; Cure, H.; Kwiatkowski, F.; Ferrière, J.P.; Travade, P.; Dionet, C.; Gaillard, G.; Chassagne, J.; et al. Prognostic value of beta-2-microglobulin in Hodgkin disease in young adults. Bull. Cancer 1994, 81, 625–631. [Google Scholar]
- Raida, L.; Papajík, T.; Hlusí, A.; Faber, E.; Urbanová, R.; Heczko, M.; Jancíková, M.; Zapletalová, J.; Komenda, S.; Indrák, K. Importance of determination of serum beta-2-microglobulin levels in patients with Hodgkin’s lymphoma. Vnitr. Lek. 2002, 48, 91–95. [Google Scholar]
- Chronowski, G.M.; Wilder, R.B.; Tucker, S.L.; Ha, C.S.; Sarris, A.H.; Hagemeister, F.B.; Barista, I.; Hess, M.A.; Cabanillas, F.; Cox, J.D. An elevated serum beta-2-microglobulin level is an adverse prognostic factor for overall survival in patients with early-stage Hodgkin disease. Cancer 2002, 95, 2534–2538. [Google Scholar] [CrossRef] [PubMed]
- Vassilakopoulos, T.P.; Nadali, G.; Angelopoulou, M.K.; Siakantaris, M.P.; Dimopoulou, M.N.; Kontopidou, F.N.; Karkantaris, C.; Kokoris, S.I.; Kyrtsonis, M.C.; Tsaftaridis, P.; et al. The prognostic significance of beta(2)-microglobulin in patients with Hodgkin’s lymphoma. Haematologica 2002, 87, 701–708. [Google Scholar] [PubMed]
- Vassilakopoulos, T.P.; Nadali, G.; Angelopoulou, M.K.; Dimopoulou, M.N.; Siakantaris, M.P.; Kontopidou, F.N.; Karkantaris, C.; Kokoris, S.I.; Dimitriadou, E.M.; Calpadaki, C.; et al. Beta(2)-microglobulin in Hodgkin’s lymphoma: Prognostic significance in patients treated with ABVD or equivalent regimens. J. Buon 2005, 10, 59–69. [Google Scholar] [PubMed]
- Bien, E.; Balcerska, A. Serum soluble interleukin-2 receptor, beta2-microglobulin, lactate dehydrogenase and erythrocyte sedimentation rate in children with Hodgkin’s lymphoma. Scand. J. Immunol. 2009, 70, 490–500. [Google Scholar] [CrossRef] [PubMed]
- Nakajima, Y.; Tomita, N.; Watanabe, R.; Ishiyama, Y.; Yamamoto, E.; Ishibashi, D.; Itabashi, M.; Koyama, S.; Takahashi, H.; Numata, A.; et al. Prognostic significance of serum beta-2 microglobulin level in Hodgkin lymphoma treated with ABVD-based therapy. Med. Oncol. 2014, 31, 185. [Google Scholar] [CrossRef] [PubMed]
- Wang, Q.; Qin, Y.; Zhou, S.; He, X.; Yang, J.; Kang, S.; Liu, P.; Yang, S.; Zhang, C.; Gui, L.; et al. Prognostic value of pretreatment serum beta-2 microglobulin level in advanced classical Hodgkin lymphoma treated in the modern era. Oncotarget 2016, 7, 72219–72228. [Google Scholar] [CrossRef] [PubMed]
- Vassilakopoulos, T.P.; Angelopoulou, M.K.; Siakantaris, M.P.; Kontopidou, F.N.; Dimopoulou, M.N.; Kokoris, S.I.; Kyrtsonis, M.C.; Tsaftaridis, P.; Karkantaris, C.; Anargyrou, K.; et al. Combination chemotherapy plus low-dose involved-field radiotherapy for early clinical stage Hodgkin’s lymphoma. Int. J. Radiat. Oncol. Biol. Phys. 2004, 59, 765–781. [Google Scholar] [CrossRef]
- Vassilakopoulos, T.P.; Dimopoulou, M.N.; Angelopoulou, M.K.; Petevi, K.; Pangalis, G.A.; Moschogiannis, M.; Dimou, M.; Boutsikas, G.; Kanellopoulos, A.; Gainaru, G.; et al. Prognostic Implication of the Absolute Lymphocyte to Absolute Monocyte Count Ratio in Patients With Classical Hodgkin Lymphoma Treated With Doxorubicin, Bleomycin, Vinblastine, and Dacarbazine or Equivalent Regimens. Oncologist 2016, 21, 343–353. [Google Scholar] [CrossRef]
- Karakatsanis, S.; Panitsas, F.; Arapaki, M.; Galopoulos, D.; Asimakopoulos, J.V.; Liaskas, A.; Chatzidimitriou, C.; Belia, M.; Konstantinou, E.; Vassilopoulos, I.; et al. Serum ferritin levels in previously untreated classical Hodgkin lymphoma: Correlations and prognostic significance. Leuk. Lymphoma 2022, 63, 799–812. [Google Scholar] [CrossRef]
- Kaplan, E.; Meier, P. Nonparametric estimation from incomplete observations. J. Am. Stat. Assoc. 1958, 53, 457–481. [Google Scholar] [CrossRef]
- Mantel, N. Evaluation of survival data and two new rank order statistics arising in its consideration. Cancer Chemother. Rep. 1966, 50, 163–170. [Google Scholar] [PubMed]
- Cox, D. Regression models and life tables (with Discussion). J. R. Stat. Soc. B 1972, 34. [Google Scholar]
- Peterson, P.A.; Cunningham, B.A.; Berggård, I.; Edelman, G.M. β2-Microglobulin--A free immunoglobulin domain. Proc. Natl. Acad. Sci. USA 1972, 69, 1697–1701. [Google Scholar] [CrossRef] [PubMed]
- Axdorph, U.; Sjöberg, J.; Grimfors, G.; Landgren, O.; Porwit-MacDonald, A.; Björkholm, M. Biological markers may add to prediction of outcome achieved by the International Prognostic Score in Hodgkin’s disease. Ann. Oncol. 2000, 11, 1405–1411. [Google Scholar] [CrossRef] [PubMed]
- Oza, A.M.; Ganesan, T.S.; Dorreen, M.; Johnson, P.W.; Waxman, J.; Gregory, W.; Lim, J.; Wright, J.; Dadiotis, L.; Barbounis, V.; et al. Patterns of survival in patients with advanced Hodgkin’s disease (HD) treated in a single centre over 20 years. Br. J. Cancer 1992, 65, 429–437. [Google Scholar] [CrossRef] [PubMed][Green Version]
- Visco, C.; Vassilakopoulos, T.P.; Kliche, K.O.; Nadali, G.; Viviani, S.; Bonfante, V.; Medeiros, L.J.; Notti, P.; Rassidakis, G.Z.; Peethambaram, P.; et al. Elevated serum levels of IL-10 are associated with inferior progression-free survival in patients with Hodgkin’s disease treated with radiotherapy. Leuk. Lymphoma 2004, 45, 2085–2092. [Google Scholar] [CrossRef] [PubMed]
- Itoh, K.; Kinoshita, T.; Watanabe, T.; Yoshimura, K.; Okamoto, R.; Chou, T.; Ogura, M.; Hirano, M.; Asaoku, H.; Kurosawa, M.; et al. Prognostic analysis and a new risk model for Hodgkin lymphoma in Japan. Int. J. Hematol. 2010, 91, 446–455. [Google Scholar] [CrossRef] [PubMed]
- Mirili, C.; Paydas, S.; Kapukaya, T.K.; Yılmaz, A. Systemic immune-inflammation index predicting survival outcome in patients with classical Hodgkin lymphoma. Biomark. Med. 2019, 13, 1565–1575. [Google Scholar] [CrossRef]
- Wen, Q.; Ge, J.; Lei, Y.; Zhang, Y.; Kong, X.; Wang, W.; Hou, H.; Wang, Z.; Qian, S.; Ding, M.; et al. Real-world evidence of ABVD-like regimens compared with ABVD in classical Hodgkin lymphoma: A 10-year study from China. J. Cancer Res. Clin. Oncol. 2022, 149, 3989–4003. [Google Scholar] [CrossRef]
- Picardi, M.; Fonti, R.; Della Pepa, R.; Giordano, C.; Pugliese, N.; Nicolai, E.; Salvatore, M.; Mainolfi, C.; Venetucci, P.; Rascato, M.G.; et al. 2-deoxy-2[F-18] fluoro-D-glucose positron emission tomography Deauville scale and core-needle biopsy to determine successful management after six doxorubicin, bleomycin, vinblastine and dacarbazine cycles in advanced-stage Hodgkin lymphoma. Eur. J. Cancer 2020, 132, 85–97. [Google Scholar] [CrossRef]
- Spina, V.; Bruscaggin, A.; Cuccaro, A.; Martini, M.; Di Trani, M.; Forestieri, G.; Manzoni, M.; Condoluci, A.; Arribas, A.; Terzi-Di-Bergamo, L.; et al. Circulating tumor DNA reveals genetics, clonal evolution, and residual disease in classical Hodgkin lymphoma. Blood 2018, 131, 2413–2425. [Google Scholar] [CrossRef]
- Camus, V.; Viennot, M.; Lequesne, J.; Viailly, P.J.; Bohers, E.; Bessi, L.; Marcq, B.; Etancelin, P.; Dubois, S.; Picquenot, J.M.; et al. Targeted genotyping of circulating tumor DNA for classical Hodgkin lymphoma monitoring: A prospective study. Haematologica 2021, 106, 154–162. [Google Scholar] [CrossRef]
- Pepe, F.; Giordano, C.; Russo, G.; Palumbo, L.; Vincenzi, A.; Acanfora, G.; Lisi, D.; Picardi, M.; Pane, F.; Troncone, G.; et al. Liquid biopsy: A promising tool for driving strategies and predicting failures in patients with classic Hodgkin lymphoma. Cytopathology 2023. [Google Scholar] [CrossRef]
- Mettler, J.; Müller, H.; Voltin, C.A.; Baues, C.; Klaeser, B.; Moccia, A.; Borchmann, P.; Engert, A.; Kuhnert, G.; Drzezga, A.E.; et al. Metabolic Tumour Volume for Response Prediction in Advanced-Stage Hodgkin Lymphoma. J. Nucl. Med. 2018, 60, 207–211. [Google Scholar] [CrossRef]
- Cottereau, A.S.; Versari, A.; Loft, A.; Casasnovas, O.; Bellei, M.; Ricci, R.; Bardet, S.; Castagnoli, A.; Brice, P.; Raemaekers, J.; et al. Prognostic value of baseline metabolic tumor volume in early-stage Hodgkin lymphoma in the standard arm of the H10 trial. Blood 2018, 131, 1456–1463. [Google Scholar] [CrossRef]
- Gallamini, A.; Sudria, A.; Kurlapski, M.; Gastaud, L. Revisiting the predictive role of 18F-fluorodeoxyglucose positron emission tomography/computerized tomography on treatment outcome in early-stage favorable Hodgkin lymphoma. Hematol. Oncol. 2023, 41, 608–611. [Google Scholar] [CrossRef]
- van Heek, L.; Stuka, C.; Kaul, H.; Müller, H.; Mettler, J.; Hitz, F.; Baues, C.; Fuchs, M.; Borchmann, P.; Engert, A.; et al. Predictive value of baseline metabolic tumor volume in early-stage favorable Hodgkin Lymphoma - Data from the prospective, multicenter phase III HD16 trial. BMC Cancer 2022, 22, 672. [Google Scholar] [CrossRef]
- Rossi, C.; André, M.; Dupuis, J.; Morschhauser, F.; Joly, B.; Lazarovici, J.; Ghesquières, H.; Stamatoullas, A.; Nicolas-Virelizier, E.; Feugier, P.; et al. High-risk stage IIB Hodgkin lymphoma treated in the H10 and AHL2011 trials: Total metabolic tumor volume is a useful risk factor to stratify patients at baseline. Haematologica 2022, 107, 2897–2904. [Google Scholar] [CrossRef]
- Moskowitz, A.J.; Schöder, H.; Gavane, S.; Thoren, K.L.; Fleisher, M.; Yahalom, J.; McCall, S.J.; Cadzin, B.R.; Fox, S.Y.; Gerecitano, J.; et al. Prognostic significance of baseline metabolic tumor volume in relapsed and refractory Hodgkin lymphoma. Blood 2017, 130, 2196–2203. [Google Scholar] [CrossRef]
- Guo, B.; Tan, X.; Ke, Q.; Cen, H. Prognostic value of baseline metabolic tumor volume and total lesion glycolysis in patients with lymphoma: A meta-analysis. PLoS ONE 2019, 14, e0210224. [Google Scholar] [CrossRef]
- Driessen, J.; Zwezerijnen, G.J.C.; Schöder, H.; Drees, E.E.E.; Kersten, M.J.; Moskowitz, A.J.; Moskowitz, C.H.; Eertink, J.J.; Vet, H.C.W.; Hoekstra, O.S.; et al. The Impact of Semiautomatic Segmentation Methods on Metabolic Tumor Volume, Intensity, and Dissemination Radiomics in (18)F-FDG PET Scans of Patients with Classical Hodgkin Lymphoma. J. Nucl. Med. 2022, 63, 1424–1430. [Google Scholar] [CrossRef] [PubMed]
- Durmo, R.; Donati, B.; Rebaud, L.; Cottereau, A.S.; Ruffini, A.; Nizzoli, M.E.; Ciavarella, S.; Vegliante, M.C.; Nioche, C.; Meignan, M.; et al. Prognostic value of lesion dissemination in doxorubicin, bleomycin, vinblastine, and dacarbazine-treated, interimPET-negative classical Hodgkin Lymphoma patients: A radio-genomic study. Hematol. Oncol. 2022, 40, 645–657. [Google Scholar] [CrossRef] [PubMed]
- Gallamini, A.; Rambaldi, A.; Patti, C.; Romano, A.; Viviani, S.; Silvia, B.; Silvia, O.; Trentin, L.; Cantonetti, M.; Roberto, S.; et al. Lesion Dissemination in Baseline PET/CT (D-MAX) and IPS Score Predict ABVD Treatment Outcome in PET-2 Negative Advanced-Stage Hodgkin Lymphoma Patients Enrolled in the Prospective GITIL/FIL HD0607 Trial. Blood 2021, 138, 2443. [Google Scholar] [CrossRef]


| Patient Characteristics | Value | Patients | Serum β2-Microglobulin | p-Value | ||
|---|---|---|---|---|---|---|
| # | % | Median | IQR | |||
| Age (years) | <45 ≥45 | 659 256 | 72.0 28.0 | 2.00 3.00 | 1.70–2.63 2.20–4.20 | <0.001 |
| Gender | female male | 402 513 | 43.9 56.1 | 2.00 2.37 | 1.70–2.80 1.89–3.20 | <0.001 |
| AnnArbor Stage | I/IIA IB/IIB/III/IV | 515 400 | 56.3 33.7 | 1.98 2.70 | 1.70–2.55 2.00–3.70 | <0.001 |
| AnnArbor Stage | IA/B IIA/B IIIA/B IVA/B | 182/13 320/111 75/87 34/93 | 19.9/1.4 35.0/12.1 8.2/9.5 3.7/10.2 | 2.00/2.90 1.95/2.30 2.40/3.20 2.49/2.93 | 0.85/2.15 0.82/1.54 1.40/1.96 1.59/2.03 | <0.001 |
| B-Symptoms | A B | 611 304 | 66.8 33.2 | 2.00 2.80 | 1.70–2.61 2.03–3.93 | <0.001 |
| Histology | NLP NS MC LD LR UCL IF-NS/MC | 44 610 173 3 39 16 4+2 | 4.9 68.5 19.4 0.3 4.4 1.8 0.6 | 1.90 2.13 2.61 2.48 2.30 3.39 1.90 | 1.51–2.58 1.76–2.80 1.90–3.70 1.90–5.30 1.90–2.95 2.38–4.33 1.87–3.04 | <0.001 |
| Bone marrow involvement | no yes | 819 41 | 95.2 4.8 | 2.17 3.50 | 1.78–3.00 2.68–5.25 | <0.001 |
| Liver involvement | no yes | 887 21 | 97.7 2.3 | 2.20 4.00 | 1.80–3.00 2.74–4.76 | <0.001 |
| Lung involvement | no yes | 819 84 | 90.7 9.3 | 2.18 2.44 | 1.78–3.00 2.00–3.48 | 0.012 |
| Iliac/inguinal involvement | no yes | 818 82 | 90.9 9.1 | 2.10 3.00 | 1.77–2.80 2.03–3.80 | 0.022 |
| Anemia | no yes | 525 389 | 57.4 42.6 | 2.00 2.52 | 1.70–2.63 1.95–3.70 | <0.001 |
| Leukocytosis (×109/L) | <10 ≥10 | 533 377 | 58.6 41.4 | 2.20 2.22 | 1.79–3.24 1.82–2.90 | 0.83 |
| Marked Leukocytosis(×109/L) | <15 ≥15 | 787 123 | 86.5 13.5 | 2.18 2.40 | 1.78–3.00 1.97–3.14 | 0.019 |
| Severe Lymphocytopenia | no yes | 771 97 | 88.8 11.2 | 2.20 2.54 | 1.80–3.00 2.02–3.84 | <0.001 |
| ESR (mm/h) | <50 ≥50 | 408 411 | 49.8 50.2 | 2.00 2.41 | 1.70–2.60 1.90–3.38 | <0.001 |
| LDH | normal elevated | 599 251 | 70.5 29.5 | 2.10 2.61 | 1.75–2.80 2.00–3.62 | <0.001 |
| Albumin (g/dL) | ≥4 <4 | 469 413 | 53.2 46.8 | 2.00 2.58 | 1.70–2.60 1.94–3.68 | <0.001 |
| IPS | 0–2 3–7 | 633 244 | 72.2 27.8 | 2.00 3.05 | 1.70–2.60 2.26–4.08 | <0.001 |
| Nodal sites (#; AAS I/IIA) | 1–2 ≥3 | 371 143 | 72.2 27.8 | 2.00 1.93 | 1.70–2.60 1.70–2.47 | 0.69 |
| Involved sites (#; AAS IIB-IV) | ≤4 ≥5 | 205 183 | 52.8 47.2 | 2.40 3.00 | 1.87–3.45 2.21–4.00 | <0.001 |
| Biological Prognostic Factor | Patients with Available Data (#) | Statistical Method | p-Value | Comments |
|---|---|---|---|---|
| Serum Ferritin(ng/mL) | 399 | Spearman’s rho = 0.455 | <0.001 | Positive correlation |
| Serum soluble CD30 | 204 | Spearman’s rho = 0.333 | <0.001 | Positive correlation |
| Serum interleukin10(pg/mL) | 204 | Spearman’s rho = 0.336 | <0.001 | Positive correlation |
| Bcl-2 expression | 102 | Mann–Whitney | 0.64 | - |
| Activated caspase-3 | 73 | Mann–Whitney | 0.79 | - |
| LMP-1 expression | 189 | Mann–Whitney | 0.10 | ↑β2m in positive cases |
| Cutoff | All Patients | Stages IA/IIA | Stages IB/IIB/III/IV | ||||||
|---|---|---|---|---|---|---|---|---|---|
| (mg/L) | Pts/Failed | 10y-FFP | p | Pts/Failed | 10y-FFP | p | Pts/Failed | 10y-FFP | p |
| ≤1.8 | 236/36 | 84 | 0.002 | 181/22 | 88 | 0.012 | 55/17 | 70 | 0.569 |
| >1.8 | 679/169 | 73 | 334/62 | 79 | 345/107 | 66 | |||
| ≤1.9 | 311/52 | 84 | <0.001 | 231/28 | 88 | 0.003 | 80/24 | 70 | 0.431 |
| >1.9 | 604/156 | 72 | 284/56 | 78 | 320/100 | 66 | |||
| ≤2.0 | 396/67 | 83 | <0.001 | 290/39 | 86 | 0.007 | 106/28 | 71 | 0.090 |
| >2.0 | 519/141 | 70 | 225/45 | 78 | 294/96 | 64 | |||
| ≤2.1 | 424/75 | 82 | <0.001 | 304/41 | 86 | 0.007 | 120/34 | 71 | 0.211 |
| >2.1 | 491/133 | 70 | 211/43 | 77 | 280/90 | 65 | |||
| ≤2.2 | 464/87 | 81 | <0.001 | 326/48 | 85 | 0.07 | 138/39 | 71 | 0.182 |
| >2.2 | 451/121 | 70 | 189/36 | 77 | 262/85 | 64 | |||
| ≤2.3 | 496/97 | 80 | 0.001 | 345/51 | 85 | 0.063 | 151/46 | 70 | 0.477 |
| >2.3 | 419/111 | 70 | 170/33 | 78 | 249/78 | 65 | |||
| ≤2.4 | 532/105 | 80 | 0.001 | 365/54 | 85 | 0.06 | 167/51 | 70 | 0.504 |
| >2.4 | 393/105 | 70 | 150/30 | 78 | 233/73 | 65 | |||
| ≤2.5 | 566/113 | 80 | 0.001 | 384/58 | 84 | 0.115 | 182/55 | 70 | 0.428 |
| >2.5 | 349/95 | 69 | 131/26 | 78 | 218/69 | 64 | |||
| ≤2.6 | 596/117 | 80 | <0.001 | 401/60 | 85 | 0.08 | 195/57 | 71 | 0.243 |
| >2.6 | 319/91 | 68 | 114/29 | 76 | 205/67 | 63 | |||
| ≤2.7 | 623/123 | 80 | <0.001 | 418/65 | 84 | 0.286 | 205/58 | 72 | 0.107 |
| >2.7 | 292/85 | 67 | 97/19 | 78 | 195/66 | 62 | |||
| ≤2.8 | 646/138 | 79 | 0.002 | 427/69 | 83 | 0.743 | 219/61 | 70 | 0.188 |
| >2.8 | 269/75 | 69 | 88/15 | 81 | 181/60 | 63 | |||
| ≤2.9 | 664/137 | 79 | 0.002 | 437/70 | 83 | 0.600 | 227/67 | 70 | 0.256 |
| >2.9 | 251/71 | 68 | 78/14 | 80 | 173/57 | 60 | |||
| ≤3.0 | 695/144 | 78 | 0.002 | 452/73 | 83 | 0.714 | 243/71 | 70 | 0.282 |
| >3.0 | 220/64 | 68 | 63/11 | 80 | 157/53 | 63 | |||
| ≤3.5 | 759/161 | 78 | 0.002 | 477/77 | 83 | 0.538 | 282/84 | 69 | 0.291 |
| >3.5 | 156/47 | 67 | 38/7 | 81 | 118/40 | 63 | |||
| ≤4.0 | 810/178 | 77 | 0.044 | 490/80 | 83 | 0.887 | 320/98 | 68 | 0.604 |
| >4.0 | 105/30 | 68 | 25/4 | 82 | 80/26 | 64 | |||
| Covariates Entering the Multivariate Model | Serum β2-Microglobulin at the 2.0 mg/L Cutoff | Covariates Entering the Multivariate Model | Serum β2-Microglobulin on a “Normal vs. Elevated” Basis | ||||
|---|---|---|---|---|---|---|---|
| Hazard Ratio | 95% Cl | p-Value | Hazard Ratio | 95% Cl | p-Value | ||
| All patients—Freedom From Progression * | |||||||
| Clinical Stage | Clinical Stage | ||||||
| Stage IIB/III vs. I/IIA | 1.65 | 1.16–2.36 | 0.005 | Stage IIB/III vs. I/IIA | 1.84 | 1.30–2.60 | 0.001 |
| Stage IV vs. I/IIA | 2.29 | 1.53–3.42 | <0.001 | Stage IV vs. I/IIA | 2.59 | 1.75–3.85 | <0.001 |
| Lymphopenia (yes vs. no) | 1.76 | 1.19–2.59 | 0.004 | Lymphopenia (yes vs. no) | 1.84 | 1.24–2.72 | 0.002 |
| Sβ2m (>2.0 vs. ≤2 mg/L) | 1.55 | 1.11–2.17 | 0.01 | Sβ2m (>2.4 vs. ≤2.4 mg/L) | Not | selected | - |
| Early stages—Freedom From Progression (I/IIA) ** | |||||||
| Nodal Sites # (≥3 vs.<3) | 1.97 | 1.24–3.16 | 0.005 | Nodal Sites # (≥3 vs. <3) | 2.00 | 1.24–3.21 | 0.004 |
| ESR (≥50 vs.<50 mm/h) | 1.52 | 0.94–2.45 | 0.085 | ESR (≥50 vs.<50 mm/h) | 1.58 | 0.98–2.53 | 0.059 |
| Sβ2m(>2.0 vs. ≤2 mg/L) | 1.65 | 1.04–2.62 | 0.034 | Sβ2m (>2.4 vs. ≤2.4 mg/L) | 1.67 | 1.03–2.72 | 0.038 |
| Advanced Stages—Freedom From Progression (IIB/III/IV) *** | |||||||
| Lymphopenia (yes vs. no) | 2.31 | 1.51–3.54 | <0.001 | Lymphopenia (yes vs. no) | 2.36 | 1.54–3.61 | <0.001 |
| WBC (≥15 vs. <15 × 109/L) | 0.61 | 0.38–0.99 | 0.047 | WBC (≥15 vs. <15 × 109/L) | 0.62 | 0.38–1.02 | 0.058 |
| Stage (IV vs. IB/IIB/III) | 1.42 | 0.98–2.06 | 0.067 | Stage (IV vs. IB/IIB/III) | 1.44 | 0.99–2.08 | 0.057 |
| Sβ2m (>2.0 vs. ≤2 mg/L) | 1.44 | 0.94–2.21 | 0.098 | Sβ2m (>2.4 vs. ≤2.4 mg/L) | not | selected | - |
| All Patients—Overall Survival * | |||||||
| Age (≥45 vs. <45 years) | 2.63 | 1.73–3.99 | <0.001 | Age (≥45 vs.<45) | 2.64 | 1.70–4.07 | <0.001 |
| B-symptoms (yes vs. no) | 2.01 | 1.31–3.07 | 0.001 | B–symptoms (yes vs. no) | 2.07 | 1.34–3.18 | 0.001 |
| Lymphopenia (yes vs. no) | 1.83 | 1.07–3.12 | 0.027 | Lymphopenia (yes vs. no) | 1.84 | 1.08–3.15 | 0.021 |
| Sβ2m (>2.0 vs. ≤2 mg/L) | 1.96 | 1.21–3.19 | 0.006 | Sβ2m (>2.4 vs. ≤2.4 mg/L) | 1.53 | 0.97-2.41 | 0.067 |
| Early Stages (I/IIA)—Overall Survival ** | |||||||
| Age (≥45 vs. <45 years) | 2.34 | 1.23–4.46 | 0.01 | Age (≥45 vs.<45) | 2.34 | 1.23–4.46 | 0.010 |
| Gender (male vs. female) | 2.25 | 1.14–4.42 | 0.019 | Gender (male vs. female) | 2.25 | 1.14–4.42 | 0.019 |
| Sβ2m (>2.0 vs. ≤2 mg/L) | Not | selected | Sβ2m (>2.4 vs. ≤2.4 mg/L) | Not | selected | ||
| Advanced Stages (IB/IIB/III/IV)—Overall Survival *** | |||||||
| Age (≥45 vs. <45 years) | 4.02 | 2.44–6.62 | <0.001 | Age (≥45 vs.<45 years) | 4.92 | 3.03–8.00 | <0.001 |
| Lymphopenia (yes vs. no) | 2.57 | 1.46–4.52 | 0.001 | Lymphopenia (yes vs. no) | 2.35 | 1.35–4.08 | 0.003 |
| Anemia (yes vs. no) | 1.74 | 0.99–3.06 | 0.054 | Anemia (yes vs. no) | 1.79 | 1.03–3.13 | 0.04 |
| WBC (≥15 vs. <15 × 109/L) | 0.58 | 0.31–1.13 | 0.10 | WBC (≥15 vs. <15 × 109/L) | not | selected | - |
| Sβ2m (>2.0 vs. ≤2 mg/L) | 2.07 | 1.04–4.15 | 0.039 | Sβ2m (>2.4 vs. ≤2.4 mg/L) | not | selected | - |
| All Patients—Hodgkin Lymphoma Specific Survival * | |||||||
| B-symptoms (yes vs. no) | 3.11 | 1.75–5.53 | <0.001 | Clinical Stage | |||
| Lymphopenia (yes vs. no) | 2.17 | 1.15–4.09 | 0.017 | Stage IIB/III vs. I/IIA | 2.64 | 1.35–5.18 | 0.005 |
| WBC (≥10 vs. <10 × 109/L) | 0.52 | 0.30–0.90 | 0.019 | Stage IV vs. I/IIA | 3.10 | 1.43–6.72 | 0.004 |
| Sβ2m (>2.0 vs. ≤2 mg/L) | 2.21 | 1.19–4.11 | 0.012 | Lymphopenia (yes vs. no) | 2.76 | 1.48–5.15 | 0.001 |
| WBC (≥10 vs. <10 × 109/L) | 0.51 | 0.29–0.89 | 0.019 | ||||
| Anemia (yes vs. no) | 1.79 | 0.97–3.29 | 0.061 | ||||
| Sβ2m (>2.4 vs. ≤2.4 mg/L) | not | selected | |||||
| Early Stages (I/IIA)—Hodgkin Lymphoma Specific Survival ** | |||||||
| Sβ2m (>2.0 vs. ≤2 mg/L) | 2.30 | 0.89–5.94 | 0.085 | No model fitted | |||
| Advanced Stages (IB/IIB/III/IV)—Hodgkin Lymphoma Specific Survival *** | |||||||
| Age (≥45 vs. <45 years) | 2.45 | 1.38–4.36 | 0.002 | Age (≥45 vs.<45 years) | 2.45 | 1.38–4.36 | 0.002 |
| Lymphopenia (yes vs. no) | 2.99 | 1.57–5.68 | 0.001 | Lymphopenia (yes vs. no) | 2.99 | 1.57–5.68 | 0.001 |
| Anemia (yes vs. no) | 2.12 | 1.05–4.25 | 0.035 | Anemia (yes vs. no) | 2.12 | 1.05–4.25 | 0.035 |
| WBC (≥15 vs. <15 × 109/L) | 0.47 | 0.21–1.05 | 0.067 | WBC (≥15 vs. <15 × 109/L) | 0.47 | 0.21–1.05 | 0.067 |
| Sβ2m (>2.0 vs. ≤2 mg/L) | not | selected | - | Sβ2m (>2.4 vs. ≤2.4 mg/L) | not | selected | - |
| Study | No. of Patients | Treatment | Prognostic Significance of β2-Microglobulin in Multivariate Analysis | ||||||
|---|---|---|---|---|---|---|---|---|---|
| Early Stages | Advanced Stages | Overall | |||||||
| Cutoff | PFS/TTF | OS | PFS/TTF | OS | PFS/TTF | OS | |||
| Oza et al., 1992 [65] | 60 (IIIB, IV) | MVPP ± RT ChlvPP ± RT | 3 mg/L | NA | NA | + ¶ | - | NA | NA |
| Dimopoulos et al., 1993 [48] | 160 | RT only NOVP ± RT, MOPP ± RT Anthracycline-based (minority) | 2.5 mg/L | ± *,¶ | NT | + *,¶¶ | NT | + * | NT |
| Fleury et al., 1994 [49] | 64 (age < 50 y) | MOPP ± RT MOPP/ABVD ± RT | 2.4 mg/L | NT | NT | NT | NT | + | NT |
| Axdorphet al., 2000 [64] | 99 | RT only MOPP or CCNU-OPP MOPP/ABVD ± RT | NR | NT | NT | NT | NT | - *** | - *** |
| Raida et al., 2002 [50] | 69 | NR | NR | NR | NR | NR | NR | - * | NR |
| Chronowski et al., 2002 [51] | 191 (ES) | NOVP + RT, MOPP + RT ABVD + RT CVPP/ABDIC + RT | 2.5 mg/L | ± ** | + | NA | NA | NA | NA |
| Visco et al., 2004 [66] | 61 (ES, non-X) | RT only | “elevated” | + * | NT | NA | NA | NA | NA |
| Vassilakopoulos et al., 2005 [53] | 379 | ABVD or equivalents ± RT | 2.4 mg/L | + | + | - | - | - * | + |
| Itoh et al., 2010 [67] | 167 (111) § | ABVd § ± RT | 2.0 mg/L | NT | NR | NT | NR | NT | - |
| Nakajima et al., 2014 [55] | 67 | ABVD ± RT | 2.5 mg/L §§ | NR | NR | NR | NR | + | - |
| Wang et al., 2016 [56] | 202 (IIX, III/IV) | ABVD ± RT | 2.5 mg/L §§ | NA | NA | + * | + | NA | NA |
| Miriliet al., 2019 [68] | 122 | RT only ABVD ±RT | 2.2 mg/L § | NT | NT | NT | NT | - | + |
| Wen et al., 2022 [69] | 365 | ABVD or equivalents ± RT | 1.85 mg/L § | NT | NT | NT | NT | - | + |
| Present Study, 2023 | 915 | ABVD or equivalents ± RT | 2.0 mg/L | + * | - | ± * | + | + * | + |
Disclaimer/Publisher’s Note: The statements, opinions and data contained in all publications are solely those of the individual author(s) and contributor(s) and not of MDPI and/or the editor(s). MDPI and/or the editor(s) disclaim responsibility for any injury to people or property resulting from any ideas, methods, instructions or products referred to in the content. |
© 2024 by the authors. Licensee MDPI, Basel, Switzerland. This article is an open access article distributed under the terms and conditions of the Creative Commons Attribution (CC BY) license (https://creativecommons.org/licenses/by/4.0/).
Share and Cite
Vassilakopoulos, T.P.; Arapaki, M.; Diamantopoulos, P.T.; Liaskas, A.; Panitsas, F.; Siakantaris, M.P.; Dimou, M.; Kokoris, S.I.; Sachanas, S.; Belia, M.; et al. Prognostic Impact of Serum β2-Microglobulin Levels in Hodgkin Lymphoma Treated with ABVD or Equivalent Regimens: A Comprehensive Analysis of 915 Patients. Cancers 2024, 16, 238. https://doi.org/10.3390/cancers16020238
Vassilakopoulos TP, Arapaki M, Diamantopoulos PT, Liaskas A, Panitsas F, Siakantaris MP, Dimou M, Kokoris SI, Sachanas S, Belia M, et al. Prognostic Impact of Serum β2-Microglobulin Levels in Hodgkin Lymphoma Treated with ABVD or Equivalent Regimens: A Comprehensive Analysis of 915 Patients. Cancers. 2024; 16(2):238. https://doi.org/10.3390/cancers16020238
Chicago/Turabian StyleVassilakopoulos, Theodoros P., Maria Arapaki, Panagiotis T. Diamantopoulos, Athanasios Liaskas, Fotios Panitsas, Marina P. Siakantaris, Maria Dimou, Styliani I. Kokoris, Sotirios Sachanas, Marina Belia, and et al. 2024. "Prognostic Impact of Serum β2-Microglobulin Levels in Hodgkin Lymphoma Treated with ABVD or Equivalent Regimens: A Comprehensive Analysis of 915 Patients" Cancers 16, no. 2: 238. https://doi.org/10.3390/cancers16020238
APA StyleVassilakopoulos, T. P., Arapaki, M., Diamantopoulos, P. T., Liaskas, A., Panitsas, F., Siakantaris, M. P., Dimou, M., Kokoris, S. I., Sachanas, S., Belia, M., Chatzidimitriou, C., Konstantinou, E. A., Asimakopoulos, J. V., Petevi, K., Boutsikas, G., Kanellopoulos, A., Piperidou, A., Lefaki, M.-E., Georgopoulou, A., ... Angelopoulou, M. K. (2024). Prognostic Impact of Serum β2-Microglobulin Levels in Hodgkin Lymphoma Treated with ABVD or Equivalent Regimens: A Comprehensive Analysis of 915 Patients. Cancers, 16(2), 238. https://doi.org/10.3390/cancers16020238

