Sign in to use this feature.

Years

Between: -

Subjects

remove_circle_outline
remove_circle_outline
remove_circle_outline
remove_circle_outline
remove_circle_outline
remove_circle_outline
remove_circle_outline

Journals

Article Types

Countries / Regions

Search Results (176)

Search Parameters:
Keywords = β2-microglobulin

Order results
Result details
Results per page
Select all
Export citation of selected articles as:
11 pages, 904 KB  
Article
Association of Galectin-9 Soluble Immune Checkpoint with Clinical Prognostic Markers in Patients with Chronic Lymphocytic Leukemia
by Aviwe Ntsethe, Phiwayinkosi Vusi Dludla and Bongani Brian Nkambule
Int. J. Mol. Sci. 2026, 27(1), 98; https://doi.org/10.3390/ijms27010098 - 22 Dec 2025
Viewed by 165
Abstract
Chronic lymphocytic leukemia (CLL) is a heterogenous disease, with varied clinical outcomes. Multiplex assays used to measure soluble immune checkpoints offer a less laborious method of monitoring patients with CLL, but none of these panels have been validated. The aim of the study [...] Read more.
Chronic lymphocytic leukemia (CLL) is a heterogenous disease, with varied clinical outcomes. Multiplex assays used to measure soluble immune checkpoints offer a less laborious method of monitoring patients with CLL, but none of these panels have been validated. The aim of the study was to assess soluble immune checkpoint profiles in patients with CLL and to correlate these with independent prognostic markers such as β2-microglobulin (B2M), Rai stage, fluorescence in situ hybridization (FISH) status, and the International Prognostic Index for Chronic Lymphocytic Leukemia (CLL-IPI). We measured plasma levels of soluble interleukin-2 receptor alpha (sCD25), T cell immunoglobulin and mucin domain-containing protein 3 (TIM-3), galectin-9, programmed cell death 1 (PD-1), programmed death-ligand 1 (PD-L1), and cytotoxic T-lymphocyte associated protein 4 (CTLA-4) using cytometric bead array-based assays. We further measured plasma levels of B2M using an enzyme-linked immunosorbent assay (ELISA) kit. Soluble immune checkpoints were correlated with prognostic markers. The plasma levels of sCD25, TIM-3, galectin-9, PD-1, and PD-L1 were significantly increased in patients with CLL compared to the control group, p < 0.0001. Galectin-9 plasma levels were directly associated with B2M levels (β = 0.65, p = 0.012). Our findings suggest that galectin-9 may provide valuable prognostic significance for patients with CLL. Full article
Show Figures

Figure 1

15 pages, 996 KB  
Article
Pleuro-Pulmonary Extramedullary Plasmacytomas in Multiple Myeloma: A 15-Year Experience from a Tertiary Center
by Sorina Badelita, Sinziana Barbu, Camelia Dobrea, Cerasela Jardan, Monica Popescu, Codruta Delia Popa, Claudia Toma, Larisa Zidaru, Mihai Emanuel Himcinschi, Horia Mihail Sandu, Didona Vasilache, Adelina Vlad and Daniel Coriu
Cancers 2026, 18(1), 19; https://doi.org/10.3390/cancers18010019 - 20 Dec 2025
Viewed by 239
Abstract
Background/Objectives: Extramedullary involvement in multiple myeloma represents an aggressive disease phenotype, associated with reduced survival and an unfavorable prognosis. Thoracic manifestations are rare and remain poorly characterized in the literature. Methods: We conducted a retrospective, single-center study at the Fundeni Clinical [...] Read more.
Background/Objectives: Extramedullary involvement in multiple myeloma represents an aggressive disease phenotype, associated with reduced survival and an unfavorable prognosis. Thoracic manifestations are rare and remain poorly characterized in the literature. Methods: We conducted a retrospective, single-center study at the Fundeni Clinical Institute, including patients diagnosed with multiple myeloma between February 2010 and February 2025. The study cohort consisted of 34 patients with infiltration of the pulmonary parenchyma, pleura, or the presence of myelomatous pleural effusion. Diagnosis was confirmed using a combination of imaging modalities (computed tomography or magnetic resonance imaging), cytological examination, immunophenotyping, and histopathological confirmation whenever feasible. Results: Out of a total of 2012 patients with multiple myeloma, the incidence of pleuro-pulmonary extramedullary involvement was 1.6%. The median age at diagnosis was 58 years. Pleuro-pulmonary disease was present at initial diagnosis in 26.5% of cases, while 73.5% developed it at relapse. The most common presentation involved combined pleural involvement and myelomatous effusion (70.6%). Adverse prognostic markers included elevated β2-microglobulin levels (in over 80% of cases) and increased lactate dehydrogenase (LDH) in approximately 50%. Cytogenetic abnormalities such as del(17p), t(4;14), t(14;16), t(11;14), and 1q gain were identified. The median overall survival (OS) from the diagnosis of pleuro-pulmonary extramedullary disease was 16 months, with a 2-year survival rate of 25%. No patient survived beyond 5 years. The median progression-free survival (PFS) was 9 months. Conclusions: Our findings confirm the aggressive clinical course and poor prognosis of these disease manifestations, mainly when they occur at relapse. In the absence of standardized treatment guidelines, individualizing therapy and accessing novel strategies may be essential for improving patient survival. Full article
(This article belongs to the Special Issue Diagnosis of Hematologic Malignancies: 2nd Edition)
Show Figures

Figure 1

26 pages, 1894 KB  
Article
Biochemical Associations with Depression, Anxiety, and Stress in Hemodialysis: The Role of Albumin, Calcium, and β2-Microglobulin According to Gender
by Gloria M. Zaragoza Fernández, Elena Jiménez Mayor, Avinash Chandu Nanwani, Celia Rodríguez Tudero, José C. De La Flor and Rafael Fernández Castillo
Biomedicines 2025, 13(12), 3092; https://doi.org/10.3390/biomedicines13123092 - 15 Dec 2025
Viewed by 391
Abstract
Background: Psychological distress is common in hemodialysis patients and is linked to worse clinical outcomes and lower quality of life. Nutritional and inflammatory disturbances may impact emotional well-being. Gender likely acts as a biological and psychosocial modifier. This study examined the link [...] Read more.
Background: Psychological distress is common in hemodialysis patients and is linked to worse clinical outcomes and lower quality of life. Nutritional and inflammatory disturbances may impact emotional well-being. Gender likely acts as a biological and psychosocial modifier. This study examined the link between depression, anxiety, and stress in hemodialysis patients and a broad range of biochemical markers, focusing on gender as a main factor. Methods: A cross-sectional study included 54 adults on maintenance hemodialysis at a hospital in Madrid, Spain. Emotional distress was measured using the DASS-21. Predialysis biochemical markers assessed were β2-microglobulin, albumin, hemoglobin, hematocrit, phosphorus, potassium, iron, calcium, and vitamin D. Statistical analyses included Spearman correlations, HC3-robust regressions with Gender × Biomarker interactions, false discovery rate correction (q = 0.10), penalized regressions (ridge/LASSO), partial least squares structural equation modeling (PLS-SEM), and mixed-cluster analysis. Results: Women reported higher depression, anxiety, and stress, and had lower albumin, calcium, and vitamin D (p < 0.05). Depression was independently linked to female gender, lower calcium, and the Gender × β2-microglobulin interaction (adjusted R2 = 0.30). In PLS-SEM analysis, a latent global psychological distress measure was directly related to β2-microglobulin and inversely related to albumin and calcium (R2 = 0.47). Nutritional markers partly mediated the gender–distress link. Cluster analysis found three biopsychosocial profiles: metabolically balanced, catabolic–emotional, and resilient–compensated. Conclusions: Gender shapes the relationships among inflammation, nutrition, and psychological distress in hemodialysis. Including gender-sensitive emotional and nutritional assessments in nephrology nursing could foster more personalized and practical care. Findings highlight the value of gender-aware psycho-nutritional screening in dialysis. Full article
(This article belongs to the Section Cell Biology and Pathology)
Show Figures

Figure 1

14 pages, 1220 KB  
Article
Environmental Exposure to Cadmium and Lead Exacerbates Kidney Function in People with Diabetes
by Soisungwan Satarug, David A. Vesey, Tanaporn Khamphaya, Donrawee Waeyeng and Supabhorn Yimthiang
J. Xenobiot. 2025, 15(6), 199; https://doi.org/10.3390/jox15060199 - 1 Dec 2025
Viewed by 596
Abstract
This study investigates the relationship between kidney function and exposure to low-level cadmium (Cd) and lead (Pb) in individuals with and without diabetes. Specifically, it tests the hypothesis that the nephrotoxicity of Cd and Pb reduces the tubular degradation of filtered proteins, namely [...] Read more.
This study investigates the relationship between kidney function and exposure to low-level cadmium (Cd) and lead (Pb) in individuals with and without diabetes. Specifically, it tests the hypothesis that the nephrotoxicity of Cd and Pb reduces the tubular degradation of filtered proteins, namely β2-microglobulin (β2M). Data were obtained from a Thai cohort of 137 people, of which 65 were diagnosed with diabetes. Blood Cd, blood Pb, and urinary excretion of Cd (ECd) were used as exposure indicators, while urinary N-acetylglucosaminidase (ENAG) and fractional tubular degradation of β2M (FrTDβ2M) reflected kidney tubular cell injury and the function of tubular cells, respectively. Spearman’s rank correlation revealed that FrTDβ2M varied directly with the estimated glomerular filtration rate (eGFR; r = 0.434), and inversely with fasting plasma glucose (r = −0.215), ECd (r = −0.527), ENAG (r = −0.536), and Cd/Pb exposure (r = −0.249). In a multiple regression model analysis adjusting for potential confounders, the association between FrTDβ2M and eGFR in those with diabetes was particularly strong (β = 0.476) compared to controls (β = 0.360), whereas an inverse association of FrTDβ2M and ECd (β = −0.295) was found only in those with diabetes, along with a positive association of ENAG with ECd (R2 = 0.071). A mediation analysis has revealed that tubular injury (ENAG) mediated 26% of the FrTDβ2M decrease associated with Cd/Pb exposure. These findings suggested that tubular protein degradation pathways may be compromised under combined metabolic and environmental stressors, Cd, and Pb. Full article
Show Figures

Graphical abstract

12 pages, 747 KB  
Article
Effects of Soil Restoration in Cadmium-Polluted Areas on Body Cadmium Burden and Renal Tubular Damage in Inhabitants in Japan
by Kazuhiro Nogawa, Masaru Sakurai, Yuuka Watanabe, Masao Ishizaki, Yasumitsu Ogra, Yu-Ki Tanaka, Hirotaro Iwase, Kayo Tanaka, Teruhiko Kido, Hideaki Nakagawa, Yasushi Suwazono and Koji Nogawa
Toxics 2025, 13(12), 1010; https://doi.org/10.3390/toxics13121010 - 22 Nov 2025
Viewed by 511
Abstract
This study explored the effects of soil restoration on cadmium (Cd) body burden and renal tubular damage in inhabitants of Cd-polluted areas by estimating the lifetime Cd (LCd) intake and expected LCd intake without soil restoration. In total, 1819 participants (991 men and [...] Read more.
This study explored the effects of soil restoration on cadmium (Cd) body burden and renal tubular damage in inhabitants of Cd-polluted areas by estimating the lifetime Cd (LCd) intake and expected LCd intake without soil restoration. In total, 1819 participants (991 men and 828 women) were included in the analysis. Furthermore, 845 participants (503 men and 342 women) who had lived in Cd-polluted areas before soil restoration were selected to estimate LCd intake with and without soil restoration. LCd intake was estimated based on residential history and rice Cd concentrations in each area. First morning urine samples were collected for urinary Cd (U-Cd, as the Cd body burden) and β2-microglobulin (as the renal tubular marker) measurements. The mean LCd intake was 3.0 g for men and 2.6 g for women in Cd-polluted areas with soil restoration. The mean expected LCd intake without soil restoration was 5.1 g for men and 4.6 g for women, indicating that soil restoration reduced LCd intake by approximately 2 g for both sexes. Soil restoration significantly reduces LCd intake, Cd body burden, and renal tubular effects. This information is crucial for developing strategies to reduce Cd exposure worldwide. Full article
(This article belongs to the Section Human Toxicology and Epidemiology)
Show Figures

Figure 1

13 pages, 983 KB  
Article
Adipokines as Prognostic Biomarkers in Multiple Myeloma: A Case–Control Study
by Nóra Obajed Al-Ali, Dóra Csige, László Imre Pinczés, Katalin Farkas, István Rebenku, Andrea Domján, György Panyi, Zoltán Szekanecz, Gabriella Szűcs, Árpád Illés and László Váróczy
Medicina 2025, 61(11), 2065; https://doi.org/10.3390/medicina61112065 - 20 Nov 2025
Viewed by 469
Abstract
Background and Objectives: Multiple myeloma (MM) remains an incurable plasma cell malignancy with heterogeneous clinical outcomes. Although current prognostic systems integrate biochemical and cytogenetic parameters, they do not fully capture disease complexity. Adipocytes within the bone marrow microenvironment secrete adipokines that regulate inflammation, [...] Read more.
Background and Objectives: Multiple myeloma (MM) remains an incurable plasma cell malignancy with heterogeneous clinical outcomes. Although current prognostic systems integrate biochemical and cytogenetic parameters, they do not fully capture disease complexity. Adipocytes within the bone marrow microenvironment secrete adipokines that regulate inflammation, metabolism, and immune interactions and may influence disease progression. This study aimed to assess circulating adipokines and related microenvironmental mediators as potential biomarkers of disease activity and treatment response in MM. Materials and Methods: In this case–control, cross-sectional study, the serum levels of eight adipokine-related molecules—adiponectin, leptin, resistin, chemerin, adipsin, thrombospondin-1 (TSP-1), paraoxonase-1 (PON-1), and myeloperoxidase (MPO)—were measured in 40 MM patients and 38 age- and sex-matched healthy controls. Enzyme-linked immunosorbent assays (ELISA) and bead-based multiplex immunoassays were used. Associations with prognostic markers (serum β2-microglobulin (sB2M), LDH, albumin, hemoglobin, renal function) and treatment response were analyzed using correlation and non-parametric statistical methods. Results: Compared to the controls, MM patients exhibited significantly higher circulating levels of adiponectin, resistin, chemerin, adipsin, TSP-1, and MPO, while leptin was decreased. Among clinical correlations, chemerin and PON-1 correlated positively with sB2M, TSP-1 correlated with LDH, and MPO correlated with M-protein and albumin. Resistin was lower in patients with renal impairment and an advanced disease stage. Adiponectin and TSP-1 were significantly lower in progressive disease compared to complete remission, suggesting their potential association with treatment response. Conclusions: This study demonstrates that multiple adipokines are dysregulated in MM and exhibit distinct associations with disease burden, renal function, and therapeutic response. Novel associations identified for TSP-1, PON-1, and adipsin highlight previously unrecognized microenvironmental pathways in MM biology. Adipokine profiling may complement established prognostic markers and provide new insights into the tumour microenvironment in MM. Full article
(This article belongs to the Special Issue Hematologic Malignancies: Diagnosis, Prognosis and Management)
Show Figures

Figure 1

18 pages, 1936 KB  
Article
Does a Polycistronic 2A Design Enable Functional FcRn Production for Antibody Pharmacokinetic Studies?
by Valentina S. Nesmeyanova, Nikita D. Ushkalenko, Sergei E. Olkin, Maksim N. Kosenko, Elena A. Rukhlova, Ivan M. Susloparov and Dmitry N. Shcherbakov
Pharmaceutics 2025, 17(11), 1463; https://doi.org/10.3390/pharmaceutics17111463 - 13 Nov 2025
Viewed by 809
Abstract
Background/Objectives: The neonatal Fc receptor (FcRn) is a heterodimeric protein composed of a heavy α-chain with an MHC class I-like fold and β2-microglobulin. It plays a crucial role in maintaining the homeostasis and pharmacokinetics of immunoglobulin G (IgG) and albumin through [...] Read more.
Background/Objectives: The neonatal Fc receptor (FcRn) is a heterodimeric protein composed of a heavy α-chain with an MHC class I-like fold and β2-microglobulin. It plays a crucial role in maintaining the homeostasis and pharmacokinetics of immunoglobulin G (IgG) and albumin through pH-dependent recycling. The production of soluble recombinant FcRn is technically challenging due to its heterodimeric structure and the presence of a transmembrane domain. This study aimed to develop a polycistronic construct enabling the co-expression of FcRn subunits from a single transcript and to evaluate the functional activity of the resulting protein in CHO-K1 cells. Methods: Integration vectors (pComV-FcRn-B2M) were designed to encode FcRn and β2-microglobulin linked via self-cleaving 2A peptides (P2A, E2A, F2A, T2A). Stable producer cell lines were generated using the Sleeping Beauty transposon system. The purified proteins were characterized by SDS-PAGE, Western blotting, and size-exclusion chromatography (SEC). Functional activity was assessed by ELISA and bio-layer interferometry (BLI). Results: Electrophoretic and chromatographic analyses confirmed the expected subunit composition and demonstrated that over 95% of the recombinant protein was monomeric. Functional assays revealed pH-dependent IgG binding, with strong interaction at pH 6.0 and negligible binding at pH 7.5. BLI measurements showed high affinity consistent with native FcRn function (KD = 3.15 nM at pH 6.0). Conclusions: The developed polycistronic construct containing a P2A peptide with a GSG linker enabled efficient production of functional FcRn in CHO-K1 cells (yield up to 2.23 mg/mL). The P2A variant demonstrated the highest efficiency and can serve as a reference system for screening Fc-engineered antibodies with optimized pharmacokinetic properties. Full article
Show Figures

Figure 1

17 pages, 1188 KB  
Article
Use of Urinary β2-Microglobulin in the Assessment of the Health Risk from Environmental Cadmium Exposure
by Soisungwan Satarug, David A. Vesey and Aleksandra Buha Đorđević
Appl. Sci. 2025, 15(21), 11757; https://doi.org/10.3390/app152111757 - 4 Nov 2025
Viewed by 779
Abstract
Cadmium (Cd) is a ubiquitous environmental pollutant with no nutritional value or physiological role in the body. It readily accumulates in various tissues as it is easily absorbed from the diet but only poorly excreted. Due to the widespread contamination of staple foods, [...] Read more.
Cadmium (Cd) is a ubiquitous environmental pollutant with no nutritional value or physiological role in the body. It readily accumulates in various tissues as it is easily absorbed from the diet but only poorly excreted. Due to the widespread contamination of staple foods, exposure to this toxic metal is inevitable for most people. The health risk due to dietary Cd exposure has long been underappreciated. This is primarily due to the use of urinary excretion of β2-microglobulin (β2M) as an indicator of an adverse health effect. This study employed advanced benchmark dose (BMD) modeling in a Thai cohort (n = 799) to reassess health risks from dietary Cd exposure. The BMD limit for urinary Cd was identified as 0.17 μg/g creatinine when using a reduction in estimated glomerular filtration rate (eGFR) as the endpoint, whereas no reliable BMD could be established using β2-microglobulin excretion. Given that eGFR reduction is a more reliable indicator of chronic kidney disease, its use is recommended for deriving health-protective guidelines. The findings demonstrate that the current urinary Cd threshold of 5.24 μg/g creatinine is inadequate, supporting the adoption of a threshold below 0.20 μg/g creatinine in future exposure guidelines. Full article
(This article belongs to the Special Issue Exposure Pathways and Health Implications of Environmental Chemicals)
Show Figures

Figure 1

13 pages, 1088 KB  
Article
Inflammatory Biomarkers for Thrombotic Risk Assessment in Multiple Myeloma Patients on IMiD/aCD38-Based Regimens: Insights from a Prospective Observational Study
by Cirino Botta, Anna Maria Corsale, Claudia Cammarata, Fabiana Di Fazio, Emilia Gigliotta, Andrea Rizzuto, Manuela Ingrascì, Maria Speciale, Cristina Aquilina, Marta Biondo, Andrea Romano, Mariasanta Napolitano, Marta Mattana and Sergio Siragusa
Biomolecules 2025, 15(11), 1533; https://doi.org/10.3390/biom15111533 - 31 Oct 2025
Viewed by 714
Abstract
Thrombosis is a common complication in multiple myeloma (MM) patients treated with immunomodulatory drugs (IMiDs), including thalidomide, lenalidomide, and pomalidomide. When combined with anti-CD38 monoclonal antibodies, these agents are highly effective but may increase thrombotic events (TE), potentially delaying therapy. This exploratory, hypothesis-generating [...] Read more.
Thrombosis is a common complication in multiple myeloma (MM) patients treated with immunomodulatory drugs (IMiDs), including thalidomide, lenalidomide, and pomalidomide. When combined with anti-CD38 monoclonal antibodies, these agents are highly effective but may increase thrombotic events (TE), potentially delaying therapy. This exploratory, hypothesis-generating analysis, conducted within the MMVision mono-institutional prospective study, included 53 MM patients who initiated IMiD plus anti-CD38 therapy between May 2021 and December 2022 (median follow-up: 18 months). Treatment regimens comprised lenalidomide (n = 36) or thalidomide (n = 15) with daratumumab, and pomalidomide (n = 2) with isatuximab. Most patients (n = 38) received frontline therapy, and all were given thromboprophylaxis according to guidelines, mainly aspirin (73%). Five patients (9.4%) developed VTE after a median of 48 days, managed with short-term low-molecular-weight heparin (LMWH). Exploratory analysis of 27 clinical/laboratory parameters suggested possible associations between VTE and low levels of beta-2 microglobulin, ferritin, intact/free lambda light chains, and monocyte-to-lymphocyte ratio. Notably, four of the five VTEs occurred in patients without lytic bone disease, typically associated with bone-driven inflammation in MM. Although all patients received aspirin prophylaxis from treatment initiation, it remains unclear whether thrombosis would also have occurred among those with higher inflammatory burden. These preliminary observations may indicate that in patients with relatively lower inflammation, aspirin prophylaxis could be less effective, potentially favoring VTE onset. In two VTE cases, cytokine profiling showed decreased M-CSF, SCLF-β, and MIP-1α, with increased G-CSF, raising the hypothesis of distinct immune-inflammatory pathways contributing to TEs. Given the limited number of patients and thrombotic events, and the cytokine data available for only two VTE cases, these associations should be regarded as exploratory and interpreted with caution. Overall, these exploratory findings warrant validation in larger, independent cohorts and may help generate hypotheses on how inflammatory signatures influence thrombotic risk and prophylaxis efficacy in MM patients receiving IMiD/anti-CD38-based regimens. Full article
Show Figures

Figure 1

20 pages, 1093 KB  
Systematic Review
Salivary Biomarkers for the Diagnosis of Sjögren’s Syndrome: A Review of the Last Decade
by Virginia Ewa Lis, Anna Skutnik-Radziszewska, Ewa Zalewska and Anna Zalewska
Biomedicines 2025, 13(11), 2664; https://doi.org/10.3390/biomedicines13112664 - 30 Oct 2025
Cited by 1 | Viewed by 1462
Abstract
Objectives: Sjögren’s syndrome (SjS) is a chronic autoimmune disease primarily affecting the salivary and lacrimal glands. Conventional diagnosis depends on invasive procedures, underscoring the need for non-invasive biomarkers. This systematic review summarizes evidence from 2014 to 2024 on the diagnostic and monitoring potential [...] Read more.
Objectives: Sjögren’s syndrome (SjS) is a chronic autoimmune disease primarily affecting the salivary and lacrimal glands. Conventional diagnosis depends on invasive procedures, underscoring the need for non-invasive biomarkers. This systematic review summarizes evidence from 2014 to 2024 on the diagnostic and monitoring potential of salivary biomarkers in SjS. Methods: A systematic search of PubMed, Scopus, and Web of Science was performed according to PRISMA guidelines. Eligible human studies investigating salivary biomarkers in SjS were included. Data extraction and quality assessment were conducted independently by two reviewers. The protocol was registered in the OSF Registries. Results: Thirty-one studies were analyzed, identifying diverse metabolomic, proteomic, and molecular biomarkers. Consistent findings included increased levels of lactate, alanine, taurine, NGAL, β2-microglobulin, annexin A2, and regulatory RNAs (let-7i-5p, miR-17-5p), along with H19 ICR hypomethylation. Several extracellular vesicle (EV)-derived biomarkers demonstrated improved diagnostic stability and specificity. Conclusions: Saliva represents a promising, non-invasive diagnostic medium for Sjögren’s syndrome. Integrating multi-omics approaches-particularly EV-based analyses may enhance early diagnosis and personalized monitoring. Large, multicenter studies using standardized protocols are needed to validate these findings. Full article
(This article belongs to the Section Molecular and Translational Medicine)
Show Figures

Graphical abstract

16 pages, 1885 KB  
Article
Enhanced Kidney Damage in Individuals with Diabetes Who Are Chronically Exposed to Cadmium and Lead: The Emergent Role for β2-Microglobulin
by Soisungwan Satarug, David A. Vesey, Donrawee Waeyeng, Tanaporn Khamphaya and Supabhorn Yimthiang
Int. J. Mol. Sci. 2025, 26(18), 9208; https://doi.org/10.3390/ijms26189208 - 20 Sep 2025
Viewed by 970
Abstract
Elevated levels of circulating β2-microglobulin (β2M) are linked to an increased risk of hypertension and mortality from diabetes. The present study tests the hypothesis that the environmental pollutants, cadmium (Cd) and lead (Pb), by increasing plasma β2M [...] Read more.
Elevated levels of circulating β2-microglobulin (β2M) are linked to an increased risk of hypertension and mortality from diabetes. The present study tests the hypothesis that the environmental pollutants, cadmium (Cd) and lead (Pb), by increasing plasma β2M levels, promote the development of hypertension and progression of diabetic kidney disease. Herein, we analyzed data from a Thai cohort of 72 individuals with diabetes and 65 controls without diabetes who were chronically exposed to low levels of Cd and Pb. In all subjects, serum concentrations of β2M inversely correlated with the estimated glomerular filtration rate (eGFR) (r = −0.265) and directly with age (r = 0.200), fasting plasma glucose (r = 0.210), and systolic blood pressure (r = 0.229). The prevalence odds ratio (POR) for hyperglycemia increased 7.7% for every 1-year increase in age and increased 3.9-fold, 3.1-fold, and 3.7-fold in those with serum β2M levels ≥ 5 mg/L, Cd/Pb exposure categories 2 and 3, respectively. The POR for hypertension increased 2.9-fold, 3-fold, and 4-fold by hyperglycemia (p = 0.011), Cd/Pb exposure categories 2 and 3. The POR for albuminuria increased 3.5-fold by hyperglycemia. In conclusion, kidney damage, evident from albuminuria, was particularly pronounced in participants with diabetes who had a serum β2M above 5 mg/L plus chronic exposure to low-dose Cd and Pb. For the first time, through a mediation analysis, we provide evidence that links Cd exposure to the SH2B32M pathway of blood pressure homeostasis in people with and without diabetes. Full article
(This article belongs to the Section Molecular Biology)
Show Figures

Figure 1

18 pages, 2073 KB  
Article
Comparative Efficacy of Reused Medium Cut-Off Dialyzers on Uremic Toxin and Cytokine Clearance: A Randomized Controlled Trial
by Eakalak Lukkanalikitkul, Nichnan Jirayuphat and Sirirat Anutrakulchai
Life 2025, 15(9), 1468; https://doi.org/10.3390/life15091468 - 18 Sep 2025
Viewed by 1489
Abstract
Introduction: Expanded hemodialysis using medium cut-off (MCO) dialyzers effectively removes middle-molecule uremic toxins, comparable to hemodiafiltration, but their single-use designation increases the dialysis costs. This study evaluated the efficacy and safety of reusing two MCO dialyzers available in Thailand. Methods: In this randomized [...] Read more.
Introduction: Expanded hemodialysis using medium cut-off (MCO) dialyzers effectively removes middle-molecule uremic toxins, comparable to hemodiafiltration, but their single-use designation increases the dialysis costs. This study evaluated the efficacy and safety of reusing two MCO dialyzers available in Thailand. Methods: In this randomized controlled trial, hemodialysis patients were assigned to receive treatment with either Theranova® 500 or Elisio® 21HX dialyzers. Each dialyzer was reprocessed using peracetic acid and reused for up to 15 sessions. Dialyzer performance was assessed by the reduction ratios (RRs) of solutes, including β2-microglobulin (β2-MG), kappa and lambda free light chains (κ-FLC, λ-FLC), and interleukin-6 (IL-6), at baseline and the 2nd, 5th, 10th, and 15th sessions. Results: Forty-eight patients were enrolled (mean age 63.6 ± 13.7 years; 62.5% male) and randomized into 2 groups with comparable baseline characteristics. RRs for β2-MG, κ-FLC, and λ-FLC were similar between the groups and declined modestly over time after dialyzer reused (β2-MG: 78.2% to 72.5% vs. 77.2% to 74.5%, κ-FLC: 64.6% to 51.3% vs. 58.9% to 49.5%, and λ-FLC: 51.2% to 46.4% vs. 49.4% to 39.2% in the Theranova® 500 and Elisio® 21HX groups, respectively). Theranova® 500 demonstrated significantly higher IL-6 clearance in the 2nd (29.9% vs. 16.0%; p = 0.018) and 5th (23.8% vs. 7.7%, p = 0.031) sessions. It also showed a non-significant trend toward lower dialyzer survival (HR 3.98; p = 0.085) and higher, though clinically acceptable, albumin loss (mean difference 0.56 g/session; p < 0.001), which decreased with reuse. Conclusions: Both MCO dialyzers demonstrated comparable overall performance during reuse. Theranova® 500 provided better IL-6 clearance with manageable albumin loss. Implementation of high-quality dialyzer reuse protocols may optimize clinical efficacy and patient outcomes while balancing cost, accessibility, and environmental considerations. Full article
(This article belongs to the Section Medical Research)
Show Figures

Figure 1

13 pages, 752 KB  
Article
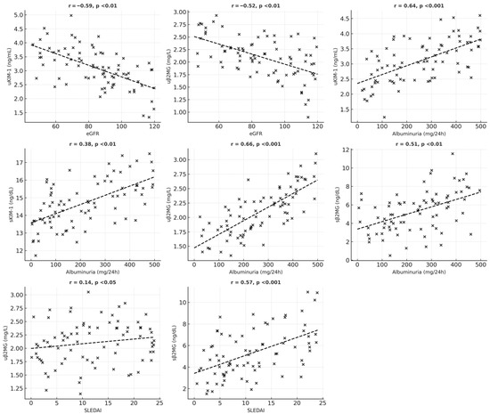
Clinical and Biological Relevance of Kidney Injury Molecule-1 and Beta-2 Microglobulin in Monitoring Patients with Systemic Lupus Erythematosus
by Corina Daniela Ene, Cristina Capusa, Ilinca Nicolae, Simona Roxana Georgescu, Cristina Iulia Mitran, Madalina Irina Mitran, Gheorghe Nicolae, Mircea Tampa and Clara Matei
Medicina 2025, 61(9), 1663; https://doi.org/10.3390/medicina61091663 - 13 Sep 2025
Viewed by 971
Abstract
Background and Objectives: Variations in kidney injury molecule-1 (KIM-1) and beta2-microglobulin (β2MG) levels, both involved in the pathogenesis of systemic autoimmunity, have been linked to tubulointerstitial lesions in patients with systemic lupus erythematosus (SLE). However, the significance of KIM-1 and β2MG in the [...] Read more.
Background and Objectives: Variations in kidney injury molecule-1 (KIM-1) and beta2-microglobulin (β2MG) levels, both involved in the pathogenesis of systemic autoimmunity, have been linked to tubulointerstitial lesions in patients with systemic lupus erythematosus (SLE). However, the significance of KIM-1 and β2MG in the pathogenesis and development of extrarenal manifestations in SLE remains unclear. This study aims to investigate the relationship between KIM-1 and β2MG levels, measured in both serum and urine, and their association with the clinical and biological features of SLE. Materials and Methods: KIM-1 and β2MG levels were measured in 80 adult patients with SLE (who exhibited mucocutaneous, hematological, and renal manifestations) and 30 control subjects. All patients with renal abnormalities related to SLE underwent a renal biopsy. The serum and urinary levels of KIM-1 (measured in pg/mL for serum and ng/mL for urine) and β2MG (measured in ng/dl for serum and mg/l for urine) were determined for each subject using the ELISA method and immunoturbidimetry, respectively. Results: There were significant differences in the serum and urinary levels of KIM-1 and β2MG between the SLE group and the control group, as well as among subgroups with different manifestations (renal, cutaneous, and hematological). Elevated levels of KIM-1 and β2MG, in both serum and urine, were associated with the clinical activity of the disease, the inflammatory process, and the development of tissue damage in various organs, leading to declines in renal function, hematological disorders, and mucocutaneous manifestations. Conclusions: KIM-1 may play a pathogenic role in kidney injury and disease, while β2MG could have a pathogenic role in both kidney and non-kidney diseases. In summary, KIM-1 characterizes renal involvement, while serum β2MG correlates with the progression of cumulative lesions in SLE patients. Our findings could enhance early diagnosis, predict disease progression, and elucidate the pathogenic mechanisms underlying SLE. Full article
(This article belongs to the Section Dermatology)
Show Figures

Figure 1

12 pages, 456 KB  
Article
NT-proBNP as a Biomarker in MGUS and Multiple Myeloma: A Retrospective Analysis
by Jooheon Park, Yong Jun Choi, Ha Jin Lim, Yong Jun Kwon, Myung Geun Shin and Eun-Hee Nah
J. Clin. Med. 2025, 14(18), 6381; https://doi.org/10.3390/jcm14186381 - 10 Sep 2025
Viewed by 706
Abstract
Background: N-terminal pro-B-type natriuretic peptide (NT-proBNP) is a well-established biomarker of cardiac stress and has recently been implicated in hematologic malignancies. However, research on how NT-proBNP changes from monoclonal gammopathy of undetermined significance (MGUS) to multiple myeloma (MM), and its association with [...] Read more.
Background: N-terminal pro-B-type natriuretic peptide (NT-proBNP) is a well-established biomarker of cardiac stress and has recently been implicated in hematologic malignancies. However, research on how NT-proBNP changes from monoclonal gammopathy of undetermined significance (MGUS) to multiple myeloma (MM), and its association with disease severity and progression, remains limited. This study evaluated whether NT-proBNP levels are associated with disease severity and progression in patients with MGUS and MM. Methods: This retrospective cross-sectional study included 121 patients with MGUS and 472 patients with MM. MGUS risk was stratified based on the presence of three major risk factors, while MM was staged according to the ISS, R-ISS, and R2-ISS systems. Associations between NT-proBNP and clinical or laboratory parameters were evaluated using univariate and multivariate regression. Results: NT-proBNP levels did not significantly differ between the MGUS and MM groups. In MGUS, NT-proBNP levels were positively associated with β2-microglobulin (p = 0.018) and creatinine (p < 0.001). In MM, NT-proBNP levels increased with advancing disease stage in all staging systems (p < 0.001), but these associations were no longer significant in multivariate models. Instead, β2-microglobulin, LDH, creatinine, and albumin remained independently associated with NT-proBNP levels. Conclusions: NT-proBNP levels were not associated with MGUS risk factors and showed limited value for risk stratification in MGUS. In MM, NT-proBNP may reflect disease burden but lacks independent value as a marker of disease stage. NT-proBNP may serve as an indicator of overall disease burden, but has limited value as an independent biomarker for disease severity in MM. Full article
(This article belongs to the Section Clinical Laboratory Medicine)
Show Figures

Figure 1

17 pages, 939 KB  
Review
Intermittent Infusion Hemodiafiltration: A Narrative Review of an Emerging Dialysis Modality
by Xiaoxi Zhou, Jing Sun and Lining Miao
Toxins 2025, 17(9), 442; https://doi.org/10.3390/toxins17090442 - 3 Sep 2025
Viewed by 2057
Abstract
The number of patients with end-stage renal disease continues to grow worldwide, placing increasing demands on dialysis technologies. Conventional hemodialysis remains the dominant modality but is often limited by frequent intradialytic hypotension and the insufficient removal of medium-sized toxins. Intermittent infusion hemodiafiltration (I-HDF) [...] Read more.
The number of patients with end-stage renal disease continues to grow worldwide, placing increasing demands on dialysis technologies. Conventional hemodialysis remains the dominant modality but is often limited by frequent intradialytic hypotension and the insufficient removal of medium-sized toxins. Intermittent infusion hemodiafiltration (I-HDF) is an emerging, hybrid dialysis technique that combines standard hemodialysis with the cyclic backfiltration of ultrapure dialysate. This approach enables dynamic blood volume control and periodic backflushing of the dialyzer membrane. Recent clinical studies demonstrate that I-HDF can reduce intradialytic hypotension incidence, improve systemic and microcirculatory perfusion, and enhance the clearance of middle molecules such as β2-microglobulin, while minimizing albumin loss. These benefits are particularly relevant to toxin clearance and hemodynamic stabilization, key priorities in optimizing dialysis outcomes. Large-scale cohort data suggest that I-HDF may be linked to improved long-term survival in dialysis patients. Given its physiological advantages and operational flexibility, I-HDF may also offer a practical solution in healthcare systems with limited access to high-volume online hemodiafiltration or kidney transplantation. Further research is warranted to develop individualized infusion protocols and validate its broader applicability. Full article
Show Figures

Figure 1

Back to TopTop