Incidence and Dynamics of CRC Stage Migration: A Regional vs. a National Analysis
Abstract
Simple Summary
Abstract
1. Introduction
2. Materials and Methods
- Patients Diagnosed with colorectal cancer (CRC) and included in our tumor registry or SEER datasets.
- Confirmed CRC by pathology and its TNM staging.
- Patients with cancer of the appendix.
- Unknown CRC TNM stage.
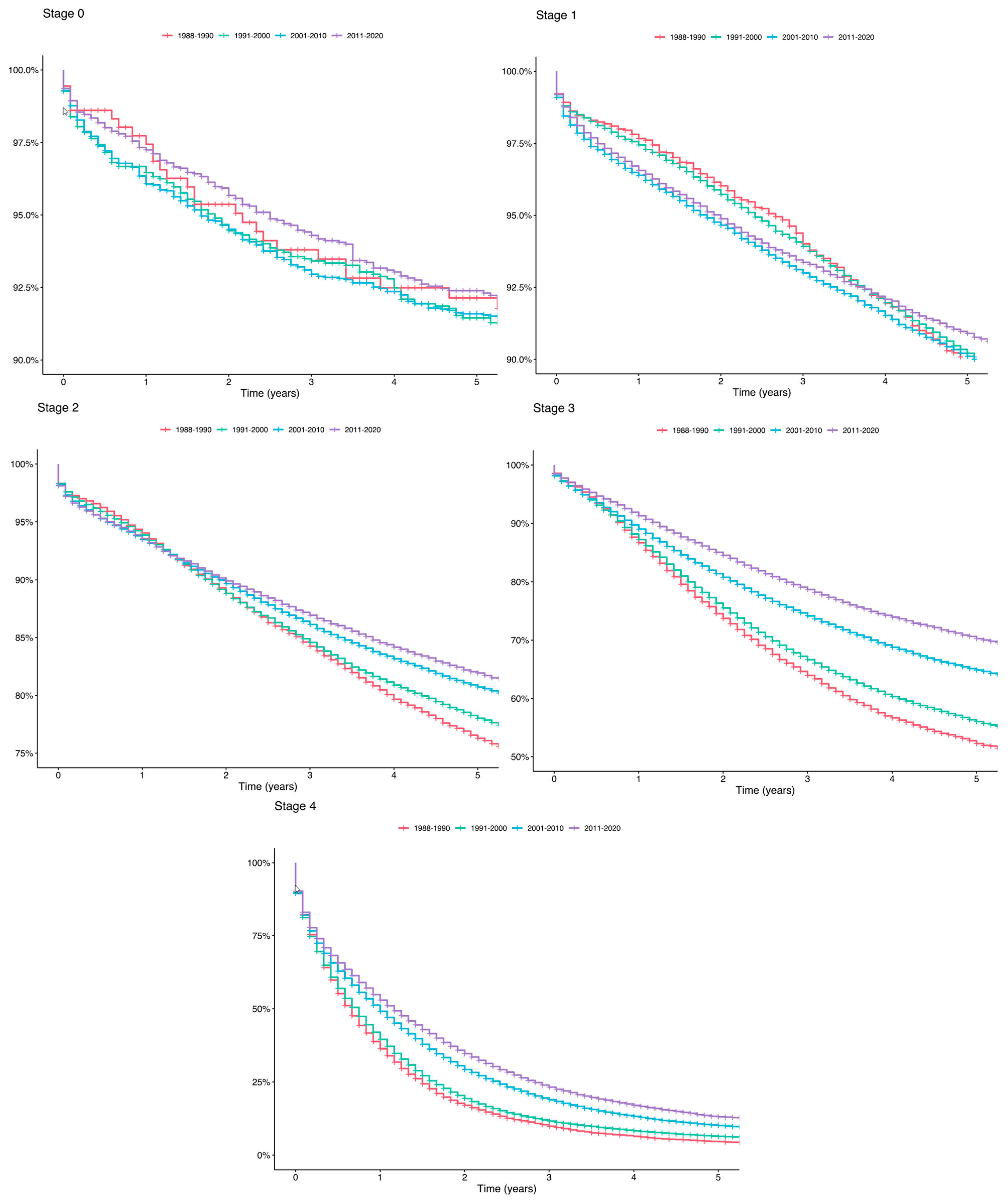
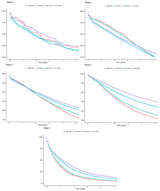
3. Results
3.1. Trends in Cancer Stage Distribution
3.2. Survival Analysis
4. Discussion
5. Conclusions
Author Contributions
Funding
Institutional Review Board Statement
Informed Consent Statement
Data Availability Statement
Conflicts of Interest
References
- Sung, H.; Ferlay, J.; Siegel, R.L.; Laversanne, M.; Soerjomataram, I.; Jemal, A.; Bray, F. Global Cancer Statistics 2020: GLOBOCAN Estimates of Incidence and Mortality Worldwide for 36 Cancers in 185 Countries. CA Cancer J. Clin. 2021, 71, 209–249. [Google Scholar] [CrossRef] [PubMed]
- Morgan, E.; Arnold, M.; Gini, A.; Lorenzoni, V.; Cabasag, C.J.; Laversanne, M.; Vignat, J.; Ferlay, J.; Murphy, N.; Bray, F. Global burden of colorectal cancer in 2020 and 2040: Incidence and mortality estimates from GLOBOCAN. Gut 2023, 72, 338–344. [Google Scholar] [CrossRef] [PubMed]
- Dekker, E.; Tanis, P.J.; Vleugels, J.L.A.; Kasi, P.M.; Wallace, M.B. Colorectal cancer. Lancet 2019, 394, 1467–1480. [Google Scholar] [CrossRef]
- Arnold, M.; Sierra, M.S.; Laversanne, M.; Soerjomataram, I.; Jemal, A.; Bray, F. Global patterns and trends in colorectal cancer incidence and mortality. Gut 2017, 66, 683–691. [Google Scholar] [CrossRef]
- Siegel, R.L.; Torre, L.A.; Soerjomataram, I.; Hayes, R.B.; Bray, F.; Weber, T.K.; Jemal, A. Global patterns and trends in colorectal cancer incidence in young adults. Gut 2019, 68, 2179–2185. [Google Scholar] [CrossRef]
- Ferlay, J.; Soerjomataram, I.; Dikshit, R.; Eser, S.; Mathers, C.; Rebelo, M.; Parkin, D.M.; Forman, D.; Bray, F. Cancer incidence and mortality worldwide: Sources, methods and major patterns in GLOBOCAN 2012. Int. J. Cancer 2015, 136, E359–E386. [Google Scholar] [CrossRef] [PubMed]
- Ferlay, J.; Colombet, M.; Soerjomataram, I.; Mathers, C.; Parkin, D.M.; Piñeros, M.; Znaor, A.; Bray, F. Estimating the global cancer incidence and mortality in 2018: GLOBOCAN sources and methods. Int J Cancer. 2019, 144, 1941–1953. [Google Scholar] [CrossRef]
- Bray, F.; Ferlay, J.; Soerjomataram, I.; Siegel, R.L.; Torre, L.A.; Jemal, A. Global cancer statistics 2018: GLOBOCAN estimates of incidence and mortality worldwide for 36 cancers in 185 countries. CA Cancer J. Clin. 2018, 68, 394–424. [Google Scholar] [CrossRef]
- Karamchandani, D.M.; Chetty, R.; King, T.S.; Liu, X.; Westerhoff, M.; Yang, Z.; Yantiss, R.K.; Driman, D.K. Challenges with colorectal cancer staging: Results of an international study. Mod. Pathol. 2020, 33, 153–163. [Google Scholar] [CrossRef]
- Egner, J.R. AJCC Cancer Staging Manual. JAMA 2010, 304, 1726–1727. [Google Scholar] [CrossRef]
- Compton, C.C.; Greene, F.L. The Staging of Colorectal Cancer: 2004 and Beyond. CA Cancer J. Clin. 2004, 54, 295–308. [Google Scholar] [CrossRef] [PubMed]
- Amin, M.B.; Greene, F.L.; Edge, S.B.; Compton, C.C.; Gershenwald, J.E.; Brookland, R.K.; Meyer, L.; Gress, D.M.; Byrd, D.R.; Winchester, D.P. The Eighth Edition AJCC Cancer Staging Manual: Continuing to build a bridge from a population-based to a more “personalized” approach to cancer staging. CA Cancer J. Clin. 2017, 67, 93–99. [Google Scholar] [CrossRef] [PubMed]
- Puppa, G.; Sonzogni, A.; Colombari, R.; Pelosi, G. TNM Staging System of Colorectal Carcinoma: A Critical Appraisal of Challenging Issues. Arch. Pathol. Lab. Med. 2010, 134, 837–852. [Google Scholar] [CrossRef] [PubMed]
- Hari, D.M.; Leung, A.M.; Lee, J.H.; Sim, M.S.; Vuong, B.; Chiu, C.G.; Bilchik, A.J. AJCC Cancer Staging Manual 7th Edition Criteria for Colon Cancer: Do the Complex Modifications Improve Prognostic Assessment? J. Am. Coll. Surg. 2013, 217, 181–190. [Google Scholar] [CrossRef] [PubMed]
- Nittala, M.R.; Mundra, E.K.; Packianathan, S.; Mehta, D.; Smith, M.L.; Woods, W.C.; McKinney, S.; Craft, B.S.; Vijayakumar, S. The Will Rogers phenomenon, breast cancer and race. BMC Cancer 2021, 21, 554. [Google Scholar] [CrossRef]
- Pia Sormani, M. The Will Rogers phenomenon: The effect of different diagnostic criteria. J. Neurol. Sci. 2009, 287 (Suppl. S1), S46–S49. [Google Scholar] [CrossRef]
- Chee, K.G.; Nguyen, D.V.; Brown, M.; Gandara, D.R.; Wun, T.; Lara, P.N. Positron Emission Tomography and Improved Survival in Patients With Lung Cancer: The Will Rogers Phenomenon Revisited. Arch. Intern. Med. 2008, 168, 1541–1549. [Google Scholar] [CrossRef]
- Fanti, S.; Lalumera, E.; Hicks, R. Facts and Myths About Stage Migration: Should the Will Rogers Phenomenon Ride off into the Distance? Eur. Urol. Oncol. 2023, 6, 1–3. [Google Scholar] [CrossRef]
- Feinstein, A.R.; Sosin, D.M.; Wells, C.K. The Will Rogers phenomenon. Stage migration and new diagnostic techniques as a source of misleading statistics for survival in cancer. N. Engl. J. Med. 1985, 312, 1604–1608. [Google Scholar] [CrossRef]
- George, S.; Primrose, J.; Talbot, R.; Smith, J.; Mullee, M.; Bailey, D.; du Boulay, C.; Jordan, H.; Wessex Colorectal Cancer Audit Working Group. Will Rogers revisited: Prospective observational study of survival of 3592 patients with colorectal cancer according to number of nodes examined by pathologists. Br J Cancer 2006, 95, 841. [Google Scholar] [CrossRef]
- Che, W.Q.; Li, Y.J.; Tsang, C.K.; Wang, Y.J.; Chen, Z.; Wang, X.Y.; Xu, A.D.; Lyu, J. How to use the Surveillance, Epidemiology, and End Results (SEER) data: Research design and methodology. Mil. Med. Res. 2023, 10, 50. [Google Scholar] [CrossRef] [PubMed]
- White, A.; Ironmonger, L.; Steele, R.J.C.; Ormiston-Smith, N.; Crawford, C.; Seims, A. A review of sex-related differences in colorectal cancer incidence, screening uptake, routes to diagnosis, cancer stage and survival in the, U.K. BMC Cancer 2018, 18, 906. [Google Scholar] [CrossRef] [PubMed]
- American Cancer Society. Colorectal Cancer Facts & Figures 2023–2025; American Cancer Society: Atlanta, GA, USA, 2023. [Google Scholar]
- Siegel, R.L.; Wagle, N.S.; Cercek, A.; Smith, R.A.; Jemal, A. Colorectal cancer statistics, 2023. CA Cancer J. Clin. 2023, 73, 233–254. [Google Scholar] [CrossRef]
- Liu, B.; Zhu, L.; Zou, J.; Chen, H.S.; Miller, K.D.; Jemal, A.; Siegel, R.L.; Feuer, E.J. Updated methodology for projecting US- and State-level cancer counts for the current calendar year: Part I: Spatio-temporal modeling for cancer incidence. Cancer Epidemiol. Biomark. Prev. 2021, 30, 1620. [Google Scholar] [CrossRef] [PubMed]
- Miller, K.D.; Siegel, R.L.; Liu, B.; Zhu, L.; Zou, J.; Jemal, A.; Feuer, E.J.; Chen, H.S. Updated methodology for projecting U.S.-and state-level cancer counts for the current calendar year: Part II: Evaluation of incidence and mortality projection methods. Cancer Epidemiol. Biomark. Prev. 2021, 30, 1993–2000. [Google Scholar] [CrossRef] [PubMed]
- Rawla, P.; Sunkara, T.; Barsouk, A. Epidemiology of colorectal cancer: Incidence, mortality, survival, and risk factors. Prz. Gastroenterol. 2019, 14, 89. [Google Scholar] [CrossRef]
- Liang, P.S.; Allison, J.; Ladabaum, U.; Martinez, M.E.; Murphy, C.C.; Schoen, R.E.; Shaukat, A.; Tinmouth, J.; Gupta, S. Potential Intended and Unintended Consequences of Recommending Initiation of Colorectal Cancer Screening at Age 45 Years. Gastroenterology 2018, 155, 950–954. [Google Scholar] [CrossRef]
- Sharma, P.; Burke, C.A.; Johnson, D.A.; Cash, B.D. The importance of colonoscopy bowel preparation for the detection of colorectal lesions and colorectal cancer prevention. Endosc. Int. Open 2020, 8, E673. [Google Scholar] [CrossRef]
- Märkl, B. Stage migration vs immunology: The lymph node count story in colon cancer. World J. Gastroenterol. 2015, 21, 12218. [Google Scholar] [CrossRef]
- Carethers, J.M. Racial and Ethnic Disparities in Colorectal Cancer Incidence and Mortality. Adv. Cancer Res. 2021, 151, 197. [Google Scholar]
- Siegel Mph, R.L.; Giaquinto, A.N.; Ahmedin Dvm, J.; Siegel, R.L. Cancer statistics, 2024. CA Cancer J. Clin. 2024, 74, 12–49. [Google Scholar] [CrossRef] [PubMed]
- Sawicki, T.; Ruszkowska, M.; Danielewicz, A.; Niedźwiedzka, E.; Arłukowicz, T.; Przybyłowicz, K.E. A Review of Colorectal Cancer in Terms of Epidemiology, Risk Factors, Development, Symptoms and Diagnosis. Cancers 2021, 13, 2025. [Google Scholar] [CrossRef] [PubMed]
- PDQ Cancer Genetics Editorial Board. Genetics of Colorectal Cancer (PDQ®). PDQ Cancer Information Summaries. 2024. Available online: https://www.cancer.gov/types/colorectal/hp/colorectal-genetics-pdq (accessed on 19 September 2024).
- Kastrinos, F.; Syngal, S. Inherited Colorectal Cancer Syndromes. Cancer J. 2011, 17, 405. [Google Scholar] [CrossRef]
- Jasperson, K.W.; Tuohy, T.M.; Neklason, D.W.; Burt, R.W. Hereditary and Familial Colon Cancer. Gastroenterology 2010, 138, 2044. [Google Scholar] [CrossRef]
- PDQ Cancer Genetics Editorial Board. Genetics of Colorectal Cancer (PDQ®): Health Professional Version. PDQ Cancer Information Summaries. 2002. Available online: http://www.ncbi.nlm.nih.gov/pubmed/26389505 (accessed on 19 September 2024).
- Nejadtaghi, M.; Jafari, H.; Farrokhi, E.; Samani, K.G. Familial colorectal cancer type X (FCCTX) and the correlation with various genes: A systematic review. Curr. Probl. Cancer 2017, 41, 388–397. [Google Scholar] [CrossRef]
- Marino, P.; Mininni, M.; Deiana, G.; Marino, G.; Divella, R.; Bochicchio, I.; Giuliano, A.; Lapadula, S.; Lettini, A.R.; Sanseverino, F. Healthy Lifestyle and Cancer Risk: Modifiable Risk Factors to Prevent Cancer. Nutrients 2024, 16, 800. [Google Scholar] [CrossRef]
- Yang, Y.; Du, L.; Shi, D.; Kong, C.; Liu, J.; Liu, G.; Li, X.; Ma, Y. Dysbiosis of human gut microbiome in young-onset colorectal cancer. Nat. Commun. 2021, 12, 6757. [Google Scholar] [CrossRef] [PubMed]
- Yadav, D.; Sainatham, C.; Filippov, E.; Kanagala, S.G.; Ishaq, S.M.; Jayakrishnan, T. Gut Microbiome–Colorectal Cancer Relationship. Microorganisms 2024, 12, 484. [Google Scholar] [CrossRef]
- Barot, S.V.; Sangwan, N.; Nair, K.G.; Schmit, S.L.; Xiang, S.; Kamath, S.; Liska, D.; Khorana, A.A. Distinct intratumoral microbiome of young-onset and average-onset colorectal cancer. EBioMedicine 2024, 100, 104980. [Google Scholar] [CrossRef]
- Dai, R.; Kelly, B.N.; Ike, A.; Berger, D.; Chan, A.; Drew, D.A.; Ljungman, D.; Mutiibwa, D.; Ricciardi, R.; Tumusiime, G.; et al. The Impact of the Gut Microbiome, Environment, and Diet in Early-Onset Colorectal Cancer Development. Cancers 2024, 16, 676. [Google Scholar] [CrossRef]
- Davidson, K.W.; Barry, M.J.; Mangione, C.M.; Cabana, M.; Caughey, A.B.; Davis, E.M.; Donahue, K.E.; Doubeni, C.A.; Krist, A.H.; Kubik, M.; et al. Screening for Colorectal Cancer: US Preventive Services Task Force Recommendation Statement. JAMA—J. Am. Med. Assoc. 2021, 325, 1965–1977. [Google Scholar]
- Secretariat, M.A. Flexible Sigmoidoscopy for Colorectal Cancer Screening: An Evidence-Based Analysis. Ont. Health Technol. Assess Ser. 2009, 9, 1–23. [Google Scholar]
- Sur, D.; Colceriu, M.; Sur, G.; Floca, E.; Dascal, L.; Irimie, A. Colorectal cancer: Evolution of screening strategies. Med. Pharm. Rep. 2019, 92, 21. [Google Scholar] [CrossRef]
- Azulay, R.; Valinsky, L.; Hershkowitz, F.; Magnezi, R. CRC Screening Results: Patient Comprehension and Follow-up. Cancer Control 2019, 26, 1073274819825828. [Google Scholar] [CrossRef] [PubMed]




| Risk Category | Criteria | Screening Start Age | Screening Test | Interval |
|---|---|---|---|---|
| Average | Adults aged 45–75 years. No high-risk factors | 45 (USPSTF guidelines) | Varies: stool test, colonoscopy etc. | Depending on test used |
| High | Familial adenomatous polyposis | 10–12 | Colonoscopy | Every 1–2 years until colectomy |
| High | Lynch Syndrome | 20–25 for 10 years (before the youngest case in family) | Colonoscopy | Every 1–2 years |
| High | IBD (Crohn’s or UC) | After 8 years of chronic colitis | Colonoscopy with biopsies | Every 1–2 years |
| High | Family hx of CRC (family member < 60 years or >2 family members) | At age 40 or 10 years earlier than age of youngest family member at diagnosis | Colonoscopy | Every 5 years |
| High | Family hx of CRC (family member > 60 years) | 40 | Colonoscopy | Every 10 years |
| High | Personal hx of CRC | At time of CRC diagnosis | Colonoscopy | 1 year after surgery, the at 3 years, and then every 5 years if normal |
| High | Adult with cystic fibrosis | 40 | Colonoscopy | Every 5 years |
Disclaimer/Publisher’s Note: The statements, opinions and data contained in all publications are solely those of the individual author(s) and contributor(s) and not of MDPI and/or the editor(s). MDPI and/or the editor(s) disclaim responsibility for any injury to people or property resulting from any ideas, methods, instructions or products referred to in the content. |
© 2024 by the authors. Licensee MDPI, Basel, Switzerland. This article is an open access article distributed under the terms and conditions of the Creative Commons Attribution (CC BY) license (https://creativecommons.org/licenses/by/4.0/).
Share and Cite
Faris, C.; Cuaranta, A.; Abdelmasseh, M.; Finley, R.; Payne, B.; Gorka, A.; Sanabria, J. Incidence and Dynamics of CRC Stage Migration: A Regional vs. a National Analysis. Cancers 2024, 16, 3245. https://doi.org/10.3390/cancers16193245
Faris C, Cuaranta A, Abdelmasseh M, Finley R, Payne B, Gorka A, Sanabria J. Incidence and Dynamics of CRC Stage Migration: A Regional vs. a National Analysis. Cancers. 2024; 16(19):3245. https://doi.org/10.3390/cancers16193245
Chicago/Turabian StyleFaris, Carol, Araceli Cuaranta, Michael Abdelmasseh, Rob Finley, Barbara Payne, Alexei Gorka, and Juan Sanabria. 2024. "Incidence and Dynamics of CRC Stage Migration: A Regional vs. a National Analysis" Cancers 16, no. 19: 3245. https://doi.org/10.3390/cancers16193245
APA StyleFaris, C., Cuaranta, A., Abdelmasseh, M., Finley, R., Payne, B., Gorka, A., & Sanabria, J. (2024). Incidence and Dynamics of CRC Stage Migration: A Regional vs. a National Analysis. Cancers, 16(19), 3245. https://doi.org/10.3390/cancers16193245

