A Study of Disease Prognosis in Lung Adenocarcinoma Using Single-Cell Decomposition and Immune Signature Analysis
Abstract
Simple Summary
Abstract
1. Introduction
2. Methods
2.1. System Flow and Datasets of the Study
2.2. Immune Profile Estimations of Patients
2.3. Immune Clustering Analysis
2.4. Statistical Tests and Prognosis MODEL Construction
3. Results
3.1. Statistics of the Study Cohort
3.2. Cell Proportions and Immunograms of Chemotherapy Patients
3.3. PPS Score Evaluation of Patients with LUAD
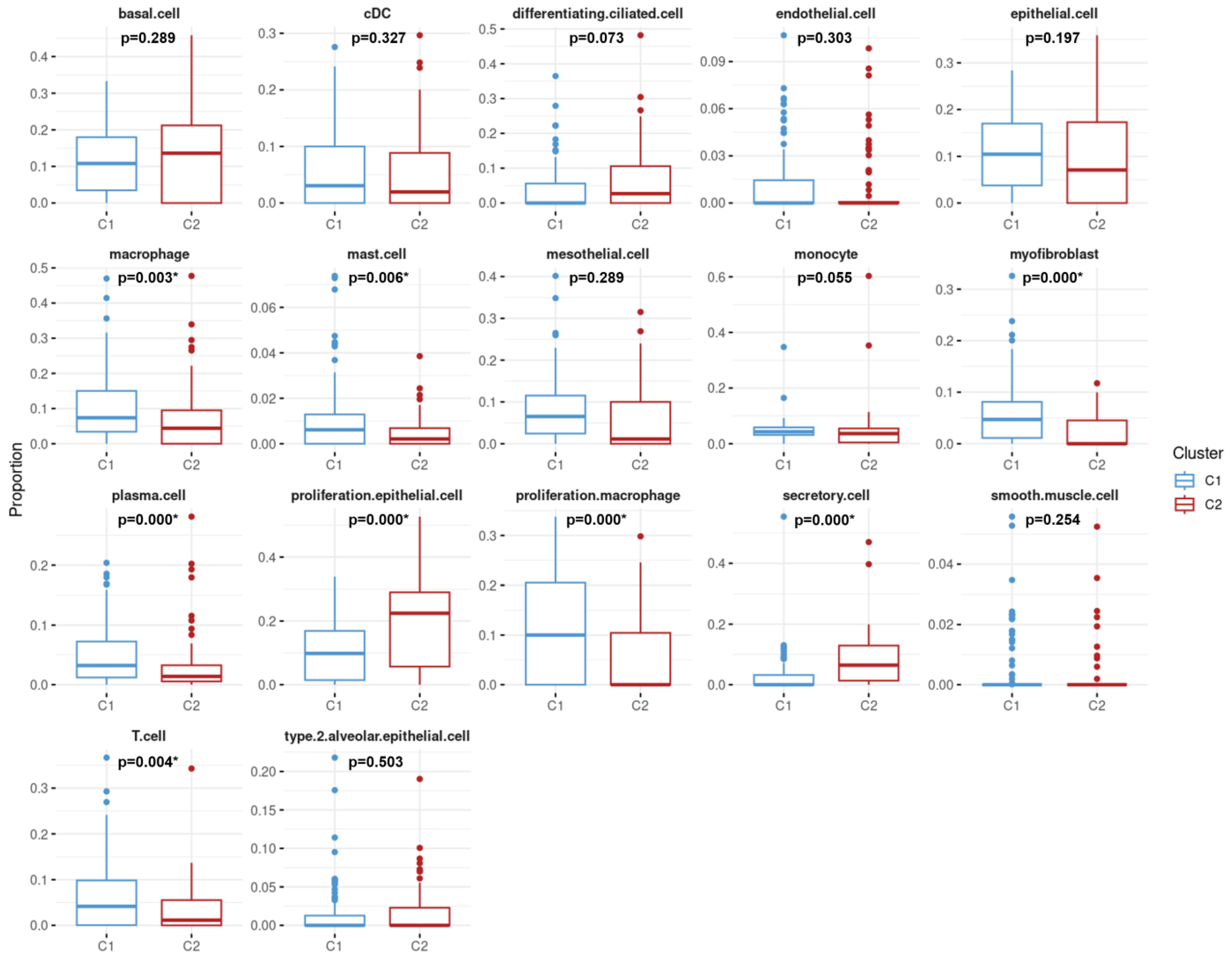
3.4. Immune Profiles within Different Clusters
3.5. Correlation Analysis of Immune Clustering and Chemotherapeutic Response
3.6. Performance of Prognostic Models of Patients Who Underwent Chemotherapy
4. Discussion
5. Conclusions
Supplementary Materials
Author Contributions
Funding
Institutional Review Board Statement
Informed Consent Statement
Data Availability Statement
Acknowledgments
Conflicts of Interest
References
- Gridelli, C.; Rossi, A.; Carbone, D.P.; Guarize, J.; Karachaliou, N.; Mok, T.; Petrella, F.; Spaggiari, L.; Rosell, R. Non-small-cell lung cancer. Nat. Rev. Dis. Primers 2015, 1, 15009. [Google Scholar] [CrossRef] [PubMed]
- Devarakonda, S.; Morgensztern, D.; Govindan, R. Genomic alterations in lung adenocarcinoma. Lancet Oncol. 2015, 16, e342–e351. [Google Scholar] [CrossRef] [PubMed]
- Oser, M.G.; Niederst, M.J.; Sequist, L.V.; Engelman, J.A. Transformation from non-small-cell lung cancer to small-cell lung cancer: Molecular drivers and cells of origin. Lancet Oncol. 2015, 16, e165–e172. [Google Scholar] [CrossRef] [PubMed]
- Havel, J.J.; Chowell, D.; Chan, T.A. The evolving landscape of biomarkers for checkpoint inhibitor immunotherapy. Nat. Rev. Cancer 2019, 19, 133–150. [Google Scholar] [CrossRef] [PubMed]
- Service NCRaA. Chemotherapy, Radiotherapy and Tumour Resections in England: 2013–2014; National Cancer Research Institute: Bethesda, MD, USA, 2017.
- Cerbelli, B.; Scagnoli, S.; Mezi, S.; De Luca, A.; Pisegna, S.; Amabile, M.I.; Roberto, M.; Fortunato, L.; Costarelli, L.; Pernazza, A.; et al. Tissue Immune Profile: A Tool to Predict Response to Neoadjuvant Therapy in Triple Negative Breast Cancer. Cancers 2020, 12, 2648. [Google Scholar] [CrossRef]
- Kobayashi, Y.; Kushihara, Y.; Saito, N.; Yamaguchi, S.; Kakimi, K. A novel scoring method based on RNA-Seq immunograms describing individual cancer-immunity interactions. Cancer Sci. 2020, 111, 4031–4040. [Google Scholar] [CrossRef]
- Blank, C.U.; Haanen, J.B.; Ribas, A.; Schumacher, T.N. The “cancer immunogram”. Science 2016, 352, 658–660. [Google Scholar] [CrossRef]
- Yoshihara, K.; Shahmoradgoli, M.; Martinez, E.; Vegesna, R.; Kim, H.; Torres-Garcia, W.; Trevino, V.; Shen, H.; Laird, P.W.; Levine, D.A.; et al. Inferring tumour purity and stromal and immune cell admixture from expression data. Nat. Commun. 2013, 4, 2612. [Google Scholar] [CrossRef] [PubMed]
- Karasaki, T.; Nagayama, K.; Kuwano, H.; Nitadori, J.I.; Sato, M.; Anraku, M.; Hosoi, A.; Matsushita, H.; Morishita, Y.; Kashiwabara, K.; et al. An Immunogram for the Cancer-Immunity Cycle: Towards Personalized Immunotherapy of Lung Cancer. J. Thorac. Oncol. 2017, 12, 791–803. [Google Scholar] [CrossRef]
- Xiong, D.; Wang, Y.; You, M. A gene expression signature of TREM2(hi) macrophages and gammadelta T cells predicts immunotherapy response. Nat. Commun. 2020, 11, 5084. [Google Scholar] [CrossRef]
- Wang, X.; Park, J.; Susztak, K.; Zhang, N.R.; Li, M. Bulk tissue cell type deconvolution with multi-subject single-cell expression reference. Nat. Commun. 2019, 10, 380. [Google Scholar] [CrossRef] [PubMed]
- Jew, B.; Alvarez, M.; Rahmani, E.; Miao, Z.; Ko, A.; Garske, K.M.; Sul, J.H.; Pietilainen, K.H.; Pajukanta, P.; Halperin, E. Accurate estimation of cell composition in bulk expression through robust integration of single-cell information. Nat. Commun. 2020, 11, 1971. [Google Scholar] [CrossRef] [PubMed]
- Chen, B.; Khodadoust, M.S.; Liu, C.L.; Newman, A.M.; Alizadeh, A.A. Profiling tumor infiltrating immune cells with CIBERSORT. Cancer Syst. Biol. Methods Protoc. 2018, 1711, 243–259. [Google Scholar]
- Li, M.; Zhang, X.; Ang, K.S.; Ling, J.; Sethi, R.; Lee, N.Y.S.; Ginhoux, F.; Chen, J. DISCO: A database of Deeply Integrated human Single-Cell Omics data. Nucleic Acids Res. 2022, 50, D596–D602. [Google Scholar] [CrossRef]
- Edgar, R.; Domrachev, M.; Lash, A.E. Gene Expression Omnibus: NCBI gene expression and hybridization array data repository. Nucleic Acids Res. 2002, 30, 207–210. [Google Scholar] [CrossRef] [PubMed]
- Yuan, H.; Yan, M.; Zhang, G.; Liu, W.; Deng, C.; Liao, G.; Xu, L.; Luo, T.; Yan, H.; Long, Z. CancerSEA: A cancer single-cell state atlas. Nucleic Acids Res. 2019, 47, D900–D908. [Google Scholar] [CrossRef]
- Newman, A.M.; Liu, C.L.; Green, M.R.; Gentles, A.J.; Feng, W.; Xu, Y.; Hoang, C.D.; Diehn, M.; Alizadeh, A.A. Robust enumeration of cell subsets from tissue expression profiles. Nat. Methods 2015, 12, 453–457. [Google Scholar] [CrossRef]
- Li, C.; Tian, C.; Zeng, Y.; Liang, J.; Yang, Q.; Gu, F.; Hu, Y.; Liu, L. Machine learning and bioinformatics analysis revealed classification and potential treatment strategy in stage 3-4 NSCLC patients. BMC Med. Genom. 2022, 15, 33. [Google Scholar] [CrossRef]
- Zheng, Y.; Tang, L.; Liu, Z. Multi-omics analysis of an immune-based prognostic predictor in non-small cell lung cancer. BMC Cancer 2021, 21, 1322. [Google Scholar] [CrossRef]
- Wu, F.; Fan, J.; He, Y.; Xiong, A.; Yu, J.; Li, Y.; Zhang, Y.; Zhao, W.; Zhou, F.; Li, W.; et al. Single-cell profiling of tumor heterogeneity and the microenvironment in advanced non-small cell lung cancer. Nat. Commun. 2021, 12, 2540. [Google Scholar] [CrossRef]
- Jiang, P.; Gu, S.; Pan, D.; Fu, J.; Sahu, A.; Hu, X.; Li, Z.; Traugh, N.; Bu, X.; Li, B.; et al. Signatures of T cell dysfunction and exclusion predict cancer immunotherapy response. Nat. Med. 2018, 24, 1550–1558. [Google Scholar] [CrossRef] [PubMed]
- Yi, M.; Nissley, D.V.; McCormick, F.; Stephens, R.M. ssGSEA score-based Ras dependency indexes derived from gene expression data reveal potential Ras addiction mechanisms with possible clinical implications. Sci. Rep. 2020, 10, 10258. [Google Scholar] [CrossRef] [PubMed]
- Breuer, K.; Foroushani, A.K.; Laird, M.R.; Chen, C.; Sribnaia, A.; Lo, R.; Winsor, G.L.; Hancock, R.E.; Brinkman, F.S.; Lynn, D.J. InnateDB: Systems biology of innate immunity and beyond—Recent updates and continuing curation. Nucleic Acids Res. 2013, 41, D1228–D1233. [Google Scholar] [CrossRef] [PubMed]
- Guo, X.; Zhang, Y.; Zheng, L.; Zheng, C.; Song, J.; Zhang, Q.; Kang, B.; Liu, Z.; Jin, L.; Xing, R.; et al. Global characterization of T cells in non-small-cell lung cancer by single-cell sequencing. Nat. Med. 2018, 24, 978–985. [Google Scholar] [CrossRef]
- Jackute, J.; Zemaitis, M.; Pranys, D.; Sitkauskiene, B.; Miliauskas, S.; Vaitkiene, S.; Sakalauskas, R. Distribution of M1 and M2 macrophages in tumor islets and stroma in relation to prognosis of non-small cell lung cancer. BMC Immunol. 2018, 19, 3. [Google Scholar] [CrossRef]
- Zhang, M.; Ma, J.; Guo, Q.; Ding, S.; Wang, Y.; Pu, H. CD8(+) T Cell-Associated Gene Signature Correlates with Prognosis Risk and Immunotherapy Response in Patients With Lung Adenocarcinoma. Front. Immunol. 2022, 13, 806877. [Google Scholar] [CrossRef]
- Qian, Z.; Qingshan, C.; Chun, J.; Huijun, Z.; Feng, L.; Qiang, W.; Qiang, X.; Min, Z. High expression of TNFSF13 in tumor cells and fibroblasts is associated with poor prognosis in non–small cell lung cancer. Am. J. Clin. Pathol. 2014, 141, 226–233. [Google Scholar] [CrossRef] [PubMed]
- Liu, Y.-T.; Sun, Z.-J. Turning cold tumors into hot tumors by improving T-cell infiltration. Theranostics 2021, 11, 5365. [Google Scholar] [CrossRef]
- Miao, Q.; Zhang, L.; Zheng, X.; Jiang, K.; Wu, B.; Lin, G. Transformation of a cold to hot tumor and a durable response to immunotherapy in a patient with non-small cell lung cancer after chemoradiotherapy: A case report. Ann. Palliat. Med. 2021, 10, 4982–4986. [Google Scholar] [CrossRef]
- Senosain, M.F.; Zou, Y.; Novitskaya, T.; Vasiukov, G.; Balar, A.B.; Rowe, D.J.; Doxie, D.B.; Lehman, J.M.; Eisenberg, R.; Maldonado, F.; et al. HLA-DR cancer cells expression correlates with T cell infiltration and is enriched in lung adenocarcinoma with indolent behavior. Sci. Rep. 2021, 11, 14424. [Google Scholar] [CrossRef]





| Category | All (N = 513) | Chemo (N = 177) | |
|---|---|---|---|
| Gender | Male | 237 | 84 |
| Female | 276 | 93 | |
| Smoker | 351 | 116 | |
| Age (years) | 65.2 ± 10.3 | 63.3 ± 9.9 | |
| Race | American Indian or Alaska Native | 1 | 1 |
| Asian | 7 | 4 | |
| Black or African American | 52 | 18 | |
| White | 387 | 138 | |
| Stage | I | 274 | 37 |
| II | 121 | 69 | |
| III | 86 | 53 | |
| IV | 29 | 15 | |
| Drug response (CR) | Stage I–II | -- | 62 |
| Stage III–IV | -- | 29 | |
| Drug response (PD) | Stage I–II | -- | 25 |
| Stage III–IV | -- | 17 | |
| With mutation | EGFR | 73 (14.2%) | 29 (16.4%) |
| ALK | 34 (6.6%) | 11 (6.2%) | |
| PFI < 365 days | PFI ≥ 365 days | p Value | |
|---|---|---|---|
| Cluster | 0.035 | ||
| C1 (N = 102) | 21 (20.5%) | 81 (79.4%) | |
| C2 (N = 75) | 27 (36.0%) | 48 (64.0%) |
| CR | PD | p Value | |
|---|---|---|---|
| Cluster | 0.047 | ||
| C1 (N = 78) | 59 (75.6%) | 19 (24.3%) | |
| C2 (N = 57) | 34 (59.6%) | 23 (40.3%) |
| RF | SVM | XGBoost | AdaBoost | |
|---|---|---|---|---|
| Accuracy | 0.910 | 0.955 | 0.904 | 0.921 |
| Recall | 0.931 | 1.000 | 0.940 | 0.951 |
| Precision | 0.919 | 0.934 | 0.898 | 0.920 |
| F1 score | 0.919 | 0.964 | 0.918 | 0.933 |
| AUC | 0.977 | 0.996 | 0.977 | 0.989 |
Disclaimer/Publisher’s Note: The statements, opinions and data contained in all publications are solely those of the individual author(s) and contributor(s) and not of MDPI and/or the editor(s). MDPI and/or the editor(s) disclaim responsibility for any injury to people or property resulting from any ideas, methods, instructions or products referred to in the content. |
© 2024 by the authors. Licensee MDPI, Basel, Switzerland. This article is an open access article distributed under the terms and conditions of the Creative Commons Attribution (CC BY) license (https://creativecommons.org/licenses/by/4.0/).
Share and Cite
Lee, C.-Y.; Wu, Y.-C.; Liao, T.-C.; Hsiao, S.-H.; Hsu, J.B.-K.; Chang, T.-H. A Study of Disease Prognosis in Lung Adenocarcinoma Using Single-Cell Decomposition and Immune Signature Analysis. Cancers 2024, 16, 3207. https://doi.org/10.3390/cancers16183207
Lee C-Y, Wu Y-C, Liao T-C, Hsiao S-H, Hsu JB-K, Chang T-H. A Study of Disease Prognosis in Lung Adenocarcinoma Using Single-Cell Decomposition and Immune Signature Analysis. Cancers. 2024; 16(18):3207. https://doi.org/10.3390/cancers16183207
Chicago/Turabian StyleLee, Cheng-Yang, Yu-Chung Wu, Tze-Chi Liao, Shih-Hsin Hsiao, Justin Bo-Kai Hsu, and Tzu-Hao Chang. 2024. "A Study of Disease Prognosis in Lung Adenocarcinoma Using Single-Cell Decomposition and Immune Signature Analysis" Cancers 16, no. 18: 3207. https://doi.org/10.3390/cancers16183207
APA StyleLee, C.-Y., Wu, Y.-C., Liao, T.-C., Hsiao, S.-H., Hsu, J. B.-K., & Chang, T.-H. (2024). A Study of Disease Prognosis in Lung Adenocarcinoma Using Single-Cell Decomposition and Immune Signature Analysis. Cancers, 16(18), 3207. https://doi.org/10.3390/cancers16183207

