Phase IB Study of Oral Selinexor in Combination with Rituximab and Platinum Chemotherapy in Patients with Relapsed/Refractory B-Cell Lymphoma—Final Analysis
Abstract
Simple Summary
Abstract
1. Introduction
2. Patients and Methods
Study Design and Patients
3. Treatments
4. Safety
5. Efficacy
6. Statistical Analysis
7. Results
7.1. Patient Disposition
7.2. DLTs, Modification of Selinexor Dosing Schedule, and RP2D
7.3. RP2D Cohort Patient Characteristics
7.4. Safety of RP2D Cohort
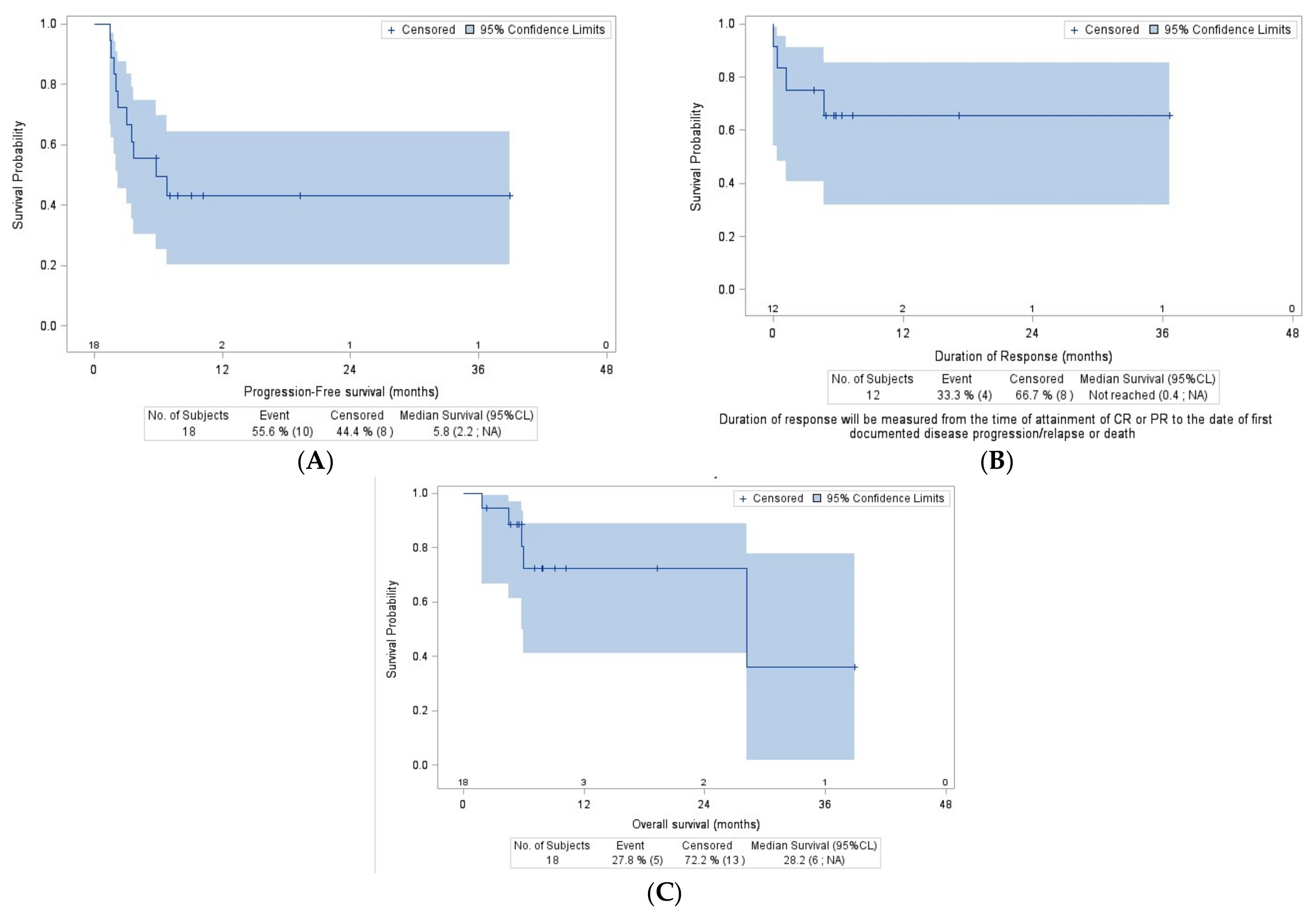
7.5. Efficacy in the RP2D Cohort
8. Discussion
9. Conclusions
Supplementary Materials
Author Contributions
Funding
Institutional Review Board Statement
Informed Consent Statement
Data Availability Statement
Acknowledgments
Conflicts of Interest
References
- Kalakonda, N.; Maerevoet, M.; Cavallo, F.; Follows, G.; Goy, A.; Vermaat, J.S.P.; Casasnovas, O.; Hamad, N.; Zijlstra, J.M.; Bakhshi, S.; et al. Selinexor in patients with relapsed or refractory diffuse large B-cell lymphoma (SADAL): A single-arm, multinational, multicentre, open-label, phase 2 trial. Lancet Haematol. 2020, 7, e511–e522. [Google Scholar] [CrossRef] [PubMed]
- Kasamon, Y.L.; PriceBecker, L.S.L.; Okusanya, O.O.; Richardson, N.C.; Li, R.J.; Ma, L.; Wu, Y.T.; Theoret, M.; Pazdur, R.; Gormley, N.J. FDA Approval Summary: Selinexor for Relapsed or Refractory Diffuse Large B-Cell Lymphoma. Oncologist 2021, 26, 879–886. [Google Scholar] [CrossRef] [PubMed]
- Philip, T.; Guglielmi, C.; Hagenbeek, A.; Somers, R.; Van der Lelie, H.; Bron, D.; Sonneveld, P.; Gisselbrecht, C.; Cahn, J.Y.; Harousseau, J.L.; et al. Autologous bone marrow transplantation as compared with salvage chemotherapy in relapses of chemotherapy-sensitive non-Hodgkin’s lymphoma. N. Engl. J. Med. 1995, 333, 1540–1545. [Google Scholar] [CrossRef] [PubMed]
- Crump, M.; Kuruvilla, J.; Couban, S.; MacDonald, D.A.; Kukreti, V.; Kouroukis, C.T.; Rubinger, M.; Buckstein, R.; Imrie, K.R.; Federico, M.; et al. Randomized comparison of gemcitabine, dexamethasone, and cisplatin versus dexamethasone, cytarabine, and cisplatin chemotherapy before autologous stem-cell transplantation for relapsed and refractory aggressive lymphomas: NCIC-CTG LY.12. J. Clin. Oncol. 2014, 32, 3490–3496. [Google Scholar] [CrossRef] [PubMed]
- Machover, D.; Delmas-Marsalet, B.; Misra, S.C.; Gumus, Y.; Goldschmidt, E.; Schilf, A.; Frénoy, N.; Emile, J.F.; Debuire, B.; Guettier, C.; et al. Dexamethasone, high-dose cytarabine, and oxaliplatin (DHAOx) as salvage treatment for patients with initially refractory or relapsed non-Hodgkin’s lymphoma. Ann. Oncol. 2001, 12, 1439–1443. [Google Scholar] [CrossRef] [PubMed]
- Cheson, B.D.; Fisher, R.I.; Barrington, S.F.; Cavalli, F.; Schwartz, L.H.; Zucca, E.; Lister, T.A.; Alliance, Australasian Leukaemia and Lymphoma Group; Eastern Cooperative Oncology Group; European Mantle Cell Lymphoma Consortium; et al. Recommendations for initial evaluation, staging, and response assessment of Hodgkin and non-Hodgkin lymphoma: The Lugano classification. J. Clin. Oncol. 2014, 32, 3059–3068. [Google Scholar] [CrossRef] [PubMed]
- van Imhoff, G.W.; McMillan, A.; Matasar, M.J.; Radford, J.; Ardeshna, K.M.; Kuliczkowski, K.; Kim, W.; Hong, X.; Goerloev, J.S.; Davies, A.; et al. Ofatumumab Versus Rituximab Salvage Chemoimmunotherapy in Relapsed or Refractory Diffuse Large B-Cell Lymphoma: The ORCHARRD Study. J. Clin. Oncol. 2017, 35, 544–551. [Google Scholar] [CrossRef] [PubMed]
- Bonnet, C.; Dupuis, J.; Tilly, H.; Lamy, T.; Fruchart, C.; le Gouill, S.; Thieblemont, C.; Morschhauser, F.; Casasnovas, O.; Bouabdallah, K.; et al. Ibrutinib Associated with Rituximab-Platinum Salt-Based Immunochemotherapy in B-Cell Lymphomas: Results of a Phase 1b-II Study of the LYSA Group. Cancers 2022, 14, 1761. [Google Scholar] [CrossRef] [PubMed]
- Hemisphere. Available online: https://journals.lww.com/hemasphere/fulltext/2022/06003/s221__bortezomib_to_r_dhap_compared_to_r_dhap_in.122.aspx (accessed on 20 June 2024).
- Palazón-Carrión, N.; Martín García-Sancho, A.; Nogales-Fernández, E.; Jiménez-Cortegana, C.; Carnicero-González, F.; Ríos-Herranz, E.; de la Cruz-Vicente, F.; Rodríguez-García, G.; Fernández-Álvarez, R.; Martínez-Banaclocha, N.; et al. Lenalidomide plus R-GDP (R2-GDP) in Relapsed/Refractory Diffuse Large B-Cell Lymphoma: Final Results of the R2-GDP-GOTEL Trial and Immune Biomarker Subanalysis. Clin. Cancer Res. 2022, 28, 3658–3668. [Google Scholar] [CrossRef] [PubMed]
- Caimi, P.F.; Cashen, A.; Gallogly, M.; Winter, A.; Boughan, K.; Ghobadi, A.; Jagadeesh, D.; Cooper, B.; Mehta-Shah, N.; Dean, R.; et al. Venetoclax combined with R-ICE (VICER) for second line treatment of diffuse large B cell lymphoma refractory or relapsed after initial chemoimmunotherapy. Hematol. Oncol. 2023, 41, 436–437. [Google Scholar] [CrossRef]
- Wang, L.; Liu, M.; Fang, Y.; Zhang, M.; Xiong, J.; Cheng, L.; Zhao, W. Selinexor in Combination with R-GDP/R-ICE Regimen for Refractory Aggressive Large B-Cell Lymphoma Patients with TP53 Alterations. Blood 2022, 140 (Suppl. S1), 9542–9543. [Google Scholar] [CrossRef]
- Wang, L.; Fang, Y.; Zhang, M.; Xiong, J.; Xu, P.; Chen, S.; Zhao, W. Selinexor in Combination with Salvage Regimen for Refractory Diffuse Large B-Cell Lymphoma (DLBCL) Patients with TP53 Alterations. Blood 2023, 142 (Suppl. S1), 1745. [Google Scholar] [CrossRef]
- Westin, J.; Sehn, L.H. CAR T cells as a second-line therapy for large B-cell lymphoma: A paradigm shift? Blood 2022, 139, 2737–2746, Erratum in Blood 2023, 141, 683. [Google Scholar] [CrossRef] [PubMed]


| Number of Patients | n = 18 |
|---|---|
| Sex | |
| Female | 2 (11.1%) |
| Male | 16 (88.0%) |
| Age (range) | 59.3 (52;66) |
| Performance status (ECOG) | |
| 0–1 | 17 (95.4%) |
| 2 | 1 (5.6%) |
| Ann Arbor stage | |
| I–II | 4 (22.2%) |
| III–IV | 14 (77.8%) |
| Bone marrow | |
| Not involved | 1 (88.9%) |
| Involved | 1 (5.6%) |
| Histology | |
| Diffuse large B-cell lymphoma | 15 (83.3%) |
| Follicular lymphoma | 2 (11.0%) |
| Marginal zone lymphoma | 1 (5.5%) |
| Disease status | |
| Refractory | 6 (33.3%) |
| Relapse | 12 (66.6%) |
| Prior therapy | |
| 1 | 13 (72.2%) |
| 2 | 5 (27.8%) |
| Adverse Events n (%) | Pts. with a Least One AE 16 (89%) | Pts. with a Least One AE ≥ 3 2 (11.5%) |
|---|---|---|
| Neutropenia | 10 (55.6%) | 2 (11.5%) |
| Thrombocytopenia | 8 (44.4%) | 2 (11.5%) |
| Anemia | 3 (16.7%) | 0 |
| Creatinine elevation | 6 (33%) | 0 |
| Nausea | 4 (22%) | 0 |
| Asthenia | 4 (22.2%) | 0 |
| Respiratory tract infection | 1 (5.6%) | 1 (5.6%) |
| COVID 19 | 1 (5.6%) | 0 |
| Hepatic enzyme increase | 1 (5.6%) | 0 |
| Pulmonary embolism | 1 (5.6%) | 0 |
Disclaimer/Publisher’s Note: The statements, opinions and data contained in all publications are solely those of the individual author(s) and contributor(s) and not of MDPI and/or the editor(s). MDPI and/or the editor(s) disclaim responsibility for any injury to people or property resulting from any ideas, methods, instructions or products referred to in the content. |
© 2024 by the authors. Licensee MDPI, Basel, Switzerland. This article is an open access article distributed under the terms and conditions of the Creative Commons Attribution (CC BY) license (https://creativecommons.org/licenses/by/4.0/).
Share and Cite
Maerevoet, M.; Casasnovas, O.; Cartron, G.; Morschhauser, F.; Thieblemont, C.; Bouabdallah, K.; Feugier, P.; Szablewski, V.; Becker, S.; Tilly, H. Phase IB Study of Oral Selinexor in Combination with Rituximab and Platinum Chemotherapy in Patients with Relapsed/Refractory B-Cell Lymphoma—Final Analysis. Cancers 2024, 16, 2672. https://doi.org/10.3390/cancers16152672
Maerevoet M, Casasnovas O, Cartron G, Morschhauser F, Thieblemont C, Bouabdallah K, Feugier P, Szablewski V, Becker S, Tilly H. Phase IB Study of Oral Selinexor in Combination with Rituximab and Platinum Chemotherapy in Patients with Relapsed/Refractory B-Cell Lymphoma—Final Analysis. Cancers. 2024; 16(15):2672. https://doi.org/10.3390/cancers16152672
Chicago/Turabian StyleMaerevoet, Marie, Olivier Casasnovas, Guillaume Cartron, Franck Morschhauser, Catherine Thieblemont, Kamal Bouabdallah, Pierre Feugier, Vanessa Szablewski, Stephanie Becker, and Herve Tilly. 2024. "Phase IB Study of Oral Selinexor in Combination with Rituximab and Platinum Chemotherapy in Patients with Relapsed/Refractory B-Cell Lymphoma—Final Analysis" Cancers 16, no. 15: 2672. https://doi.org/10.3390/cancers16152672
APA StyleMaerevoet, M., Casasnovas, O., Cartron, G., Morschhauser, F., Thieblemont, C., Bouabdallah, K., Feugier, P., Szablewski, V., Becker, S., & Tilly, H. (2024). Phase IB Study of Oral Selinexor in Combination with Rituximab and Platinum Chemotherapy in Patients with Relapsed/Refractory B-Cell Lymphoma—Final Analysis. Cancers, 16(15), 2672. https://doi.org/10.3390/cancers16152672

