Tripartite Motif-Containing 2, a Glutamine Metabolism-Associated Protein, Predicts Poor Patient Outcome in Triple-Negative Breast Cancer Treated with Chemotherapy
Abstract
Simple Summary
Abstract
1. Introduction
2. Materials and Methods
2.1. Biological Co-Expression Networks
2.2. Study Cohorts
Breast Cancer Gene-Expression Miner
2.3. Nottingham BC Series
2.4. Evaluation of TRIM2 Protein Expression Using Immunohistochemistry
2.5. Immunohistochemical Scoring
2.6. Statistical Analysis
3. Results
3.1. Glutaminase-Related Signalling Pathways
3.2. TRIM2 Gene Expression in Breast Cancer
3.3. TRIM2 Protein Expression in Breast Cancer
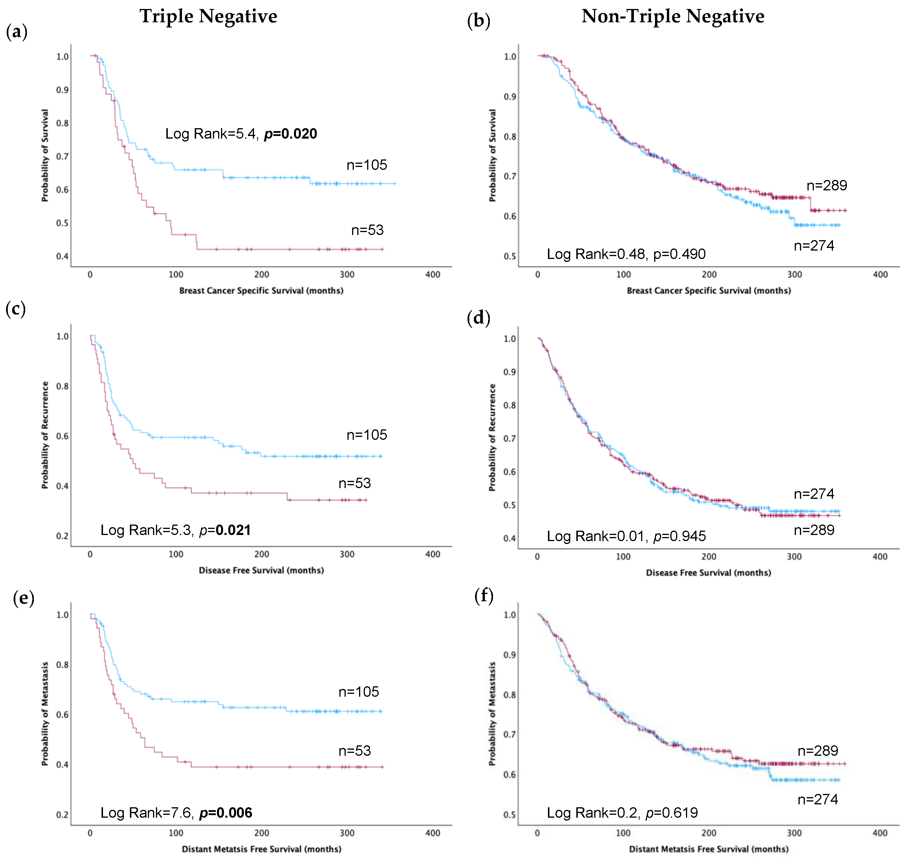
3.4. Association of TRIM2 Expression with Patient Outcome
4. Discussion
5. Conclusions
Supplementary Materials
Author Contributions
Funding
Institutional Review Board Statement
Informed Consent Statement
Data Availability Statement
Acknowledgments
Conflicts of Interest
References
- Dawson, S.J.; Rueda, O.M.; Aparicio, S.; Caldas, C. A new genome-driven integrated classification of breast cancer and its implications. EMBO J. 2013, 32, 617–628. [Google Scholar] [CrossRef] [PubMed]
- Perou, C.M.; Sørlie, T.; Eisen, M.B.; Van De Rijn, M.; Jeffrey, S.S.; Rees, C.A.; Pollack, J.R.; Ross, D.T.; Johnsen, H.; Akslen, L.A. Molecular portraits of human breast tumours. Nature 2000, 406, 747. [Google Scholar] [CrossRef]
- Sørlie, T.; Perou, C.M.; Tibshirani, R.; Aas, T.; Geisler, S.; Johnsen, H.; Hastie, T.; Eisen, M.B.; Van De Rijn, M.; Jeffrey, S.S. Gene expression patterns of breast carcinomas distinguish tumor subclasses with clinical implications. Proc. Natl. Acad. Sci. USA 2001, 98, 10869–10874. [Google Scholar] [CrossRef] [PubMed]
- Boroughs, L.K.; DeBerardinis, R.J. Metabolic pathways promoting cancer cell survival and growth. Nat. Cell Biol. 2015, 17, 351. [Google Scholar] [CrossRef] [PubMed]
- DeBerardinis, R.J.; Lum, J.J.; Hatzivassiliou, G.; Thompson, C.B. The biology of cancer: Metabolic reprogramming fuels cell growth and proliferation. Cell Metab. 2008, 7, 11–20. [Google Scholar] [CrossRef] [PubMed]
- Daye, D.; Wellen, K.E. Metabolic reprogramming in cancer: Unraveling the role of glutamine in tumorigenesis. Semin. Cell Dev. Biol. 2012, 23, 362–369. [Google Scholar] [CrossRef] [PubMed]
- Masisi, B.K.; El Ansari, R.; Alfarsi, L.; Craze, M.L.; Jewa, N.; Oldfield, A.; Cheung, H.; Toss, M.; Rakha, E.A.; Green, A.R. The Biological and Clinical Significance of Glutaminase in Luminal Breast Cancer. Cancers 2021, 13, 3963. [Google Scholar] [CrossRef] [PubMed]
- Lukey, M.J.; Wilson, K.F.; Cerione, R.A. Therapeutic strategies impacting cancer cell glutamine metabolism. Future Med. Chem. 2013, 5, 1685–1700. [Google Scholar] [CrossRef] [PubMed]
- Bai, X.; Tang, J. TRIM proteins in breast cancer: Function and mechanism. Biochem. Biophys. Res. Commun. 2023, 640, 26–31. [Google Scholar] [CrossRef]
- Malhotra, G.K.; Zhao, X.; Band, H.; Band, V. Histological, molecular and functional subtypes of breast cancers. Cancer Biol. Ther. 2010, 10, 955–960. [Google Scholar] [CrossRef]
- Xiao, M.; Li, J.; Liu, Q.; He, X.; Yang, Z.; Wang, D. Expression and Role of TRIM2 in Human Diseases. BioMed Res. Int. 2022, 2022, 9430509. [Google Scholar] [CrossRef] [PubMed]
- Ning, L.; Huo, Q.; Xie, N. Comprehensive Analysis of the Expression and Prognosis for Tripartite Motif-Containing Genes in Breast Cancer. Front. Genet. 2022, 13, 876325. [Google Scholar] [CrossRef] [PubMed]
- Qiu, Y.A.; Xiong, J.; Fu, Q.; Dong, Y.; Liu, M.; Peng, M.; Jin, W.; Zhou, L.; Xu, X.; Huang, X.; et al. GPER-Induced ERK Signaling Decreases Cell Viability of Hepatocellular Carcinoma. Front. Oncol. 2021, 11, 638171. [Google Scholar] [CrossRef] [PubMed]
- Ivanov, S.V.; Panaccione, A.; Nonaka, D.; Prasad, M.L.; Boyd, K.L.; Brown, B.; Guo, Y.; Sewell, A.; Yarbrough, W.G. Diagnostic SOX10 gene signatures in salivary adenoid cystic and breast basal-like carcinomas. Br. J. Cancer 2013, 109, 444–451. [Google Scholar] [CrossRef] [PubMed]
- Arif, M.; Zhang, C.; Li, X.; Güngör, C.; Çakmak, B.; Arslantürk, M.; Tebani, A.; Özcan, B.; Subaş, O.; Zhou, W. iNetModels 2.0: An interactive visualization and database of multi-omics data. Nucleic Acids Res. 2021, 49, W271–W276. [Google Scholar] [CrossRef] [PubMed]
- Green, A.R.; Aleskandarany, M.A.; Agarwal, D.; Elsheikh, S.; Nolan, C.C.; Diez-Rodriguez, M.; Macmillan, R.D.; Ball, G.R.; Caldas, C.; Madhusudan, S. MYC functions are specific in biological subtypes of breast cancer and confers resistance to endocrine therapy in luminal tumours. Br. J. Cancer 2016, 114, 917. [Google Scholar] [CrossRef] [PubMed]
- Craze, M.L.; Cheung, H.; Jewa, N.; Coimbra, N.D.; Soria, D.; El-Ansari, R.; Aleskandarany, M.A.; Cheng, K.W.; Diez-Rodriguez, M.; Nolan, C.C. MYC regulation of glutamine–proline regulatory axis is key in luminal B breast cancer. Br. J. Cancer 2018, 118, 258. [Google Scholar] [CrossRef] [PubMed]
- Sung, H.; Ferlay, J.; Siegel, R.L.; Laversanne, M.; Soerjomataram, I.; Jemal, A.; Bray, F. Global cancer statistics 2020: GLOBOCAN estimates of incidence and mortality worldwide for 36 cancers in 185 countries. CA A Cancer J. Clin. 2021, 71, 209–249. [Google Scholar] [CrossRef]
- Ju, Y.; Ben-David, Y.; Rotin, D.; Zacksenhaus, E. Inhibition of eEF2K synergizes with glutaminase inhibitors or 4EBP1 depletion to suppress growth of triple-negative breast cancer cells. Sci. Rep. 2021, 11, 9181. [Google Scholar] [CrossRef]
- Cao, H.; Fang, Y.; Liang, Q.; Wang, J.; Luo, B.; Zeng, G.; Zhang, T.; Jing, X.; Wang, X. TRIM2 is a novel promoter of human colorectal cancer. Scand. J. Gastroenterol. 2019, 54, 210–218. [Google Scholar] [CrossRef]
- Lin, Z.; Lin, X.; Zhu, L.; Huang, J.; Huang, Y. TRIM2 directly deubiquitinates and stabilizes Snail1 protein, mediating proliferation and metastasis of lung adenocarcinoma. Cancer Cell Int. 2020, 20, 1–14. [Google Scholar] [CrossRef]
- Qin, Y.; Ye, J.; Zhao, F.; Hu, S.; Wang, S. TRIM2 regulates the development and metastasis of tumorous cells of osteosarcoma. Int. J. Oncol. 2018, 53, 1643–1656. [Google Scholar] [CrossRef] [PubMed]
- Yin, H.; Zhu, Q.; Liu, M.; Tu, G.; Li, Q.; Yuan, J.; Wen, S.; Yang, G. GPER promotes tamoxifen-resistance in ER+ breast cancer cells by reduced Bim proteins through MAPK/Erk-TRIM2 signaling axis. Int. J. Oncol. 2017, 51, 1191–1198. [Google Scholar] [CrossRef]
- Huang, N.; Sun, X.; Li, P.; Zhang, X.; Chen, Q.; Xin, H. TRIM family contribute to tumorigenesis, cancer development, and drug resistance. Exp. Hematol. Oncol. 2022, 11, 75. [Google Scholar] [CrossRef] [PubMed]
- Sun, Q.; Ye, Z.; Qin, Y.; Fan, G.; Ji, S.; Zhuo, Q.; Xu, W.; Liu, W.; Hu, Q.; Liu, M. Oncogenic function of TRIM2 in pancreatic cancer by activating ROS-related NRF2/ITGB7/FAK axis. Oncogene 2020, 39, 6572–6588. [Google Scholar] [CrossRef]
- Bernassola, F.; Chillemi, G.; Melino, G. HECT-type E3 ubiquitin ligases in cancer. Trends Biochem. Sci. 2019, 44, 1057–1075. [Google Scholar] [CrossRef]
- Chen, X.; Dong, C.; Law, P.T.; Chan, M.T.; Su, Z.; Wang, S.; Wu, W.K.; Xu, H. MicroRNA-145 targets TRIM2 and exerts tumor-suppressing functions in epithelial ovarian cancer. Gynecol. Oncol. 2015, 139, 513–519. [Google Scholar] [CrossRef] [PubMed]
- Dibble, C.C.; Cantley, L.C. Regulation of mTORC1 by PI3K signaling. Trends Cell Biol. 2015, 25, 545–555. [Google Scholar] [CrossRef]
- Xiao, W.; Wang, X.; Wang, T.; Xing, J. TRIM2 downregulation in clear cell renal cell carcinoma affects cell proliferation, migration, and invasion and predicts poor patients’ survival. Cancer Manag. Res. 2018, 10, 5951. [Google Scholar] [CrossRef]
- Csibi, A.; Fendt, S.-M.; Li, C.; Poulogiannis, G.; Choo, A.Y.; Chapski, D.J.; Jeong, S.M.; Dempsey, J.M.; Parkhitko, A.; Morrison, T. The mTORC1 pathway stimulates glutamine metabolism and cell proliferation by repressing SIRT4. Cell 2013, 153, 840–854. [Google Scholar] [CrossRef]
- Altman, B.J.; Stine, Z.E.; Dang, C.V. From Krebs to clinic: Glutamine metabolism to cancer therapy. Nat. Rev. Cancer 2016, 16, 619–634. [Google Scholar] [CrossRef] [PubMed]



| Gene | Z-Score | p Value |
|---|---|---|
| TRIM2 | 0.60 | 9.9 × 10−88 |
| ARHGAP21 | 0.56 | 1.0 × 10−88 |
| CHST3 | 0.56 | 1.2 × 10−88 |
| DOCK7 | 0.55 | 5.2 × 10−88 |
| FOXN2 | 0.54 | 2.9 × 10−87 |
| MTMR2 | 0.54 | 6.6 × 10−82 |
| CLIP4 | 0.53 | 1.2 × 10−78 |
| MRAS | 0.53 | 3.5 × 10−78 |
| MAML2 | 0.53 | 4.5 × 10−78 |
| Parameters | Low TRIM2 n (%) | High TRIM2 n (%) | p Value |
|---|---|---|---|
| Tumour size | 0.211 | ||
| <2 cm | 176 (50) | 173 (50) | |
| ≥2 cm | 220 (55) | 180 (45) | |
| Tumour grade | 0.00007 | ||
| 1 | 43 (44) | 55 (56) | |
| 2 | 105 (44) | 133 (56) | |
| 3 | 248 (60) | 165 (40) | |
| Lymph Node Stage | 0.699 | ||
| 1 | 238 (54) | 204 (46) | |
| 2 | 124 (52) | 113 (48) | |
| 3 | 34 (49) | 36 (51.4) | |
| Vascular Invasion | 0.472 | ||
| Negative | 248 (52) | 148 (55) | |
| Positive | 230 (48) | 123 (45) | |
| Histological subtypes | 0.217 | ||
| Ductal no-special type | 269 (55) | 217 (45) | |
| Lobular | 35 (53) | 31 (47) | |
| Metaplastic carcinoma | 3 (75) | 1 (25) | |
| Other special type | 17 (50) | 17 (50) | |
| Mixed NST and other special type | 72 (45) | 87 (55) | |
| Estrogen Receptor | |||
| Negative | 147 (64) | 82 (36) | 0.00003 |
| Positive | 247 (48) | 270 (52) | |
| Progesterone Receptor | |||
| Negative | 184 (57) | 137 (43) | 0.096 |
| Positive | 199 (49) | 205 (51) | |
| HER2 | |||
| Negative | 325 (53) | 289 (47) | 0.635 |
| Positive | 54 (55) | 44 (45) | |
| Triple Negative | |||
| No | 274 (49) | 289 (51) | 0.0003 |
| Yes | 105 (61) | 11 (39) |
| Triple Negative | Non-Triple Negative | |||
|---|---|---|---|---|
| Parameters | Hazard Ratio (95% CI) | p Value | Hazard Ratio (95% CI) | p Value |
| Breast Cancer-Specific Survival | ||||
| TRIM2 protein | 1.6 (1.0–2.7) | 0.048 | 1.0 (0.7–1.3) | 0.865 |
| Tumour Size | 1.6 (0.9–2.8) | 0.108 | 1.8 (1.3–2.5) | 0.0004 |
| Grade | 1.2 (0.7–2.1) | 0.524 | 1.5 (1.2–1.9) | 0.0003 |
| Nodal stage | 1.8 (1.3–2.5) | 0.0003 | 2.1 (1.7–2.7) | 2.8 × 10−11 |
| Disease-Free Survival | ||||
| TRIM2 protein | 1.6 (1.0–2.5) | 0.033 | 1.1 (0.8–1.3) | 0.639 |
| Tumour Size | 1.5 (0.9–2.4) | 0.121 | 1.3 (1.0–1.7) | 0.027 |
| Grade | 1.2 (0.5–2.6) | 0.714 | 1.2 (1.0–1.5) | 0.019 |
| Nodal stage | 1.6 (1.2–2.1) | 0.003 | 1.7 (1.4–2.1) | 5.7 × 10−9 |
| Distant Metastasis-Free Survival | ||||
| TRIM2 protein | 1.8 (1.1–2.9) | 0.015 | 1.0 (0.7–1.3) | 0.957 |
| Tumour size | 1.4 (0.8–2.3) | 0.266 | 2.0 (1.4–2.7) | 0.00003 |
| Grade | 1.0 (0.4–2.3) | 0.979 | 1.4 (1.1–1.8) | 0.002 |
| Nodal stage | 1.8 (1.3–2.5) | 0.0002 | 2.0 (1.6–2.5) | 8.3 × 10−11 |
Disclaimer/Publisher’s Note: The statements, opinions and data contained in all publications are solely those of the individual author(s) and contributor(s) and not of MDPI and/or the editor(s). MDPI and/or the editor(s) disclaim responsibility for any injury to people or property resulting from any ideas, methods, instructions or products referred to in the content. |
© 2024 by the authors. Licensee MDPI, Basel, Switzerland. This article is an open access article distributed under the terms and conditions of the Creative Commons Attribution (CC BY) license (https://creativecommons.org/licenses/by/4.0/).
Share and Cite
Masisi, B.K.; El Ansari, R.; Alfarsi, L.; Fakroun, A.; Erkan, B.; Ibrahim, A.; Toss, M.; Ellis, I.O.; Rakha, E.A.; Green, A.R. Tripartite Motif-Containing 2, a Glutamine Metabolism-Associated Protein, Predicts Poor Patient Outcome in Triple-Negative Breast Cancer Treated with Chemotherapy. Cancers 2024, 16, 1949. https://doi.org/10.3390/cancers16111949
Masisi BK, El Ansari R, Alfarsi L, Fakroun A, Erkan B, Ibrahim A, Toss M, Ellis IO, Rakha EA, Green AR. Tripartite Motif-Containing 2, a Glutamine Metabolism-Associated Protein, Predicts Poor Patient Outcome in Triple-Negative Breast Cancer Treated with Chemotherapy. Cancers. 2024; 16(11):1949. https://doi.org/10.3390/cancers16111949
Chicago/Turabian StyleMasisi, Brendah K., Rokaya El Ansari, Lutfi Alfarsi, Ali Fakroun, Busra Erkan, Asmaa Ibrahim, Michael Toss, Ian O. Ellis, Emad A. Rakha, and Andrew R. Green. 2024. "Tripartite Motif-Containing 2, a Glutamine Metabolism-Associated Protein, Predicts Poor Patient Outcome in Triple-Negative Breast Cancer Treated with Chemotherapy" Cancers 16, no. 11: 1949. https://doi.org/10.3390/cancers16111949
APA StyleMasisi, B. K., El Ansari, R., Alfarsi, L., Fakroun, A., Erkan, B., Ibrahim, A., Toss, M., Ellis, I. O., Rakha, E. A., & Green, A. R. (2024). Tripartite Motif-Containing 2, a Glutamine Metabolism-Associated Protein, Predicts Poor Patient Outcome in Triple-Negative Breast Cancer Treated with Chemotherapy. Cancers, 16(11), 1949. https://doi.org/10.3390/cancers16111949

