CD19 (+) B Cell Combined with Prognostic Nutritional Index Predicts the Clinical Outcomes of Patients with Gastric Cancer Who Underwent Surgery
Abstract
Simple Summary
Abstract
1. Introduction
2. Materials and Methods
2.1. Patients
2.2. Data Collection
2.3. Peripheral Lymphocyte Subsets and PNI
2.4. Statistical Analysis
3. Results
3.1. Patient Characteristics
3.2. Univariate and Multivariate Cox’s Regression Analysis
3.3. Survival Analysis for Lymphocyte Subsets
3.4. Survival Analysis for Prognostic Nutritional Index
3.5. Survival Analysis for CD19 (+) B Cell–PNI
3.6. Survival Analysis for CD19 (+) B Cell–PNI in Different TNM Stages
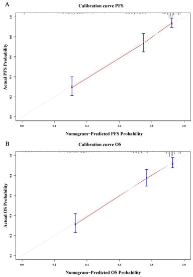
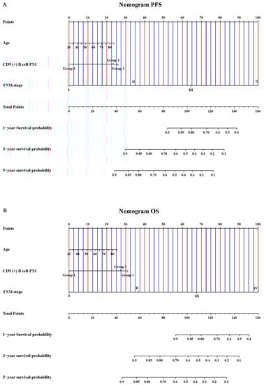
3.7. Nomograms
4. Discussion
5. Conclusions
Author Contributions
Funding
Institutional Review Board Statement
Informed Consent Statement
Data Availability Statement
Conflicts of Interest
References
- Ajani, J.A.; D’Amico, T.A.; Bentrem, D.J.; Chao, J.; Cooke, D.; Corvera, C.; Das, P.; Enzinger, P.C.; Enzler, T.; Fanta, P.; et al. Gastric Cancer, Version 2.2022, NCCN Clinical Practice Guidelines in Oncology. J. Natl. Compr. Cancer Netw. 2022, 20, 167–192. [Google Scholar] [CrossRef]
- Thrift, A.P.; El-Serag, H.B. Burden of Gastric Cancer. Clin. Gastroenterol. Hepatol. 2020, 18, 534–542. [Google Scholar] [CrossRef] [PubMed]
- Pape, M.; Kuijper, S.C.; Vissers, P.A.J.; Ruurda, J.P.; Neelis, K.J.; van Laarhoven, H.W.M.; Verhoeven, R.H.A. Conditional relative survival in nonmetastatic esophagogastric cancer between 2006 and 2020: A population-based study. Int. J. Cancer 2023, 152, 2503–2511. [Google Scholar] [CrossRef] [PubMed]
- Park, S.H.; Hyung, W.J.; Yang, H.K.; Park, Y.K.; Lee, H.J.; An, J.Y.; Kim, W.; Kim, H.I.; Kim, H.H.; Ryu, S.W.; et al. Standard follow-up after curative surgery for advanced gastric cancer: Secondary analysis of a multicentre randomized clinical trial (KLASS-02). Br. J. Surg. 2023, 110, 449–455. [Google Scholar] [CrossRef] [PubMed]
- Gonzalez, H.; Hagerling, C.; Werb, Z. Roles of the immune system in cancer: From tumor initiation to metastatic progression. Gene. Dev. 2018, 32, 1267–1284. [Google Scholar] [CrossRef] [PubMed]
- Abbott, M.; Ustoyev, Y. Cancer and the Immune System: The History and Background of Immunotherapy. Semin. Oncol. Nurs. 2019, 35, 150923. [Google Scholar] [CrossRef] [PubMed]
- Janssen, L.M.E.; Ramsay, E.E.; Logsdon, C.D.; Overwijk, W.W. The immune system in cancer metastasis: Friend or foe? J. Immunother. Cancer 2017, 5, 79. [Google Scholar] [CrossRef]
- Sattler, S. The Role of the Immune System Beyond the Fight Against Infection. Adv. Exp. Med. Biol. 2017, 1003, 3–14. [Google Scholar] [CrossRef]
- Wu, Z.; Li, S.; Zhu, X. The Mechanism of Stimulating and Mobilizing the Immune System Enhancing the Anti-Tumor Immunity. Front. Immunol. 2021, 12, 682435. [Google Scholar] [CrossRef]
- Pan, S.; Li, S.; Zhan, Y.; Chen, X.; Sun, M.; Liu, X.; Wu, B.; Li, Z.; Liu, B. Immune status for monitoring and treatment of bladder cancer. Front Immunol. 2022, 13, 963877. [Google Scholar] [CrossRef]
- Miao, K.; Zhang, X.; Wang, H.; Si, X.; Ni, J.; Zhong, W.; Zhao, J.; Xu, Y.; Chen, M.; Pan, R.; et al. Peripheral Blood Lymphocyte Subsets Predict the Efficacy of Immune Checkpoint Inhibitors in Non-Small Cell Lung Cancer. Front. Immunol. 2022, 13, 912180. [Google Scholar] [CrossRef]
- Wang, Q.; Li, S.; Qiao, S.; Zheng, Z.; Duan, X.; Zhu, X. Changes in T Lymphocyte Subsets in Different Tumors Before and After Radiotherapy: A Meta-analysis. Front. Immunol. 2021, 12, 648652. [Google Scholar] [CrossRef] [PubMed]
- Wu, Y.; Ye, S.; Goswami, S.; Pei, X.; Xiang, L.; Zhang, X.; Yang, H. Clinical significance of peripheral blood and tumor tissue lymphocyte subsets in cervical cancer patients. BMC Cancer 2020, 20, 173. [Google Scholar] [CrossRef] [PubMed]
- Li, P.; Qin, P.; Fu, X.; Zhang, G.; Yan, X.; Zhang, M.; Zhang, X.; Yang, J.; Wang, H.; Ma, Z. Associations between peripheral blood lymphocyte subsets and clinical outcomes in patients with lung cancer treated with immune checkpoint inhibitor. Ann. Palliat. Med. 2021, 10, 3039–3049. [Google Scholar] [CrossRef] [PubMed]
- Mao, F.; Yang, C.; Luo, W.; Wang, Y.; Xie, J.; Wang, H. Peripheral blood lymphocyte subsets are associated with the clinical outcomes of prostate cancer patients. Int. Immunopharmacol. 2022, 113 Pt A, 109287. [Google Scholar] [CrossRef]
- Bullock, A.F.; Greenley, S.L.; McKenzie, G.A.G.; Paton, L.W.; Johnson, M.J. Relationship between markers of malnutrition and clinical outcomes in older adults with cancer: Systematic review, narrative synthesis and meta-analysis. Eur. J. Clin. Nutr. 2020, 74, 1519–1535. [Google Scholar] [CrossRef]
- Park, J.H.; Kim, E.; Seol, E.M.; Kong, S.H.; Park, D.J.; Yang, H.K.; Choi, J.H.; Park, S.H.; Choe, H.N.; Kweon, M.; et al. Prediction Model for Screening Patients at Risk of Malnutrition after Gastric Cancer Surgery. Ann. Surg. Oncol. 2021, 28, 4471–4481. [Google Scholar] [CrossRef]
- Huang, D.D.; Wu, G.F.; Luo, X.; Song, H.N.; Wang, W.B.; Liu, N.X.; Yu, Z.; Dong, Q.T.; Chen, X.L.; Yan, J.Y. Value of muscle quality, strength and gait speed in supporting the predictive power of GLIM-defined malnutrition for postoperative outcomes in overweight patients with gastric cancer. Clin. Nutr. 2021, 40, 4201–4208. [Google Scholar] [CrossRef]
- Alwarawrah, Y.; Kiernan, K.; MacIver, N.J. Changes in Nutritional Status Impact Immune Cell Metabolism and Function. Front. Immunol. 2018, 9, 1055. [Google Scholar] [CrossRef]
- Zitvogel, L.; Pietrocola, F.; Kroemer, G. Nutrition, inflammation and cancer. Nat. Immunol. 2017, 18, 843–850. [Google Scholar] [CrossRef]
- Sun, H.; Chen, L.; Huang, R.; Pan, H.; Zuo, Y.; Zhao, R.; Xue, Y.; Song, H. Prognostic nutritional index for predicting the clinical outcomes of patients with gastric cancer who received immune checkpoint inhibitors. Front. Nutr. 2022, 9, 1038118. [Google Scholar] [CrossRef]
- Okadome, K.; Baba, Y.; Yagi, T.; Kiyozumi, Y.; Ishimoto, T.; Iwatsuki, M.; Miyamoto, Y.; Yoshida, N.; Watanabe, M.; Baba, H. Prognostic Nutritional Index, Tumor-infiltrating Lymphocytes, and Prognosis in Patients with Esophageal Cancer. Ann. Surg. 2020, 271, 693–700. [Google Scholar] [CrossRef] [PubMed]
- Zhu, J.; Fang, R.; Pan, Z.; Qian, X. Circulating lymphocyte subsets are prognostic factors in patients with nasopharyngeal carcinoma. BMC Cancer 2022, 22, 716. [Google Scholar] [CrossRef] [PubMed]
- Zhou, J.; Lin, H.P.; Xu, X.; Wang, X.H.; Rong, L.; Zhang, Y.; Shen, L.; Xu, L.; Qin, W.T.; Ye, Q.; et al. The predictive value of peripheral blood cells and lymphocyte subsets in oesophageal squamous cell cancer patients with neoadjuvant chemoradiotherapy. Front. Immunol. 2022, 13, 1041126. [Google Scholar] [CrossRef] [PubMed]
- Yang, J.; Xu, J.; E, Y.; Sun, T. Predictive and prognostic value of circulating blood lymphocyte subsets in metastatic breast cancer. Cancer Med. 2019, 8, 492–500. [Google Scholar] [CrossRef] [PubMed]
- Gao, C.; Tong, Y.X.; Zhu, L.; Dan Zeng, C.D.; Zhang, S. Short-term prognostic role of peripheral lymphocyte subsets in patients with gastric cancer. Int. Immunopharmacol. 2023, 115, 109641. [Google Scholar] [CrossRef]
- Li, F.; Sun, Y.; Huang, J.; Xu, W.; Liu, J.; Yuan, Z. CD4/CD8 + T cells, DC subsets, Foxp3, and IDO expression are predictive indictors of gastric cancer prognosis. Cancer Med. 2019, 8, 7330–7344. [Google Scholar] [CrossRef]
- Zhang, X.; Zhao, W.; Chen, X.; Zhao, M.; Qi, X.; Li, G.; Shen, A.; Yang, L. Combining the Fibrinogen-to-Pre-Albumin Ratio and Prognostic Nutritional Index (FPR-PNI) Predicts the Survival in Elderly Gastric Cancer Patients After Gastrectomy. Onco Targets Ther. 2020, 13, 8845–8859. [Google Scholar] [CrossRef]
- Liu, J.Y.; Dong, H.M.; Wang, W.L.; Wang, G.; Pan, H.; Chen, W.W.; Wang, Q.; Wang, Z.J. The Effect of the Prognostic Nutritional Index on the Toxic Side Effects of Radiochemotherapy and Prognosis After Radical Surgery for Gastric Cancer. Cancer Manag. Res. 2021, 13, 3385–3392. [Google Scholar] [CrossRef]
- Zhang, X.; Fang, H.; Zeng, Z.; Zhang, K.; Lin, Z.; Deng, G.; Deng, W.; Guan, L.; Wei, X.; Li, X.; et al. Preoperative Prognostic Nutrition Index as a Prognostic Indicator of Survival in Elderly Patients Undergoing Gastric Cancer Surgery. Cancer Manag. Res. 2021, 13, 5263–5273. [Google Scholar] [CrossRef]
- Ding, P.; Yang, P.; Sun, C.; Tian, Y.; Guo, H.; Liu, Y.; Li, Y.; Zhao, Q. Predictive Effect of Systemic Immune-Inflammation Index Combined With Prognostic Nutrition Index Score on Efficacy and Prognosis of Neoadjuvant Intraperitoneal and Systemic Paclitaxel Combined With Apatinib Conversion Therapy in Gastric Cancer Patients With Positive Peritoneal Lavage Cytology: A Prospective Study. Front. Oncol. 2021, 11, 791912. [Google Scholar] [CrossRef]
- Milasiene, V.; Stratilatovas, E.; Norkiene, V. The importance of T-lymphocyte subsets on overall survival of colorectal and gastric cancer patients. Med. Lith. 2007, 43, 548–554. [Google Scholar]
- Baxter, D. Active and passive immunization for cancer. Hum. Vacc Immunother. 2014, 10, 2123–2129. [Google Scholar] [CrossRef]
- Ostroumov, D.; Fekete-Drimusz, N.; Saborowski, M.; Kühnel, F.; Woller, N. CD4 and CD8 T lymphocyte interplay in controlling tumor growth. Cell. Mol. Life Sci. 2018, 75, 689–713. [Google Scholar] [CrossRef]
- McGray, A.J.R.; Bramson, J. Adaptive Resistance to Cancer Immunotherapy. Adv. Exp. Med. Biol. 2017, 1036, 213–227. [Google Scholar] [CrossRef]
- Li, X.; Ding, Y.; Zi, M.; Sun, L.; Zhang, W.; Chen, S.; Xu, Y. CD19, from bench to bedside. Immunol. Lett. 2017, 183, 86–95. [Google Scholar] [CrossRef]
- Wang, Y.; Liu, J.; Burrows, P.D.; Wang, J.Y. B Cell Development and Maturation. Adv. Exp. Med. Biol. 2020, 1254, 1–22. [Google Scholar] [CrossRef] [PubMed]
- Chen, V.E.; Greenberger, B.A.; Taylor, J.M.; Edelman, M.J.; Lu, B. The Underappreciated Role of the Humoral Immune System and B Cells in Tumorigenesis and Cancer Therapeutics: A Review. Int. J. Radiat. Oncol. 2020, 108, 38–45. [Google Scholar] [CrossRef] [PubMed]
- Conejo-Garcia, J.R.; Biswas, S.; Chaurio, R. Humoral immune responses: Unsung heroes of the war on cancer. Semin. Immunol. 2020, 49, 101419. [Google Scholar] [CrossRef]
- Zaenker, P.; Gray, E.S.; Ziman, M.R. Autoantibody Production in Cancer—The Humoral Immune Response toward Autologous Antigens in Cancer Patients. Autoimmun. Rev. 2016, 15, 477–483. [Google Scholar] [CrossRef] [PubMed]
- Sato, Y.; Shimoda, M.; Sota, Y.; Miyake, T.; Tanei, T.; Kagara, N.; Naoi, Y.; Kim, S.J.; Noguchi, S.; Shimazu, K. Enhanced humoral immunity in breast cancer patients with high serum concentration of anti-HER2 autoantibody. Cancer Med. 2021, 10, 1418–1430. [Google Scholar] [CrossRef] [PubMed]
- Oh, I.S.; Sinn, D.H.; Kang, T.W.; Lee, M.W.; Kang, W.; Gwak, G.Y.; Paik, Y.H.; Choi, M.S.; Lee, J.H.; Koh, K.C.; et al. Liver Function Assessment Using Albumin-Bilirubin Grade for Patients with Very Early-Stage Hepatocellular Carcinoma Treated with Radiofrequency Ablation. Digest. Dis. Sci. 2017, 62, 3235–3242. [Google Scholar] [CrossRef] [PubMed]
- Zhang, Q.; Zhang, L.; Jin, Q.; He, Y.; Wu, M.; Peng, H.; Li, Y. The Prognostic Value of the GNRI in Patients with Stomach Cancer Undergoing Surgery. J. Pers. Med. 2023, 13, 155. [Google Scholar] [CrossRef] [PubMed]
- Coffelt, S.B.; de Visser, K.E. Cancer: Inflammation lights the way to metastasis. Nature 2014, 507, 48–49. [Google Scholar] [CrossRef]
- Bito, R.; Hino, S.; Baba, A.; Tanaka, M.; Watabe, H.; Kawabata, H. Degradation of oxidative stress-induced denatured albumin in rat liver endothelial cells. Am. J. Physiol. Physiol. 2005, 289, C531–C542. [Google Scholar] [CrossRef]
- Gray, K.J.; Gibbs, J.E. Adaptive immunity, chronic inflammation and the clock. Semin. Immunopathol. 2022, 44, 209–224. [Google Scholar] [CrossRef]
- Margarson, M.P.; Soni, N. Serum albumin: Touchstone or totem? Anaesthesia 1998, 53, 789–803. [Google Scholar] [CrossRef]
- Zhang, Z.; Pereira, S.L.; Luo, M.; Matheson, E.M. Evaluation of Blood Biomarkers Associated with Risk of Malnutrition in Older Adults: A Systematic Review and Meta-Analysis. Nutrients 2017, 9, 829. [Google Scholar] [CrossRef]
- Andersen, C.J. Lipid Metabolism in Inflammation and Immune Function. Nutrients 2022, 14, 1414. [Google Scholar] [CrossRef]
- Lewis, E.D.; Wu, D.; Meydani, S.N. Age-associated alterations in immune function and inflammation. Prog. Neuropsychopharmacol. Biol. Psychiatry. 2022, 118, 110576. [Google Scholar] [CrossRef]
- Antoni, M.H.; Dhabhar, F.S. The impact of psychosocial stress and stress management on immune responses in patients with cancer. Cancer Am. Cancer Soc. 2019, 125, 1417–1431. [Google Scholar] [CrossRef] [PubMed]








| CD19 (+) B Cell–PNI Group | ||||
|---|---|---|---|---|
| Group 1 | Group 2 | Group 3 | p Value | |
| Item | n = 56 | n = 190 | n = 45 | |
| Age (years), mean (SD) | 63.73 (10.56) | 58.78 (9.80) | 54.40 (10.85) | <0.001 |
| Sex (%) | 0.453 | |||
| Male | 41 (73.2) | 134 (70.5) | 28 (62.2) | |
| Female | 15 (26.8) | 56 (29.5) | 17 (37.8) | |
| BMI (Kg/m2), mean (SD) | 21.68 (3.29) | 22.91 (3.00) | 24.13 (3.56) | 0.001 |
| Radical resection (%) | 0.191 | |||
| Yes | 52 (92.9) | 177 (93.2) | 45 (100) | |
| No | 4 (7.1) | 13 (6.8) | 0 (0.0) | |
| Primary tumor site (%) | 0.610 | |||
| Upper 1/3 | 1 (1.8) | 8 (4.2) | 2 (4.4) | |
| Middle 1/3 | 4 (7.1) | 26 (13.7) | 8 (17.8) | |
| Low 1/3 | 42 (75.0) | 135 (71.1) | 31 (68.9) | |
| Whole | 9 (16.1) | 21 (11.1) | 4 (8.9) | |
| Borrmann type (%) | 0.193 | |||
| I | 2 (3.6) | 21 (11.1) | 9 (20.0) | |
| II | 15 (26.8) | 59 (31.1) | 13 (28.9) | |
| III | 36 (64.3) | 97 (51.1) | 20 (44.4) | |
| IV | 3 (5.4) | 13 (6.8) | 3 (6.7) | |
| LNP (%) | 0.080 | |||
| Yes | 34 (60.7) | 83 (43.7) | 21 (46.7) | |
| No | 22 (39.3) | 107 (56.3) | 24 (53.3) | |
| Tumor size (%) | <0.001 | |||
| <20 mm | 0 (0.0) | 14 (7.4) | 15 (33.3) | |
| 20–50 mm | 21 (37.5) | 90 (47.4) | 13 (28.9) | |
| >50 mm | 35 (62.5) | 86 (45.3) | 17 (37.8) | |
| Differentiation (%) | 0.116 | |||
| Poor | 21 (37.5) | 64 (33.7) | 16 (35.6) | |
| Moderately | 31 (55.4) | 100 (52.6) | 18 (40.0) | |
| Well | 2 (3.6) | 15 (7.9) | 9 (20.0) | |
| Unknown | 2 (3.6) | 11 (5.8) | 2 (4.4) | |
| Lauren type (%) | 0.989 | |||
| Intestinal | 27 (48.3) | 93 (48.9) | 23 (51.1) | |
| Diffuse | 10 (17.9) | 35 (18.4) | 6 (13.3) | |
| Mixed | 17 (30.4) | 53 (27.9) | 14 (31.1) | |
| Unknown | 2 (3.6) | 9 (4.7) | 2 (4.4) | |
| TNM stage (%) | 0.032 | |||
| I | 13 (23.2) | 83 (43.7) | 21 (46.7) | |
| II | 13 (23.2) | 48 (25.3) | 10 (22.2) | |
| III | 24 (42.9) | 53 (27.9) | 12 (26.7) | |
| IV | 6 (10.7) | 6 (3.2) | 2 (4.4) | |
| CEA (%) | 0.310 | |||
| <1.97 ng/mL | 32 (57.1) | 88 (46.3) | 24 (53.3) | |
| ≥1.97 ng/mL | 24 (42.9) | 102 (53.7) | 21 (46.7) | |
| CA199 (%) | 0.141 | |||
| <10.19 U/L | 24 (42.9) | 93 (48.9) | 28 (62.2) | |
| ≥10.19 U/L | 32 (57.1) | 97 (51.1) | 17 (37.8) | |
| CA724 (%) | 0.001 | |||
| <2.17 U/L | 17 (30.4) | 98 (51.6) | 30 (66.7) | |
| ≥2.17 U/L | 39 (69.6) | 92 (48.4) | 15 (33.3) | |
| CA125II (%) | 0.897 | |||
| <10.21 U/L | 28 (50.0) | 96 (50.5) | 21 (46.7) | |
| ≥10.21 U/L | 28 (50.0) | 94 (49.5) | 24 (53.3) | |
| CD19 (+) B Cell–PNI Group | ||||
|---|---|---|---|---|
| Group 1 | Group 2 | Group 3 | p Value | |
| Item, Mean (SD) | n = 56 | n = 190 | n = 45 | |
| ALT (U/L) | 19.32 (10.63) | 21.27 (13.34) | 23.52 (14.57) | 0.277 |
| AST (U/L) | 21.98 (10.25) | 21.81 (7.97) | 22.38 (7.14) | 0.918 |
| γ-GGT (U/L) | 15.65 (8.55) | 26.14 (21.07) | 22.96 (20.77) | 0.002 |
| TBIL (μmol/L) | 10.78 (6.07) | 13.46 (8.86) | 11.21 (6.04) | 0.042 |
| DBIL (μmol/L) | 4.11 (2.25) | 4.31 (1.61) | 3.99 (1.76) | 0.503 |
| IDBIL (μmol/L) | 6.68 (4.25) | 8.40 (3.46) | 7.26 (4.58) | 0.006 |
| TP (g/L) | 59.89 (6.29) | 69.35 (5.42) | 69.49 (4.57) | <0.001 |
| ALB (g/L) | 35.13 (3.53) | 41.87 (3.46) | 42.15 (3.17) | <0.001 |
| GLOB (g/L) | 25.16 (3.71) | 27.42 (3.94) | 27.34 (2.84) | <0.001 |
| PALB (mg/L) | 218.44 (72.14) | 283.77 (72.60) | 280.02 (73.89) | <0.001 |
| Urea (mmol/L) | 5.83 (1.51) | 6.21 (5.02) | 6.22 (1.84) | 0.823 |
| CREA (μmol/L) | 80.25 (15.54) | 87.52 (44.46) | 78.38 (17.46) | 0.206 |
| UA (μmol/L) | 265.27 (95.65) | 304.58 (86.40) | 311.42 (81.33) | 0.007 |
| Glu (mmol/L) | 5.17 (1.04) | 5.30 (1.22) | 5.20 (1.00) | 0.745 |
| WBC (109/L) | 6.34 (2.91) | 6.79 (2.09) | 7.04 (1.76) | 0.257 |
| NEU (109/L) | 4.46 (2.95) | 3.99 (1.92) | 4.12 (1.55) | 0.357 |
| Lym (109/L) | 1.29 (0.40) | 2.11 (0.71) | 2.21 (0.70) | <0.001 |
| CD3 (+) (%) | 82.63 (84.64) | 68.60 (10.61) | 66.08 (7.60) | 0.036 |
| CD3 (+) CD4 (+) (%) | 41.89 (8.80) | 40.41 (8.66) | 41.19 (8.61) | 0.507 |
| CD3 (+) CD8 (+) (%) | 24.26 (9.70) | 23.86 (7.76) | 20.50 (6.55) | 0.029 |
| CD4 (+)/CD8 (+) | 2.10 (1.09) | 1.96 (1.07) | 2.34 (1.09) | 0.094 |
| CD3 (+) CD4 (+) CD8 (+) (%) | 0.32 (0.36) | 0.60 (1.47) | 0.54 (0.69) | 0.328 |
| CD19 (+) (%) | 9.58 (3.31) | 10.01 (3.46) | 19.02 (3.05) | <0.001 |
| CD3 (−) CD16 (+) CD56 (+) (%) | 15.70 (9.76) | 18.27 (9.81) | 11.45 (5.30) | <0.001 |
| CD3 (+) CD16 (+) CD56 (+) (%) | 3.51 (3.44) | 3.04 (3.64) | 3.02 (7.22) | 0.761 |
| PFS | ||||
|---|---|---|---|---|
| Univariate Analysis | Multivariate Analysis | |||
| Parameters | HR (95% CI) | p | HR (95% CI) | p |
| Age (years) | 1.036 (1.015–1.057) | 0.001 | 1.021 (1.000–1.042) | 0.047 |
| Sex | ||||
| Male | 1 (Ref) | |||
| Female | 0.918 (0.601–1.401) | 0.692 | ||
| BMI (Kg/m2) | 0.931 (0.877–0.988) | 0.018 | ||
| CD3 (+) (%) | 1.003 (1.000–1.005) | 0.051 | ||
| CD3 (+) CD4 (+) (%) | 0.998 (0.975–1.021) | 0.854 | ||
| CD3 (+) CD8 (+) (%) | 1.027 (1.003–1.051) | 0.026 | ||
| CD4 (+)/CD8 (+) | 0.934 (0.769–1.134) | 0.493 | ||
| CD3 (+) CD4 (+) CD8 (+) (%) | 0.909 (0.715–1.155) | 0.435 | ||
| CD19 (+) (%) | 0.934 (0.893–0.978) | 0.003 | ||
| CD3 (−) CD16 (+) CD56 (+) (%) | 0.994 (0.973–1.015) | 0.581 | ||
| CD3 (+) CD16 (+) CD56 (+) (%) | 1.031 (1.002–1.061) | 0.039 | ||
| ALB (g/L) | 0.949 (0.909–0.990) | 0.016 | ||
| Lym (109/L) | 0.690 (0.517–0.920) | 0.012 | ||
| PNI | 0.952 (0.924–0.982) | 0.002 | ||
| CD19 (+) B cell–PNI | ||||
| Group 1 | 1 (Ref) | 1 (Ref) | ||
| Group 2 | 0.443 (0.293–0.670) | <0.001 | 0.763 (0.483–1.206) | 0.248 |
| Group 3 | 0.198 (0.088–0.447) | <0.001 | 0.352 (0.149–0.831) | 0.017 |
| Radical resection (%) | ||||
| Yes | 1 (Ref) | 1 (Ref) | ||
| No | 4.182 (2.335–7.492) | <0.001 | 1.411 (0.579–3.439) | 0.448 |
| Primary tumor site (%) | ||||
| Upper 1/3 | 1 (Ref) | |||
| Middle 1/3 | 0.627 (0.196–2.000) | 0.430 | ||
| Low 1/3 | 0.877 (0.320–2.401) | 0.798 | ||
| Whole | 2.084 (0.712–6.104) | 0.180 | ||
| Borrmann type (%) | ||||
| I | 1 (Ref) | 1 (Ref) | ||
| II | 6.081 (1.448–25.533) | 0.014 | 1.978 (0.400–9.783) | 0.403 |
| III | 8.088 (1.977–33.091) | 0.004 | 2.282 (0.476–10.928) | 0.302 |
| IV | 28.997 (6.605–127.294) | <0.001 | 4.626 (0.877–24.383) | 0.071 |
| LNP (%) | ||||
| No | 1 (Ref) | 1 (Ref) | ||
| Yes | 3.537 (2.324–5.384) | <0.001 | 1.050 (0.511–2.158) | 0.895 |
| Tumor size (%) | ||||
| <20 mm | 1 (Ref) | 1 (Ref) | ||
| 20–50 mm | 2.715 (0.831–8.870) | 0.098 | 1.536 (0.402–5.871) | 0.531 |
| >50 mm | 6.883 (2.165–21.878) | 0.001 | 1.203 (0.576–1.431) | 0.677 |
| TNM stage (%) | ||||
| I | 1 (Ref) | 1 (Ref) | ||
| II | 3.875 (1.878–7.996) | <0.001 | 3.192 (1.388–7.340) | 0.006 |
| III | 11.807 (6.187–22.533) | <0.001 | 8.472 (3.134–22.904) | <0.001 |
| IV | 45.844 (20.022–104.969) | <0.001 | 21.182 (6.246–71.836) | <0.001 |
| OS | ||||
|---|---|---|---|---|
| Univariate Analysis | Multivariate Analysis | |||
| Items | HR (95% CI) | p | HR (95% CI) | p |
| Age (years) | 1.037 (1.016–1.058) | <0.001 | 1.022 (1.001–1.043) | 0.045 |
| Sex | ||||
| Male | 1 (Ref) | |||
| Female | 0.912 (0.597–1.392) | 0.669 | ||
| BMI (Kg/m2) | 0.932 (0.879–0.989) | 0.021 | ||
| CD3 (+) (%) | 1.003 (1.000–1.003) | 0.028 | ||
| CD3 (+) CD4 (+) (%) | 0.998 (0.976–1.021) | 0.885 | ||
| CD3 (+) CD8 (+) (%) | 1.028 (1.004–1.052) | 0.023 | ||
| CD4 (+)/CD8 (+) | 0.935 (0.771–1.135) | 0.496 | ||
| CD3 (+) CD4 (+) CD8 (+) (%) | 0.913 (0.720–1.158) | 0.454 | ||
| CD19 (+) (%) | 0.933 (0.892–0.977) | 0.003 | ||
| CD3 (−) CD16 (+) CD56 (+) (%) | 0.994 (0.937–1.015) | 0.549 | ||
| CD3 (+) CD16 (+) CD56 (+) (%) | 1.032 (1.002–1.063) | 0.035 | ||
| ALB (g/L) | 0.947 (0.908–0.989) | 0.013 | ||
| Lym (109/L) | 0.684 (0.513–0.911) | 0.009 | ||
| PNI | 0.951 (0.922–0.980) | 0.001 | ||
| CD19 (+) B cell–PNI | ||||
| Group 1 | 1 (Ref) | 1 (Ref) | ||
| Group 2 | 0.434 (0.287–0.656) | <0.001 | 0.721 (0.455–1.143) | 0.164 |
| Group 3 | 0.191 (0.085–0.430) | <0.001 | 0.319 (0.134–0.757) | 0.010 |
| Radical resection (%) | ||||
| Yes | 1 (Ref) | 1 (Ref) | ||
| No | 4.356 (2.431–7.807) | <0.001 | 1.769 (0.762–4.105) | 0.184 |
| Primary tumor site (%) | ||||
| Upper 1/3 | 1 (Ref) | |||
| Middle 1/3 | 0.609 (0.191–1.944) | 0.402 | ||
| Low 1/3 | 0.885 (0.323–2.423) | 0.812 | ||
| Whole | 2.056 (0.702–6.023) | 0.189 | ||
| Borrmann type (%) | ||||
| I | 1 (Ref) | 1 (Ref) | ||
| II | 6.025 (1.435–25.300) | 0.014 | 2.002 (0.405–9.909) | 0.395 |
| III | 8.012 (1.958–32.780) | 0.004 | 2.180 (0.454–10.467) | 0.330 |
| IV | 27.087 (6.171–118.891) | <0.001 | 4.625 (0.876–24.410) | 0.071 |
| LNP (%) | ||||
| No | 1 (Ref) | 1 (Ref) | ||
| Yes | 3.445 (2.264–5.242) | <0.001 | 1.089 (0.532–2.232) | 0.815 |
| Tumor size (%) | ||||
| <20 mm | 1 (Ref) | 1 (Ref) | ||
| 20–50 mm | 2.710 (0.829–8.858) | 0.099 | 1.466 (0.386–5.568) | 0.574 |
| >50 mm | 6.917 (2.176–21.988) | 0.001 | 1.217 (0.546–1.355) | 0.516 |
| TNM stage (%) | ||||
| I | 1 (Ref) | 1 (Ref) | ||
| II | 3.833 (1.858–7.910) | <0.001 | 3.282 (1.435–7.505) | 0.005 |
| III | 11.441 (5.999–21.819) | <0.001 | 9.280 (3.441–25.029) | <0.001 |
| IV | 35.899 (15.895–81.079) | <0.001 | 15.617 (4.770–51.134) | <0.001 |
| Items | Calculation Formulas |
|---|---|
| GNRI | [1.519 × albumin (g/L)] + [41.7 × (weight/Wlo)] |
| NRI | [1.489 × albumin (g/L)] + [41.7 × (weight/Wlo)] |
| SII | platelet (109/L) × neutrophil (109/L)/lymphocyte (109/L) |
| SIRI | Monocyte (109/L) × neutrophil (109/L)/lymphocyte (109/L) |
| ALI | BMI (Kg/m2) × albumin (g/dL) × lymphocyte (109/L)/neutrophil (109/L) |
| Parameters | AUC | 95% CI |
|---|---|---|
| CD19 (+) B cell–PNI | 0.648 | 0.582–0.713 |
| Age | 0.621 | 0.555–0.687 |
| BMI | 0.584 | 0.517–0.651 |
| Differentiation | 0.562 | 0.494–0.629 |
| TNM stage | 0.817 | 0.766–0.868 |
| Lauren type | 0.537 | 0.469–0.605 |
| Tumor size | 0.668 | 0.605–0.731 |
| Primary tumor site | 0.571 | 0.502–0.640 |
| Borrmann type | 0.646 | 0.582–0.711 |
| NRI | 0.593 | 0.525–0.661 |
| GNRI | 0.591 | 0.523–0.598 |
| PNI | 0.615 | 0.547–0.683 |
| SII | 0.567 | 0.498–0.637 |
| SIRI | 0.561 | 0.491–0.631 |
| ALI | 0.536 | 0.466–0.607 |
| ALT | 0.533 | 0.465–0.602 |
| AST | 0.504 | 0.436–0.572 |
| γ-GGT | 0.533 | 0.465–0.601 |
| TBIL | 0.582 | 0.513–0.651 |
| DBIL | 0.547 | 0.478–0.615 |
| IDBIL | 0.586 | 0.518–0.655 |
| TP | 0.583 | 0.515–0.652 |
| ALB | 0.580 | 0.511–0.648 |
| GLOB | 0.542 | 0.473–0.611 |
| A/G | 0.533 | 0.464–0.601 |
| PALB | 0.640 | 0.599–0.727 |
| Urea | 0.516 | 0.446–0.586 |
| CREA | 0.537 | 0.467–0.607 |
| UA | 0.549 | 0.478–0.621 |
| Glu | 0.538 | 0.469–0.607 |
| WBC | 0.526 | 0.456–0.597 |
| NEU | 0.514 | 0.443–0.585 |
| Lym | 0.606 | 0.538–0.675 |
| CEA | 0.563 | 0.494–0.631 |
| CA199 | 0.543 | 0.474–0.612 |
| CA724 | 0.610 | 0.543–0.677 |
| CA125II | 0.588 | 0.520–0.655 |
| CD3 (+) | 0.582 | 0.511–0.652 |
| CD3 (+) CD4 (+) | 0.500 | 0.429–0.571 |
| CD3 (+) CD8 (+) | 0.564 | 0.494–0.632 |
| CD4 (+)/CD8 (+) | 0.533 | 0.462–0.603 |
| CD3 (+) CD4 (+) CD8 (+) | 0.511 | 0.442–0.579 |
| CD19 (+) | 0.601 | 0.534–0.668 |
| CD3 (−) CD16 (+) CD56 (+) | 0.536 | 0.466–0.607 |
| CD3 (+) CD16 (+) CD56 (+) | 0.546 | 0.475–0.617 |
Disclaimer/Publisher’s Note: The statements, opinions and data contained in all publications are solely those of the individual author(s) and contributor(s) and not of MDPI and/or the editor(s). MDPI and/or the editor(s) disclaim responsibility for any injury to people or property resulting from any ideas, methods, instructions or products referred to in the content. |
© 2023 by the authors. Licensee MDPI, Basel, Switzerland. This article is an open access article distributed under the terms and conditions of the Creative Commons Attribution (CC BY) license (https://creativecommons.org/licenses/by/4.0/).
Share and Cite
Sun, H.; Wang, H.; Pan, H.; Zuo, Y.; Zhao, R.; Huang, R.; Xue, Y.; Song, H. CD19 (+) B Cell Combined with Prognostic Nutritional Index Predicts the Clinical Outcomes of Patients with Gastric Cancer Who Underwent Surgery. Cancers 2023, 15, 2531. https://doi.org/10.3390/cancers15092531
Sun H, Wang H, Pan H, Zuo Y, Zhao R, Huang R, Xue Y, Song H. CD19 (+) B Cell Combined with Prognostic Nutritional Index Predicts the Clinical Outcomes of Patients with Gastric Cancer Who Underwent Surgery. Cancers. 2023; 15(9):2531. https://doi.org/10.3390/cancers15092531
Chicago/Turabian StyleSun, Hao, Huibo Wang, Hongming Pan, Yanjiao Zuo, Ruihu Zhao, Rong Huang, Yingwei Xue, and Hongjiang Song. 2023. "CD19 (+) B Cell Combined with Prognostic Nutritional Index Predicts the Clinical Outcomes of Patients with Gastric Cancer Who Underwent Surgery" Cancers 15, no. 9: 2531. https://doi.org/10.3390/cancers15092531
APA StyleSun, H., Wang, H., Pan, H., Zuo, Y., Zhao, R., Huang, R., Xue, Y., & Song, H. (2023). CD19 (+) B Cell Combined with Prognostic Nutritional Index Predicts the Clinical Outcomes of Patients with Gastric Cancer Who Underwent Surgery. Cancers, 15(9), 2531. https://doi.org/10.3390/cancers15092531

