Sign in to use this feature.

Years

Between: -

Subjects

remove_circle_outline
remove_circle_outline
remove_circle_outline
remove_circle_outline
remove_circle_outline
remove_circle_outline
remove_circle_outline
remove_circle_outline
remove_circle_outline

Journals

Article Types

Countries / Regions

Search Results (342)

Search Parameters:
Keywords = prognostic nutritional index

Order results
Result details
Results per page
Select all
Export citation of selected articles as:
13 pages, 277 KB  
Article
Association of Prognostic Nutritional Index and New-Onset Atrial Fibrillation in Patients Undergoing Surgical Aortic Valve Replacement: A Silent Predictor in Perioperative Outcomes?
by Cecilia Vecoli, Augusto Esposito, Ludovica Simonini, Valentina Zanetti, Maria Serena Parri, Luca Bastiani, Pier Andrea Farneti and Ilenia Foffa
J. Clin. Med. 2026, 15(2), 555; https://doi.org/10.3390/jcm15020555 - 9 Jan 2026
Abstract
Background: New-onset postoperative atrial fibrillation (NOAF) is the most prevalent arrythmia after cardiac surgery with a significant clinical and economic impact. Therefore, simple and practical biomarkers for NOAF prediction remain a clinical priority. Increasing evidence indicates that malnutrition is linked to postoperative [...] Read more.
Background: New-onset postoperative atrial fibrillation (NOAF) is the most prevalent arrythmia after cardiac surgery with a significant clinical and economic impact. Therefore, simple and practical biomarkers for NOAF prediction remain a clinical priority. Increasing evidence indicates that malnutrition is linked to postoperative complications, including the onset of atrial fibrillation. The Prognostic Nutritional Index (PNI), which reflects the immunonutritional and inflammatory status through serum albumin concentration and lymphocyte count, has emerged as a reliable prognostic indicator in cardiovascular disease. The present study aimed to investigate the association between PNI and the development of NOAF in patients undergoing surgical aortic valve replacement (SAVR). Methods: A total of 241 consecutive patients who underwent AVR for severe aortic stenosis or regurgitation were enrolled in this study. The population was stratified into two groups according to the development of NOAF (NOAF group) or the lack thereof (no NOAF group). Results: In both univariate and multivariate logistic regression analyses adjusted for several established NOAF determinants, age and PNI, both as continuous variables, were independently associated with NOAF in both univariate (OR = 1.03; CI 95% = 1.01–1.06, p = 0.009, and OR = 0.9; CI 95% = 0.8–0.9, p = 0.01, respectively) and multivariate models (OR = 1.02; CI 95% = 1.01–1.06, p = 0.05, and OR = 0.9; CI 95% = 0.8–0.9, p = 0.03, respectively). When PNI was analyzed by tertiles, patients in the lowest tertile (PNI < 41.5) showed a significantly higher risk of developing NOAF at both univariate (OR = 1.9; CI 95% = 1.2–2.8, p = 0.004) and multivariate analysis (OR = 1.6; CI 95% = 1–2.6, p = 0.03), whereas age lost statistical significance (OR = 1.0; 95% CI = 0.9–1.05; p = 0.06). Furthermore, when the study population was divided into two groups based on the median age (70 years), PNI values differed significantly between NOAF and no NOAF patients only in patients under 70 years (p = 0.01). In this younger subgroup, PNI remained an independent predictor of NOAF, both when considered as a continuous variable (OR = 0.86; CI 95% = 0.74–0.98, p = 0.02), and nominal variable (PNI < 41.5, OR = 0.88; CI 95% = 0.80–0.97, p = 0.01). Conclusions: Overall, these findings identify PNI as an independent predictor of NOAF following SAVR, particularly in patients younger than 70 years. This study underlines the potential clinical value of preoperative nutritional assessment for risk stratification. Incorporating nutritional parameters such as PNI into current predictive models may enhance the accuracy of prognostic evaluation and support targeted perioperative management strategies. Full article
(This article belongs to the Section Cardiology)
16 pages, 1109 KB  
Article
Monocyte-Driven Systemic Biomarkers and Survival After Pulmonary Metastasectomy in Metachronous Lung-Limited Oligometastatic Disease: A Retrospective Single-Center Study
by Hacer Boztepe Yesilcay, Asim Armagan Aydin, Ahmet Unlu, Sencan Akdag, Kamuran Yuceer and Mustafa Yildiz
J. Clin. Med. 2026, 15(2), 476; https://doi.org/10.3390/jcm15020476 - 7 Jan 2026
Viewed by 94
Abstract
Background/Objectives: Metachronous lung-limited oligometastatic disease represents a biologically heterogeneous state in which patient selection for pulmonary metastasectomy remains challenging. While systemic inflammation–nutrition indices have shown prognostic value across malignancies, their relevance in this strictly defined surgical setting is not well established. Methods: We [...] Read more.
Background/Objectives: Metachronous lung-limited oligometastatic disease represents a biologically heterogeneous state in which patient selection for pulmonary metastasectomy remains challenging. While systemic inflammation–nutrition indices have shown prognostic value across malignancies, their relevance in this strictly defined surgical setting is not well established. Methods: We conducted a retrospective single-center cohort study including 109 patients with isolated metachronous pulmonary recurrence who underwent curative intent R0 metastasectomy between September 2015 and April 2024. Preoperative systemic biomarkers, including neutrophil-to-lymphocyte ratio (NLR), systemic immune-inflammation index (SII), systemic inflammation response index (SIRI), pan-immune-inflammation value (PIV), and monocyte-to-albumin ratio (MAR), were evaluated using receiver operating characteristic (ROC) analysis and multivariable Cox models to determine their association with overall survival (OS) and progression-free survival (PFS). Clinicopathological variables, such as lymph node involvement and metastatic burden, were incorporated into the adjusted models. Results: The median age of the cohort was 61 years (range, 29–82 years), and the sex distribution was balanced (48.6% female and 51.4% male), with 62.4% of patients being younger than 65 years. Among the systemic indices evaluated, monocyte-weighted biomarkers demonstrated the strongest prognostic performance. The MAR showed the highest discriminative ability for mortality (AUC, 0.749; p < 0.001), followed by the SIRI (AUC, 0.682; p = 0.007). In multivariable analyses, MAR independently predicted OS (p = 0.043) and PFS (p = 0.023), while SIRI independently predicted PFS (p = 0.043). Lymph node involvement remained the dominant adverse prognostic factor for both outcomes (p < 0.001); however, monocyte-weighted indices provided additional prognostic value beyond conventional anatomic criteria. Conclusions: Preoperative SIRI and MAR capture host immune–metabolic states that are relevant to postoperative trajectories and may refine risk stratification in candidates for pulmonary metastasectomy. These readily obtainable markers warrant prospective validation within biologically integrated selection frameworks. Full article
(This article belongs to the Special Issue Surgical Oncology: Clinical Application of Translational Medicine)
Show Figures

Figure 1

18 pages, 1642 KB  
Article
Prognostic Impact of Combined Nutritional and Cognitive Status on Long-Term Outcome in Acute Decompensated Heart Failure
by Kazutaka Nogi, Tomoya Ueda, Atsushi Kyodo, Satomi Ishihara, Yasuki Nakada, Yukihiro Hashimoto, Hitoshi Nakagawa, Taku Nishida, Ayako Seno, Kenji Onoue, Makoto Watanabe, Yoshihiko Saito and Shungo Hikoso
Nutrients 2026, 18(2), 189; https://doi.org/10.3390/nu18020189 - 6 Jan 2026
Viewed by 115
Abstract
Background/Objectives: Malnutrition and cognitive impairment are both common and prognostically significant in elderly patients with acute decompensated heart failure (ADHF). However, the combined impact of nutritional and cognitive status on long-term outcomes remains unclear. This study aimed to evaluate the prognostic value of [...] Read more.
Background/Objectives: Malnutrition and cognitive impairment are both common and prognostically significant in elderly patients with acute decompensated heart failure (ADHF). However, the combined impact of nutritional and cognitive status on long-term outcomes remains unclear. This study aimed to evaluate the prognostic value of the Geriatric Nutritional Risk Index (GNRI) and Mini-Mental State Examination (MMSE) in elderly patients hospitalized for ADHF. Methods: We analyzed 414 ADHF patients aged ≥65 years from the NARA-LONGEVITY study. Patients were categorized into four groups based on GNRI (≥92 or <92) and MMSE (>23 or ≤23) values at discharge. The primary endpoint was a composite of all-cause mortality and HF-related readmission. Results: During a median follow-up of 37.4 months, 218 patients (52.7%) reached the composite endpoint, and 168 (40.6%) died. Patients with both low GNRI and low MMSE had significantly poorer outcomes than those with high GNRI and high MMSE (adjusted hazard ratio [HR] for composite outcome: 2.16; 95% CI, 1.28–3.64; p = 0.004; HR for all-cause mortality: 2.21; 95% CI, 1.22–3.99; p = 0.009). The combined prognostic impact was consistent across age subgroups. Conclusions: The combined assessment of nutritional and cognitive status using GNRI and MMSE at discharge provides additional prognostic value in elderly patients with ADHF. These findings highlight the importance of a multidimensional approach to risk stratification and personalized care planning in this population. Full article
(This article belongs to the Section Nutrition and Neuro Sciences)
Show Figures

Graphical abstract

15 pages, 702 KB  
Article
Dynamic Immune–Nutritional Indices as Powerful Predictors of Pathological Complete Response in Patients with Breast Cancer Undergoing Neoadjuvant Chemotherapy
by Emel Mutlu Ozkan, Ibrahim Karadag, Mevlude Inanc and Metin Ozkan
J. Clin. Med. 2026, 15(2), 418; https://doi.org/10.3390/jcm15020418 - 6 Jan 2026
Viewed by 80
Abstract
Background/Objectives: Pathological complete response (pCR) is an established surrogate marker of neoadjuvant chemotherapy (NACT) efficacy in breast cancer; however, reliable predictors of pCR remain limited. Immune–inflammation- and nutrition-based biomarkers derived from routine blood tests may offer accessible tools for early assessments of [...] Read more.
Background/Objectives: Pathological complete response (pCR) is an established surrogate marker of neoadjuvant chemotherapy (NACT) efficacy in breast cancer; however, reliable predictors of pCR remain limited. Immune–inflammation- and nutrition-based biomarkers derived from routine blood tests may offer accessible tools for early assessments of treatment response. This study aimed to evaluate both baseline values and dynamic (Δ) changes in multiple immune–nutritional indices to determine their predictive performance with regard topCR. Methods: A retrospective analysis was conducted on 236 early breast cancer patients who received neoadjuvant chemotherapy. Pre-treatment (B), post-treatment (A), and Δ values were calculated for the prognostic nutritional index (PNI), advanced lung cancer inflammation index (ALI), hemoglobin–albumin–lymphocyte–platelet (HALP) score, systemic inflammation response index (SIRI), pan-immune–inflammation value (PIIV), global immune–nutrition-information index (GINI), nutritional risk index (NRI), and related biomarkers. Associations with pCR were examined using chi-square testing and univariate logistic regression, and diagnostic performance was assessed through receiver operating characteristic (ROC) analysis. Results: pCR was achieved in 116 patients (49.2%). Logistic regression identified the NRI (OR = 2.336), ΔGINI (OR = 2.323), ALI (OR = 1.318), PNI (OR = 1.365), HALP score (OR = 1.217), ΔSIRI (OR = 2.207), and ΔPIIV (OR = 2.001) as significant predictors. ROC analysis showed that the NRI (AUC = 0.840) and ΔGINI (AUC = 0.807) were the strongest discriminators of pCR. In aLASSO (Least Absolute Shrinkage and Selection Operator)-penalized logistic regression with 10-fold cross-validation, the NRI and ΔGINI emerged as independent predictors of pCR (OR = 1.28 and OR = 1.23, respectively), showing acceptable calibration particularly in the moderate-to-high probability range. Conclusions: Both baseline and Δ immune–nutritional biomarkers predict pCR following NACT in breast cancer. The NRI and ΔGINI demonstrated the best diagnostic performance, whereas ΔSIRI and ΔPIIV also showed meaningful associations. Easily obtainable, low-cost indices—particularly Δ markers—may support the early identification of responders and facilitate more personalized therapeutic decision-making in breast cancer management. Full article
(This article belongs to the Section Oncology)
Show Figures

Figure 1

15 pages, 1790 KB  
Article
Improving Prognostic Prediction in Head and Neck Cancer Through a Combined Systemic Immune-Inflammation Index and Prognostic Nutritional Index Score
by Takuya Miura, Hisashi Kessoku, Masato Nagaoka, Yohei Morishita, Toshiki Kobayashi and Hiromi Kojima
Curr. Oncol. 2026, 33(1), 30; https://doi.org/10.3390/curroncol33010030 - 5 Jan 2026
Viewed by 153
Abstract
This study evaluated whether a composite index combining the systemic immune–inflammation index (SII) and prognostic nutritional index (PNI), the coSII–PNI score, enhances prognostic prediction in head and neck cancer. We retrospectively evaluated 166 patients who underwent curative surgery between 2015 and 2023. Patients [...] Read more.
This study evaluated whether a composite index combining the systemic immune–inflammation index (SII) and prognostic nutritional index (PNI), the coSII–PNI score, enhances prognostic prediction in head and neck cancer. We retrospectively evaluated 166 patients who underwent curative surgery between 2015 and 2023. Patients were stratified into three groups according to the coSII–PNI score (range, 0–2) derived from preoperative blood data. The optimal cutoff values for SII and PNI were 743 and 49, respectively. A significant correlation was observed between the SII and PNI (r = −0.386, p < 0.01). Patients with a high coSII–PNI score (low SII + high PNI) showed significantly better disease-free and overall survival than those with lower scores (both p < 0.01). The areas under the curve for predicting prognosis were 0.649 for SII, 0.717 for PNI, and 0.730 for the coSII–PNI score. These findings indicate that integrating systemic inflammation and nutritional status improves prognostic accuracy compared with either index alone. Therefore, the coSII–PNI score may serve as a simple, practical preoperative biomarker for risk stratification in patients with head and neck cancer. Full article
(This article belongs to the Section Head and Neck Oncology)
Show Figures

Figure 1

21 pages, 1249 KB  
Article
Preoperative Prognostic Score for Patients with Intrahepatic Cholangiocarcinoma Undergoing Curative-Intent Resection
by Jarin Chindaprasirt, Thanachai Sanlung, Piyakarn Watcharenwong, Vasin Thanasukarn, Apiwat Jareanrat, Natcha Khuntikeo, Tharatip Srisuk, Prakasit Sa-Ngiamwibool, Chaiwat Aphivatanasiri, Watcharin Loilome, Piya Prajumwongs and Attapol Titapun
Med. Sci. 2026, 14(1), 23; https://doi.org/10.3390/medsci14010023 - 5 Jan 2026
Viewed by 151
Abstract
Background: Preoperative inflammatory and nutrition-related markers—including the neutrophil-to-lymphocyte ratio (NLR), lymphocyte-to-monocyte ratio (LMR), prognostic nutritional index (PNI), and controlling nutritional status (CONUT) score—have shown prognostic relevance in various malignancies. However, their comparative utility in predicting recurrence and survival across clinically relevant subgroups in [...] Read more.
Background: Preoperative inflammatory and nutrition-related markers—including the neutrophil-to-lymphocyte ratio (NLR), lymphocyte-to-monocyte ratio (LMR), prognostic nutritional index (PNI), and controlling nutritional status (CONUT) score—have shown prognostic relevance in various malignancies. However, their comparative utility in predicting recurrence and survival across clinically relevant subgroups in patients with intrahepatic cholangiocarcinoma (iCCA) undergoing curative-intent resection remains unclear. Methods: This retrospective study included 213 patients with histologically confirmed iCCA who underwent curative-intent resection between 2015 and 2021. Preoperative NLR, LMR, PNI, and CONUT scores were calculated from laboratory data obtained within one week before resection. Clinicopathological variables, recurrence, and survival outcomes were analyzed using Cox regression and Kaplan–Meier methods. Results: A preoperative NLR ≥ 2.4 was independently associated with poorer DFS (HR = 1.66, p = 0.025) and OS (HR = 1.94, p = 0.006). This effect remained significant in patients with R0 resection (DFS: HR = 1.66, p = 0.004; OS: HR = 2.11, p = 0.014) and in those who subsequently developed recurrence (OS: HR = 1.83, p = 0.004). The CONUT score was correlated with OS in both R0 and recurrent subgroups. Tumor morphology, consistent with prior reports, was identified as a postoperative pathological factor associated with worse prognosis. Conclusions: Preoperative NLR was associated with poorer DFS and OS in iCCA patients undergoing curative-intent resection. This association was consistently observed in subgroups with R0 resection and in those who developed recurrence. Meanwhile, the CONUT score showed limited independent significance only among patients with R0 resection who experienced recurrence. Full article
(This article belongs to the Special Issue Feature Papers in Section “Cancer and Cancer-Related Research”)
Show Figures

Figure 1

12 pages, 657 KB  
Article
Prognostic Value of Treatment-Related Body Composition Changes in Metastatic NSCLC Receiving Nivolumab
by Erkam Kocaaslan, Ali Kaan Güren, Fırat Akagündüz, Ahmet Demirel, Mustafa Alperen Tunç, Burak Paçacı, Yeşim Ağyol, Pınar Erel, Abdüssamed Çelebi, Selver Işık, Ezgi Çoban, Nazım Can Demircan, Salih Özgüven, Zeynep Ceren Balaban Genç, Nargiz Majidova, Nadiye Sever, Murat Sarı, Osman Köstek and İbrahim Vedat Bayoğlu
Medicina 2026, 62(1), 98; https://doi.org/10.3390/medicina62010098 - 2 Jan 2026
Viewed by 172
Abstract
Background and Objectives: This study aimed to evaluate the prognostic impact of baseline body composition measurements and changes in muscle and adipose tissue during treatment on overall survival (OS) in metastatic non-small cell lung cancer (NSCLC) patients treated with nivolumab. Materials and Methods: [...] Read more.
Background and Objectives: This study aimed to evaluate the prognostic impact of baseline body composition measurements and changes in muscle and adipose tissue during treatment on overall survival (OS) in metastatic non-small cell lung cancer (NSCLC) patients treated with nivolumab. Materials and Methods: Eighty-eight metastatic NSCLC patients who were initiated on nivolumab between January 2022 and December 2024 were retrospectively analyzed. Body composition parameters were derived from baseline and 3-month 18F-FDG PET/CT scans at the L3 level, including psoas muscle index (PMI), skeletal muscle index (SMI), intramuscular adipose content (IMAC), and subcutaneous fat density (SFD). Treatment-related changes in body composition were evaluated, and survival analyses were performed using Kaplan–Meier estimates and Cox regression models. Results: Overall, 34.1% (n = 30) of patients were classified as sarcopenic. Median OS was significantly longer in non-sarcopenic patients (19 months vs. 5 months, p < 0.001). In univariate analysis, older age, higher comorbidity burden, liver metastasis, baseline sarcopenia, and adverse treatment-related changes in muscle and nutritional parameters were found to be associated with OS. In multivariate analysis, only unfavorable changes in skeletal muscle (ΔSMI; HR 3.39, p = 0.003) and subcutaneous fat radiodensity (ΔSFD; HR 2.45, p = 0.02) remained independent adverse prognostic factors. Baseline body composition parameters did not maintain their independence in multivariate models. Conclusions: Our study demonstrates that muscle loss or insufficient gain and unfavorable changes in subcutaneous fat radiodensity during nivolumab treatment more strongly predict overall survival compared to baseline measurements. These findings highlight the clinical importance of monitoring dynamic body composition throughout treatment, rather than static assessments, in NSCLC patients receiving immunotherapy. Full article
(This article belongs to the Section Oncology)
Show Figures

Figure 1

17 pages, 980 KB  
Article
Integrated Assessment of Obesity Indices and Novel Inflammatory Biomarkers in Predicting the Severity of Obstructive Sleep Apnea
by Burcu Baran, Filiz Miraç Şimşek, Hasan Durmuş, Nur Aleyna Yetkin, Bilal Rabahoğlu, Nuri Tutar, İnci Gülmez and Fatma Sema Oymak
J. Clin. Med. 2026, 15(1), 273; https://doi.org/10.3390/jcm15010273 - 29 Dec 2025
Viewed by 248
Abstract
Background/Objectives: Obesity is a significant risk factor for obstructive sleep apnea (OSA); however, conventional anthropometric measures, such as body mass index (BMI), may not fully reflect the physiological burden associated with adiposity. The triponderal mass index (TMI) has been proposed as an [...] Read more.
Background/Objectives: Obesity is a significant risk factor for obstructive sleep apnea (OSA); however, conventional anthropometric measures, such as body mass index (BMI), may not fully reflect the physiological burden associated with adiposity. The triponderal mass index (TMI) has been proposed as an alternative anthropometric indicator, while inflammation-related biomarkers have emerged as potential complementary tools for characterizing OSA severity. This study aimed to evaluate the relationships between BMI, TMI, hypoxemia, and systemic inflammation, and to assess whether combining anthropometric indices with inflammatory biomarkers improves the identification of severe OSA. Methods: In this retrospective cross-sectional study, 238 adults undergoing full-night polysomnography were classified into four groups: non-OSA, mild OSA, moderate OSA, and severe OSA, based on the apnea–hypopnea index (AHI). Anthropometric indices, polysomnographic parameters, and a comprehensive panel of laboratory biomarkers—including C-reactive protein (CRP), neutrophil- and platelet-derived inflammatory indices, prognostic nutritional index (PNI), CRP-to-albumin ratio (CAR), and CRP-to-lymphocyte ratio (CLR)—were analyzed. Associations were evaluated using Spearman correlation analyses, and diagnostic performance for severe OSA (AHI ≥ 30 events/h) was assessed using receiver operating characteristic (ROC) analyses, DeLong tests, and multivariable models. Results: Both BMI and TMI increased progressively with OSA severity (both p < 0.001) and showed comparable correlations with AHI and nocturnal oxygenation parameters. ROC analyses demonstrated similar discriminative performance for severe OSA (BMI AUC = 0.834; TMI AUC = 0.823; p = 0.229). Among inflammatory biomarkers, CRP, multi-inflammatory index (MII), CAR, and CLR showed moderate diagnostic accuracy. Among the evaluated markers, serum albumin (AUC = 0.836) and PNI demonstrated the highest diagnostic accuracy (AUC = 0.994). A combined model integrating BMI or TMI with PNI achieved near-perfect discrimination for severe OSA (BMI-based AUC = 0.9956; TMI-based AUC = 0.9969), while the addition of CRP-based inflammatory markers did not yield meaningful incremental benefit. Conclusions: BMI and TMI exhibit comparable performance in relation to OSA severity, hypoxemia, and systemic inflammation, with no clear superiority of TMI over BMI in adult patients. Inflammation-related biomarkers—particularly PNI—provide additional discriminatory value beyond anthropometric measures alone. Integrating simple biochemical markers with anthropometric and polysomnographic parameters may enhance risk stratification and identification of severe OSA phenotypes. Full article
(This article belongs to the Section Respiratory Medicine)
Show Figures

Figure 1

14 pages, 1631 KB  
Article
Potential Associations Between CT-Derived Muscle Indices and Clinical Outcomes in Acute Pancreatitis
by Selma Özlem Çelikdelen, Zeynep Keskin, Tevhide Şahin, Korhan Kollu and Muhammet Cemal Kizilarslanoglu
Medicina 2026, 62(1), 54; https://doi.org/10.3390/medicina62010054 - 27 Dec 2025
Viewed by 195
Abstract
Background and Objectives: Acute pancreatitis (AP) is one of the most common gastrointestinal emergencies worldwide. Early identification of high-risk patients is essential to improve outcomes. Computed tomography (CT)-derived muscle mass indices, such as the psoas muscle index (PMI) and paravertebral muscle index (PvMI), [...] Read more.
Background and Objectives: Acute pancreatitis (AP) is one of the most common gastrointestinal emergencies worldwide. Early identification of high-risk patients is essential to improve outcomes. Computed tomography (CT)-derived muscle mass indices, such as the psoas muscle index (PMI) and paravertebral muscle index (PvMI), have recently emerged as potential prognostic markers reflecting both nutritional and inflammatory status. This study aimed to investigate the relationship between CT-derived PMI and PvMI with disease severity, complications, and intensive care unit (ICU) requirement in patients with acute pancreatitis, and to evaluate their prognostic value across age- and sex-specific subgroups. Materials and Methods: This retrospective study included 179 patients hospitalized with AP between January 2023 and February 2025. The psoas muscle area (PMA) and paravertebral muscle area (PvMA) were measured at the L3 vertebral level on CT scans and normalized to height squared to calculate the PMI and PvMI levels. Additionally, patients were classified as having low or normal PMA and PvMA levels based on cutoff values from the existing literature. Clinical, biochemical, and outcome data—including disease severity, complications, and ICU requirement—were analyzed. Subgroup analyses were performed by sex and age (≥65 years). Logistic regression and ROC analyses were used to identify independent predictors and optimal cutoff values. Results: Overall, complications developed in 39.7% of patients, and ICU admission was required in 11.2%. The PMI levels were significantly correlated with albumin, hemoglobin, and inflammatory marker levels. In women, the PMI was independently associated with complicated AP (adjusted OR = 0.655, p = 0.018). In patients ≥65 years, the PvMI level was independently associated with ICU requirement (adjusted OR = 0.780, p = 0.047). The ROC analysis identified PMI ≤ 4.04 cm2/m2 as the optimal cutoff for predicting complicated AP (AUC = 0.641, p = 0.049), and PvMI ≤ 18.88 cm2/m2 for predicting ICU need (AUC = 0.684, p = 0.020), with moderate discrimination. Conclusions: CT-derived muscle indices might be associated with disease severity and adverse outcomes in AP, particularly among older (≥65 years) and female patients. PMI and PvMI may serve as practical prognostic markers to identify high-risk patients early, enabling timely nutritional and supportive interventions. Validation in larger prospective cohorts is warranted. Full article
(This article belongs to the Section Gastroenterology & Hepatology)
Show Figures

Figure 1

12 pages, 462 KB  
Article
Low HALP Score Predicts Prolonged Hospitalization in Solid Tumor Patients with Febrile Neutropenia
by Salih Karatlı and Doğan Yazılıtaş
Curr. Oncol. 2026, 33(1), 14; https://doi.org/10.3390/curroncol33010014 - 27 Dec 2025
Viewed by 197
Abstract
Background: Febrile neutropenia (FN) is a serious chemotherapy-related complication in patients with solid tumors. Identifying simple and accessible biomarkers that can predict prolonged hospitalization may support early risk stratification and clinical decision-making. Methods: This retrospective study included 169 adults hospitalized with FN between [...] Read more.
Background: Febrile neutropenia (FN) is a serious chemotherapy-related complication in patients with solid tumors. Identifying simple and accessible biomarkers that can predict prolonged hospitalization may support early risk stratification and clinical decision-making. Methods: This retrospective study included 169 adults hospitalized with FN between January 2023 and January 2025. Immunonutritional indices, including the Hemoglobin-Albumin-Lymphocyte-Platelet (HALP) score, the Prognostic Nutritional Index (PNI), and the C-reactive protein/albumin ratio (CAR), as well as the Clinical Index of Stable Febrile Neutropenia (CISNE) score were calculated. HALP and PNI were categorized using ROC-derived cut-offs based on the Youden Index. Prolonged hospital stay was defined as a binary variable based on the cohort median (>9 days). Spearman correlation, univariate and multivariate logistic regression were performed to identify predictors of prolonged hospitalization. Results: HALP showed a significant negative correlation with hospitalization duration (r = −0.469; p < 0.001), as did serum albumin (r = −0.184; p = 0.017) and PNI (r = −0.273; p < 0.001). CAR (p = 0.617) and neutrophil count (p = 0.955) demonstrated no correlation. In univariate logistic regression, low HALP (p < 0.001), low PNI (p = 0.001), intermediate CISNE (p = 0.002), high CISNE (p < 0.001), microbiological culture positivity (p < 0.001), and sex (p = 0.015) were significantly associated with prolonged hospitalization. Age, comorbidity status, metastatic stage, and CAR were not significant. In the multivariate model, low HALP (p < 0.001), intermediate CISNE (p = 0.007), high CISNE (p < 0.001), and culture positivity (p < 0.001) remained independent predictors. PNI (p = 0.400) and sex (p = 0.176) did not retain significance. Conclusions: A Low HALP score, higher CISNE risk categories, and microbiological culture positivity independently predicted prolonged hospitalization in FN. HALP, as a simple and inexpensive immunonutritional marker, may enhance early FN risk assessment when used alongside validated clinical tools such as CISNE or MASCC. Full article
Show Figures

Figure 1

14 pages, 457 KB  
Article
Association Between the Prognostic Nutritional Index and Outcomes in Patients Undergoing Emergency Laparotomy
by Sithdharthan Ravikumar, Kasun Wanigasooriya, Shashikanth Vijayaraghavalu, Lanoayo Agbabiaka, Shuker Yahia, Christian Katz, Balasubramanian Piramanayagam, Aravindan Narayanan, Altaf Haji, Muhammad Imran Aslam and Kalimuthu Marimuthu
J. Clin. Med. 2026, 15(1), 164; https://doi.org/10.3390/jcm15010164 - 25 Dec 2025
Viewed by 299
Abstract
Background: Nutritional status is a key determinant of surgical outcomes, but its assessment in emergency settings remains challenging. The prognostic nutritional index (PNI), which is derived from the serum ALB concentration and lymphocyte count, is a rapid, objective measure of nutritional and immune [...] Read more.
Background: Nutritional status is a key determinant of surgical outcomes, but its assessment in emergency settings remains challenging. The prognostic nutritional index (PNI), which is derived from the serum ALB concentration and lymphocyte count, is a rapid, objective measure of nutritional and immune status. This study evaluated the associations between the PNI and postoperative outcomes in patients undergoing emergency laparotomy. Methods: A retrospective observational study was conducted at a single district general hospital in England, including adult patients who underwent emergency laparotomy between January 2019 and December 2023. The PNI was calculated as PNI = serum albumin (g/L) + 0.005 × total lymphocyte count (cells/μL). Patients were classified as malnourished (PNI < 50) or not malnourished (PNI ≥ 50). The outcomes assessed included postoperative complications, length of hospital stay (LOS), 30-day readmission, and three-year all-cause mortality. Statistical analyses included chi-square, Mann–Whitney U, logistic regression, and Kaplan–Meier survival analyses. Preoperative albumin and lymphocyte counts were obtained on admission or within 24 h prior to surgery to calculate the PNI. Results: Among 482 patients (median age 68 years; 57% male), 66% were malnourished. Malnutrition was significantly associated with higher ASA grade (p < 0.001), frailty (p = 0.028), and comorbidity burden (p < 0.001). Malnourished patients had longer LOSs (≥12 days; p < 0.001) and higher 30-day readmissions (p = 0.026). After adjustment for key confounders, low PNI remained independently associated with stoma formation and prolonged length of stay. After adjustment for ASA grade, frailty, comorbidity burden, hypotension, and sepsis, low PNI remained independently associated with stoma formation and prolonged length of stay. Kaplan–Meier analysis revealed reduced three-year survival in malnourished patients (log-rank p < 0.01). Conclusions: Malnutrition, as defined by a low PNI, is highly prevalent and associated with adverse postoperative outcomes in emergency laparotomy. PNI is a simple, objective, and clinically useful tool that should be incorporated into preoperative assessments to guide early nutritional optimization. However, albumin and lymphocyte counts may be influenced by acute inflammation and resuscitation in emergency presentations, and nutritional interventions were not captured in this retrospective dataset. Full article
(This article belongs to the Section Emergency Medicine)
Show Figures

Figure 1

14 pages, 616 KB  
Article
Inflammation-Related Parameters in Lung Cancer Patients Followed in the Intensive Care Unit
by Burcu Tunay, Omer Fatih Olmez, Ahmet Bilici, Ayberk Bayramgil, Gunes Dorukhan Cavusoglu and Huseyin Oz
Healthcare 2026, 14(1), 39; https://doi.org/10.3390/healthcare14010039 - 23 Dec 2025
Viewed by 211
Abstract
Objectives: Lung cancer remains as the most common cause of cancer-related death. The possible relationships between inflammatory markers and lung cancer prognosis have yet to be clarified. In this study, we aimed to assess and compare various inflammatory markers and prognostic tests for [...] Read more.
Objectives: Lung cancer remains as the most common cause of cancer-related death. The possible relationships between inflammatory markers and lung cancer prognosis have yet to be clarified. In this study, we aimed to assess and compare various inflammatory markers and prognostic tests for their role in predicting mortality in patients with lung cancer who were admitted to the intensive care unit. Methods: A total of 229 patients diagnosed with small cell or non-small cell lung cancer who attended follow-up after treatment were included. The predictive performance of neutrophil-to-lymphocyte ratio (NLR), platelet-to-lymphocyte ratio (PLR), lymphocyte-to-monocyte ratio (LMR), systemic immune-inflammation index (SII), modified Glasgow prognostic score (mGPS), Prognostic nutritional index (PNI), APACHE II score, and MPM II-Admission (Mortality Probability Models II-0) were assessed in terms of mortality status. We also performed multivariable logistic regression to determine whether any of these parameters were independently associated with mortality. Results: We included 229 patients into our study; the mean age was 66.17 ± 11.89 years. Among these, 135 (58.95%) patients died and 94 (41.05%) patients were discharged. When we evaluated the performance of the prognostic scores in predicting mortality, we found mGPS, MPM II-Admission, and APACHE II scores had the highest sensitivity, and MPM II-Admission, PNI, and APACHE II scores had the highest specificity. Multivariable regression revealed that PNI was the only inflammation-related parameter that was independently associated with mortality. Conclusions: PNI, APACHE-II, and MPM II-Admission may be used as easily accessible tests for mortality estimation in lung cancer patients admitted to the ICU. Full article
(This article belongs to the Section Clinical Care)
Show Figures

Figure 1

22 pages, 869 KB  
Article
Real-World Outcomes of Treatment Approaches and the Impact of Systemic Inflammation Markers on Survival in Patients with Locally Advanced and Metastatic Laryngeal Cancer
by Burçin Çakan Demirel, Semra Taş, Taliha Güçlü Kantar, Melek Özdemir, Tolga Doğan, Canan Karan, Burcu Yapar Taşköylü, Atike Gökçen Demiray, Serkan Değirmencioğlu, Ahmet Bilici, Gamze Gököz Doğu and Arzu Yaren
J. Clin. Med. 2025, 14(24), 8924; https://doi.org/10.3390/jcm14248924 - 17 Dec 2025
Viewed by 273
Abstract
Background: Systemic inflammation and nutritional status have emerged as promising prognostic indicators across various malignancies; however, their clinical relevance in advanced laryngeal cancer remains underexplored. This study aimed to evaluate the prognostic significance of inflammation- and nutrition-based indices on the overall survival (OS) [...] Read more.
Background: Systemic inflammation and nutritional status have emerged as promising prognostic indicators across various malignancies; however, their clinical relevance in advanced laryngeal cancer remains underexplored. This study aimed to evaluate the prognostic significance of inflammation- and nutrition-based indices on the overall survival (OS) and progression-free survival (PFS) in patients with locally advanced or metastatic laryngeal cancer. Methods: A total of 147 patients treated at Pamukkale University between 2013 and 2022 were retrospectively analyzed. Baseline hematologic and biochemical parameters were used to calculate the Naples Prognostic Score (NPS), the Controlling Nutritional Status (CONUT) score, the Systemic Immune–Inflammation Index (SII), the Systemic Inflammation Response Index (SIRI), the C-reactive Protein/Albumin Ratio (CAR), and the Prognostic Nutritional Index (PNI). Survival outcomes were estimated using the Kaplan–Meier method, and independent prognostic factors were identified by Cox regression analyses. Results: The median OS and PFS were 55.5 and 48.8 months, respectively. In univariate analyses, high NPS, CONUT, SIRI, SII, and CAR values were significantly associated with inferior OS and PFS (p < 0.05). Multivariate analyses identified advanced stage, disease progression during chemotherapy, and high NPS as independent predictors of both the OS and PFS, whereas surgery conferred a survival advantage. Conclusions: Inflammation- and nutrition-based indices, particularly NPS, are strong prognostic markers for survival in patients with advanced laryngeal cancer. Routine integration of these parameters may enhance individualized risk stratification and guide treatment decisions in clinical practice. Full article
(This article belongs to the Section Oncology)
Show Figures

Figure 1

15 pages, 914 KB  
Article
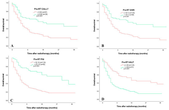
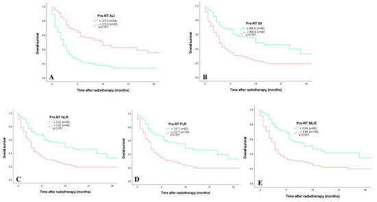
Prognostic Value of Histological Subtypes and Clinical Factors in Non-Endemic Nasopharyngeal Carcinoma: A Retrospective Cohort Study
by Seda Sali, Candan Demiröz Abakay, Mürsel Sali, Hakan Güdücü, Fahri Güven Çakır, Birol Ocak, Ahmet Bilgehan Şahin, Alper Coşkun, Sibel Oyucu Orhan, Arife Ulaş, Adem Deligönül, Türkkan Evrensel and Erdem Çubukçu
Medicina 2025, 61(12), 2207; https://doi.org/10.3390/medicina61122207 - 13 Dec 2025
Viewed by 341
Abstract
Background and Objectives: Nasopharyngeal carcinoma (NPC) displays marked geographic and histopathological heterogeneity, and prognostic determinants in non-endemic regions remain incompletely defined. This study aimed to evaluate the impact of clinicopathological characteristics and treatment modalities on survival outcomes among patients with stage II–IVA [...] Read more.
Background and Objectives: Nasopharyngeal carcinoma (NPC) displays marked geographic and histopathological heterogeneity, and prognostic determinants in non-endemic regions remain incompletely defined. This study aimed to evaluate the impact of clinicopathological characteristics and treatment modalities on survival outcomes among patients with stage II–IVA NPC treated with curative intent at a single tertiary cancer center. Materials and Methods: A retrospective analysis was conducted on 81 consecutive patients with histologically confirmed NPC treated between 2000 and 2022. Demographic, clinical, and treatment parameters were extracted from institutional records. Survival outcomes—including disease-free survival (DFS), locoregional recurrence-free survival (LRFS), distant metastasis-free survival (DMFS), cancer-specific survival (CSS), and overall survival (OS)—were estimated using the Kaplan–Meier method and compared using the log-rank test. Prognostic variables identified in univariate analysis were further assessed by multivariable Cox proportional hazards regression (Cox’s model). Results: The cohort included 59 men (72.8%) and 22 women (27.2%), with a median age of 50.8 years (range, 19–78). Most patients presented with locally advanced disease (T3–T4, 53.1%; N2, 60.5%; stage III–IVA, 87.7%). Non-keratinizing undifferentiated carcinoma (World Health Organization [WHO] type III) was the predominant histology (71.6%), followed by the non-keratinizing differentiated subtype (17.3%). Median DFS and OS were 94.6 and 139.4 months, respectively. According to the univariate analysis, histological subtypes and a family history of cancer were significantly associated with DFS, whereas comorbid systemic disease showed an unexpected association with longer DMFS. The multivariable Cox model identified the histological subtype as an independent predictor of disease recurrence (HR = 2.23, 95% CI: 1.00–4.94; p = 0.049). For OS, both histological subtype (HR = 2.40, 95% CI: 1.10–5.25; p = 0.029) and age at diagnosis (HR = 1.05, 95% CI: 1.02–1.09; p = 0.005) were independent adverse prognostic factors. Conclusions: In this long-term, single-center study from a non-endemic region, histological subtype emerged as the most powerful determinant of prognosis, significantly influencing both DFS and OS. Patients with non-keratinizing undifferentiated (WHO type III) carcinoma demonstrated superior outcomes compared with those with differentiated histology. Additionally, increasing age at diagnosis was independently associated with poorer OS. In contrast, inflammatory and nutritional biomarkers, the Pan-Immune–Inflammation Value (PIV) and the Prognostic Nutritional Index (PNI), showed no prognostic significance. These findings underscore the continued prognostic relevance of histopathologic classification and age and highlight the need for large-scale, standardized studies integrating Epstein–Barr virus (EBV) status and host-related factors in non-endemic NPC populations. Full article
(This article belongs to the Special Issue Advances in Head and Neck Cancer Management)
Show Figures

Figure 1

13 pages, 916 KB  
Article
The Prognostic Implications of the Geriatric Nutritional Risk Index in Patients with Prostate Cancer: A Single-Center Retrospective Cohort Study
by Rong Zhou, Yanqiong Zhou, Xiao Yue, Mei Wang, Yucong Zhang and Chang Liu
Healthcare 2025, 13(24), 3266; https://doi.org/10.3390/healthcare13243266 - 12 Dec 2025
Viewed by 254
Abstract
Background and Aims: Nutritional risk is a significant yet often overlooked factor influencing postoperative outcomes in older patients with prostate cancer. This study aimed to evaluate the impact of the Geriatric Nutritional Risk Index (GNRI) on postoperative complications in older patients undergoing radical [...] Read more.
Background and Aims: Nutritional risk is a significant yet often overlooked factor influencing postoperative outcomes in older patients with prostate cancer. This study aimed to evaluate the impact of the Geriatric Nutritional Risk Index (GNRI) on postoperative complications in older patients undergoing radical prostatectomy. Secondary objectives included examining the association between the GNRI and healthcare resource utilization, specifically the length of hospital stay and hospitalization costs. Methods: This retrospective cohort study included patients aged ≥ 65 years who underwent laparoscopic radical prostatectomy at a single tertiary center between 2022 and 2024. Patients were stratified into a malnutrition group (GNRI ≤ 98) and a normal nutrition group (GNRI > 98). Clinical outcomes were compared using chi-square and t tests. Binary logistic regression was performed to identify independent predictors of complications, hospital stay, and costs. Results: Of the 264 patients included, 34.8% were classified as being at nutritional risk. The malnutrition group had a significantly higher incidence of postoperative complications (OR = 2.859, p = 0.007), longer hospital stays (OR = 4.678, p < 0.001), and greater hospitalization costs (OR = 4.867, p < 0.001). Nutritional risk remained a significant predictor after adjusting for confounders. Conclusions: GNRI-defined nutritional risk is independently associated with increased postoperative complications and higher healthcare resource utilization in older prostate cancer patients. The GNRI may serve as a practical and accessible tool for perioperative risk stratification in this population. Full article
Show Figures

Figure 1

Back to TopTop