Trajectories of Quality of Life among an International Sample of Women during the First Year after the Diagnosis of Early Breast Cancer: A Latent Growth Curve Analysis
Abstract
Simple Summary
Abstract
1. Introduction
2. Materials and Methods
2.1. Participants
2.2. Measures
2.3. Statistical Analyses
3. Results
4. Discussion
4.1. Implications and Future Directions
4.2. Limitations
5. Conclusions
Author Contributions
Funding
Institutional Review Board Statement
Informed Consent Statement
Data Availability Statement
Conflicts of Interest
References
- Sung, H.; Ferlay, J.; Siegel, R.L.; Laversanne, M.; Soerjomataram, I.; Jemal, A.; Bray, F. Global Cancer Statistics 2020: GLOBOCAN Estimates of Incidence and Mortality Worldwide for 36 Cancers in 185 Countries. CA Cancer J. Clin. 2021, 71, 209–249. [Google Scholar] [CrossRef] [PubMed]
- Bonilla, J.M.; Tabanera, M.T.; Mendoza, L.R. Breast cancer in the 21st century: From early detection to new therapies. Radiol. (Engl. Ed.) 2017, 59, 368–379. [Google Scholar] [CrossRef]
- Ramasubbu, S.K.; Pasricha, R.K.; Nath, U.K.; Rawat, V.S.; Das, B. Quality of life and factors affecting it in adult cancer patients undergoing cancer chemotherapy in a tertiary care hospital. Cancer Rep. 2021, 4, e1312. [Google Scholar] [CrossRef]
- Maajani, K.; Jalali, A.; Alipour, S.; Khodadost, M.; Tohidinik, H.R.; Yazdani, K. The global and regional survival rate of women with breast cancer: A systematic review and me-ta-analysis. Clin. Breast Cancer 2019, 19, 165–177. [Google Scholar] [CrossRef]
- Alagizy, H.A.; Soltan, M.R.; Soliman, S.S.; Hegazy, N.; Gohar, S. Anxiety, depression and perceived stress among breast cancer patients: Single institute experience. Middle East Curr. Psychiatry 2020, 27, 1–10. [Google Scholar] [CrossRef]
- Ng, C.G.; Mohamed, S.; Kaur, K.; Sulaiman, A.H.; Zainal, N.Z.; Taib, N.A. MyBCC study group Perceived distress and its association with depression and anxiety in breast cancer patients. PLoS ONE 2017, 12, e0172975. [Google Scholar] [CrossRef] [PubMed]
- Carreira, H.; Williams, R.; Dempsey, H.; Stanway, S.; Smeeth, L.; Bhaskaran, K. Quality of life and mental health in breast cancer survivors compared with non-cancer controls: A study of patient-reported outcomes in the United Kingdom. J. Cancer Surviv. 2021, 15, 564–575. [Google Scholar] [CrossRef]
- Aziz, N.M. Cancer survivorship research: State of knowledge, challenges and opportunities. Acta Oncol. 2007, 46, 417–432. [Google Scholar] [CrossRef] [PubMed]
- Roziner, I.; Perry, S.; Dahabre, R.; Bentley, G.; Kelada, L.; Poikonen-Saksela, P.; Mazzocco, K.; Sousa, B.; Karademas, E.C.; Simos, P.; et al. Psychological and somatic symptoms among breast cancer patients in four European countries: A cross-lagged panel model. Stress Health 2022. [Google Scholar] [CrossRef]
- Mols, F.; Vingerhoets, A.J.; Coebergh, J.W.; van de Poll-Franse, L.V. Quality of life among long-term breast cancer survivors: A systematic review. Eur. J. Cancer 2005, 41, 2613–2619. [Google Scholar] [CrossRef] [PubMed]
- Reich, M.; Lesur, A.; Perdrizet-Chevallier, C. Depression, quality of life and breast cancer: A review of the literature. Breast Cancer Res. Treat. 2008, 110, 9–17. [Google Scholar] [CrossRef] [PubMed]
- Chu, W.-O.; Dialla, P.O.; Roignot, P.; Bone-Lepinoy, M.-C.; Poillot, M.-L.; Coutant, C.; Arveux, P.; Dabakuyo-Yonli, T.S. Determinants of quality of life among long-term breast cancer survivors. Qual. Life Res. 2016, 25, 1981–1990. [Google Scholar] [CrossRef]
- Lopes-Conceição, L.; Brandão, M.; Araújo, N.; Severo, M.; Dias, T.; Peleteiro, B.; Fontes, F.; Pereira, S.; Lunet, N. Quality of life trajectories during the first three years after diagnosis of breast cancer: The NEON-BC study. J. Public Health 2021, 43, 521–531. [Google Scholar] [CrossRef] [PubMed]
- Durá-Ferrandis, E.; Mandelblatt, J.S.; Clapp, J.; Luta, G.; Faul, L.; Kimmick, G.; Cohen, H.J.; Yung, R.L.; Hurria, A. Personality, coping, and social support as predictors of long-term quality-of-life trajectories in older breast cancer survivors: CALGB protocol 369901 (A lliance). Psycho-Oncology 2017, 26, 1914–1921. [Google Scholar] [CrossRef] [PubMed]
- Engel, J.; Kerr, J.; Schlesinger-Raab, A.; Eckel, R.; Sauer, H.; Hölzel, D. Predictors of Quality of Life of Breast Cancer Patients. Acta Oncol. 2003, 42, 710–718. [Google Scholar] [CrossRef] [PubMed]
- Lam, W.W.T.; Soong, I.; Yau, T.K.; Wong, K.Y.; Tsang, J.; Yeo, W.; Suen, J.; Ho, W.M.; Sze, W.K.; Ng, A.W.Y.; et al. The evolution of psychological distress trajectories in women diagnosed with advanced breast cancer: A lon-gitudinal study. Psycho-Oncology 2013, 22, 2831–2839. [Google Scholar] [CrossRef]
- Goyal, N.G.; Levine, B.J.; Van Zee, K.J.; Naftalis, E.; Avis, N.E. Trajectories of quality of life following breast cancer diagnosis. Breast Cancer Res. Treat. 2018, 169, 163–173. [Google Scholar] [CrossRef]
- Engel, J.; Kerr, J.; Schlesinger-Raab, A.; Sauer, H.; Holzel, D. Quality of Life Following Breast-Conserving Therapy or Mastectomy: Results of a 5-Year Prospective Study. Breast J. 2004, 10, 223–231. [Google Scholar] [CrossRef]
- Avis, N.E.; Levine, B.; Goyal, N.; Crawford, S.L.; Hess, R.; Colvin, A.; Bromberger, J.T.; Greendale, G.A. Health-related quality of life among breast cancer survivors and noncancer controls over 10 years: Pink SWAN. Cancer 2020, 126, 2296–2304. [Google Scholar] [CrossRef]
- Park, J.-H.; Jung, Y.S.; Kim, J.Y.; Jo, Y.; Bae, S.H. Trajectories of health-related quality of life in breast cancer patients. Support. Care Cancer 2020, 28, 3381–3389. [Google Scholar] [CrossRef]
- Nagin, D.S. Group-Based Trajectory Modeling: An Overview. Ann. Nutr. Metab. 2014, 65, 205–210. [Google Scholar] [CrossRef]
- Sprangers, M.A.; Schwartz, C.E. Integrating response shift into health-related quality of life research: A theoretical model. Soc. Sci. Med. 1999, 48, 1507–1515. [Google Scholar] [CrossRef] [PubMed]
- Lazarus, R.S.; Folkman, S. Stress, Appraisal, and Coping; Springer Publishing Company: Berlin/Heidelberg, Germany, 1984. [Google Scholar]
- Pettini, G.; Sanchini, V.; Pat-Horenczyk, R.; Sousa, B.; Masiero, M.; Marzorati, C.; Galimberti, V.E.; Munzone, E.; Mattson, J.; Vehmanen, L.; et al. Predicting Effective Adaptation to Breast Cancer to Help Women BOUNCE Back: Protocol for a Multicenter Clinical Pilot Study. JMIR Res. Protoc. 2022, 11, e34564. [Google Scholar] [CrossRef] [PubMed]
- Scott, N.W.; Fayers, P.; Aaronson, N.K.; Bottomley, A.; de Graeff, A.; Groenvold, M.; Gundy, C.; Koller, M.; Petersen, M.A.; Sprangers, M.A.G.; et al. EORTC QLQ-C30 Reference Values Manual; EORTC Quality of Life Group: Brussels, Belgium, 2008. [Google Scholar]
- Zimmerman, M.; Ruggero, C.J.; Chelminski, I.; Young, D.; Posternak, M.A.; Friedman, M.; Boerescu, D.; Attiullah, N. Developing Brief Scales for Use in Clinical Practice: The Reliability and Validity of Single-Item Self-Report Measures of Depression Symptom Severity, Psychosocial Impairment Due to Depression, and Quality of Life. J. Clin. Psychiatry 2006, 67, 1536–1541. [Google Scholar] [CrossRef]
- de Boer, A.G.; van Lanschot, J.J.B.; Stalmeier, P.F.M.; van Sandick, J.W.; Hulscher, J.B.F.; de Haes, J.C.J.M.; Sprangers, M.A.G. Is a single-item visual analogue scale as valid, reliable and responsive as multi-item scales in measuring quality of life? Qual. Life Res. 2004, 13, 311–320. [Google Scholar] [CrossRef] [PubMed]
- Locke, D.E.; Decker, P.A.; Sloan, J.A.; Brown, P.D.; Malec, J.F.; Clark, M.M.; Rummans, T.A.; Ballman, K.V.; Schaefer, P.L.; Buckner, J.C. Validation of Single-Item Linear Analog Scale Assessment of Quality of Life in Neuro-Oncology Patients. J. Pain Symptom Manag. 2007, 34, 628–638. [Google Scholar] [CrossRef]
- Scheier, M.F.; Carver, C.S.; Bridges, M.W. Distinguishing optimism from neuroticism (and trait anxiety, self-mastery, and self-esteem): A reevaluation of the Life Orientation Test. J. Personal. Soc. Psychol. 1994, 67, 1063. [Google Scholar] [CrossRef]
- Antonovsky, A. The structure and properties of the sense of coherence scale. Soc. Sci. Med. 1993, 36, 725–733. [Google Scholar] [CrossRef]
- Connor, K.M.; Davidson, J.R.T. Development of a new resilience scale: The Connor-Davidson Resilience Scale (CD-RISC). Depress. Anxiety 2003, 18, 76–82. [Google Scholar] [CrossRef]
- Carlson, L.E.; Brown, K.W. Validation of the Mindful Attention Awareness Scale in a cancer population. J. Psychosom. Res. 2005, 58, 29–33. [Google Scholar] [CrossRef]
- Bonanno, G.A.; Pat-Horenczyk, R.; Noll, J. Coping flexibility and trauma: The perceived ability to cope with trauma (PACT) scale. Psychol. Trauma Theory Res. Pr. Policy 2011, 3, 117–129. [Google Scholar] [CrossRef]
- Heitzmann, C.A.; Merluzzi, T.V.; Jean-Pierre, P.; Roscoe, J.A.; Kirsh, K.L.; Passik, S.D. Assessing self-efficacy for coping with cancer: Development and psychometric analysis of the brief version of the Cancer Behavior Inventory (CBI-B). Psycho-Oncology 2011, 20, 302–312. [Google Scholar] [CrossRef]
- Watson, D.; Clark, L.A.; Tellegen, A. Development and validation of brief measures of positive and negative affect: The PANAS scales. J. Personal. Soc. Psychol. 1988, 54, 1063. [Google Scholar] [CrossRef] [PubMed]
- Zigmond, A.S.; Snaith, R.P. The hospital anxiety and depression scale. Acta Psychiatr. Scand. 1983, 67, 361–370. [Google Scholar] [CrossRef]
- Garnefski, N.; Kraaij, V. The Cognitive Emotion Regulation Questionnaire: Psychometric features and prospective rela-tionships with depression and anxiety in adults. Eur. J. Psychol. Assess. 2007, 23, 141. [Google Scholar] [CrossRef]
- Muthén, B.; Muthén, L. Mplus; Chapman and Hall/CRC: Boca Raton, FL, USA, 2017. [Google Scholar]
- Nylund, K.L.; Asparouhov, T.; Muthén, B.O. Deciding on the Number of Classes in Latent Class Analysis and Growth Mixture Modeling: A Monte Carlo Simulation Study. Struct. Equ. Model. A Multidiscip. J. 2007, 14, 535–569. [Google Scholar] [CrossRef]
- Fischer, M.J.; Inoue, K.; Matsuda, A.; Kroep, J.R.; Nagai, S.; Tozuka, K.; Momiyama, M.; Weijl, N.I.; Langemeijer-Bosman, D.; Ramai, S.R.S.; et al. Cross-cultural comparison of breast cancer patients’ Quality of Life in the Netherlands and Japan. Breast Cancer Res. Treat. 2017, 166, 459–471. [Google Scholar] [CrossRef]
- Shim, E.-J.; Mehnert, A.; Koyama, A.; Cho, S.-J.; Inui, H.; Paik, N.-S.; Koch, U. Health-related quality of life in breast cancer: A cross-cultural survey of German, Japanese, and South Korean patients. Breast Cancer Res. Treat. 2006, 99, 341–350. [Google Scholar] [CrossRef]
- Brandão, T.; Schulz, M.S.; Matos, P.M. Psychological adjustment after breast cancer: A systematic review of longitudinal studies. Psycho-Oncology 2017, 26, 917–926. [Google Scholar] [CrossRef]
- Kroenke, C.H.; Kwan, M.L.; Neugut, A.I.; Ergas, I.J.; Wright, J.D.; Caan, B.J.; Hershman, D.; Kushi, L.H. Social networks, social support mechanisms, and quality of life after breast cancer diagnosis. Breast Cancer Res. Treat. 2013, 139, 515–527. [Google Scholar] [CrossRef] [PubMed]
- Mokhatri-Hesari, P.; Montazeri, A. Health-related quality of life in breast cancer patients: Review of reviews from 2008 to 2018. Health Qual. Life Outcomes 2020, 18, 1–25. [Google Scholar] [CrossRef] [PubMed]
- Teo, I.; Krishnan, A.; Lee, G.L. Psychosocial interventions for advanced cancer patients: A systematic review. Psycho-Oncology 2019, 28, 1394–1407. [Google Scholar] [CrossRef] [PubMed]

| Characteristic | Values | N (%) | Mean (SD) |
|---|---|---|---|
| Country of data collection | Finland | 225 (32.2%) | |
| Israel | 138 (19.7%) | ||
| Italy | 189 (27.1%) | ||
| Portugal | 147 (21.0%) | ||
| Age | Years | 54.92 (8.22) | |
| Family status | Married/living with partner (vs. single, divorced, widowed) | 517 (74.0%) | |
| Number of children | Range 0 to 12 | 1.95 (1.44) | |
| Education level | Primary or secondary school | 58 (8.3%) | |
| High school or vocational diploma | 235 (33.6%) | ||
| B.A. | 237 (33.9%) | ||
| M.A. or higher | 169 (24.2%) | ||
| Employment | Full time, retired, self-employed (vs. unemployed, housewife, part-time) | 563 (81.1%) | |
| Monthly Income (Euro) | 1500 or lower | 240 (36.5%) | |
| 1501–2500 | 286 (43.5%) | ||
| 2501 or higher | 131 (20.0%) | ||
| Amount of exercise | Minutes per week | 148.86 (157.67) | |
| Adherence to diet | No diet | 366 (52.8%) | |
| Mediterranean | 130 (18.8%) | ||
| Other | 197 (28.4%) | ||
| Smoking status | Never smoked | 464 (66.9%) | |
| Smoked in the past | 131 (18.9%) | ||
| Current smoker | 99 (14.2%) | ||
| Alcohol consumption | Drinks per week | 1.37 (2.41) | |
| HADS Depression | Range 0–3 | 0.58 (0.51) | |
| HADS Anxiety | Range 0–3 | 0.98 (0.58) |
| Characteristic | Values | N (%) | Mean (SD) |
|---|---|---|---|
| Chronic diseases | Present (vs. absent) | 233 (34.9%) | |
| BMI | 25.72 (4.75) | ||
| Menopausal status | Pre- or peri- (vs. post-menopausal) | 291 (42.2%) | |
| Family history of breast cancer | Present (vs. absent) | 243 (34.8%) | |
| Leukocytes | 103/mcl | 6.39 (1.92) | |
| Neutrophils | 103/mcl | 3.76 (1.65) | |
| Creatinine | μmol/L | 66.95 (10.22) | |
| Bilirubin | μmol/L | 9.06 (4.80) | |
| Cancer stage | Stage I | 333 (47.6%) | |
| Stage II | 289 (41.3%) | ||
| Stage III | 77 (11.1%) | ||
| Cancer grade | Grade I | 130 (18.6%) | |
| Grade II | 362 (51.8%) | ||
| Grade III | 207 (29.6%) | ||
| Luminal A | 529 (75.7%) | ||
| Luminal B | 77 (11.0%) | ||
| Triple Negative | 48 (6.9%) | ||
| HER2 Enriched | 26 (3.7%) | ||
| Progesterone-receptor positivity | 555 (79.4%) | ||
| Estrogen-receptor positivity | 623 (89.1%) | ||
| HER2 positivity | 121 (17.3%) | ||
| Ki67 levels (≥25) | 305 (43.6%) | ||
| Type of treatment | Endocrine therapy | 568 (81.3%) | |
| Radiotherapy | 523 (74.8%) | ||
| Anti HER2 therapy Chemotherapy Lumpectomy | 108 (15.7%) 342 (49.5%) 497 (71.4%) | ||
| Mastectomy | 193 (27.7%) |
| Characteristic | Scale Range | Mean (SD) |
|---|---|---|
| Dispositional optimism | 0–4 | 2.78 (0.75) |
| Dispositional pessimism | 0–4 | 1.34 (0.88) |
| Sense of Coherence Scale | 1–7 | 5.17 (0.84) |
| Connor Davidson Resilience Scale | 0–4 | 2.78 (0.70) |
| Mindful Attention Awareness Scale | 1–6 | 4.39 (0.72) |
| Perceived Ability to Cope with Trauma Scale—trauma focus | 1–7 | 5.15 (1.02) |
| Perceived Ability to Cope with Trauma Scale—forward focus | 1–7 | 5.26 (0.86) |
| Cancer Behavior Inventory | 1–9 | 7.15 (1.19) |
| Positive Affectivity Schedule | 1–5 | 3.53 (0.73) |
| Negative Affectivity Schedule | 1–5 | 2.00 (0.82) |
| HADS Depression | 0–3 | 0.58 (0.51) |
| HADS Anxiety | 0–3 | 0.98 (0.58) |
| Cognitive Emotion Regulation Questionnaire—positive | 1–5 | 3.40 (0.70) |
| Cognitive Emotion Regulation Questionnaire—negative | 1–5 | 2.14 (0.55) |
| No. of Classes | Loglikelihood | BIC | p BLRT | Entropy | Proportion of the Smallest Class |
|---|---|---|---|---|---|
| 1 | −4724.75 | 9501.89 | |||
| 2 | −4385.88 | 8850.36 | <0.001 | 0.74 | 0.30 |
| 3 | −4278.25 | 8661.30 | 0.009 | 0.70 | 0.12 |
| 4 | −4248.41 | 8627.81 | 0.021 | 0.65 | 0.09 |
| 5 | −4211.61 | 8580.40 | 0.005 | 0.72 | 0.02 |
| 6 | −4195.24 | 8484.96 | 0.449 | 0.72 | 0.02 |
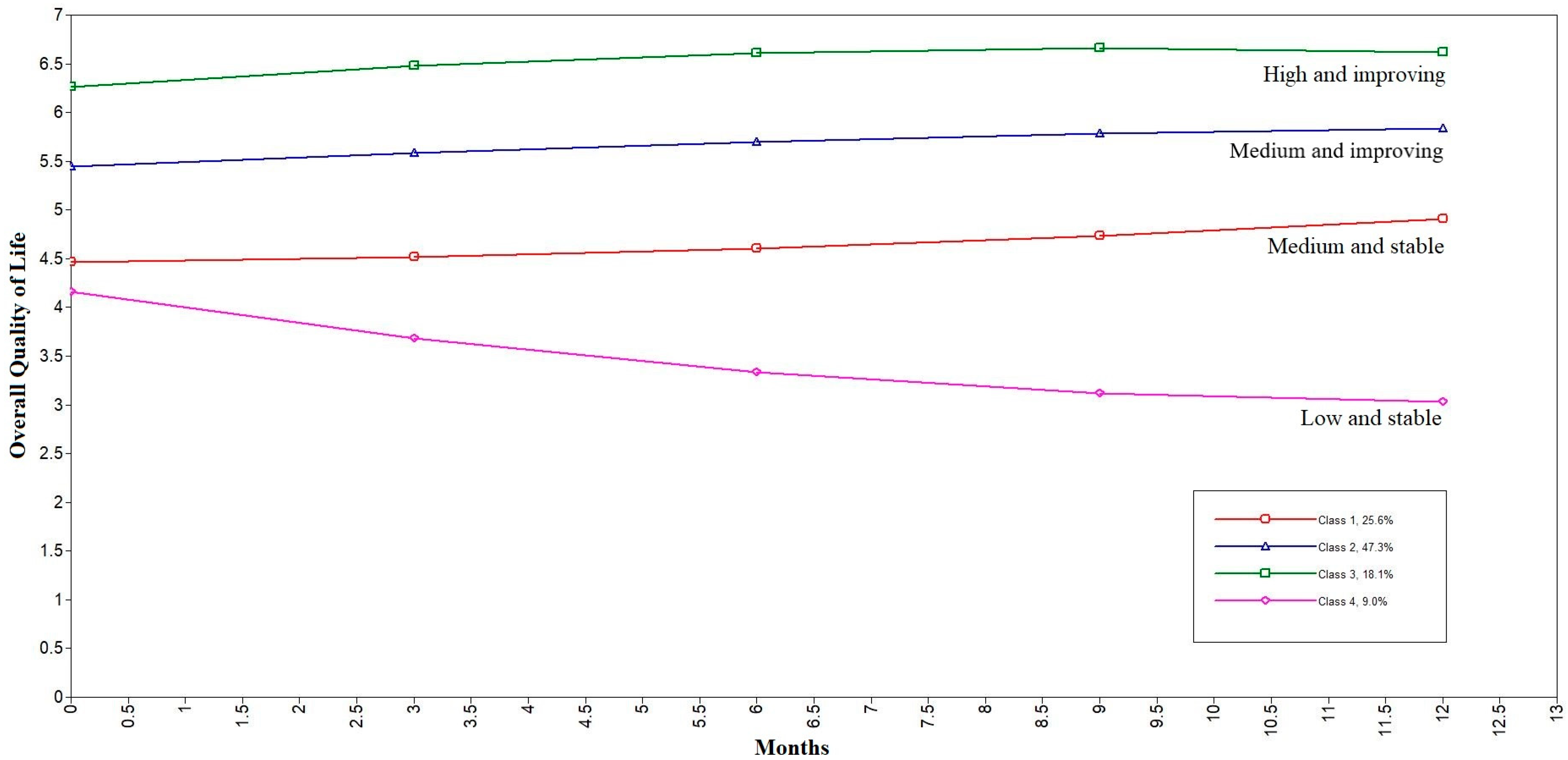
| Class | Intercept | Linear Slope | Quadratic Slope | Proportion in Class |
|---|---|---|---|---|
| Class 1 | 4.47 *** (0.21) | 0.01 (0.05) | 0.002 (0.004) | 0.256 |
| Class 2 | 5.45 *** (0.09) | 0.05 * (0.03) | −0.002 (0.002) | 0.473 |
| Class 3 | 6.26 *** (0.08) | 0.09 *** (0.02) | −0.005 ** (0.002) | 0.181 |
| Class 4 | 4.16 *** (0.28) | −0.20 (0.11) | 0.007 (0.008) | 0.090 |
Disclaimer/Publisher’s Note: The statements, opinions and data contained in all publications are solely those of the individual author(s) and contributor(s) and not of MDPI and/or the editor(s). MDPI and/or the editor(s) disclaim responsibility for any injury to people or property resulting from any ideas, methods, instructions or products referred to in the content. |
© 2023 by the authors. Licensee MDPI, Basel, Switzerland. This article is an open access article distributed under the terms and conditions of the Creative Commons Attribution (CC BY) license (https://creativecommons.org/licenses/by/4.0/).
Share and Cite
Pat-Horenczyk, R.; Kelada, L.; Kolokotroni, E.; Stamatakos, G.; Dahabre, R.; Bentley, G.; Perry, S.; Karademas, E.C.; Simos, P.; Poikonen-Saksela, P.; et al. Trajectories of Quality of Life among an International Sample of Women during the First Year after the Diagnosis of Early Breast Cancer: A Latent Growth Curve Analysis. Cancers 2023, 15, 1961. https://doi.org/10.3390/cancers15071961
Pat-Horenczyk R, Kelada L, Kolokotroni E, Stamatakos G, Dahabre R, Bentley G, Perry S, Karademas EC, Simos P, Poikonen-Saksela P, et al. Trajectories of Quality of Life among an International Sample of Women during the First Year after the Diagnosis of Early Breast Cancer: A Latent Growth Curve Analysis. Cancers. 2023; 15(7):1961. https://doi.org/10.3390/cancers15071961
Chicago/Turabian StylePat-Horenczyk, Ruth, Lauren Kelada, Eleni Kolokotroni, Georgios Stamatakos, Rawan Dahabre, Gabriella Bentley, Shlomit Perry, Evangelos C. Karademas, Panagiotis Simos, Paula Poikonen-Saksela, and et al. 2023. "Trajectories of Quality of Life among an International Sample of Women during the First Year after the Diagnosis of Early Breast Cancer: A Latent Growth Curve Analysis" Cancers 15, no. 7: 1961. https://doi.org/10.3390/cancers15071961
APA StylePat-Horenczyk, R., Kelada, L., Kolokotroni, E., Stamatakos, G., Dahabre, R., Bentley, G., Perry, S., Karademas, E. C., Simos, P., Poikonen-Saksela, P., Mazzocco, K., Sousa, B., Oliveira-Maia, A. J., & Roziner, I., on behalf of the BOUNCE Consortium. (2023). Trajectories of Quality of Life among an International Sample of Women during the First Year after the Diagnosis of Early Breast Cancer: A Latent Growth Curve Analysis. Cancers, 15(7), 1961. https://doi.org/10.3390/cancers15071961

