Comparison of Four Validated Nomograms (Memorial Sloan Kettering Cancer Center, Briganti 2012, 2017, and 2019) Predicting Lymph Node Invasion in Patients with High-Risk Prostate Cancer Candidates for Radical Prostatectomy and Extended Pelvic Lymph Node Dissection: Clinical Experience and Review of the Literature
Abstract
Simple Summary
Abstract
1. Introduction
2. Materials and Methods
2.1. Nomogram Evaluation
2.2. Surgical Procedure and Pathologic Evaluation
2.3. Statistical Analysis
3. Results
3.1. Comparative Analysis between pN0 and pN+ Cases
3.2. Sensitivity, Specificity, PPV, NPV, and AUC Results in Predicting pN Status
3.3. Regression Analysis: Predictors for pN+ Result at Final Pathology
4. Discussion
5. Conclusions
Author Contributions
Funding
Institutional Review Board Statement
Informed Consent Statement
Data Availability Statement
Conflicts of Interest
Abbreviations
References
- Gupta, P.; Mohammad, T.; Dahiya, R.; Roy, S.; Noman, O.M.A.; Alajmi, M.F.; Hussain, A.; Hassan, M.I. Evaluation of binding and inhibition mechanism of dietary phytochemicals with sphingosine kinase 1: Towards targeted anticancer therapy. Sci. Rep. 2019, 9, 18727. [Google Scholar] [CrossRef] [PubMed]
- Mottet, N.; van den Bergh, R.C.N. Prostate Cancer: European Association of Urology (EAU) Guidelines 2022. Available online: https://uroweb.org/guideline/prostate-cancer/ (accessed on 2 March 2023).
- Briganti, A.; Larcher, A.; Abdollah, F.; Capitanio, U.; Gallina, A.; Suardi, N.; Bianchi, M.; Sun, M.; Freschi, M.; Salonia, A.; et al. Updated nomogram predicting lymph node invasion in patients with prostate cancer undergoing extended pelvic lymph node dissection: The essential importance of percentage of positive cores. Eur. Urol. 2012, 61, 480–487. [Google Scholar] [CrossRef] [PubMed]
- Gandaglia, G.; Fossati, N.; Zaffuto, E.; Bandini, M.; Dell’Oglio, P.; Bravi, C.A.; Fallara, G.; Pellegrino, F.; Nocera, L.; Karakiewicz, P.I.; et al. Development and Internal Validation of a Novel Model to Identify the Candidates for Extended Pelvic Lymph Node Dissection in Prostate Cancer. Eur. Urol. 2017, 72, 632–640. [Google Scholar] [CrossRef] [PubMed]
- Fossati, N.; Willemse, P.M.; Van den Broeck, T.; van den Bergh, R.C.N.; Yuan, C.Y.; Briers, E.; Bellmunt, J.; Bolla, M.; Cornford, P.; De Santis, M.; et al. The Benefits and Harms of Different Extents of Lymph Node Dissection During Radical Prostatectomy for Prostate Cancer: A Systematic Review. Eur. Urol. 2017, 72, 84–109. [Google Scholar] [CrossRef]
- Lestingi, J.F.P.; Guglielmetti, G.B.; Trinh, Q.D.; Coelho, R.F.; Pontes, J., Jr.; Bastos, D.A.; Cordeiro, M.D.; Sarkis, A.S.; Faraj, S.F.; Mitre, A.I.; et al. Extended Versus Limited Pelvic Lymph Node Dissection During Radical Prostatectomy for Intermediate- and High-risk Prostate Cancer: Early Oncological Outcomes from a Randomized Phase 3 Trial. Eur. Urol. 2021, 79, 595–604. [Google Scholar] [CrossRef]
- Gandaglia, G.; Ploussard, G.; Valerio, M.; Mattei, A.; Fiori, C.; Fossati, N.; Stabile, A.; Beauval, J.B.; Malavaud, B.; Roumiguié, M.; et al. A Novel Nomogram to Identify Candidates for Extended Pelvic Lymph Node Dissection among Patients with Clinically Localized Prostate Cancer Diagnosed with Magnetic Resonance Imaging-targeted and Systematic Biopsies. Eur. Urol. 2019, 75, 506–514. [Google Scholar] [CrossRef]
- Milonas, D.; Venclovas, Z.; Muilwijk, T.; Jievaltas, M.; Joniau, S. External validation of Memorial Sloan Kettering Cancer Center nomogram and prediction of optimal candidate for lymph node dissection in clinically localized prostate cancer. Cent. Eur. J. Urol. 2020, 73, 19–25. [Google Scholar] [CrossRef]
- Hövels, A.M.; Heesakkers, R.A.; Adang, E.M.; Jager, G.J.; Strum, S.; Hoogeveen, Y.L.; Severens, J.L.; Barentsz, J.O. The diagnostic accuracy of CT and MRI in the staging of pelvic lymph nodes in patients with prostate cancer: A meta-analysis. Clin. Radiol. 2008, 63, 387–395. [Google Scholar] [CrossRef]
- Van den Bergh, L.; Lerut, E.; Haustermans, K.; Deroose, C.M.; Oyen, R.; Isebaert, S.; Budiharto, T.; Ameye, F.; Mottaghy, F.M.; Bogaerts, K.; et al. Final analysis of a prospective trial on functional imaging for nodal staging in patients with prostate cancer at high risk for lymph node involvement. Urol. Oncol. 2015, 33, 109.e23–109.e31. [Google Scholar] [CrossRef]
- Hinev, A.I.; Anakievski, D.; Kolev, N.H.; Hadjiev, V.I. Validation of nomograms predicting lymph node involvement in patients with prostate cancer undergoing extended pelvic lymph node dissection. Urol. Int. 2014, 92, 300–305. [Google Scholar] [CrossRef]
- Bandini, M.; Marchioni, M.; Pompe, R.S.; Tian, Z.; Gandaglia, G.; Fossati, N.; Abdollah, F.; Graefen, M.; Montorsi, F.; Saad, F.; et al. First North American validation and head-to-head comparison of four preoperative nomograms for prediction of lymph node invasion before radical prostatectomy. BJU Int. 2018, 121, 592–599. [Google Scholar] [CrossRef] [PubMed]
- Hueting, T.A.; Cornel, E.B.; Somford, D.M.; Jansen, H.; van Basten, J.A.; Pleijhuis, R.G.; Korthorst, R.A.; van der Palen, J.A.M.; Koffijberg, H. External Validation of Models Predicting the Probability of Lymph Node Involvement in Prostate Cancer Patients. Eur. Urol. Oncol. 2018, 1, 411–417. [Google Scholar] [CrossRef] [PubMed]
- Diamand, R.; Oderda, M.; Albisinni, S.; Fourcade, A.; Fournier, G.; Benamran, D.; Iselin, C.; Fiard, G.; Descotes, J.L.; Assenmacher, G.; et al. External validation of the Briganti nomogram predicting lymph node invasion in patients with intermediate and high-risk prostate cancer diagnosed with magnetic resonance imaging-targeted and systematic biopsies: A European multicenter study. Urol. Oncol. 2020, 38, 847.e9–847.e16. [Google Scholar] [CrossRef] [PubMed]
- Oderda, M.; Diamand, R.; Albisinni, S.; Calleris, G.; Carbone, A.; Falcone, M.; Fiard, G.; Gandaglia, G.; Marquis, A.; Marra, G.; et al. Indications for and complications of pelvic lymph node dissection in prostate cancer: Accuracy of available nomograms for the prediction of lymph node invasion. BJU Int. 2021, 127, 318–325, Erratum in BJU Int. 2022, 129, 777. [Google Scholar] [CrossRef]
- Meijer, D.; van Leeuwen, P.J.; Roberts, M.J.; Siriwardana, A.R.; Morton, A.; Yaxley, J.W.; Samaratunga, H.; Emmett, L.; van de Ven, P.M.; van der Poel, H.G.; et al. External Validation and Addition of Prostate-specific Membrane Antigen Positron Emission Tomography to the Most Frequently Used Nomograms for the Prediction of Pelvic Lymph-node Metastases: An International Multicenter Study. Eur. Urol. 2021, 80, 234–242. [Google Scholar] [CrossRef]
- Venclovas, Z.; Muilwijk, T.; Matjosaitis, A.J.; Jievaltas, M.; Joniau, S.; Milonas, D. Head-to-Head Comparison of Two Nomograms Predicting Probability of Lymph Node Invasion in Prostate Cancer and the Therapeutic Impact of Higher Nomogram Threshold. J. Clin. Med. 2021, 10, 999. [Google Scholar] [CrossRef]
- Gandaglia, G.; Martini, A.; Ploussard, G.; Fossati, N.; Stabile, A.; De Visschere, P.; Borgmann, H.; Heidegger, I.; Steinkohl, F.; Kretschmer, A.; et al. EAU-YAU Prostate Cancer Working Group. External Validation of the 2019 Briganti Nomogram for the Identification of Prostate Cancer Patients Who Should Be Considered for an Extended Pelvic Lymph Node Dissection. Eur. Urol. 2020, 78, 138–142. [Google Scholar] [CrossRef]
- Fukagawa, E.; Yamamoto, S.; Ohde, S.; Yoshitomi, K.K.; Hamada, K.; Yoneoka, Y.; Fujiwara, M.; Fujiwara, R.; Oguchi, T.; Komai, Y.; et al. External validation of the Briganti 2019 nomogram to identify candidates for extended pelvic lymph node dissection among patients with high-risk clinically localized prostate cancer. Int. J. Clin. Oncol. 2021, 26, 1736–1744. [Google Scholar] [CrossRef]
- Frego, N.; Paciotti, M.; Buffi, N.M.; Maffei, D.; Contieri, R.; Avolio, P.P.; Fasulo, V.; Uleri, A.; Lazzeri, M.; Hurle, R.; et al. External Validation and Comparison of Two Nomograms Predicting the Probability of Lymph Node Involvement in Patients subjected to Robot-Assisted Radical Prostatectomy and Concomitant Lymph Node Dissection: A Single Tertiary Center Experience in the MRI-Era. Front. Surg. 2022, 9, 829515. [Google Scholar] [CrossRef]
- Nason, G.J.; O’Connor, E.M.; MacMahon, D.; Moss, B.; Considine, S.W.; Cahill, A.; O’Rourke, C.; O’Brien, F.M. Comparison of nomograms predicting lymph node invasion in patients undergoing radical prostatectomy for prostate cancer. Ir. J. Med. Sci. 2018, 187, 33–37. [Google Scholar] [CrossRef]
- Mattei, A.; Di Pierro, G.B.; Grande, P.; Beutler, J.; Danuser, H. Standardized and simplified extended pelvic lymph node dissection during robot-assisted radical prostatectomy: The monoblock technique. Urology 2013, 81, 446–450. [Google Scholar] [CrossRef] [PubMed]
- Tay, K.J.; Gupta, R.T.; Brown, A.F.; Silverman, R.K.; Polascik, T.J. Defining the Incremental Utility of Prostate Multiparametric Magnetic Resonance Imaging at Standard and Specialized Read in Predicting Extracapsular Extension of Prostate Cancer. Eur. Urol. 2016, 70, 211–213. [Google Scholar] [CrossRef] [PubMed]
- Budiharto, T.; Joniau, S.; Lerut, E.; Van den Bergh, L.; Mottaghy, F.; Deroose, C.M.; Oyen, R.; Ameye, F.; Bogaerts, K.; Haustermans, K.; et al. Prospective evaluation of 11C-choline positron emission tomography/computed tomography and diffusion-weighted magnetic resonance imaging for the nodal staging of prostate cancer with a high risk of lymph node metastases. Eur. Urol. 2011, 60, 125–130. [Google Scholar] [CrossRef] [PubMed]
- Lucciola, S.; Pisciotti, M.L.; Frisenda, M.; Magliocca, F.; Gentilucci, A.; Del Giudice, F.; Canale, V.; Scarrone, E.; Busetto, G.M.; Carrieri, G.; et al. Predictive role of node-rads score in patients with prostate cancer candidates for radical prostatectomy with extended lymph node dissection: Comparative analysis with validated nomograms. Prostate Cancer Prostatic Dis. 2022. epub ahead of print. [Google Scholar] [CrossRef] [PubMed]
- Hofman, M.S.; Lawrentschuk, N.; Francis, R.J.; Tang, C.; Vela, I.; Thomas, P.; Rutherford, N.; Martin, J.M.; Frydenberg, M.; Shakher, R.; et al. Prostate-specific membrane antigen PET-CT in patients with high-risk prostate cancer before curative-intent surgery or radiotherapy (proPSMA): A prospective, randomised, multicentre study. Lancet 2020, 395, 1208–1216. [Google Scholar] [CrossRef] [PubMed]
- Franklin, A.; Yaxley, W.J.; Raveenthiran, S.; Coughlin, G.; Gianduzzo, T.; Kua, B.; McEwan, L.; Wong, D.; Delahunt, B.; Egevad, L.; et al. Histological comparison between predictive value of preoperative 3-T multiparametric MRI and 68 Ga-PSMA PET/CT scan for pathological outcomes at radical prostatectomy and pelvic lymph node dissection for prostate cancer. BJU Int. 2021, 127, 71–79. [Google Scholar] [CrossRef]
- Sciarra, A.; Voria, G.; Monti, S.; Mazzone, L.; Mariotti, G.; Pozza, M.; D’Eramo, G.; Di Silverio, F. Clinical understaging in patients with prostate adenocarcinoma submitted to radical prostatectomy: Predictive value of serum chromogranin A. Prostate 2004, 58, 421–428. [Google Scholar] [CrossRef]
- Cimino, S.; Reale, G.; Castelli, T.; Favilla, V.; Giardina, R.; Russo, G.I.; Privitera, S.; Morgia, G. Comparison between Briganti, Partin and MSKCC tools in predicting positive lymph nodes in prostate cancer: A systematic review and meta-analysis. Scand. J. Urol. 2017, 51, 345–350. [Google Scholar] [CrossRef]


| Number of cases | 150 |
| Age (years) | 64.7 ± 5.35; 66: (49–71) |
| BMI | 25.4 ± 3.3; 26: (20.9–37.8) |
| Preoperative total PSA (ng/mL) | 17.0 ± 12.3; 14.0: (2.4–66.0) |
| PSAD | 0.28 ± 0.19; 0.20: (0.03–0.48) |
| Prostate volume (cc) | 47.1 ± 20.1; 39.5: (20.0–89.0) |
| mMR PIRADS score total cases PIRADS 2 PIRADS 3 PIRADS 4 PIRADS 5 | 3 (2.0%) 14 (9.5%) 71 (47.5%) 62 (41.0%) |
| Prostate Tumor size (mm) at mMR | 13.5 ± 5.1; 12.5: (5.4–31.1) |
| Clinical T staging T1c T2 T3a T3b | 15 (10.1%) 107 (71.3%) 16 (10.6%) 12 (8.0%) |
| Clinical N staging N0 N1 | 126 (84.0%) 24 (16.0%) |
| Biopsy outcomes % Positive samples PC % Positive clinically significant PC Max % PC tissue per core | 63.7 ± 27.1; 59.8: (9.0–100.0) 56.7 ± 30.5; 52.0: (10.0–100.0) 60.1 ± 28.2; 51.0: (8.0–100.0) |
| ISUP grading at biopsy 1 2 3 4 5 | 5 (3.3%) 13 (8.7%) 47 (31.7%) 58 (38.0%) 27 (18.3%) |
| Nomograms results (% estimated risk for N+) MSKCC Briganti 2012 Briganti 2017 Briganti 2019 | 33.5 ± 19.7; 31.0: (5.0–84.0) 26.1 ± 19.7; 19.6: (6.0–85.0) 43.3 ± 25.4; 41.0: (5.0–95.0) 24.9 ± 20.0; 19.0: (5.0–84.0) |
| Percentage of patients with estimated risk for N+ at nomogram over the cut-off MSKCC (>7%) Briganti 2012 (>5%) Briganti 2017 (>7%) Briganti 2019 (>7%) | 93.8 % 94.0 % 90.1 % 85.7 % |
| Number of suspected lymph nodes at imaging | 2.8 ± 1.9; 3: (1–6) |
| Surgical technique at radical prostatectomy - Pure Laparoscopic - Robot-assisted | 44 (29.0%) 106 (71.0%) |
| Pathological stage (T) pT2 pT3a pT3b pT4 | 39 (26.2%) 68 (45.1%) 42 (28.0%) 1 (0.7%) |
| Pathological stage (N) N0 N+ | 111 (73.9%) 39 (26.1%) |
| Number of lymph nodes removed at surgery - Total cases - N+ cases - N0 cases | 24.1 ± 9.01; 21: (12–46) 24.3 ± 9.1; 22: (13–45) 23.9 ± 8.9; 23: (11–44) |
| Percentage of positive lymph nodes | 16.1 ± 12.9; 12.0: (5.1-67.3) |
| ISUP grading at surgery 1 2 3 4 5 | 3 (2.3%) 9 (6.1%) 49 (32.3%) 60 (40.1%) 29 (19.2%) |
| Surgical margin at surgery (R) - Negative - positive | 108 (72.0%) 42 (28.0%) |
| PNI at surgery positive negative | 78 (52.0%) 72 (48.0%) |
| Cribriform/IDC at surgery - positive - negative | 28 (18.7%) 122 (81.3%) |
| Postoperative total PSA (ng/mL) | 0.32 ± 1.45; 0.02: (0.01–5.0) |
| Biochemical progression | 28 (17.3%) |
| Time to biochemical progression (months) | 7.1 ± 10.6; 3.0 (2–25) |
| Pathological Lymph Node Status | pN0 | pN1 | p Value |
|---|---|---|---|
| Number cases | 111 | 39 | - |
| Age (years) | 65.0 ± 7.1; 67.0: (48–73) | 65.5 ± 7.2; 66.0: (50–72) | 0.40 |
| BMI | 26.3 ± 3.1; 26.9: (22–35) | 26.8 ± 3.4; 26.1: (23–37.7) | 0.30 |
| Preoperative total PSA (ng/mL) | 10.9 ± 10.0; 8.7: (1.6–66.0) | 17.6 ± 15.1; 12.0 (3.7–65.2) | 0.01 |
| PSAD | 0.20 ± 0.7; 0.15: (0.05–0.60) | 0.39 ± 0.06; 0.40: (0.35–0.5) | 0.06 |
| Prostate volume (cc) | 45.6 ± 21.0; 38.0: (23.0–89.0) | 48.7 ± 13.5; 49.0: (40.0–65.0) | 0.30 |
| mMR PIRADS score PIRADS 2 PIRADS 3 PIRADS 4 PIRADS 5 | 3 (2.0%) 17 (11.2%) 72 (48.3%) 58 (38.5%) | 0 (0%) 5 (3.5%) 94 (62.6%) 51 (33.9%) | 0.30 |
| Prostate Tumor size (mm) at mMR | 14.0 ± 6.2; 12.4:(5.3–31.0) | 13.9 ± 6.4; 13.0: (6.9–28.0) | 0.50 |
| Clinical T staging T1c T2 T3a T3b | 17 (11.5%) 116 (77.4%) 10 (6.6%) 7 (4.5%) | 0 (0%) 129 (86.1%) 13 (8.5%) 8 (5.4%) | 0.004 |
| Clinical N staging N0 N1 | 141 (94.3%) 9 (5.7%) | 118 (78.9%) 32 (21.1%) | 0.002 |
| Biopsy outcomes: % Positive samples PC % Positive clinically significant PC Max % PC tissue per core | 59.8 ± 25.8; 58.0: (9.0–100) 54.2 ± 29.5; 50.3: (8.0–100) 56.5 ± 27.6; 50.0: (6.0–100) | 62.4 ± 29.8; 62.0: (11.4–100) 52.1 ± 31.5; 49.5: (11.0–100) 71.3 ± 24.1; 67.6: (32.1–100) | 0.20 0.30 0.001 |
| ISUP grading at biopsy 1 2 3 4 5 | 5 (3.1%) 18 (12.2%) 47 (31.6%) 57 (37.8%) 23 (15.3%) | 4 (2.5%) 20 (13.6%) 47 (31.4%) 55 (36.5%) 24 (16.0%) | 0.50 |
| Nomograms results (% estimated risk for N+) MSKCC Briganti 2012 Briganti 2017 Briganti 2019 | 32.1 ± 18.9; 29.0: (4–81) 25.2 ± 19.7; 18.0: (4–80) 42.0 ± 26.6; 39.1: (4–94) 23.5 ± 19.8; 16.9: (4–82) | 37.1 ± 18.2; 34.8: (7–75) 28.1 ± 18.5; 21.1: (7–84) 47.8 ± 24.3; 45.9: (7–90) 28.2 ± 21.3; 22.0: (4–78) | 0.08 0.20 0.09 0.10 |
| Percentage of patients with estimated risk for N+ at nomogram over the cut-off MSKCC (>7%) Briganti 2012 (>5%) Briganti 2017 (>7%) Briganti 2019 (>7%) | 92.8% 91.2% 86.4% 80.7% | 98.0% 100% 97.5% 97.1% | 0.20 0.03 0.04 0.03 |
| Number of suspected lymph nodes at imaging | 1.3±0.48; 1.0 (1–2) | 2.9±1.6; 3.0 (1–5) | 0.03 |
| Surgical technique at radical prostatectomy - Pure Laparoscopic - Robot-assisted | 23 (15.2%) 51 (33.8%) | 21 (13.8%) 55 (36.2%) | 0.70 |
| Pathological stage (T) pT2 pT3a pT3b pT4 | 62 (41.2%) 63 (42.3%) 25 (16.5%) 0 (0%) | 12 (7.8%) 77 (51.1%) 60 (40.2%) 1 (0.9%) | 0.02 |
| Number of Lymph nodes removed at surgery | 23.8 ± 8.4; 23.0: (12–46) | 25.0 ± 8.1; 24.0: (13–45) | 0.20 |
| ISUP grading at surgery 1 2 3 4 5 | 5 (3.2%) 30 (20.2%) 52 (34.5%) 34 (23.0%) 29 (19.1%) | 0 (0%) 25 (17.0%) 47 (31.1%) 22 (14.3%) 56 (37.6%) | 0.04 |
| Surgical margin at surgery (R) - Negative - Positive | 113 (75.5%) 37 (24.5%) | 90 (60.3%) 60 (39.7%) | 0.01 |
| PNI at surgery - negative - positive | 69 (45.9%) 81 (54.1%) | 57 (37.8%) 93 (62.2%) | 0.06 |
| Cribriform/IDC at surgery - negative - positive | 126 (84.3%) 23 (15.7%) | 40 (26.8%) 110 (73.2%) | 0.02 |
| Postoperative total PSA (ng/mL) | 0.14 ± 0.4; 0.02: (0.01–2.8) | 0.82 ± 2.9; 0.02: (0.01–4.8) | 0.03 |
| Biochemical progression (number of cases and %) | 24 (15.8%) | 39 (26.1%) | 0.05 |
| Time to biochemical progression | 10.1 ± 12.8; 7.8: (3–22) | 3.2 ± 1.4; 3.1: (3–7) | 0.02 |
| Correlation | Coefficient | p Value |
|---|---|---|
| pN-age | −0.0353 | 0.670 |
| pN-BMI | 0.0524 | 0.524 |
| pN-prostate volume | 0.1577 | 0.545 |
| pN-risk class | 0.0511 | 0.534 |
| pN-preoperative PSA | 0.2155 | 0.008 |
| pN-PSAD | 0.4878 | 0.055 |
| pN-PIRADS score | 0.1275 | 0.215 |
| pN-prostate tumor volume at imaging | 0.0064 | 0.950 |
| pN-percentage positive core at biopsy | 0.0358 | 0.663 |
| pN-MSKCC nomogram | 0.119 | 0.149 |
| pN-Briganti 2012 nomogram | 0.0762 | 0.390 |
| pN-Briganti 2017 nomogram | 0.1188 | 0.192 |
| pN-Briganti 2019 nomogram | 0.1175 | 0.251 |
| pN-number of suspected N at imaging | 0.3313 | <0.001 |
| pN-surgical technique | 0.1979 | 0.0152 |
| pN-pT stage | 0.3148 | <0.001 |
| pN-ISUP grading at surgery | 0.1622 | 0.049 |
| pN-number of lymph nodes removed at surgery | 0.0793 | 0.334 |
| pN-surgical margins | 0.2887 | 0.00034 |
| pN-PNI | 0.1249 | 0.127 |
| pN-cribriform/IDC | 0.143 | 0.08 |
| pN-postoperative PSA | 0.2068 | 0.013 |
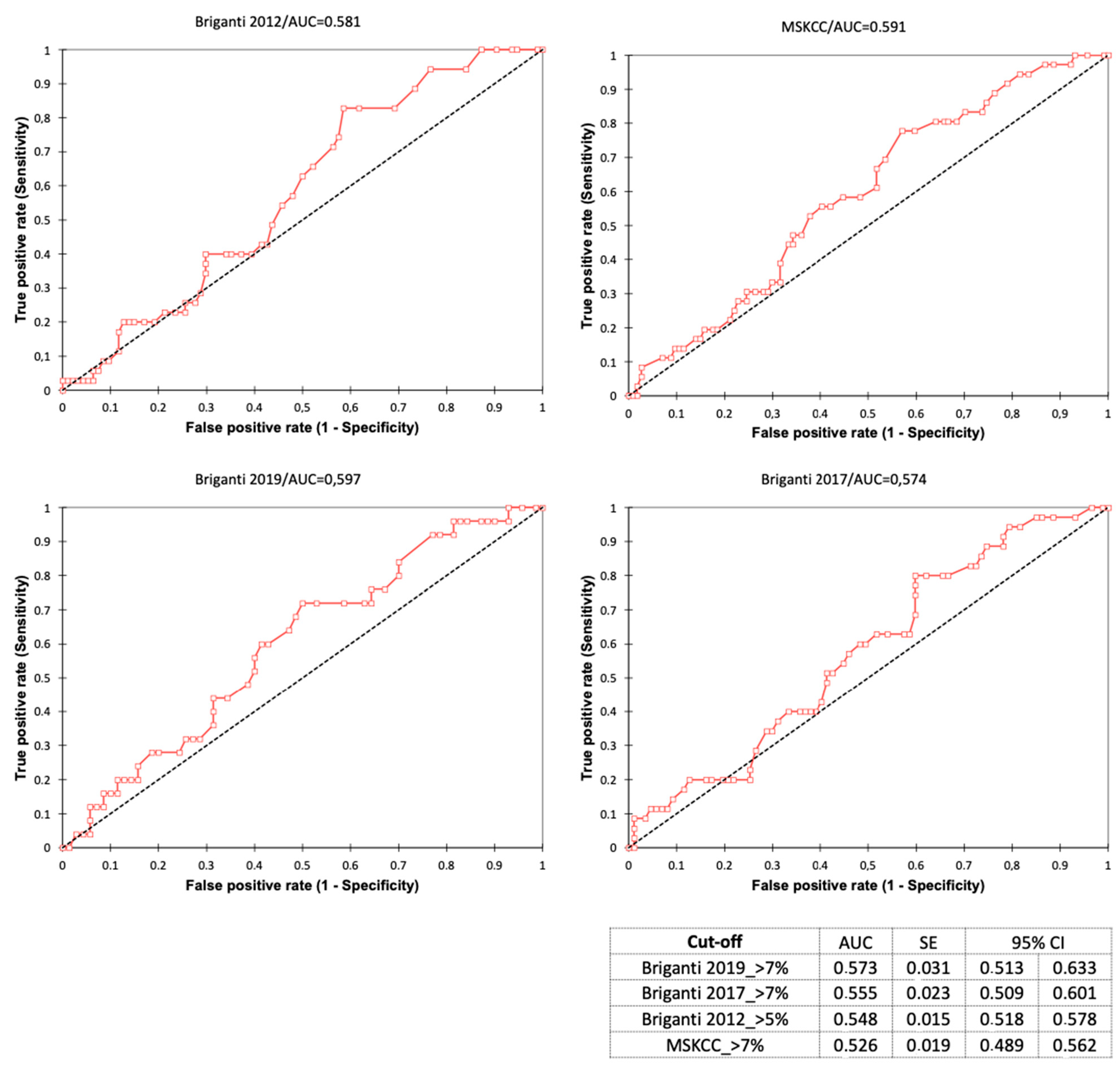
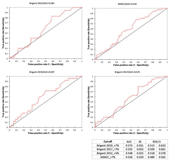
| Sensitivity (CI 95%) | Specificity (CI 95%) | PPV (CI 95%) | NPV (CI 95%) | AUC (CI 95%) | |
|---|---|---|---|---|---|
| MSKCC nomogram > 7% | 0.973 (0.845–1.000) | 0.078 (0.043–0.147) | 0.248 (0.181–0.340) | 0.905 (0.851–0.938) | 0.526 (0.489–0.562) |
| Briganti 2012 nomogram > 5% | 0.991 (0.889–1.000) | 0.093 (0.049–0.171) | 0.285 (0.220–0.351) | 0.957 (0.911–0.991) | 0.548 (0.518–0.578) |
| Briganti 2017 nomogram > 7% | 0.973 (0.840–1.000) | 0.140 (0.090–0.230) | 0.352 (0.251–0.487) | 0.919 (0.851–0.959) | 0.555 (0.509–0.601) |
| Briganti 2019 Nomogram > 7% | 0.959 (0.789–1.000) | 0.183 (0.124–0.291) | 0.301 (0.212–0.408) | 0.931 (0.855–0.972) | 0.573 (0.513–0.633) |
| Univariable | Multivariable | ||||||||
|---|---|---|---|---|---|---|---|---|---|
| OR | 95% CI_lower | 95% CI_upper | p-Value | OR | 95% CI_lower | 95% CI_upper | p-Value | ||
| Preoperative PSA | Ref | _ | _ | _ | |||||
| >10 | 1.771 | 0.818 | 3.807 | 0.141 | |||||
| MSKCC | Ref | _ | _ | _ | |||||
| >7% | 3.000 | 0.371 | 23.561 | 0.401 | |||||
| Briganti 2012 | Ref | _ | _ | _ | |||||
| >5% | 7.752 | 0.359 | 159.823 | 0.210 | |||||
| Briganti 2017 | Ref | _ | _ | _ | |||||
| >7% | 5.610 | 0.611 | 42.812 | 0.213 | |||||
| Briganti 2019 | Ref | _ | _ | _ | |||||
| >7% | 5.565 | 0.786 | 45.235 | 0.135 | |||||
| Pathologic stage | pT2 | Ref | _ | _ | _ | Ref | _ | _ | _ |
| pT3a | 6.724 | 1.932 | 24.485 | 0.003 | 6.52 | 1.825 | 24.001 | 0.005 | |
| pT3b | 14.129 | 3.651 | 54.231 | 0.001 | 11.211 | 2.621 | 42.308 | 0.002 | |
| ISUP at surgery | 1 | Ref | _ | _ | _ | ||||
| 2 | 3.845 | 0.161 | 96.270 | 0.502 | |||||
| 3 | 4.215 | 0.1812 | 98.528 | 0.413 | |||||
| 4 | 2.759 | 0.111 | 71.521 | 0.499 | |||||
| 5 | 7.775 | 0.357 | 186.632 | 0.310 | |||||
| Study | Sensitivity | Specificity | PPV | NPV | Accuracy AUC (CI 95% Range) |
|---|---|---|---|---|---|
| Hinev et al. 2014 [11] | N.R. | N.R. | N.R. | N.R. | Briganti 2012: 87.5 MSKCC: 77 |
| Bandini et al. 2017 [12] | Briganti 2012: 90.0 MSKCC: 89.9 | Briganti 2012: 46.1 MSKCC: 46.4 | N.R. | Briganti 2012: 98.7 MSKCC: 98.7 | Briganti 2012: 79.8 MSKCC: 79.9 |
| Hueting et al. 2018 [13] | N.R. | N.R. | N.R. | N.R. | Briganti 2012: 76 (73–79) MSKCC: 75 (72–78) |
| Gandaglia et al. 2020 [18] | N.R. | N.R. | N.R. | N.R. | Briganti 2019: 79 Briganti 2017: 75 Briganti 2012: 65 MSKCC: 74 |
| Diamand et al. 2020 [14] | N.R. | N.R. | N.R. | N.R. | Briganti 2019: 80 (75–86) Briganti 2012: 80 (74–87) |
| Milonas et al. 2020 [8] | MSKCC: 88.9 | MSKCC: 45.2 | MSKCC: N.R. | MSKCC: 96.8 | MSKCC: 79 (73.8–84.2) |
| Oderda et al. 2020 [15] | N.R. | N.R. | N.R. | N.R. | Briganti 2019: 76 (70–81) Briganti 2017: 80 (75–86) Briganti 2012: 83 (81–84) MSKCC: 83 (81–84) |
| Fukagawa et al. 2021 [19] | Briganti 2019: 94.7 | Briganti 2019: 32.0 | N.R. | Briganti 2019: 98.8 | Briganti 2019: 71 Briganti 2017: 72 Briganti 2012: 74 MSKCC: 73 |
| Meijer et al. 2021 [16] | N.R. | N.R. | N.R. | N.R. | Briganti 2019: 82 (76–87) Briganti 2017: 76 (70–82) MSKCC: 77 (72–83) |
| Frego et al. 2022 [20] | N.R. | N.R. | N.R. | N.R. | Briganti 2019: 82 Briganti 2012: 84 |
Disclaimer/Publisher’s Note: The statements, opinions and data contained in all publications are solely those of the individual author(s) and contributor(s) and not of MDPI and/or the editor(s). MDPI and/or the editor(s) disclaim responsibility for any injury to people or property resulting from any ideas, methods, instructions or products referred to in the content. |
© 2023 by the authors. Licensee MDPI, Basel, Switzerland. This article is an open access article distributed under the terms and conditions of the Creative Commons Attribution (CC BY) license (https://creativecommons.org/licenses/by/4.0/).
Share and Cite
Di Pierro, G.B.; Salciccia, S.; Frisenda, M.; Tufano, A.; Sciarra, A.; Scarrone, E.; Del Giudice, F.; Asero, V.; Bevilacqua, G.; Moriconi, M.; et al. Comparison of Four Validated Nomograms (Memorial Sloan Kettering Cancer Center, Briganti 2012, 2017, and 2019) Predicting Lymph Node Invasion in Patients with High-Risk Prostate Cancer Candidates for Radical Prostatectomy and Extended Pelvic Lymph Node Dissection: Clinical Experience and Review of the Literature. Cancers 2023, 15, 1683. https://doi.org/10.3390/cancers15061683
Di Pierro GB, Salciccia S, Frisenda M, Tufano A, Sciarra A, Scarrone E, Del Giudice F, Asero V, Bevilacqua G, Moriconi M, et al. Comparison of Four Validated Nomograms (Memorial Sloan Kettering Cancer Center, Briganti 2012, 2017, and 2019) Predicting Lymph Node Invasion in Patients with High-Risk Prostate Cancer Candidates for Radical Prostatectomy and Extended Pelvic Lymph Node Dissection: Clinical Experience and Review of the Literature. Cancers. 2023; 15(6):1683. https://doi.org/10.3390/cancers15061683
Chicago/Turabian StyleDi Pierro, Giovanni Battista, Stefano Salciccia, Marco Frisenda, Antonio Tufano, Alessandro Sciarra, Emiliano Scarrone, Francesco Del Giudice, Vincenzo Asero, Giulio Bevilacqua, Martina Moriconi, and et al. 2023. "Comparison of Four Validated Nomograms (Memorial Sloan Kettering Cancer Center, Briganti 2012, 2017, and 2019) Predicting Lymph Node Invasion in Patients with High-Risk Prostate Cancer Candidates for Radical Prostatectomy and Extended Pelvic Lymph Node Dissection: Clinical Experience and Review of the Literature" Cancers 15, no. 6: 1683. https://doi.org/10.3390/cancers15061683
APA StyleDi Pierro, G. B., Salciccia, S., Frisenda, M., Tufano, A., Sciarra, A., Scarrone, E., Del Giudice, F., Asero, V., Bevilacqua, G., Moriconi, M., Carbone, A., Pastore, A., Signore, S., Bove, P., Forte, F., Emiliozzi, P., Tubaro, A., De Nunzio, C., & Canale, V. (2023). Comparison of Four Validated Nomograms (Memorial Sloan Kettering Cancer Center, Briganti 2012, 2017, and 2019) Predicting Lymph Node Invasion in Patients with High-Risk Prostate Cancer Candidates for Radical Prostatectomy and Extended Pelvic Lymph Node Dissection: Clinical Experience and Review of the Literature. Cancers, 15(6), 1683. https://doi.org/10.3390/cancers15061683

