Small Extracellular Vesicles (sEVs) Biogenesis Molecular Players Are Associated with Clinical Outcome of Colorectal Cancer Patients
Abstract
Simple Summary
Abstract
1. Introduction
2. Materials and Methods
2.1. Gene Selection
2.2. Patients and Samples
2.3. RNA Isolation and cDNA Synthesis
2.4. Gene Expression Quantification
2.5. Plasma sEVs Quantification
2.6. Statistical Analysis
3. Results
3.1. Lower Gene Expression in Tumor vs. Normal
3.2. Association of Gene Expression with Clinicopathological Parameters of the Patients
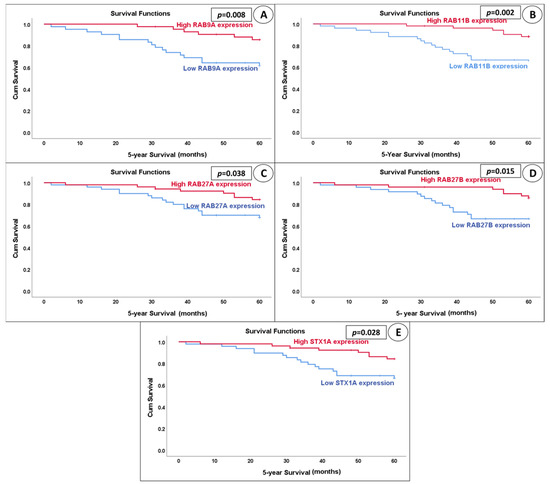
3.3. High Gene Expression Favorable for Survival Outcomes
3.4. Quantification of Overall and Tumor Plasma sEVs Concentration
3.5. Association of Plasma sEVs Concentration with Survival Outcome
3.6. Correlations of SEVs Concentrations with Gene Expression
4. Discussion
5. Conclusions
Supplementary Materials
Author Contributions
Funding
Institutional Review Board Statement
Informed Consent Statement
Data Availability Statement
Acknowledgments
Conflicts of Interest
References
- Kosaka, N.; Kogure, A.; Yamamoto, T.; Urabe, F.; Usuba, W.; Prieto-Vila, M.; Ochiya, T. Exploiting the message from cancer: The diagnostic value of extracellular vesicles for clinical applications. Exp. Mol. Med. 2019, 51, 19. [Google Scholar] [CrossRef]
- Baietti, M.F.; Zhang, Z.; Mortier, E.; Melchior, A.; Degeest, G.; Geeraerts, A.; Ivarsson, Y.; Depoortere, F.; Coomans, C.; Vermeiren, E.; et al. Syndecan-syntenin-ALIX regulates the biogenesis of exosomes. Nat. Cell Biol. 2012, 14, 677–685. [Google Scholar] [CrossRef]
- Dignat-George, F.; Boulanger, C.M. The many faces of endothelial microparticles. Arterioscler. Thromb. Vasc. Biol. 2011, 31, 27–33. [Google Scholar] [CrossRef]
- Klingeborn, M.; Stamer, W.D.; Bowes Rickman, C. Polarized exosome release from the retinal pigmented epithelium. Adv. Exp. Med. Biol. 2018, 1074, 539–544. [Google Scholar]
- Mashouri, L.; Yousefi, H.; Aref, A.R.; Ahadi, A.M.; Molaei, F.; Alahari, S.K. Exosomes: Composition, biogenesis, and mechanisms in cancer metastasis and drug resistance. Mol. Cancer 2019, 18, 75. [Google Scholar] [CrossRef]
- Beach, A.; Zhang, H.G.; Ratajczak, M.Z.; Kakar, S.S. Exosomes: An overview of biogenesis, composition and role in ovarian cancer. J. Ovarian Res. 2014, 7, 14. [Google Scholar] [CrossRef]
- Logozzi, M.; Angelini, D.F.; Iessi, E.; Mizzoni, D.; Di Raimo, R.; Federici, C.; Lugini, L.; Borsellino, G.; Gentilucci, A.; Pierella, F.; et al. Increased PSA expression on prostate cancer exosomes in in vitro condition and in cancer patients. Cancer Lett. 2017, 403, 318–329. [Google Scholar] [CrossRef]
- Poteryaev, D.; Datta, S.; Ackema, K.; Zerial, M.; Spang, A. Identification of the switch in early-to-late endosome transition. Cell 2010, 141, 497–508. [Google Scholar] [CrossRef]
- Théry, C.; Zitvogel, L.; Amigorena, S. Exosomes: Composition, biogenesis and function. Nat. Rev. Immunol. 2002, 2, 569–579. [Google Scholar] [CrossRef]
- Colombo, M.; Moita, C.; Van Niel, G.; Kowal, J.; Vigneron, J.; Benaroch, P.; Manel, N.; Moita, L.F.; Théry, C.; Raposo, G. Analysis of ESCRT functions in exosome biogenesis, composition and secretion highlights the heterogeneity of extracellular vesicles. J. Cell Sci. 2013, 126, 5553–5565. [Google Scholar] [CrossRef]
- Gao, Y.; Qin, Y.; Wan, C.; Sun, Y.; Meng, J.; Huang, J.; Hu, Y.; Jin, H.; Yang, K. Small Extracellular Vesicles: A Novel Avenue for Cancer Management. Front. Oncol. 2021, 11, 638357. [Google Scholar] [CrossRef]
- Han, Q.F.; Li, W.J.; Hu, K.S.; Gao, J.; Zhai, W.L.; Yang, J.H.; Zhang, S.J. Exosome biogenesis: Machinery, regulation, and therapeutic implications in cancer. Mol. Cancer 2022, 21, 207. [Google Scholar] [CrossRef]
- Umwali, Y.; Yue, C.B.; Zhang, Y.; Zhang, X.; Gabriel, A.N.A. Roles of exosomes in diagnosis and treatment of colorectal cancer. World J. Clin. Cases 2021, 9, 4467–4479. [Google Scholar] [CrossRef]
- Xiao, Y.; Zhong, J.; Zhong, B.; Huang, J.; Jiang, L.; Jiang, Y.; Yuan, J.; Sun, J.; Dai, L.; Yang, C.; et al. Exosomes as potential sources of biomarkers in colorectal cancer. Cancer Lett. 2020, 476, 13–22. [Google Scholar] [CrossRef]
- Jang, S.C.; Kim, O.Y.; Yoon, C.M.; Choi, D.S.; Roh, T.Y.; Park, J.; Nilsson, J.; Lötvall, J.; Kim, Y.K.; Gho, Y.S. Bioinspired exosome-mimetic nanovesicles for targeted delivery of chemotherapeutics to malignant tumors. ACS Nano 2013, 7, 7698–7710. [Google Scholar] [CrossRef]
- Tian, Y.; Li, S.; Song, J.; Ji, T.; Zhu, M.; Anderson, G.J.; Wei, J.; Nie, G. A doxorubicin delivery platform using engineered natural membrane vesicle exosomes for targeted tumor therapy. Biomaterials 2014, 35, 2383–2390. [Google Scholar] [CrossRef]
- Tang, Z.; Li, C.; Kang, B.; Gao, G.; Li, C.; Zhang, Z. GEPIA: A web server for cancer and normal gene expression profiling and interactive analyses. Nucleic Acids Res. 2017, 45, W98–W102. [Google Scholar] [CrossRef]
- Lánczky, A.; Győrffy, B. Web-Based Survival Analysis Tool Tailored for Medical Research (KMplot): Development and Implementation. J. Med. Internet Res. 2021, 23, e27633. [Google Scholar] [CrossRef]
- Ramakers, C.; Ruijter, J.M.; Deprez, R.H.; Moorman, A.F. Assumption-free analysis of quantitative real-time polymerase chain reaction (PCR) data. Neurosci. Lett. 2003, 339, 62–66. [Google Scholar] [CrossRef]
- Sørby, L.A.; Andersen, S.N.; Bukholm, I.R.; Jacobsen, M.B. Evaluation of suitable reference genes for normalization of real-time reverse transcription PCR analysis in colon cancer. J. Exp. Clin. Cancer Res. 2010, 29, 144. [Google Scholar] [CrossRef]
- Dimitrakopoulos, F.I.D.; Antonacopoulou, A.G.; Kottorou, A.E.; Panagopoulos, N.; Kalofonou, F.; Sampsonas, F.; Scopa, C.; Kalofonou, M.; Koutras, A.; Makatsoris, T.; et al. Expression of Intracellular Components of the NF-κB Alternative Pathway (NF-κB2, RelB, NIK and Bcl3) is Associated with Clinical Outcome of NSCLC Patients. Sci. Rep. 2019, 9, 14299. [Google Scholar] [CrossRef]
- Dimitrakopoulos, F.I.; Kottorou, A.E.; Rodgers, K.; Sherwood, J.T.; Koliou, G.A.; Lee, B.; Yang, A.; Brahmer, J.R.; Baylin, S.B.; Yang, S.C.; et al. Clinical Significance of Plasma CD9-Positive Exosomes in HIV Seronegative and Seropositive Lung Cancer Patients. Cancers 2021, 13, 5193. [Google Scholar] [CrossRef]
- Zhang, W.; Hu, X.; Jiang, Z. Small Extracellular Vesicles: Key Forces Mediating the Development and Metastasis of Colorectal Cancer. Cells 2022, 11, 1780. [Google Scholar] [CrossRef]
- Dong, W.; Cui, J.; Yang, J.; Li, W.; Wang, S.; Wang, X.; Li, X.; Lu, Y.; Xiao, W. Decreased expression of Rab27A and Rab27B correlates with metastasis and poor prognosis in colorectal cancer. Discov. Med. 2015, 20, 357–367. [Google Scholar]
- Bao, J.; Ni, Y.; Qin, H.; Xu, L.; Ge, Z.; Zhan, F.; Zhu, H.; Zhao, J.; Zhou, X.; Tang, X.; et al. Rab27b is a potential predictor for metastasis and prognosis in colorectal cancer. Gastroenterol. Res. Pract. 2014, 2014, 913106. [Google Scholar] [CrossRef]
- Hua, Y.; Ma, X.; Liu, X.; Yuan, X.; Qin, H.; Zhang, X. Identification of the potential biomarkers for the metastasis of rectal adenocarcinoma. Apmis 2017, 125, 93–100. [Google Scholar] [CrossRef]
- Cheng, W.C.; Liao, T.T.; Lin, C.C.; Yuan, L.T.E.; Lan, H.Y.; Lin, H.H.; Teng, H.W.; Chang, H.C.; Lin, C.H.; Yang, C.Y.; et al. RAB27B-activated secretion of stem-like tumor exosomes delivers the biomarker microRNA-146a-5p, which promotes tumorigenesis and associates with an immunosuppressive tumor microenvironment in colorectal cancer. Int. J. Cancer 2019, 145, 2209–2224. [Google Scholar] [CrossRef]
- Shi, C.; Yang, X.; Ni, Y.; Hou, N.; Xu, L.; Zhan, F.; Zhu, H.; Xiong, L.; Chen, P. High Rab27A expression indicates favorable prognosis in CRC. Diagn. Pathol. 2015, 10, 68. [Google Scholar] [CrossRef]
- Huang, Z.; Feng, Y. Exosomes derived from hypoxic colorectal cancer cells promote angiogenesis through Wnt4-Induced β-catenin signaling in endothelial cells. Oncol. Res. 2017, 25, 651–661. [Google Scholar] [CrossRef]
- Feng, F.; Jiang, Y.; Lu, H.; Lu, X.; Wang, S.; Wang, L.; Wei, M.; Lu, W.; Du, Z.; Ye, Z.; et al. Rab27A mediated by NF-κB promotes the stemness of colon cancer cells via up-regulation of cytokine secretion. Oncotarget 2016, 7, 63342–63351. [Google Scholar] [CrossRef]
- Blanc, L.; Vidal, M. New insights into the function of Rab GTPases in the context of exosomal secretion. Small GTPases 2018, 9, 95–106. [Google Scholar] [CrossRef]
- Kobayashi, M.; Kawachi, H.; Hurtado, C.; Wielandt, A.M.; Ponce, A.; Karelovic, S.; Pasternak, S.; Delgado, C.; Pinto, P.; Carrasco, H.; et al. A Pilot Trial to Quantify Plasma Exosomes in Colorectal Cancer Screening from the International Collaborative Study between Chile and Japan. Digestion 2018, 98, 270–274. [Google Scholar] [CrossRef]







| Demographic/Clinicopathological Characteristics | Cancer Patients | Adenoma Patients | Healthy Individuals | |
|---|---|---|---|---|
| Gender | Male | 72 (59.5%) | 26 (66.6%) | 13 (33.3%) |
| Female | 49 (40.5%) | 13 (33.3%) | 26 (66.6%) | |
| Age Group | 66≥ | 40 (33.1%) | 26 (66.6%) | 24 (61.5%) |
| >66 | 81 (66.9%) | 13 (33.3%) | 15 (39.5%) | |
| Stage | In situ | 7 (5.8%) | - | - |
| I | 1 (0.8%) | - | - | |
| II | 58 (47.9%) | - | - | |
| III | 41 (33.9%) | - | - | |
| IV | 8 (6.6%) | - | - | |
| N/A | 6 (5%) | - | - | |
| Grade | I | 15 (12.4%) | - | - |
| II | 80 (66.1%) | - | - | |
| III | 5 (4.1%) | - | - | |
| N/A | 21 (17.4%) | - | - | |
| Primary Site | Right Colon | 42 (34.7%) | - | - |
| Left Colon and Sigmoid | 34 (28.1%) | - | - | |
| Rectum | 39 (32.2%) | - | - | |
| N/A | 6 (5%) | - | - | |
| Lymph Node metastasis | No | 68 (56.2%) | - | - |
| Yes | 45 (37.2%) | - | - | |
| N/A | 8 (6.6%) | - | - | |
| Distant metastasis | No | 98 (81%) | - | - |
| Yes | 9 (7.4%) | - | - | |
| N/A | 14 (11.6%) | - | - | |
| Gene | Forward 5′–3′ | Reverse 5′–3′ | Probe 5′ | Size (bp) |
|---|---|---|---|---|
| RAB2B | CAAATCTGGGATACGGCTG | GTACACCAGCAG TGCTC | FAM/TCCTTC CGTTCTATCACCCGT/BHQ | 87 |
| RAB3B | ACGAGAAGCGGGTGAAAC | TAATAGGCTGTTGTGATGGTC | FAM/CTGGGACACAGCTGGGCA/BHQ | 76 |
| RAB9A | TCTCTCTGTCCTCATTGC | CTCAAAAGCTTCAAGAACCC | FAM/TCGCGGCCACACGAAAGA/BHQ | 89 |
| RAB11B | TTCAAAGTGGTGCTCATCG | TCCAGGTTGAACTCGTTG | FAM/AGGCGTGGGCAAGAGCAA/BHQ | 83 |
| RAB27A | GCACTCGCAGAGAAATATGG | TGCTTGGCTTATGTTTGTCC | FAM/CCCTACTTTGAAACTAGTGCTGCCA/BHQ | 72 |
| RAB27B | ACCAGTCAACAGAGCTTC | ATATCTGGATTTTCACAATAAGC | FAM/GAAACTGGATGAGCCAACTGCA/BHQ | 80 |
| VAMP7 | AACTACCAGCAGAAATCTTG | ATGAACACAATTGATACGATG | FAM/AGCCATGTGTATGAAGAACCTCAA/BHQ | 87 |
| STX1A | CATTGACAAGATCGCAGAG | CTCCTCCTTCGTCTTCTC | FAM/GAGGAGGTGAAGCGGAAGCA/BHQ | 94 |
| Correlations | |||||||||||
|---|---|---|---|---|---|---|---|---|---|---|---|
| Overall Plasma sEVs Levels | Tumor-Derived Plasma sEVs Levels | RAB2B Expression | RAB3B Expression | RAB9A Expression | RAB11B Expression | RAB27A Expression | RAB27B Expression | VAMP7 Expression | STX1A Expression | ||
| Overall plasma sEVs levels | Pearson Correlation | 1 | 0.408 ** | 0.265 | −0.100 | 0.291 | 0.318 * | 0.041 | −0.048 | 0.180 | 0.210 |
| Sig. (2-tailed) | <0.001 | 0.103 | 0.541 | 0.069 | 0.045 | 0.800 | 0.770 | 0.267 | 0.213 | ||
| Tumor-derived plasma sEVs levels | Pearson Correlation | 0.408 ** | 1 | 0.052 | −0.059 | 0.047 | 0.019 | −0.014 | 0.017 | 0.107 | 0.033 |
| Sig. (2-tailed) | <0.001 | 0.753 | 0.719 | 0.772 | 0.905 | 0.931 | 0.918 | 0.511 | 0.848 | ||
| RAB2B expression | Pearson Correlation | 0.265 | 0.052 | 1 | 0.483 ** | 0.799 ** | 0.456 ** | 0.438 ** | 0.231 * | 0.229 * | 0.537 ** |
| Sig. (2-tailed) | 0.103 | 0.753 | <0.001 | <0.001 | <0.001 | <0.001 | 0.026 | 0.026 | <0.001 | ||
| RAB3B expression | Pearson Correlation | −0.100 | −0.059 | 0.483 ** | 1 | 0.718 ** | 0.597 ** | 0.663 ** | 0.527 ** | 0.298 ** | 0.310 ** |
| Sig. (2-tailed) | 0.541 | 0.719 | <0.001 | <0.001 | <0.001 | <0.001 | <0.001 | 0.004 | 0.002 | ||
| RAB9A expression | Pearson Correlation | 0.291 | 0.047 | 0.799 ** | 0.718 ** | 1 | 0.812 ** | 0.570 ** | 0.294 ** | 0.171 | 0.350 ** |
| Sig. (2-tailed) | 0.069 | 0.772 | <0.001 | <0.001 | <0.001 | <0.001 | 0.006 | 0.114 | <0.001 | ||
| RAB11B expression | Pearson Correlation | 0.318 * | 0.019 | 0.456 ** | 0.597 ** | 0.812 ** | 1 | 0.578 ** | 0.126 | 0.159 | 0.615 ** |
| Sig. (2-tailed) | 0.045 | 0.905 | <0.001 | <0.001 | <0.001 | <0.001 | 0.208 | 0.109 | <0.001 | ||
| RAB27A expression | Pearson Correlation | 0.041 | −0.014 | 0.438 ** | 0.663 ** | 0.570 ** | 0.578 ** | 1 | 0.229 * | 0.226 * | 0.353 ** |
| Sig. (2-tailed) | 0.800 | 0.931 | <0.001 | <0.001 | <0.001 | <0.001 | 0.021 | 0.022 | <0.001 | ||
| RAB27B expression | Pearson Correlation | −0.048 | 0.017 | 0.231 * | 0.527 ** | 0.294 ** | 0.126 | 0.229 * | 1 | 0.397 ** | 0.001 |
| Sig. (2-tailed) | 0.770 | 0.918 | 0.026 | <0.001 | 0.006 | 0.208 | 0.021 | <0.001 | 0.992 | ||
| VAMP7 expression | Pearson Correlation | 0.180 | 0.107 | 0.229 * | 0.298 ** | 0.171 | 0.159 | 0.226 * | 0.397 ** | 1 | 0.223 * |
| Sig. (2-tailed) | 0.267 | 0.511 | 0.026 | 0.004 | 0.114 | 0.109 | 0.022 | <0.001 | 0.027 | ||
| STX1A expression | Pearson Correlation | 0.210 | 0.033 | 0.537 ** | 0.310 ** | 0.350 ** | 0.615 ** | 0.353 ** | 0.001 | 0.223 * | 1 |
| Sig. (2-tailed) | 0.213 | 0.848 | <0.001 | 0.002 | <0.001 | <0.001 | <0.001 | 0.992 | 0.027 | ||
Disclaimer/Publisher’s Note: The statements, opinions and data contained in all publications are solely those of the individual author(s) and contributor(s) and not of MDPI and/or the editor(s). MDPI and/or the editor(s) disclaim responsibility for any injury to people or property resulting from any ideas, methods, instructions or products referred to in the content. |
© 2023 by the authors. Licensee MDPI, Basel, Switzerland. This article is an open access article distributed under the terms and conditions of the Creative Commons Attribution (CC BY) license (https://creativecommons.org/licenses/by/4.0/).
Share and Cite
Kottorou, A.; Dimitrakopoulos, F.-I.; Diamantopoulou, G.; Kalofonou, F.; Stavropoulos, M.; Thomopoulos, K.; Makatsoris, T.; Koutras, A.; Kalofonos, H. Small Extracellular Vesicles (sEVs) Biogenesis Molecular Players Are Associated with Clinical Outcome of Colorectal Cancer Patients. Cancers 2023, 15, 1685. https://doi.org/10.3390/cancers15061685
Kottorou A, Dimitrakopoulos F-I, Diamantopoulou G, Kalofonou F, Stavropoulos M, Thomopoulos K, Makatsoris T, Koutras A, Kalofonos H. Small Extracellular Vesicles (sEVs) Biogenesis Molecular Players Are Associated with Clinical Outcome of Colorectal Cancer Patients. Cancers. 2023; 15(6):1685. https://doi.org/10.3390/cancers15061685
Chicago/Turabian StyleKottorou, Anastasia, Foteinos-Ioannis Dimitrakopoulos, Georgia Diamantopoulou, Foteini Kalofonou, Michalis Stavropoulos, Konstantinos Thomopoulos, Thomas Makatsoris, Angelos Koutras, and Haralabos Kalofonos. 2023. "Small Extracellular Vesicles (sEVs) Biogenesis Molecular Players Are Associated with Clinical Outcome of Colorectal Cancer Patients" Cancers 15, no. 6: 1685. https://doi.org/10.3390/cancers15061685
APA StyleKottorou, A., Dimitrakopoulos, F.-I., Diamantopoulou, G., Kalofonou, F., Stavropoulos, M., Thomopoulos, K., Makatsoris, T., Koutras, A., & Kalofonos, H. (2023). Small Extracellular Vesicles (sEVs) Biogenesis Molecular Players Are Associated with Clinical Outcome of Colorectal Cancer Patients. Cancers, 15(6), 1685. https://doi.org/10.3390/cancers15061685

