A Retrospective Chart Review of Treatment Patterns and Overall Survival among a Cohort of Patients with Relapsed/Refractory Mycosis Fungoides in France, Germany, Italy, Spain and the United Kingdom
Abstract
:Simple Summary
Abstract
1. Introduction
2. Materials and Methods
2.1. Study Design and Patients
2.2. Outcome Measures
2.3. Statistical Analyses
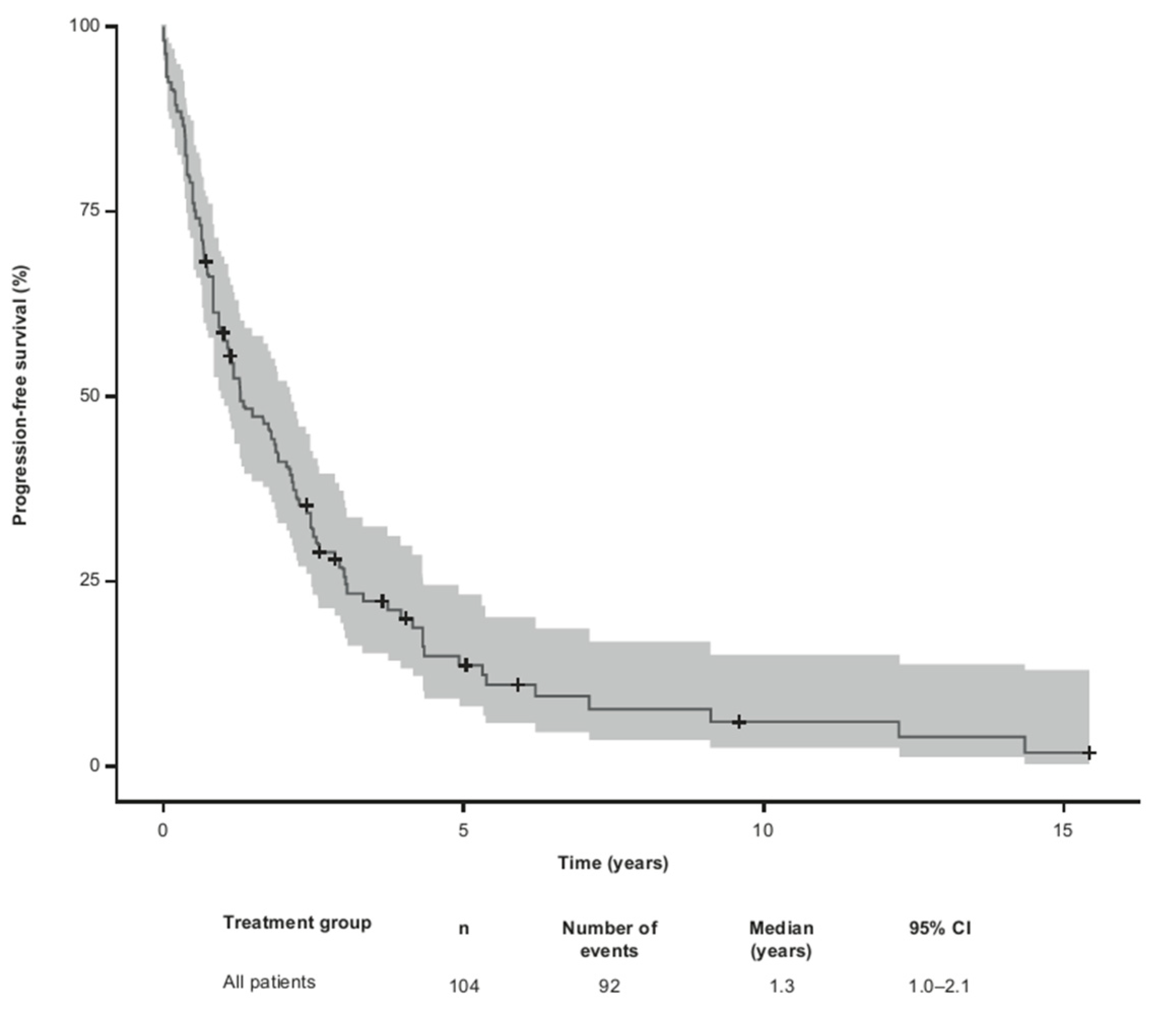
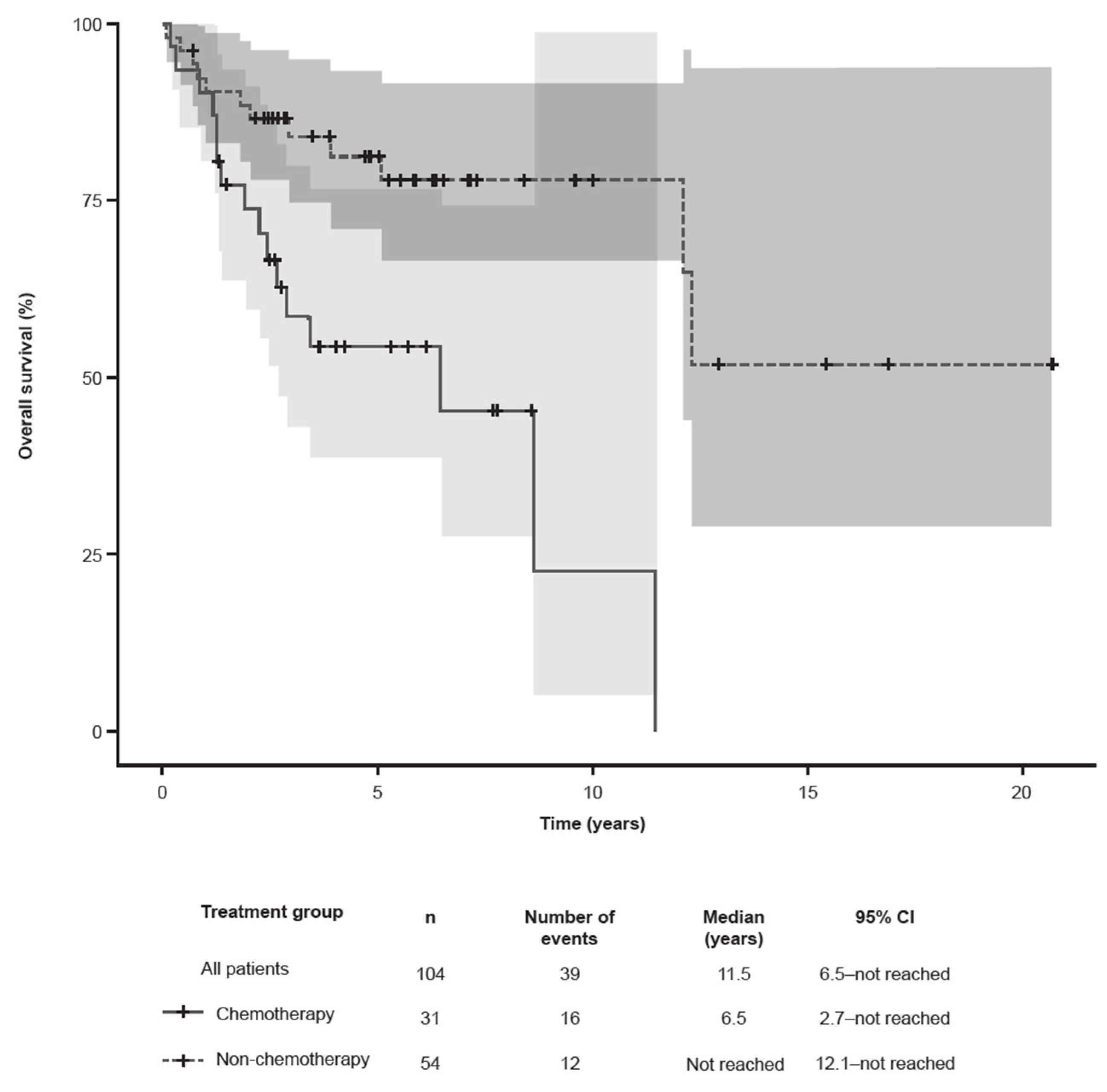
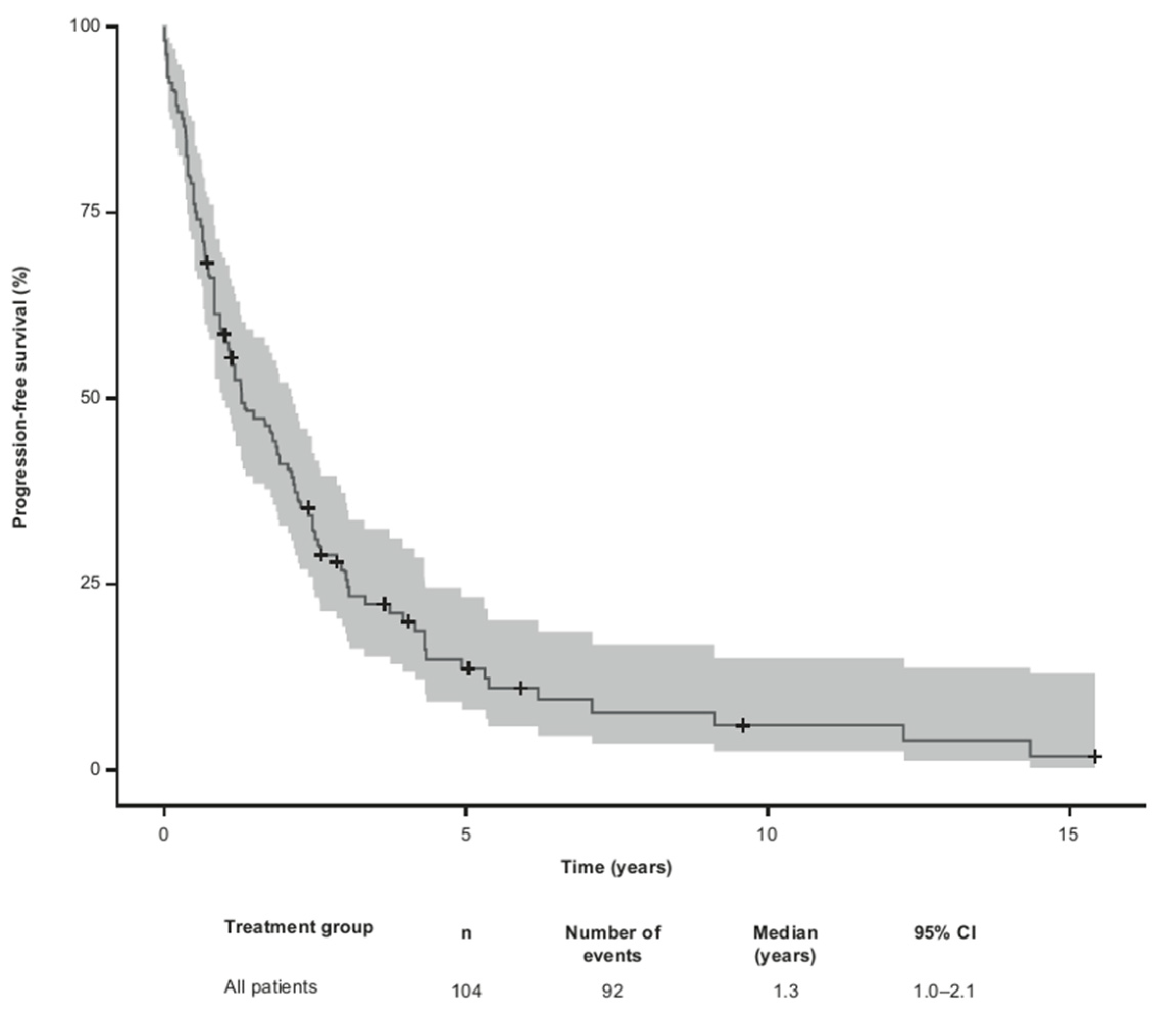
3. Results
3.1. Disease Stage and Treatment Pattern by Country at Diagnosis or First R/R Disease
3.2. Second-Line Treatment Patterns
3.3. Response to Second-Line Treatment
3.4. Third-Line Treatment Patterns
3.5. Response to Third-Line Treatment
4. Discussion
5. Conclusions
Author Contributions
Funding
Institutional Review Board Statement
Informed Consent Statement
Data Availability Statement
Acknowledgments
Conflicts of Interest
References
- Olsen, E.A. Evaluation, diagnosis, and staging of cutaneous lymphoma. Dermatol. Clin. 2015, 33, 643–654. [Google Scholar] [CrossRef] [PubMed]
- Kaufman, A.E.; Patel, K.; Goyal, K.; O’Leary, D.; Rubin, N.; Pearson, D.; Bohjanen, K.; Goyal, A. Mycosis fungoides: Developments in incidence, treatment and survival. J. Eur. Acad. Dermatol. Venereol. 2020, 34, 2288–2294. [Google Scholar] [CrossRef] [PubMed]
- Agar, N.S.; Wedgeworth, E.; Crichton, S.; Mitchell, T.J.; Cox, M.; Ferreira, S.; Robson, A.; Calonje, E.; Stefanato, C.M.; Wain, E.M.; et al. Survival outcomes and prognostic factors in mycosis fungoides/Sézary syndrome: Validation of the revised International Society for Cutaneous Lymphomas/European Organisation for Research and Treatment of Cancer staging proposal. J. Clin. Oncol. 2010, 28, 4730–4739. [Google Scholar] [CrossRef] [PubMed]
- Dobos, G.; Pohrt, A.; Ram-Wolff, C.; Lebbé, C.; Bouaziz, J.D.; Battistella, M.; Bagot, M.; Masson, A.D. Epidemiology of cutaneous T-cell lymphomas: A systematic review and meta-analysis of 16,953 patients. Cancers 2020, 12, 2921. [Google Scholar] [CrossRef] [PubMed]
- Assaf, C.; Gellrich, S.; Steinhoff, M.; Nashan, D.; Weisse, F.; Dippel, E.; Coors, E.; Stein, A.; Gollin, P.; Henke, U.; et al. Cutaneous lymphomas in Germany: An analysis of the Central Cutaneous Lymphoma Registry of the German Society of Dermatology (DDG). J. Dtsch. Dermatol. Ges. 2007, 5, 662–668. [Google Scholar] [CrossRef] [PubMed]
- Maurelli, M.; Tessari, G.; Colato, C.; Schena, D.; Girolomoni, G. Incidence and ten-year follow-up of primary cutaneous lymphomas: A single-centre cohort study. Eur. J. Dermatol. 2018, 28, 44–49. [Google Scholar] [CrossRef]
- Dobos, G.; De Masson, A.; Ram-Wolff, C.; Beylot-Barry, M.; Pham-Ledard, A.; Ortonne, N.; Ingen-Housz-Oro, S.; Battistella, M.; d’Incan, M.; Rouanet, J.; et al. Epidemiological changes in cutaneous lymphomas: An analysis of 8593 patients from the French Cutaneous Lymphoma Registry. Br. J. Dermatol. 2021, 184, 1059–1067. [Google Scholar] [CrossRef] [PubMed]
- National Cancer Registration and Analysis Service (NCRAS). National Cancer Intelligence Network (NCIN) Data Briefings. 2016. Available online: http://www.ncin.org.uk/publications/data_briefings (accessed on 17 January 2023).
- Peñate, Y.; Servitje, O.; Machan, S.; Fernandez-de-Misa, R.; Estrach, M.T.; Acebo, E.; Mitxelena, J.; Ramon, M.D.; Florez, A.; Blanes, M.; et al. The first year of the AEVD primary cutaneous lymphoma registry. Actas. Dermosifiliogr. 2018, 109, 610–616. [Google Scholar] [CrossRef]
- Olsen, E.; Vonderheid, E.; Pimpinelli, N.; Willemze, R.; Kim, Y.; Knobler, R.; Zackheim, H.; Duvic, M.; Estrach, T.; Lamberg, S.; et al. Revisions to the staging and classification of mycosis fungoides and Sezary syndrome: A proposal of the International Society for Cutaneous Lymphomas (ISCL) and the cutaneous lymphoma task force of the European Organization of Research and Treatment of Cancer (EORTC). Blood 2007, 110, 1713–1722. [Google Scholar]
- Maguire, A.; Puelles, J.; Raboisson, P.; Chavda, R.; Gabriel, S.; Thornton, S. Early-stage mycosis fungoides: Epidemiology and prognosis. Acta Derm. Venereol. 2020, 100, adv00013. [Google Scholar] [CrossRef]
- Mourad, M.; Gniadecki, R. Overall Survival and Prognosis in Mycosis Fungoides: A Systematic Review and Meta-Analysis. Available online: https://www.wcd2019milan-dl.org/abstract-book/documents/abstracts/39-skin-cancer/overall-survival-and-prognosis-in-2681.pdf (accessed on 23 November 2023).
- Jonak, C.; Tittes, J.; Brunner, P.M.; Guenova, E. Mycosis fungoides and Sézary syndrome. J. Dtsch. Dermatol. Ges. 2021, 19, 1307–1334. [Google Scholar] [CrossRef] [PubMed]
- Kamijo, H.; Miyagaki, T. Mycosis fungoides and Sézary syndrome: Updates and review of current therapy. Curr. Treat. Options Oncol. 2021, 22, 10. [Google Scholar] [CrossRef] [PubMed]
- Trautinger, F.; Knobler, R.; Willemze, R.; Peris, K.; Stadler, R.; Laroche, L.; D’incan, M.; Ranki, A.; Pimpinelli, N.; Ortiz-Romero, P.; et al. EORTC consensus recommendations for the treatment of mycosis fungoides/Sézary syndrome. Eur. J. Cancer 2006, 42, 1014–1030. [Google Scholar] [CrossRef] [PubMed]
- Latzka, J.; Assaf, C.; Bagot, M.; Cozzio, A.; Dummer, R.; Guenova, E.; Gniadecki, R.; Hodak, E.; Jonak, C.; Klemke, C.D.; et al. European Organisation for Research and Treatment of Cancer consensus recommendations for the treatment of mycosis fungoides/Sézary syndrome—Update 2023. Eur. J. Cancer 2023, 195, 113343. [Google Scholar] [CrossRef]
- Duvic, M.; Pinter-Brown, L.C.; Foss, F.M.; Sokol, L.; Jorgensen, J.L.; Challagundla, P.; Dwyer, K.M.; Zhang, X.; Kurman, M.R.; Ballerini, R.; et al. Phase 1/2 study of mogamulizumab, a defucosylated anti-CCR4 antibody, in previously treated patients with cutaneous T-cell lymphoma. Blood 2015, 125, 1883–1889. [Google Scholar] [CrossRef]
- Yoon, S.; Eom, G.H. HDAC and HDAC inhibitor: From cancer to cardiovascular diseases. Chonnam. Med. J. 2016, 52, 1–11. [Google Scholar] [CrossRef]
- Kim, Y.H.; Tavallaee, M.; Sundram, U.; Salva, K.A.; Wood, G.S.; Li, S.; Rozati, S.; Nagpal, S.; Krathen, M.; Reddy, S.; et al. Phase II investigator-initiated study of brentuximab vedotin in mycosis fungoides and Sézary syndrome with variable CD30 expression level: A multi-institution collaborative project. J. Clin. Oncol. 2015, 33, 3750–3758. [Google Scholar] [CrossRef]
- Assaf, C.; Waser, N.; Bagot, M.; He, M.; Li, T.; Dalal, M.; Gavini, F.; Trinchese, F.; Zomas, A.; Little, M.; et al. Contemporary treatment patterns and response in relapsed/refractory cutaneous T-cell lymphoma (CTCL) across five European countries. Cancers 2021, 14, 145. [Google Scholar] [CrossRef]
- International Society for Pharmacoepidemiology (ISPE). Guidelines for Good Pharmacoepidemiology Practices (GPP). 2015. Available online: https://www.pharmacoepi.org/resources/policies/guidelines-08027/ (accessed on 17 January 2023).
- Von Elm, E.; Altman, D.G.; Egger, M.; Pocock, S.J.; Gøtzsche, P.C.; Vandenbroucke, J.P. The Strengthening the Reporting of Observational Studies in Epidemiology (STROBE) statement: Guidelines for reporting observational studies. Ann. Intern. Med. 2007, 147, 573–577. [Google Scholar] [CrossRef]
- Campbell, B.A.; Scarisbrick, J.J.; Kim, Y.H.; Wilcox, R.A.; McCormack, C.; Prince, H.M. Time to Next Treatment as a Meaningful Endpoint for Trials of Primary Cutaneous Lymphoma. Cancers 2020, 12, 2311. [Google Scholar] [CrossRef]
- Bagot, M.; Illidge, T.; Waser, N.A.; He, M.; Li, T.; Sambrook, R.; Zomas, A.; Bent-Ennakhil, N.; Little, M.; Ortiz, P.; et al. Survival among a patient cohort of relapsed/refractory mycosis fungoides in France, Germany, Italy, Spain and the United Kingdom. Hematol. Oncol. 2019, 37, 485–486. [Google Scholar] [CrossRef]
- Hughes, C.F.; Khot, A.; McCormack, C.; Lade, S.; Westerman, D.A.; Twigger, R.; Buelens, O.; Newland, K.; Tam, C.; Dickinson, M.; et al. Lack of durable disease control with chemotherapy for mycosis fungoides and Sézary syndrome: A comparative study of systemic therapy. Blood 2015, 125, 71–81. [Google Scholar] [CrossRef] [PubMed]
- Kim, Y.H.; Bagot, M.; Pinter-Brown, L.; Rook, A.H.; Porcu, P.; Horwitz, S.M.; Whittaker, S.; Tokura, Y.; Vermeer, M.; Zinzani, P.L.; et al. Mogamulizumab versus vorinostat in previously treated cutaneous T-cell lymphoma (MAVORIC): An international, open-label, randomised, controlled phase 3 trial. Lancet Oncol. 2018, 19, 1192–1204. [Google Scholar] [CrossRef] [PubMed]
- Watanabe, R.; Teague, J.E.; Fisher, D.C.; Kupper, T.S.; Clark, R.A. Alemtuzumab therapy for leukemic cutaneous T-cell lymphoma: Diffuse erythema as a positive predictor of complete remission. JAMA Dermatol. 2014, 150, 776–779. [Google Scholar] [CrossRef] [PubMed]
- Duarte, R.F.; Boumendil, A.; Onida, F.; Gabriel, I.; Arranz, R.; Arcese, W.; Poiré, X.; Kobbe, G.; Narni, F.; Cortelezzi, A.; et al. Long-term outcome of allogeneic hematopoietic cell transplantation for patients with mycosis fungoides and Sézary syndrome: A European society for blood and marrow transplantation lymphoma working party extended analysis. J. Clin. Oncol. 2014, 32, 3347–3348. [Google Scholar] [CrossRef] [PubMed]
- Lechowicz, M.J.; Lazarus, H.M.; Carreras, J.; Laport, G.G.; Cutler, C.S.; Wiernik, P.H.; Hale, G.A.; Maharaj, D.; Gale, R.P.; Rowlings, P.A.; et al. Allogeneic hematopoietic cell transplantation for mycosis fungoides and Sezary syndrome. Bone Marrow Transplant. 2014, 49, 1360–1365. [Google Scholar] [CrossRef]
- Horwitz, S.M.; Scarisbrick, J.J.; Dummer, R.; Whittaker, S.; Duvic, M.; Kim, Y.H.; Quaglino, P.; Zinzani, P.L.; Bechter, O.; Eradat, H.; et al. Randomized phase 3 ALCANZA study of brentuximab vedotin vs physician’s choice in cutaneous T-cell lymphoma: Final data. Blood Adv. 2021, 5, 5098–5106. [Google Scholar] [CrossRef]
- de Masson, A.; Beylot-Barry, M.; Ram-Wolff, C.; Mear, J.B.; Dalle, S.; d’Incan, M.; Ingen-Housz-Oro, S.; Orvain, C.; Abraham, J.; Dereure, O.; et al. Allogeneic transplantation in advanced cutaneous T-cell lymphomas (CUTALLO): A propensity score matched controlled prospective study. Lancet. 2023, 401, 1941–1950. [Google Scholar] [CrossRef]
- Dai, J.; Duvic, M. Cutaneous T-Cell Lymphoma: Current and Emerging Therapies. Oncology 2023, 37, 55–62. [Google Scholar]
- Willemze, R.; Hodak, E.; Zinzani, P.L.; Specht, L.; Ladetto, M. Primary cutaneous lymphomas: ESMO Clinical Practice Guidelines for diagnosis, treatment and follow-up. Ann. Oncol. 2018, 29, iv30–iv40. [Google Scholar] [CrossRef]
- National Institute for Health and Care Excellence (NICE). A List of All Our Products on Blood and Bone Marrow Cancers. 2022. Available online: https://www.nice.org.uk/guidance/conditions-and-diseases/blood-and-immune-system-conditions/blood-and-bone-marrow-cancers/products?ProductType=Guidance&Status=Published (accessed on 17 January 2023).



| Age | n = 104 |
|---|---|
| Mean (SD) | 54.3 (14.7) |
| Median (range) | 54.5 (21.0–82.0) |
| Sex, n (%) | |
| Male | 63 (60.6) |
| Female | 41 (39.4) |
| Ethnicity, n (%) | |
| Caucasian | 82 (78.8) |
| African | 1 (1.0) |
| Asian | 0 (0.0) |
| Caribbean | 0 (0.0) |
| Latino | 0 (0.0) |
| Multiracial | 0 (0.0) |
| Other | 1 (1.0) |
| Unknown | 20 (19.2) |
| Specialty of physicians managing patients *, n (%) | |
| Family physician | 22 (21.2) |
| Dermatologist | 88 (84.6) |
| Oncologist | 26 (25.0) |
| Dermatologist/oncologist | 25 (24.0) |
| Hematologist | 31 (29.8) |
| Hematologist/oncologist | 12 (11.5) |
| Radiation oncologist | 28 (26.9) |
| Other | 6 (5.8) |
| Care setting, n (%) | |
| Community hospital | 15 (14.4) |
| Academic teaching hospital | 71 (68.3) |
| Cancer center | 16 (15.4) |
| Community clinic | 1 (1.0) |
| Other | 0 (0.0) |
| Unknown | 1 (1.0) |
| France | Germany | Italy | Spain | UK | |
|---|---|---|---|---|---|
| (%) | (%) | (%) | (%) | (%) | |
| Family physician | 15.8 | 38.1 | 7.5 | 20.5 | 28.9 |
| Dermatologist | 89.5 | 100.0 | 55.0 | 87.2 | 94.7 |
| Oncologist | 5.3 | 23.8 | 2.5 | 10.3 | 73.7 |
| Dermatologist/oncologist | 42.1 | 42.9 | 5.0 | 28.2 | 23.7 |
| Hematologist | 10.5 | 0.0 | 62.5 | 23.1 | 47.4 |
| Hematologist/oncologist | 10.5 | 4.8 | 20.0 | 20.5 | 13.2 |
| Radiation oncologist | 31.6 | 28.6 | 0.0 | 30.8 | 39.5 |
| Other | 0.0 | 4.8 | 2.5 | 10.3 | 7.9 |
| Unknown | 0.0 | 0.0 | 0.0 | 0.0 | 0.0 |
| ISCL/EORTC Staging, n (%) | At Diagnosis (n = 104) | At First R/R MF (n = 100) |
|---|---|---|
| IA | 12 (11.5) | 5 (5.0) |
| IB | 42 (40.4) | 26 (26.0) |
| IIA | 4 (3.8) | 4 (4.0) |
| IIB | 19 (18.3) | 28 (28.0) |
| IIIA | 2 (1.9) | 10 (10.0) |
| IIIB | 4 (3.8) | 3 (3.0) |
| IVA1 | 1 (1.0) | 1 (1.0) |
| IVA2 | 4 (3.8) | 6 (6.0) |
| IVB | 2 (1.9) | 2 (2.0) |
| Unknown | 14 (13.5) | 15 (15.0) |
| MF (n = 104) | ||
|---|---|---|
| n | % | |
| Systemic therapy | 104 | 100.0 |
| Bexarotene | 22 | 21.2 |
| METX | 12 | 11.5 |
| Bexarotene + METX | 1 | 1.0 |
| Other retinoids | 13 | 12.5 |
| Single-agent chemotherapy | 15 | 14.4 |
| Combination chemotherapy | 10 | 9.6 |
| Corticosteroids | 3 | 2.9 |
| IFN | 27 | 26.0 |
| HDAC inhibitors | 0 | 0.0 |
| ECP | 1 | 1.0 |
| Variable | France | Germany | Italy | Spain | UK |
|---|---|---|---|---|---|
| (%) | (%) | (%) | (%) | (%) | |
| Systemic therapy | |||||
| Bexarotene | 6.2 | 14.3 | 17.5 | 36.1 | 2.9 |
| METX | 37.5 | 33.3 | 5.0 | 5.6 | 8.8 |
| Bexarotene + METX | 6.2 | 0.0 | 0.0 | 0.0 | 2.9 |
| Other retinoids | 0.0 | 23.8 | 5.0 | 5.6 | 17.6 |
| Single-agent chemotherapy | 12.5 | 14.3 | 15.0 | 19.4 | 17.6 |
| Combination chemotherapy | 12.5 | 4.8 | 20.0 | 25.0 | 8.8 |
| Corticosteroids | 0.0 | 0.0 | 7.5 | 0.0 | 0.0 |
| IFN | 12.5 | 9.5 | 25.0 | 8.3 | 41.2 |
| HDAC inhibitors | 0.0 | 0.0 | 0.0 | 0.0 | 0.0 |
| ECP | 12.5 | 0.0 | 5.0 | 0.0 | 0.0 |
| n (%) | First Line (n = 104) | Second Line (n = 100) | Third Line (n = 61) |
|---|---|---|---|
| Patients with Systemic Therapy or Radiotherapy | 104 (100.0) | 94 (94.0) | 56 (91.8) |
| Global response | |||
| Complete | 7 (6.7) | 12 (12.8) | 7 (12.5) |
| Partial | 30 (28.8) | 31 (33.0) | 15 (26.8) |
| Stable | 16 (15.4) | 11 (11.7) | 7 (12.5) |
| Progression | 28 (26.9) | 15 (16.0) | 10 (17.9) |
| Unknown | 23 (22.1) | 25 (26.6) | 17 (30.4) |
| Local response * | |||
| Complete | 1 (1.0) | 1 (1.1) | 0 (0.0) |
| Partial | 8 (7.7) | 7 (7.4) | 5 (8.9) |
| Stable | 3 (2.9) | 2 (2.1) | 3 (5.4) |
| Progression | 1 (1.0) | 4 (4.3) | 2 (3.6) |
| Unknown | 10 (9.6) | 11 (11.7) | 7 (12.5) |
| Treatment | Second Line (n = 100) | Third Line (n = 61) |
|---|---|---|
| n (%) | n (%) | |
| Systemic therapy | 85 (85.0) | 48 (78.7) |
| Bexarotene | 20 (23.5) | 9 (18.8) |
| Methotrexate | 10 (11.8) | 0 (0.0) |
| Bexarotene + methotrexate | 2 (2.4) | 2 (4.2) |
| Other retinoids | 6 (7.1) | 4 (8.3) |
| Single-agent chemotherapy | 20 (23.5) | 14 (29.2) |
| Combination chemotherapy | 11 (12.9) | 6 (12.5) |
| Corticosteroids | 1 (1.2) | 0 (0.0) |
| Interferon | 12 (14.1) | 10 (20.8) |
| Histone deacetylase inhibitors | 2 (2.4) | 2 (4.2) |
| Extracorporeal photopheresis | 1 (1.2) | 1 (2.1) |
| Radiotherapy | 32 (32.0) | 21 (34.4) |
| Type of radiotherapy * | ||
| Electron beam | 16 (50.0) | 13 (61.9) |
| X-ray | 11 (34.4) | 8 (38.1) |
| Unknown | 5 (15.6) | 0 (0.0) |
| Extent of radiotherapy | ||
| Local | 21 (65.6) | 13 (61.9) |
| Total | 8 (25.0) | 8 (38.1) |
| Unknown | 3 (9.4) | 0 (0.0) |
| Target location * | ||
| Head | 5 (15.6) | 2 (9.5) |
| Face | 5 (15.6) | 3 (14.3) |
| Anterior trunk | 8 (25.0) | 6 (28.6) |
| Posterior trunk | 8 (25.0) | 2 (9.5) |
| Arms | 7 (21.9) | 3 (14.3) |
| Legs | 3 (9.4) | 2 (9.5) |
| Palms | 7 (21.9) | 6 (28.6) |
| Unknown | 15 (46.9) | 11 (52.4) |
| Skin-directed therapy * | 48 (48.0) | 22 (36.1) |
| Topical steroids | 35 (72.9) | 19 (86.4) |
| Topical mechlorethamine | 1 (2.1) | 1 (4.5) |
| Topical carmustine | 3 (6.2) | 1 (4.5) |
| Topical bexarotene | 0 (0.0) | 0 (0.0) |
| Tazarotene | 0 (0.0) | 0 (0.0) |
| Imiquimod | 0 (0.0) | 0 (0.0) |
| Heliotherapy | 0 (0.0) | 0 (0.0) |
| Photodynamic therapy | 0 (0.0) | 1 (4.5) |
| UVB phototherapy | 1 (2.1) | 1 (4.5) |
| nbUVB phototherapy | 5 (10.4) | 1 (4.5) |
| PUVA phototherapy | 19 (39.6) | 5 (22.7) |
| Other | 1 (2.1) | 1 (4.5) |
| Other treatments | 10 (10.0) | 7 (11.5) |
| Clinical trial | 6 (6.0) | 4 (6.6) |
| Surgery | 2 (2.0) | 0 (0.0) |
| Stem cell transplant | 2 (2.0) | 3 (4.9) |
| Allogeneic stem cell transplant | 2 (2.0) | 2 (3.3) |
| Autologous stem cell transplant | 0 (0.0) | 1 (1.6) |
| Unknown | 0 (0.0) | 0 (0.0) |
| First Line (n = 104) * | Second Line (n = 100) ** | Third Line (n = 61) ** | |
|---|---|---|---|
| Patients with relapsed or refractory MF, n (%) | |||
| Relapsed | 50 (48.1) | 44 (44.0) | 15 (24.6) |
| Refractory | 54 (51.9) | 36 (36.0) | 23 (37.7) |
| Neither | 0 | 20 (20.0) | 23 (37.7) |
| Time to relapsed or refractory MF, months | |||
| Mean (SD) | 21.3 (27.7) | 24.6 (30.8) | 10.4 (8.2) |
| Median (range) | 11.2 (0.3–166.5) | 13.5 (0.0–174.6) | 9.1 (0.0–39.0) |
| Unknown, n (%) | 8 (7.7) | 2 (2.5) | 0 (0.0) |
| After First Line (n = 94) | After Second Line (n = 56) | |
|---|---|---|
| n (%) | n (%) | |
| Number of patients who discontinued treatment | 31 (33.0) | 20 (35.7) |
| Reason for early discontinuation | ||
| Toxicity | 6 (19.4) | 3 (15.0) |
| Compliance | 0 (0.0) | 0 (0.0) |
| Death | 3 (9.7) | 4 (20.0) |
| Disease progression | 7 (22.6) | 4 (20.0) |
| Patient decision | 5 (16.1) | 4 (20.0) |
| Other | 9 * (29.0) | 4 ** (20.0) |
| Not provided in chart | 1 (3.2) | 1 (5.0) |
| Number of patients who did not take the treatment as prescribed | 6 (6.4) | 1 (1.8) |
| Reason for not being taken as prescribed | ||
| Toxicity | 1 (16.7) | 1 (100.0) |
| Missed dose (scheduled) | 0 (0.0) | 0 (0.0) |
| Missed dose (unscheduled) | 3 (50.0) | 0 (0.0) |
| Other | 1 (16.7) | 0 (0.0) |
| Not available in the chart | 1 (16.7) | 0 (0.0) |
Disclaimer/Publisher’s Note: The statements, opinions and data contained in all publications are solely those of the individual author(s) and contributor(s) and not of MDPI and/or the editor(s). MDPI and/or the editor(s) disclaim responsibility for any injury to people or property resulting from any ideas, methods, instructions or products referred to in the content. |
© 2023 by the authors. Licensee MDPI, Basel, Switzerland. This article is an open access article distributed under the terms and conditions of the Creative Commons Attribution (CC BY) license (https://creativecommons.org/licenses/by/4.0/).
Share and Cite
Assaf, C.; Illidge, T.M.; Waser, N.; He, M.; Li, T.; Zomas, A.; Bent-Ennakhil, N.; Little, M.; Ortiz-Romero, P.L.; Pimpinelli, N.; et al. A Retrospective Chart Review of Treatment Patterns and Overall Survival among a Cohort of Patients with Relapsed/Refractory Mycosis Fungoides in France, Germany, Italy, Spain and the United Kingdom. Cancers 2023, 15, 5669. https://doi.org/10.3390/cancers15235669
Assaf C, Illidge TM, Waser N, He M, Li T, Zomas A, Bent-Ennakhil N, Little M, Ortiz-Romero PL, Pimpinelli N, et al. A Retrospective Chart Review of Treatment Patterns and Overall Survival among a Cohort of Patients with Relapsed/Refractory Mycosis Fungoides in France, Germany, Italy, Spain and the United Kingdom. Cancers. 2023; 15(23):5669. https://doi.org/10.3390/cancers15235669
Chicago/Turabian StyleAssaf, Chalid, Timothy M. Illidge, Nathalie Waser, Mary He, Tina Li, Athanasios Zomas, Nawal Bent-Ennakhil, Meredith Little, Pablo L. Ortiz-Romero, Nicola Pimpinelli, and et al. 2023. "A Retrospective Chart Review of Treatment Patterns and Overall Survival among a Cohort of Patients with Relapsed/Refractory Mycosis Fungoides in France, Germany, Italy, Spain and the United Kingdom" Cancers 15, no. 23: 5669. https://doi.org/10.3390/cancers15235669
APA StyleAssaf, C., Illidge, T. M., Waser, N., He, M., Li, T., Zomas, A., Bent-Ennakhil, N., Little, M., Ortiz-Romero, P. L., Pimpinelli, N., Dalal, M., & Bagot, M. (2023). A Retrospective Chart Review of Treatment Patterns and Overall Survival among a Cohort of Patients with Relapsed/Refractory Mycosis Fungoides in France, Germany, Italy, Spain and the United Kingdom. Cancers, 15(23), 5669. https://doi.org/10.3390/cancers15235669

