Positive Mental Health Scale (PMHS) in Parents of Children with Cancer: A Psychometric Evaluation Using Item Response Theory
Simple Summary
Abstract
1. Introduction
2. Materials and Methods
2.1. Participants
2.2. Measuring Instruments
2.3. Procedure
2.4. Ethical Considerations
2.5. Item Response Theory Modeling
3. Results
3.1. Characteristics of the Parents
3.2. Model Comparisons
3.3. Parameter Estimation and Item Characteristic Curves
3.4. Item and Test Information Functions and Expected Total Scores
3.5. Latent Trait Estimates
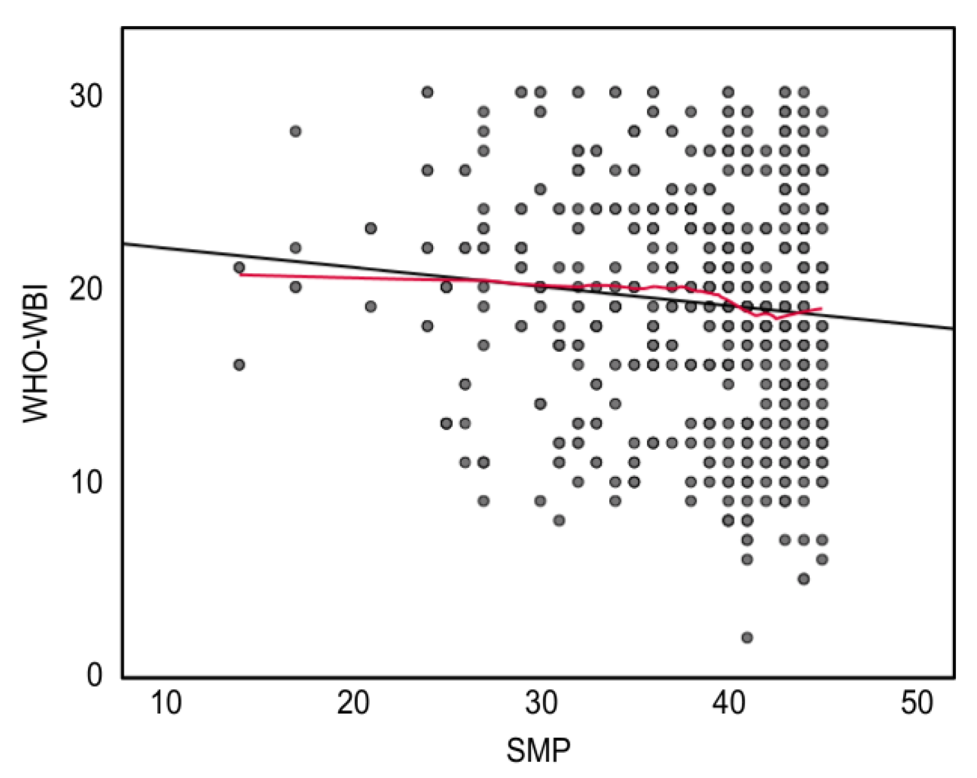
3.6. Concurrent Validity
4. Discussion
5. Conclusions
Author Contributions
Funding
Institutional Review Board Statement
Informed Consent Statement
Data Availability Statement
Acknowledgments
Conflicts of Interest
References
- Toledano-Toledano, F.; Moral de la Rubia, J.; McCubbin, L.D.; Liebenberg, L.; Jiménez, J.A.V.; Rivera-Rivera, L.; Hart, A.; Nava, L.A.B.; García, M.S.; Valverde, S.M.; et al. Validity and reliability of the Mexican resilience measurement scale in families of children with chronic conditions. Health Qual. Life Outcomes 2017, 15, 242. [Google Scholar] [CrossRef] [PubMed]
- Toledano-Toledano, F.; Moral de la Rubia, J.; McCubbin, L.D.; Cauley, B.; Luna, D. Brief version of the coping health inventory for parents (CHIP) among family caregivers of children with chronic diseases. Health Qual. Life Outcomes 2020, 18, 104. [Google Scholar] [CrossRef]
- Toledano-Toledano, F.; Domínguez-Guedea, M.T. Psychosocial factors related with caregiver burden among families of children with chronic conditions. BioPsychoSoc. Med. 2019, 13, 6. [Google Scholar] [CrossRef] [PubMed]
- Toledano-Toledano, F.; Luna, D.; Moral de la Rubia, J.; Martínez, S.; Bermudez, C.A.; García, M.; Vázquez, M. Psychosocial factors predicting resilience in family caregivers of children with cancer: A cross-sectional study. Int. J. Environ. Res. Public Health 2021, 18, 748. [Google Scholar] [CrossRef] [PubMed]
- Toledano-Toledano, F.; Moral de la Rubia, J.; Nabors, L.A.; Domínguez-Guedea, M.T.; Escudero, G.S.; Pérez, E.R.; Luna, D.; López, A.L. Predictors of quality of life among parents of children with chronic diseases: A cross-sectional study. Healthcare 2020, 8, 456. [Google Scholar] [CrossRef]
- Toledano-Toledano, F.; Luna, D. The psychosocial profile of family caregivers of children with chronic diseases: A cross-sectional study. BioPsychoSoc. Med. 2020, 14, 29. [Google Scholar] [CrossRef]
- Jahoda, M. Current Concepts of Positive Mental Health; Basic Books: New York, NY, USA, 1958. [Google Scholar]
- World Health Organization. Promoting Mental Health: Concepts, Emerging Evidence, Practice: Summary Report; World Health Organization: Geneva, Switzerland, 2004. [Google Scholar]
- Muñoz, C.O.; Restrepo, D.; Cardona, D. Construcción del concepto de salud mental positiva: Revisión sistemática. Pan Am. J. Public Health 2016, 39, 166–173. [Google Scholar]
- Guzmán, M.L.B.; Galaz, M.M.F. Construcción de una escala de salud mental positiva para adultos en población mexicana. Rev. Iberoam. Diagn. Eval. 2015, 39, 22–33. [Google Scholar]
- Canut, M.T.L. Construccion de una Escala Para Evaluar La Salud Mental Positiva. Ph.D. Thesis, Universidad de Barcelona, Barcelona, Spain, 1999. [Google Scholar]
- Canut, M.T.L. Evaluación empiríca de un modelo conceptual de salud mental positiva. Salud Ment. 2002, 25, 42–55. [Google Scholar]
- Canut, M.T.L. Construcción y análisis psicométrico de un cuestionario para evaluar la salud mental positiva. Psicol. Conduct. 2003, 11, 61–78. [Google Scholar]
- Keyes, C.L.M. The Subjective well-being of America's youth: Toward a comprehensive assessment. Adolesc. Fam. Health 2006, 4, 3–11. [Google Scholar]
- Hu, Y.; Stewart-Brown, S.; Twigg, L.I.Z.; Weich, S. Can the 12-item general health questionnaire be used to measure positive mental health? Psychol. Med. 2007, 37, 1005–1013. [Google Scholar] [CrossRef] [PubMed]
- Vaingankar, J.A.; Subramaniam, M.; Chong, S.A.; Abdin, E.; Orlando Edelen, M.; Picco, L.; Lim, Y.W.; Phua, M.Y.; Chua, B.Y.; Tee, J.Y.S.; et al. The positive mental health instrument: Development and validation of a culturally relevant scale in a multi-ethnic Asian population. Health Qual. Life Outcomes 2011, 9, 92. [Google Scholar] [CrossRef]
- Ganga, N.S.; Kutty, V.R. Measuring positive mental health: Development of the achutha menon centre positive mental health scale. Asia Pac. J. Public Health 2012, 27, NP1893–NP1906. [Google Scholar] [CrossRef]
- Vaingankar, J.A.; Subramaniam, M.; Abdin, E.; Picco, L.; Chua, B.Y.; Eng, G.K.; Sambasivam, R.; Shafie, S.; Zhang, Y.; Chong, S.A. Development, validity and reliability of the short multidimensional positive mental health instrument. Qual. Life Res. 2014, 23, 1459–1477. [Google Scholar] [CrossRef]
- Lukat, J.; Margraf, J.; Lutz, R.; van der Veld, W.M.; Becker, E.S. Psychometric properties of the positive mental health scale (PMH-scale). BMC Psychol. 2016, 4, 8. [Google Scholar] [CrossRef]
- Vaingankar, J.A.; Abdin, E.; van Dam, R.M.; Chong, S.A.; Tan, L.W.L.; Sambasivam, R.; Seow, E.; Chua, B.Y.; Wee, H.L.; Lim, W.Y.; et al. Development and validation of the rapid positive mental health instrument (R-PMHI) for measuring mental health outcomes in the population. BMC Public Health 2020, 20, 471. [Google Scholar] [CrossRef]
- Barry, M.M. Addressing the determinants of positive mental health: Concepts, evidence and practice. Int. J. Ment. Health Promot. 2009, 11, 4–17. [Google Scholar] [CrossRef]
- Stieglitz, R.-D. Das freiburger-persönlichkeitsinventar (FPI). Z. Klin. Psychol. Psychother. 2002, 31, 223–224. [Google Scholar] [CrossRef]
- Grob, A.; Lüthi, R.; Kaiser, F.G.; Flammer, A.; Mackinnon, A.; Wearing, A.J. Berner fragebogen zum wohlbefinden jugendlicher (BFW) [The Bern subjective well-being questionnaire for adolescents (BFW)]. Diagnostica 1991, 37, 66–75. [Google Scholar]
- Calizaya-López, J.; Pacheco-Quico, M.A.; Alemán-Vilca, Y.; Mario Zapata-Delgado, F.; Caldi-choury-Obando, N.; López, N.; Ramos-Vargas, L.F.; Soto-Añari, M. Propiedades psicométricas de la escala de salud mental positiva en Arequipa (Perú). Ann. Psychol. 2022, 38, 76–84. [Google Scholar] [CrossRef]
- González-Arratia-López-Fuentes, N.I.; Medina, J.L.V. Validez de la escala de salud mental positiva en Niños Mexicanos. Acta Investig. Psicol. 2016, 6, 2368–2383. [Google Scholar] [CrossRef]
- Pérez, L.T.; González-Arratia López-Fuentes, N.I.; van Barneveld, H.O. Salud mental positiva en adolescentes mexicanos: Diferencias por sexo/Positive mental health in Mexican adolescents: Differences by sex. Rev. Costarric. Psicol. 2018, 37, 131–143. [Google Scholar] [CrossRef]
- Lluch-Canut, T.; Puig-Llobet, M.; Sánchez-Ortega, A.; Roldán-Merino, J.; Ferré-Grau, C.; Positive Mental Health Research Group. Assessing positive mental health in people with chronic physical health problems: Correlations with socio-demographic variables and physical health status. BMC Public Health 2013, 13, 928. [Google Scholar] [CrossRef] [PubMed]
- Teismann, T.; Forkmann, T.; Brailovskaia, J.; Siegmann, P.; Glaesmer, H.; Margraf, J. Positive mental health moderates the association between depression and suicide ideation: A longitudinal study. Int. J. Clin. Health Psychol. 2018, 18, 1–7. [Google Scholar] [CrossRef]
- Teismann, T.; Brailovskaia, J.; Margraf, J. Positive mental health, positive affect and suicide ideation. Int. J. Clin. Health Psychol. 2019, 19, 165–169. [Google Scholar] [CrossRef]
- Keyes, C.L.M.; Simoes, E.J. To flourish or not: Positive mental health and all-cause mortality. Am. J. Public Health 2012, 102, 2164–2172. [Google Scholar] [CrossRef]
- Teixeira, S.M.A.; Coelho, J.C.F.; da Cruz Sequeira, C.A.; Canut, M.T.L.; Ferré-Grau, C. The effectiveness of positive mental health programs in adults: A systematic review. Health Soc. Care Community 2019, 27, 1126–1134. [Google Scholar] [CrossRef]
- Yaqoob, U.; Ali Khan, M.; Khemani, L.; Ul-Haq, F.; Rafiq, J.; Iftikhar, A.S. Diabetes mellitus in children and its effect on caregivers' mental health. Cureus 2018, 10, e2409. [Google Scholar] [CrossRef]
- Zhao, J.; Zeng, Z.; Yu, J.; Xu, J.; Chen, P.; Chen, Y.; Li, J.; Ma, Y. Effect of main family caregiver's anxiety and depression on mortality of patients with moderate-severe stroke. Sci. Rep. 2021, 11, 2747. [Google Scholar] [CrossRef]
- Mosher, C.E.; Bakas, T.; Champion, V.L. Physical health, mental health, and life changes among family caregivers of patients with lung cancer. Oncol. Nurs. Forum 2013, 40, 53–61. [Google Scholar] [CrossRef] [PubMed]
- Weiss, D.; Northouse, L.; Duffy, S.; Ingersoll-Dayton, B.; Katapodi, M.; LoRusso, P. Qualitative analysis of the experience of mental fatigue of family caregivers of patients with cancer in phase I trials. Oncol. Nurs. Forum 2016, 43, E153–E160. [Google Scholar] [CrossRef] [PubMed]
- Yu, W.; Chen, J.; Sun, S.; Liu, P.; Ouyang, L.; Hu, J. The reciprocal associations between caregiver burden, and mental health in primary caregivers of cancer patients: A longitudinal study. Psychooncology 2021, 30, 892–900. [Google Scholar] [CrossRef] [PubMed]
- Embretson, S.E.; Reise, S.P. Item Response Theory for Psychologists; Psychology Press: London, UK, 2013. [Google Scholar]
- De Ayala, R.J. The Theory and Practice of Item Response Theory. Methodology in the Social Sciences; Guilford Publications: New York, NY, USA, 2008. [Google Scholar]
- Toledano-Toledano, F.; Rodríguez-Rey, R.; Moral de la Rubia, J.; Luna, D. A Sociodemographic variables questionnaire (Q-SV) for research on family caregivers of children with chronic disease. BMC Psychol. 2019, 7, 85. [Google Scholar] [CrossRef]
- Jiménez, S.; Moral de la Rubia, J.; Varela-Garay, R.M.; Merino-Soto, C.; Toledano-Toledano, F. Resilience measurement scale in family caregivers of children with cancer: Multidimensional item response theory modeling. Front. Psychiatry 2023, 13, 985456. [Google Scholar] [CrossRef] [PubMed]
- Toledano-Toledano, F.; Moral de la Rubia, J.; Broche-Pérez, Y.; Domínguez-Guedea, M.T.; Granados-García, V. The measurement scale of resilience among family caregivers of children with cancer: A psychometric evaluation. BMC Public Health 2019, 19, 1164. [Google Scholar] [CrossRef]
- Beck, A.T.; Steer, R.A.; Brown, G. Manual for the Beck Depression Inventory-II.; TX Psychol Corp.: San Antonio, TX, USA, 1996. [Google Scholar]
- Toledano-Toledano, F.; Contreras-Valdez, J.A. Validity and reliability of the Beck Depression Inventory II (BDI-II) in family caregivers of children with chronic diseases. PLoS ONE 2018, 13, e0206917. [Google Scholar] [CrossRef]
- Beck, A.T.; Epstein, N.; Brown, G.; Steer, R.A. An inventory for measuring clinical anxiety: Psychometric properties. J. Consult. Clin. Psychol. 1988, 56, 893–897. [Google Scholar] [CrossRef]
- Toledano-Toledano, F.; Moral de la Rubia, J.; Domínguez-Guedea, M.T.; Nabors, L.A.; Barcelata-Eguiarte, B.E.; Rocha-Pérez, E.; Luna, D.; Leyva-López, A.; Rivera-Rivera, L. Validity and reliability of the Beck Anxiety Inventory (BAI) for family caregivers of children with cancer. Int. J. Environ. Res. Public Health 2020, 17, 7765. [Google Scholar] [CrossRef]
- Harper, A.; Power, M.; Orley, J.; Herrman, H.; Schofield, H.; Murphy, B. Development of the World Health Organization WHOQOL-BREF quality of life assessment. Psychol. Med. 1998, 28, 551–558. [Google Scholar] [CrossRef]
- González-Celis, R.; Sánchez-Sosa, J.J. Efectos de un programa cognitivo-conductual para mejorar la calidad de vida en adultos mayores. Rev. Mex. Psicol. 2003, 20, 43–58. [Google Scholar]
- Zarit, S.H.; Reever, K.E.; Bach-Peterson, J. Relatives of the impaired elderly: Correlates of feelings of burden. Gerontologist 1980, 20, 649–655. [Google Scholar] [CrossRef] [PubMed]
- Flores-Terrones, M.; Galindo-Vázquez, Ó.; Jiménez-Genchi, J.; Rivera-Fong, L.; González-Rodríguez, E. Validación de la Entrevista de Carga de Zarit en cuidadores primarios informales de pacientes con diagnóstico de enfermedades mentales. Psicol. Salud 2018, 29, 17–24. [Google Scholar] [CrossRef]
- Bech, P.; Gudex, C.; Johansen, S. The WHO (ten) weil-being index: Validation in diabetes. Psychother. Psychosom. 1996, 65, 183–190. [Google Scholar] [CrossRef] [PubMed]
- Herdman, M.; Fox-Rushby, J.; Badia, X. A model of equivalence in the cultural adaptation of HRQoL instruments: The universalist approach. Qual. Life Res. 1998, 7, 323–335. [Google Scholar] [CrossRef]
- Sociedad Mexicana de Psicología. Código Ético del Psicólogo; Trillas: Mexico City, Mexico, 2010. [Google Scholar]
- American Psychological Association. Ethical principles of psychologists and code of conduct. Am. Psychol. 2002, 57, 1060–1073. [Google Scholar] [CrossRef]
- World Medical Association. World medical association declaration of helsinki: Ethical principles for medical research involving human subjects. JAMA 2013, 310, 2191–2194. [Google Scholar] [CrossRef]
- Muraki, E. A generalized partial credit model: Application of an EM algorithm. Appl. Psychol. Meas. 1992, 16, 159–176. [Google Scholar] [CrossRef]
- Samejima, F. Estimation of latent ability using a response pattern of graded scores. Psychometrika 1970, 35, 139. [Google Scholar] [CrossRef]
- Baker, F.B. The Basics of Item Response Theory, 2nd ed.; ERIC Clearinghouse on Assessment and Evaluation: College Park, MD, USA, 2001. [Google Scholar]
- Chalmers, R.P. Mirt: A multidimensional item response theory package for the R environment. J. Stat. Softw. 2012, 48, 1–29. [Google Scholar] [CrossRef]
- Wickham, H.; Averick, M.; Bryan, J.; Chang, W.; McGowan, L.; François, R.; Grolemund, G.; Hayes, A.; Henry, L.; Hester, J.; et al. Welcome to the Tidyverse. J. Open Source Softw. 2019, 4, 1686. [Google Scholar] [CrossRef]
- Hu, L.T.; Bentler, P.M. Cutoff criteria for fit indexes in covariance structure analysis: Conventional criteria versus new alternatives. Struct. Equ. Model. 1999, 6, 1–55. [Google Scholar] [CrossRef]
- Bentler, P.M. Comparative fit indexes in structural models. Psychol. Bull. 1990, 107, 238–246. [Google Scholar] [CrossRef] [PubMed]
- Wu, Y.; Sang, Z.Q.; Zhang, X.C.; Margraf, J. The relationship between resilience and mental health in Chinese college students: A longitudinal cross-lagged analysis. Front. Psychol. 2020, 11, 108. [Google Scholar] [CrossRef] [PubMed]
- Micceri, T. The unicorn, the normal curve, and other improbable creatures. Psychol. Bull. 1989, 105, 156–166. [Google Scholar] [CrossRef]
- Blanca, M.J.; Arnau, J.; López-Montiel, D.; Bono, R.; Bendayan, R. Skewness and kurtosis in real data samples. Methodology 2013, 9, 78–84. [Google Scholar] [CrossRef]
- Bishara, A.J.; Hittner, J.B. Testing the significance of a correlation with nonnormal data: Comparison of Pearson, Spearman, transformation, and resampling approaches. Psychol. Methods 2012, 17, 399–417. [Google Scholar] [CrossRef]
- Bishara, A.J.; Hittner, J.B. Reducing bias and error in the correlation coefficient due to nonnormality. Educ. Psychol. Meas. 2015, 75, 785–804. [Google Scholar] [CrossRef]
- Rodrigues, M.T.P.; Moreira, T.M.M.; de Andrade, D.F. Elaboração e validação de instrumento avaliador da adesão ao tratamento da hipertensão. Rev. Saude Publica 2014, 48, 232–240. [Google Scholar] [CrossRef][Green Version]
Disclaimer/Publisher’s Note: The statements, opinions and data contained in all publications are solely those of the individual author(s) and contributor(s) and not of the MDPI and/or the editor(s). The MDPI and/or the editor(s) disclaim responsibility for any injury to people or property resulting from any ideas, methods, instructions or products referred to in the content. |





| Sociodemographic Variable | n, Mean | %, SD | |
|---|---|---|---|
| Sex | |||
| Male | 116 | 18.6 | |
| Female | 507 | 81.4 | |
| Schooling | |||
| No schooling | 17 | 2.7 | |
| Primary school | 123 | 19.7 | |
| Middle school | 278 | 44.6 | |
| High school | 159 | 25.5 | |
| University or college | 46 | 7.4 | |
| Occupation | |||
| Homemaker | 405 | 65 | |
| White-collar worker | 86 | 13.8 | |
| Merchant | 58 | 9.3 | |
| Blue-collar worker | 26 | 4.2 | |
| Unemployed | 48 | 7.6 | |
| Marital status | |||
| Married | 252 | 40.4 | |
| Living together | 241 | 38.7 | |
| Separated | 51 | 8.2 | |
| Single | 53 | 8.5 | |
| Divorced | 18 | 2.9 | |
| Widowed | 6 | 0.9 | |
| Other | 2 | 0.3 | |
| Income per month | |||
| <141 USD | 385 | 61.8 | |
| 141–281 USD | 137 | 22.0 | |
| 282–563 USD | 83 | 13.3 | |
| >563 USD | 18 | 2.9 | |
| Religious affiliation | |||
| Catholic Christian | 502 | 80.6 | |
| Non-Catholic Christian | 75 | 12 | |
| No religion | 46 | 7.4 | |
| Age (years) | 31.7 | 7.55 | |
| Number of children | 2.32 | 1.17 | |
| Model | AIC | AICc | SABIC | HQ | BIC | logLik | χ2 |
|---|---|---|---|---|---|---|---|
| GPCM | 10,599.28 | 10,606.46 | 10,655.97 | 10,676.83 | 10,798.84 | −5254.64 | 134.6 |
| GRM | 10,474.95 | 10,482.12 | 10,531.64 | 10,552.50 | 10,674.50 | −5192.47 | 124.33 |
| Number | Item | a | b1 | b2 | b3 | b4 |
|---|---|---|---|---|---|---|
| 1 | I am often carefree and in good spirits. | 0.64 | −4.17 | −3.69 | −0.86 | 1.92 |
| 2 | I enjoy my life. | 1.9 | −2.41 | −2.09 | −0.99 | −0.14 |
| 3 | All in all, I am satisfied with my life. | 2.81 | −2.24 | −1.77 | −1.02 | −0.48 |
| 4 | In general, I am confident. | 3.41 | −2.37 | −1.95 | −1.22 | −0.67 |
| 5 | I manage well to fulfill my needs. | 2.21 | −3.18 | −2.8 | −1.48 | −0.7 |
| 6 | I am in good physical and emotional condition. | 1.48 | −2.62 | −1.98 | −0.55 | 0.23 |
| 7 | I feel that I am actually well equipped to deal with life and its difficulties. | 2 | −3.05 | −2.69 | −1.18 | −0.46 |
| 8 | Much of what I do brings me joy. | 3.02 | −2.69 | −2.22 | −1.07 | −0.27 |
| 9 | I am a calm, balanced human being. | 2.52 | −2.44 | −2.04 | −0.9 | −0.08 |
| Measures of Association | RESI-M | BDI-II | BAI | ZBI | WHOQoL | WHO-WBI |
|---|---|---|---|---|---|---|
| Linear | −0.044 | 0.058 | 0.065 | 0.030 | −0.002 | −0.105 ** |
| Monotonic | −0.050 | 0.055 | 0.072 | 0.022 | −0.025 | −0.109 ** |
| Descriptive information | ||||||
| M | 130.77 | 13.79 | 14.78 | 23.24 | 83.63 | 19.23 |
| SD | 16.04 | 9.84 | 13.47 | 12.27 | 11.09 | 5.77 |
| Skew | 0.102 | 1.029 | 1.239 | 1.133 | 0.070 | −0.170 |
| Kurtosis | 0.179 | 1.370 | 0.956 | 2.941 | −0.222 | −0.601 |
Disclaimer/Publisher’s Note: The statements, opinions and data contained in all publications are solely those of the individual author(s) and contributor(s) and not of MDPI and/or the editor(s). MDPI and/or the editor(s) disclaim responsibility for any injury to people or property resulting from any ideas, methods, instructions or products referred to in the content. |
© 2023 by the authors. Licensee MDPI, Basel, Switzerland. This article is an open access article distributed under the terms and conditions of the Creative Commons Attribution (CC BY) license (https://creativecommons.org/licenses/by/4.0/).
Share and Cite
Toledano-Toledano, F.; Jiménez, S.; Moral de la Rubia, J.; Merino-Soto, C.; Rivera-Rivera, L. Positive Mental Health Scale (PMHS) in Parents of Children with Cancer: A Psychometric Evaluation Using Item Response Theory. Cancers 2023, 15, 2744. https://doi.org/10.3390/cancers15102744
Toledano-Toledano F, Jiménez S, Moral de la Rubia J, Merino-Soto C, Rivera-Rivera L. Positive Mental Health Scale (PMHS) in Parents of Children with Cancer: A Psychometric Evaluation Using Item Response Theory. Cancers. 2023; 15(10):2744. https://doi.org/10.3390/cancers15102744
Chicago/Turabian StyleToledano-Toledano, Filiberto, Said Jiménez, José Moral de la Rubia, Cesar Merino-Soto, and Leonor Rivera-Rivera. 2023. "Positive Mental Health Scale (PMHS) in Parents of Children with Cancer: A Psychometric Evaluation Using Item Response Theory" Cancers 15, no. 10: 2744. https://doi.org/10.3390/cancers15102744
APA StyleToledano-Toledano, F., Jiménez, S., Moral de la Rubia, J., Merino-Soto, C., & Rivera-Rivera, L. (2023). Positive Mental Health Scale (PMHS) in Parents of Children with Cancer: A Psychometric Evaluation Using Item Response Theory. Cancers, 15(10), 2744. https://doi.org/10.3390/cancers15102744

