Attention-Based Deep Learning System for Classification of Breast Lesions—Multimodal, Weakly Supervised Approach
Abstract
Simple Summary
Abstract
1. Introduction
- A proposition for the deployment of deep learning models with Multiple Instance Learning algorithms for breast cancer diagnosis based on full-field digital mammography MLO and CC images, taking advantage of data annotated just at an image level;
- A comparative analysis of breast cancer diagnosis performance based on just CC images, just MLO images, the analysis of combined CC and MLO images, and multimodal analysis of CC and MLO images;
- An analysis of the potential of employing attentional maps to verify the correctness of the algorithm and to indicate the areas of the images where cancer foci are located (detection);
- Comprehensive ablation studies showing the impact of the system’s hyperparameters on the effectiveness of the system’s performance, quality, and usability for the end users of the accompanying attentional maps. Most common neural models were also investigated;
- Analysis and discussion of the results confirming the classification effectiveness of the proposed approach and showing the benefits of using attentional maps to detect biases in the data causing seemingly effective but completely wrong system operation;
- Comparative and validation studies on sets differing in the number of images, pixel intensity levels, and subtypes of existing lesions;
- An analysis of the benefits of transfer learning from one dataset to another.
2. Related Work
3. Proposed Methodology
3.1. Datasets
3.2. Multiple Instance Learning-Based Classification
3.2.1. Attention Pooling Mechanism
3.2.2. Clustering-Constrained Attention
3.3. Implementation Details
3.3.1. Data Preprocessing for Machine Learning Model
3.3.2. Data Augmentation
3.3.3. Models Used
3.3.4. Training Parameters
3.3.5. Software and Hardware
4. Results
4.1. Ablation Study
4.2. A Single-View Breast Cancer Classification
- Only CC view images (MLO images were not used);
- Only MLO view images (CC images were not used);
- Both CC and MLO view images (each view treated as a separate case).
4.3. A Multimodal-View Breast Cancer Classification
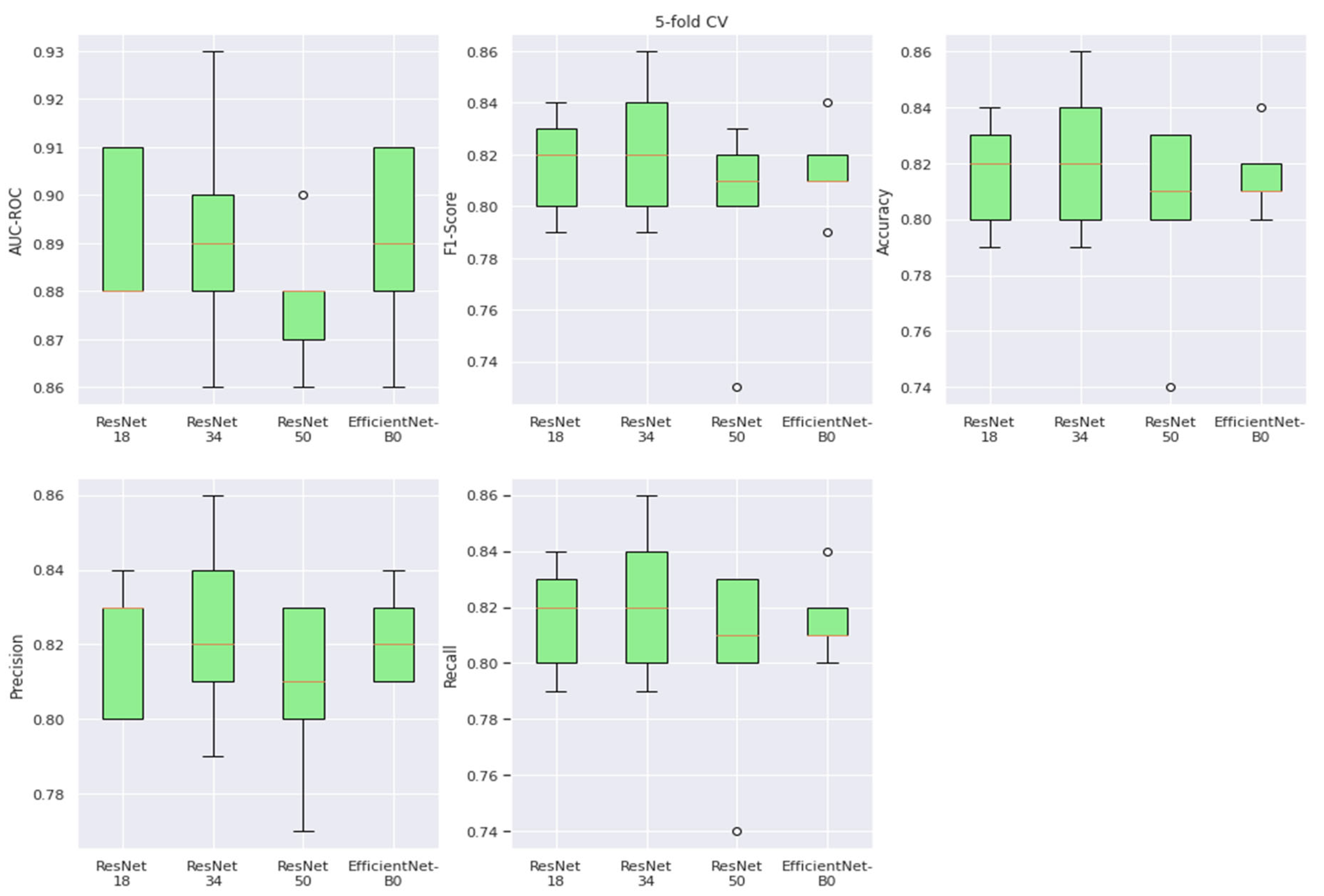
4.4. Comparison with Other CNN Pre-Trained Models for Multimodal-View Breast Cancer Classification
4.5. Identification and Influence of Artefacts on Classification—Advantages of the MIL Explainability Mechanism
4.6. Interpretable Decisions—Attention Heatmaps
4.7. Summary of Results with Optimal Threshold Selection
4.8. Evaluation with the CMMD Dataset
5. Discussion
6. Conclusions
Author Contributions
Funding
Institutional Review Board Statement
Informed Consent Statement
Data Availability Statement
Conflicts of Interest
Appendix A




References
- GLOBOCAN 2020: New Global Cancer Data|UICC. Available online: https://www.uicc.org/news/globocan-2020-new-global-cancer-data (accessed on 16 March 2023).
- McDonald, E.S.; Clark, A.S.; Tchou, J.; Zhang, P.; Freedman, G.M. Clinical Diagnosis and Management of Breast Cancer. J. Nucl. Med. Off. Publ. Soc. Nucl. Med. 2016, 57 (Suppl. 1), 9S–16S. [Google Scholar] [CrossRef] [PubMed]
- Zielonke, N.; Kregting, L.M.; Heijnsdijk, E.A.M.; Veerus, P.; Heinävaara, S.; McKee, M.; de Kok, I.M.C.M.; de Koning, H.J.; van Ravesteyn, N.T. The Potential of Breast Cancer Screening in Europe. Int. J. Cancer 2021, 148, 406–418. [Google Scholar] [CrossRef] [PubMed]
- Mathew, J.; Sibbering, M. Breast Cancer Screening. In Breast Cancer Management for Surgeons: A European Multidisciplinary Textbook; Wyld, L., Markopoulos, C., Leidenius, M., Senkus-Konefka, E., Eds.; Springer International Publishing: Cham, Switzerland, 2018; pp. 147–156. ISBN 9783319566733. [Google Scholar]
- Le, E.P.V.; Wang, Y.; Huang, Y.; Hickman, S.; Gilbert, F.J. Artificial Intelligence in Breast Imaging. Clin. Radiol. 2019, 74, 357–366. [Google Scholar] [CrossRef] [PubMed]
- Loizidou, K.; Elia, R.; Pitris, C. Computer-Aided Breast Cancer Detection and Classification in Mammography: A Comprehensive Review. Comput. Biol. Med. 2023, 153, 106554. [Google Scholar] [CrossRef]
- External Evaluation of 3 Commercial Artificial Intelligence Algorithms for Independent Assessment of Screening Mammograms|Breast Cancer|JAMA Oncology|JAMA Network. Available online: https://jamanetwork.com/journals/jamaoncology/article-abstract/2769894 (accessed on 16 March 2023).
- Zhao, J.; Chen, T.; Cai, B. A Computer-Aided Diagnostic System for Mammograms Based on YOLOv3. Multimed. Tools Appl. 2022, 81, 19257–19281. [Google Scholar] [CrossRef]
- Wu, N.; Phang, J.; Park, J.; Shen, Y.; Huang, Z.; Zorin, M.; Jastrzębski, S.; Févry, T.; Katsnelson, J.; Kim, E.; et al. Deep Neural Networks Improve Radiologists’ Performance in Breast Cancer Screening. IEEE Trans. Med. Imaging 2020, 39, 1184–1194. [Google Scholar] [CrossRef]
- Kim, H.-E.; Kim, H.H.; Han, B.-K.; Kim, K.H.; Han, K.; Nam, H.; Lee, E.H.; Kim, E.-K. Changes in Cancer Detection and False-Positive Recall in Mammography Using Artificial Intelligence: A Retrospective, Multireader Study. Lancet Digit. Health 2020, 2, e138–e148. [Google Scholar] [CrossRef]
- McKinney, S.M.; Sieniek, M.; Godbole, V.; Godwin, J.; Antropova, N.; Ashrafian, H.; Back, T.; Chesus, M.; Corrado, G.S.; Darzi, A.; et al. International Evaluation of an AI System for Breast Cancer Screening. Nature 2020, 577, 89–94. [Google Scholar] [CrossRef]
- Rodriguez-Ruiz, A.; Lång, K.; Gubern-Merida, A.; Broeders, M.; Gennaro, G.; Clauser, P.; Helbich, T.H.; Chevalier, M.; Tan, T.; Mertelmeier, T.; et al. Stand-Alone Artificial Intelligence for Breast Cancer Detection in Mammography: Comparison with 101 Radiologists. JNCI J. Natl. Cancer Inst. 2019, 111, 916–922. [Google Scholar] [CrossRef]
- Mikołajczyk, A.; Grochowski, M.; Kwasigroch, A. Towards Explainable Classifiers Using the Counterfactual Approach—Global Explanations for Discovering Bias in Data. J. Artif. Intell. Soft Comput. Res. 2021, 11, 51–67. [Google Scholar] [CrossRef]
- Madani, M.; Behzadi, M.M.; Nabavi, S. The Role of Deep Learning in Advancing Breast Cancer Detection Using Different Imaging Modalities: A Systematic Review. Cancers 2022, 14, 5334. [Google Scholar] [CrossRef] [PubMed]
- Fulton, L.; McLeod, A.; Dolezel, D.; Bastian, N.; Fulton, C.P. Deep Vision for Breast Cancer Classification and Segmentation. Cancers 2021, 13, 5384. [Google Scholar] [CrossRef] [PubMed]
- Elmoufidi, A. Deep Multiple Instance Learning for Automatic Breast Cancer Assessment Using Digital Mammography. IEEE Trans. Instrum. Meas. 2022, 71, 1–13. [Google Scholar] [CrossRef]
- Mahmood, T.; Li, J.; Pei, Y.; Akhtar, F.; Rehman, M.U.; Wasti, S.H. Breast Lesions Classifications of Mammographic Images Using a Deep Convolutional Neural Network-Based Approach. PLoS ONE 2022, 17, e0263126. [Google Scholar] [CrossRef] [PubMed]
- Petrini, D.G.P.; Shimizu, C.; Roela, R.A.; Valente, G.V.; Folgueira, M.A.A.K.; Kim, H.Y. Breast Cancer Diagnosis in Two-View Mammography Using End-to-End Trained EfficientNet-Based Convolutional Network. IEEE Access 2022, 10, 77723–77731. [Google Scholar] [CrossRef]
- Li, H.; Niu, J.; Li, D.; Zhang, C. Classification of Breast Mass in Two-view Mammograms via Deep Learning. IET Image Process. 2021, 15, 454–467. [Google Scholar] [CrossRef]
- He, K.; Zhang, X.; Ren, S.; Sun, J. Deep Residual Learning for Image Recognition. In Proceedings of the 2016 IEEE Conference on Computer Vision and Pattern Recognition (CVPR), Las Vegas, NV, USA, 27–30 June 2016; pp. 770–778. [Google Scholar]
- Tan, M.; Le, Q.V. EfficientNet: Rethinking Model Scaling for Convolutional Neural Networks. In Proceedings of the 36th International Conference on Machine Learning, PMLR, Long Beach, CA, USA, 9–15 June 2019; pp. 6105–6114. [Google Scholar]
- Kondylakis, H.; Ciarrocchi, E.; Cerda-Alberich, L.; Chouvarda, I.; Fromont, L.A.; Garcia-Aznar, J.M.; Kalokyri, V.; Kosvyra, A.; Walker, D.; Yang, G.; et al. Position of the AI for Health Imaging (AI4HI) Network on Metadata Models for Imaging Biobanks. Eur. Radiol. Exp. 2022, 6, 29. [Google Scholar] [CrossRef] [PubMed]
- EUR-Lex-32018R1725-EN-EUR-Lex. Available online: https://eur-lex.europa.eu/eli/reg/2018/1725/oj (accessed on 16 March 2023).
- Hamon, R.; Junklewitz, H.; Sanchez, M.J.I. Robustness and Explainability of Artificial Intelligence. Available online: https://publications.jrc.ec.europa.eu/repository/handle/JRC119336 (accessed on 16 March 2023).
- Zhou, Y.; He, X.; Huang, L.; Liu, L.; Zhu, F.; Cui, S.; Shao, L. Collaborative Learning of Semi-Supervised Segmentation and Classification for Medical Images. In Proceedings of the 2019 IEEE/CVF Conference on Computer Vision and Pattern Recognition (CVPR), Long Beach, CA, USA, 15–20 June 2019; IEEE: New York, NY, USA, 2019; pp. 2074–2083. [Google Scholar]
- Lee, R.S.; Gimenez, F.; Hoogi, A.; Miyake, K.K.; Gorovoy, M.; Rubin, D.L. A Curated Mammography Data Set for Use in Computer-Aided Detection and Diagnosis Research. Sci. Data 2017, 4, 170177. [Google Scholar] [CrossRef]
- Moreira, I.C.; Amaral, I.; Domingues, I.; Cardoso, A.; Cardoso, M.J.; Cardoso, J.S. INbreast: Toward a Full-Field Digital Mammographic Database. Acad. Radiol. 2012, 19, 236–248. [Google Scholar] [CrossRef]
- Heath, M.; Bowyer, K.; Kopans, D.; Moore, R.; Kegelmeyer, W.P. The Digital Database for Screening Mammography. In Proceedings of the 5th International Workshop on Digital Mammography, Toronto, ON, Canada, 11–14 June 2000; pp. 212–218. [Google Scholar]
- Sawyer-Lee, R.; Gimenez, F.; Hoogi, A.; Rubin, D. Curated Breast Imaging Subset of Digital Database for Screening Mammography (CBIS-DDSM). 2016. Available online: https://wiki.cancerimagingarchive.net/pages/viewpage.action?pageId=22516629 (accessed on 22 February 2023).
- Mikołajczyk, A.; Grochowski, M. Style Transfer-Based Image Synthesis as an Efficient Regularization Technique in Deep Learning. In Proceedings of the 2019 24th International Conference on Methods and Models in Automation and Robotics (MMAR), Międzyzdroje, Poland, 26–29 August 2019; pp. 42–47. [Google Scholar]
- Alomar, K.; Aysel, H.I.; Cai, X. Data Augmentation in Classification and Segmentation: A Survey and New Strategies. J. Imaging 2023, 9, 46. [Google Scholar] [CrossRef]
- Kaur, P.; Khehra, B.S.; Mavi, E.B.S. Data Augmentation for Object Detection: A Review. In Proceedings of the 2021 IEEE International Midwest Symposium on Circuits and Systems (MWSCAS), Lansing, MI, USA, 9–11 August 2021; pp. 537–543. [Google Scholar]
- Garrucho, L.; Kushibar, K.; Osuala, R.; Diaz, O.; Catanese, A.; del Riego, J.; Bobowicz, M.; Strand, F.; Igual, L.; Lekadir, K. High-Resolution Synthesis of High-Density Breast Mammograms: Application to Improved Fairness in Deep Learning Based Mass Detection. Front. Oncol. 2023, 12, 7424. [Google Scholar] [CrossRef] [PubMed]
- Kwasigroch, A.; Grochowski, M.; Mikołajczyk, A. Self-Supervised Learning to Increase the Performance of Skin Lesion Classification. Electronics 2020, 9, 1930. [Google Scholar] [CrossRef]
- Mikołajczyk, A.; Grochowski, M. Data Augmentation for Improving Deep Learning in Image Classification Problem. In Proceedings of the 2018 International Interdisciplinary PhD Workshop (IIPhDW), Świnoujście, Poland, 9–12 May 2018; pp. 117–122. [Google Scholar] [CrossRef]
- Mikołajczyk, A.; Majchrowska, S.; Carrasco Limeros, S. The (de) Biasing Effect of GAN-Based Augmentation Methods on Skin Lesion Images. In Proceedings of the Medical Image Computing and Computer Assisted Intervention—MICCAI 2022, Singapore, 18–22 September 2022; Wang, L., Dou, Q., Fletcher, P.T., Speidel, S., Li, S., Eds.; Springer Nature Switzerland: Cham, Switzerland, 2022; pp. 437–447. [Google Scholar]
- Marti-Bonmati, L.; Koh, D.-M.; Riklund, K.; Bobowicz, M.; Roussakis, Y.; Vilanova, J.C.; Fütterer, J.J.; Rimola, J.; Mallol, P.; Ribas, G.; et al. Considerations for Artificial Intelligence Clinical Impact in Oncologic Imaging: An AI4HI Position Paper. Insights Imaging 2022, 13, 89. [Google Scholar] [CrossRef] [PubMed]
- Chakraborty, S.; Tomsett, R.; Raghavendra, R.; Harborne, D.; Alzantot, M.; Cerutti, F.; Srivastava, M.; Preece, A.; Julier, S.; Rao, R.M.; et al. Interpretability of Deep Learning Models: A Survey of Results. In Proceedings of the 2017 IEEE SmartWorld, Ubiquitous Intelligence & Computing, Advanced & Trusted Computed, Scalable Computing & Communications, Cloud & Big Data Computing, Internet of People and Smart City Innovation (SmartWorld/SCALCOM/UIC/ATC/CBDCom/IOP/SCI), San Francisco, CA, USA, 4–8 August 2017; pp. 1–6. [Google Scholar]
- Interpretability and Fairness Evaluation of Deep Learning Models on MIMIC-IV Dataset|Scientific Reports. Available online: https://www.nature.com/articles/s41598-022-11012-2 (accessed on 16 March 2023).
- Jin, J.; Dundar, A.; Culurciello, E. Robust Convolutional Neural Networks under Adversarial Noise. arXiv 2015, arXiv:1511.06306. [Google Scholar]
- Arrieta, A.B.; Díaz-Rodríguez, N.; Del Ser, J.; Bennetot, A.; Tabik, S.; Barbado, A.; Garcia, S.; Gil-Lopez, S.; Molina, D.; Benjamins, R.; et al. Explainable Artificial Intelligence (XAI): Concepts, Taxonomies, Opportunities and Challenges toward Responsible AI. Inf. Fusion 2020, 58, 82–115. [Google Scholar] [CrossRef]
- Tjoa, E.; Guan, C. A Survey on Explainable Artificial Intelligence (XAI): Toward Medical XAI. IEEE Trans. Neural Netw. Learn. Syst. 2021, 32, 4793–4813. [Google Scholar] [CrossRef]
- Reyes, M.; Meier, R.; Pereira, S.; Silva, C.; Dahlweid, M.; Tengg-Kobligk, H.; Summers, R.; Wiest, R. On the Interpretability of Artificial Intelligence in Radiology: Challenges and Opportunities. Radiol. Artif. Intell. 2020, 2, e190043. [Google Scholar] [CrossRef]
- Mohseni, S.; Zarei, N.; Ragan, E.D. A Multidisciplinary Survey and Framework for Design and Evaluation of Explainable AI Systems. ACM Trans. Interact. Intell. Syst. 2021, 11, 1–45. [Google Scholar] [CrossRef]
- Phillips, P.J.; Hahn, C.A.; Fontana, P.C.; Yates, A.N.; Greene, K.; Broniatowski, D.A.; Przybocki, M.A. Four Principles of Explainable Artificial Intelligence; National Institute of Standards and Technology: Gaithersburg, MD, USA, 2021. [Google Scholar]
- Ouarti, N.; Carmona, D. Out of the Black Box: Properties of Deep Neural Networks and Their Applications. arXiv 2018, arXiv:1808.04433. [Google Scholar]
- Montavon, G.; Lapuschkin, S.; Binder, A.; Samek, W.; Müller, K.-R. Explaining Nonlinear Classification Decisions with Deep Taylor Decomposition. Pattern Recognit. 2017, 65, 211–222. [Google Scholar] [CrossRef]
- Bach, S.; Binder, A.; Montavon, G.; Klauschen, F.; Müller, K.-R.; Samek, W. On Pixel-Wise Explanations for Non-Linear Classifier Decisions by Layer-Wise Relevance Propagation. PLoS ONE 2015, 10, e0130140. [Google Scholar] [CrossRef] [PubMed]
- Zhang, J.; Bargal, S.A.; Lin, Z.; Brandt, J.; Shen, X.; Sclaroff, S. Top-Down Neural Attention by Excitation Backprop. Int. J. Comput. Vis. 2018, 126, 1084–1102. [Google Scholar] [CrossRef]
- Samek, W.; Binder, A.; Montavon, G.; Lapuschkin, S.; Müller, K.-R. Evaluating the Visualisation of What a Deep Neural Network Has Learned. IEEE Trans. Neural Netw. Learn. Syst. 2017, 28, 2660–2673. [Google Scholar] [CrossRef] [PubMed]
- Baehrens, D.; Schroeter, T.; Harmeling, S.; Kawanabe, M.; Hansen, K. How to Explain Individual Classification Decisions. J. Mach. Learn. Res. 2010, 11, 1803–1831. [Google Scholar]
- Zhou, B.; Khosla, A.; Lapedriza, A.; Oliva, A.; Torralba, A. Learning Deep Features for Discriminative Localization. In Proceedings of the 2016 IEEE Conference on Computer Vision and Pattern Recognition (CVPR), Las Vegas, NV, USA, 27–30 June 2016; IEEE: New York, NY, USA, 2016; pp. 2921–2929. [Google Scholar]
- Li, K.; Wu, Z.; Peng, K.-C.; Ernst, J.; Fu, Y. Tell Me Where to Look: Guided Attention Inference Network. In Proceedings of the 2018 IEEE/CVF Conference on Computer Vision and Pattern Recognition, Salt Lake City, UT, USA, 18–22 June 2018; pp. 9215–9223. [Google Scholar]
- Guan, Q.; Huang, Y.; Zhong, Z.; Zheng, Z.; Zheng, L.; Yang, Y. Diagnose like a Radiologist: Attention Guided Convolutional Neural Network for Thorax Disease Classification. arXiv 2018, arXiv:1801.09927. [Google Scholar]
- Hou, Q.; Jiang, P.; Wei, Y.; Cheng, M.-M. Self-Erasing Network for Integral Object Attention. In Advances in Neural Information Processing Systems; Curran Associates, Inc.: Red Hook, NY, USA, 2018; Volume 31. [Google Scholar]
- Wei, Y.; Feng, J.; Liang, X.; Cheng, M.-M.; Zhao, Y.; Yan, S. Object Region Mining with Adversarial Erasing: A Simple Classification to Semantic Segmentation Approach. In Proceedings of the 2017 IEEE Conference on Computer Vision and Pattern Recognition (CVPR), Honolulu, HI, USA, 21–26 July 2017; IEEE: New York, NY, USA, 2017; pp. 6488–6496. [Google Scholar]
- Akrout, M.; Farahmand, A.; Jarmain, T. Improving Skin Condition Classification with a Question Answering Model. In Proceedings of the 32nd Conference on Neural Information Processing Systems (NIPS 2018), Montréal, QC, Canada, 3–8 December 2018. [Google Scholar]
- Rupprecht, C.; Laina, I.; Navab, N.; Hager, G.D.; Tombari, F. Guide Me: Interacting with Deep Networks. In Proceedings of the 2018 IEEE/CVF Conference on Computer Vision and Pattern Recognition, Salt Lake City, UT, USA, 18–23 June 2018; pp. 8551–8561. [Google Scholar]
- Herrera, F.; Ventura, S.; Bello, R.; Cornelis, C.; Zafra, A.; Sánchez-Tarragó, D.; Vluymans, S. Multiple Instance Learning. In Multiple Instance Learning: Foundations and Algorithms; Herrera, F., Ventura, S., Bello, R., Cornelis, C., Zafra, A., Sánchez-Tarragó, D., Vluymans, S., Eds.; Springer International Publishing: Cham, Switzerland, 2016; pp. 17–33. ISBN 9783319477596. [Google Scholar]
- Ilse, M.; Tomczak, J.; Welling, M. Attention-Based Deep Multiple Instance Learning. In Proceedings of the 35th International Conference on Machine Learning, PMLR, Stockholm, Sweden, 10–15 July 2018; pp. 2127–2136. [Google Scholar]
- Li, B.; Li, Y.; Eliceiri, K.W. Dual-Stream Multiple Instance Learning Network for Whole Slide Image Classification with Self-Supervised Contrastive Learning. In Proceedings of the 2021 IEEE/CVF Conference on Computer Vision and Pattern Recognition (CVPR), Nashville, TN, USA, 20–25 June 2021; pp. 14318–14328. [Google Scholar] [CrossRef]
- Quellec, G.; Lamard, M.; Cozic, M.; Coatrieux, G.; Cazuguel, G. Multiple-Instance Learning for Anomaly Detection in Digital Mammography. IEEE Trans. Med. Imaging 2016, 35, 1604–1614. [Google Scholar] [CrossRef]
- Xiong, D.; Zhang, Z.; Wang, T.; Wang, X. A Comparative Study of Multiple Instance Learning Methods for Cancer Detection Using T-Cell Receptor Sequences. Comput. Struct. Biotechnol. J. 2021, 19, 3255–3268. [Google Scholar] [CrossRef]
- Huang, G.; Liu, Z.; Van Der Maaten, L.; Weinberger, K.Q. Densely Connected Convolutional Networks. In Proceedings of the IEEE Conference on Computer Vision and Pattern Recognition, Honolulu, HI, USA, 21–26 July 2017; pp. 4700–4708. [Google Scholar] [CrossRef]
- Thilagaraj, M.; Arunkumar, N.; Govindan, P. Classification of Breast Cancer Images by Implementing Improved DCNN with Artificial Fish School Model. Comput. Intell. Neurosci. 2022, 2022, 6785707. [Google Scholar] [CrossRef]
- Elkorany, A.S.; Elsharkawy, Z.F. Efficient Breast Cancer Mammograms Diagnosis Using Three Deep Neural Networks and Term Variance. Sci. Rep. 2023, 13, 2663. [Google Scholar] [CrossRef]
- Zahoor, S.; Shoaib, U.; Lali, I.U. Breast Cancer Mammograms Classification Using Deep Neural Network and Entropy-Controlled Whale Optimisation Algorithm. Diagnostics 2022, 12, 557. [Google Scholar] [CrossRef]
- Castro-Tapia, S.; Castañeda-Miranda, C.L.; Olvera-Olvera, C.A.; Guerrero-Osuna, H.A.; Ortiz-Rodriguez, J.M.; Martínez-Blanco, M.d.R.; Díaz-Florez, G.; Mendiola-Santibañez, J.D.; Solís-Sánchez, L.O. Classification of Breast Cancer in Mammograms with Deep Learning Adding a Fifth Class. Appl. Sci. 2021, 11, 11398. [Google Scholar] [CrossRef]
- How Does Image Quality Affect Radiologists’ Perceived Ability for Image Interpretation and Lesion Detection in Digital Mammography?|SpringerLink. Available online: https://link.springer.com/article/10.1007/s00330-020-07679-8 (accessed on 19 March 2023).
- Warren, L.M.; Halling-Brown, M.D.; Looney, P.T.; Dance, D.R.; Wallis, M.G.; Given-Wilson, R.M.; Wilkinson, L.; McAvinchey, R.; Young, K.C. Image Processing Can Cause Some Malignant Soft-Tissue Lesions to Be Missed in Digital Mammography Images. Clin. Radiol. 2017, 72, 799.e1–799.e8. [Google Scholar] [CrossRef] [PubMed]
- Lagendijk, M.; Vos, E.L.; Ramlakhan, K.P.; Verhoef, C.; Koning, A.H.J.; van Lankeren, W.; Koppert, L.B. Breast and Tumour Volume Measurements in Breast Cancer Patients Using 3-D Automated Breast Volume Scanner Images. World J. Surg. 2018, 42, 2087–2093. [Google Scholar] [CrossRef] [PubMed]
- Clauser, P.; Londero, V.; Como, G.; Girometti, R.; Bazzocchi, M.; Zuiani, C. Comparison between Different Imaging Techniques in the Evaluation of Malignant Breast Lesions: Can 3D Ultrasound Be Useful? Radiol. Med. 2014, 119, 240–248. [Google Scholar] [CrossRef] [PubMed]
- Lu, M.Y.; Williamson, D.F.K.; Chen, T.Y.; Chen, R.J.; Barbieri, M.; Mahmood, F. Data-Efficient and Weakly Supervised Computational Pathology on Whole-Slide Images. Nat. Biomed. Eng. 2021, 5, 555–570. [Google Scholar] [CrossRef] [PubMed]
- Papadopoulos, A.; Topouzis, F.; Delopoulos, A. An Interpretable Multiple-Instance Approach for the Detection of Referable Diabetic Retinopathy in Fundus Images. Sci. Rep. 2021, 11, 14326. [Google Scholar] [CrossRef] [PubMed]
- Cui, C.; Li, L.; Cai, H.; Fan, Z.; Zhang, L.; Dan, T.; Li, J.; Wang, J. The Chinese Mammography Database (CMMD): An Online Mammography Database with Biopsy Confirmed Types for Machine Diagnosis of Breast. Data Cancer Imaging Arch 2021. [Google Scholar] [CrossRef]
- Cai, H.; Wang, J.; Dan, T.; Li, J.; Fan, Z.; Yi, W.; Cui, C.; Jiang, X.; Li, L. An Online Mammography Database with Biopsy Confirmed Types. Sci. Data 2023, 10, 123. [Google Scholar] [CrossRef]
- Ferlin, M.; Klawikowska, Z.; Niemierko, J.; Grzywinska, M.; Kwasigroch, A.; Szurowska, E.; Grochowski, M. Trustworthy Applications of ML Algorithms in Medicine—Discussion and Preliminary Results for a Problem of Small Vessels Disease Diagnosis. In Intelligent and Safe Computer Systems in Control and Diagnostics; Kowalczuk, Z., Ed.; Springer International Publishing: Cham, Switzerland, 2023; pp. 3–16. [Google Scholar]
- Responsible AI Practices. Available online: https://ai.google/responsibilities/responsible-ai-practices/ (accessed on 21 March 2023).
- Ayyala, R.S.; Chorlton, M.; Behrman, R.H.; Kornguth, P.J.; Slanetz, P.J. Digital Mammographic Artifacts on Full-Field Systems: What Are They and How Do I Fix Them? RadioGraphics 2008, 28, 1999–2008. [Google Scholar] [CrossRef]
- Russakovsky, O.; Deng, J.; Su, H.; Krause, J.; Satheesh, S.; Ma, S.; Huang, Z.; Karpathy, A.; Khosla, A.; Bernstein, M.; et al. ImageNet Large Scale Visual Recognition Challenge. Int. J. Comput. Vis. 2015, 115, 211–252. [Google Scholar] [CrossRef]
- Wongvorachan, T.; He, S.; Bulut, O. A Comparison of Undersampling, Oversampling, and SMOTE Methods for Dealing with Imbalanced Classification in Educational Data Mining. Information 2023, 14, 54. [Google Scholar] [CrossRef]
- Stadnick, B.; Witowski, J.; Rajiv, V.; Chłędowski, J.; Shamout, F.E.; Cho, K.; Geras, K.J. Meta-Repository of Screening Mammography Classifiers. arXiv 2021, arXiv:2108.04800. [Google Scholar]
- Walsh, R.; Tardy, M. A Comparison of Techniques for Class Imbalance in Deep Learning Classification of Breast Cancer. Diagnostics 2023, 13, 67. [Google Scholar] [CrossRef] [PubMed]














| MUG Dataset | CMMD Dataset | |||
|---|---|---|---|---|
| Non-Cancer | Cancer | Non-Cancer | Cancer | |
| Number of patients | 392 | 397 | 465 + 30 * | 1280 + 30 * |
| Median Age (Min–Max) | 51 (21–86) | 57 (29–88) | 43 (17–84) | 49 (21–87) |
| Number of images of the left breast ** | 582 | 412 | 562 | 1414 |
| Number of images of the right breast ** | 592 | 382 | 546 | 1222 |
| MUG Dataset | CMMD Dataset | |
|---|---|---|
| Type of data | DICOM files—full-field digital mammography craniocaudal (CC) and mediolateral oblique (MLO) images Excel file—age, pathological ground truth | DICOM files—full-field digital mammography craniocaudal (CC) and mediolateral oblique (MLO) images Excel file—age, pathological ground truth |
| Image acquisition protocol | National acquisition protocol | Unknown |
| Image acquisition | SIEMENS Mammomat Inspiration | SIEMENS Mammomat Inspiration, GE Senographe DS |
| Image resolution | 3518 × 2800 pixels | 2294 × 1914 pixels |
| Pixel spacing | 0.085 mm | 0.094 mm |
| Pixel depth | 12-bit (0–4095) | 8-bit (0–255) |
| Data source location | University Clinical Center in Gdańsk, Poland | SunYat-sen University Cancer Center in Guangzhou, Nanhai Affiliated Hospital of Southern Medical University in Fushan, China |
| Experiment | Image Size (px) | Patch Size (px) | Overlap (-) |
|---|---|---|---|
| Single view | 3518 × 2800 * | 224 ** | 0.50 |
| Single view with resize | 1759 × 1400 | 224 | 0.50 |
| Multimodal view | 7036 × 2800 | 128 | 0.50 |
| 224 | 0.00, 0.25, 0.50 | ||
| 448 | 0.50 | ||
| Multimodal view with resize | 3518 × 1400 | 128 | 0.50 |
| 224 | 0.00, 0.25, 0.50 | ||
| 448 | 0.50 |
| No. | Augmentation Methods | Parameters |
|---|---|---|
| 1 | Rotate | Angle = (0°, 90°, 180°, 270°), Probability = 1 |
| 2 | Horizontal Flip | Probability = 0.5 |
| 3 | Vertical Flip | Probability = 0.5 |
| 4 | Resized Crop | Scale range [0.8–1.0], Probability = 1 |
| Feature Extractor | Number of Parameters | Feature Space Dimension |
|---|---|---|
| ResNet-18 | 11.7 M | 512 |
| ResNet-34 | 21.8 M | 512 |
| ResNet-50 | 25.6 M | 2048 |
| EfficientNet-B0 | 5.3 M | 1280 |
| Fold | Training Set | Validation Set | Test Set | |
|---|---|---|---|---|
| 1 | (non-cancer) | 280 | 40 | 72 |
| (cancer) | 272 | 39 | 86 | |
| 2 | (non-cancer) | 270 | 38 | 84 |
| (cancer) | 282 | 41 | 74 | |
| 3 | (non-cancer) | 274 | 37 | 81 |
| (cancer) | 278 | 42 | 77 | |
| 4 | (non-cancer) | 278 | 39 | 75 |
| (cancer) | 274 | 40 | 83 | |
| 5 | (non-cancer) | 281 | 31 | 80 |
| (cancer) | 272 | 48 | 77 | |
| Resize | Transforms | Dropout | Weighted Sampler | Gradient Accumulation | AUC-ROC (-) | F1-Score (%] | Accuracy (%) | Precision (%) | Recall (%) |
|---|---|---|---|---|---|---|---|---|---|
| ✖ | ✖ | ✖ | ✖ | ✖ | 0.81 | 71.0 | 72.0 | 74.0 | 72.0 |
| ✔ | ✖ | ✖ | ✖ | ✖ | 0.87 | 78.0 | 78.0 | 79.0 | 78.0 |
| ✔ | ✔ | ✖ | ✖ | ✖ | 0.87 | 81.0 | 81.0 | 81.0 | 81.0 |
| ✔ | ✔ | ✔ | ✖ | ✖ | 0.87 | 79.0 | 79.0 | 80.0 | 79.0 |
| ✔ | ✔ | ✔ | ✔ | ✖ | 0.89 | 80.0 | 80.0 | 80.0 | 80.0 |
| ✔ | ✔ | ✔ | ✔ | ✔ | 0.92 | 88.0 | 88.0 | 88.0 | 88.0 |
| Feature Extractor | View | Image Size (px) | Patch Size (px) | Overlap (-) | AUC-ROC (-) | F1-Score (%) | Accuracy (%) | Precision (%) | Recall (%) |
|---|---|---|---|---|---|---|---|---|---|
| ResNet-18 | CC | 3518 × 2800 | 224 | 0.5 | 0.792 ± 0.026 | 72.4 ± 2.5 | 72.6 ± 2.8 | 72.8 ± 2.7 | 72.6 ± 2.8 |
| 1759 × 1400 | 0.838 ± 0.025 | 76.2 ± 3.5 | 76.2 ± 3.7 | 77.2 ± 3.8 | 76.2 ± 3.7 | ||||
| MLO | 3518 × 2800 | 0.804 ± 0.053 | 72.8 ± 4.9 | 72.8 ± 4.4 | 74.0 ± 4.8 | 72.8 ± 4.4 | |||
| 1759 × 1400 | 0.840 ± 0.006 | 76.0 ± 1.4 | 76.0 ± 1.6 | 76.4 ± 1.4 | 76.0 ± 1.7 | ||||
| CC or MLO | 3518 × 2800 | 0.822 ± 0.021 | 75.6 ± 2.8 | 75.8 ± 3.0 | 75.6 ± 2.9 | 75.8 ± 3.0 | |||
| 1759 × 1400 | 0.864 ± 0.014 | 78.4 ± 0.4 | 78.4 ± 0.5 | 79.4 ± 0.8 | 78.6 ± 0.5 |
| Feature Extractor | View | Image Size (px) | Patch Size (px) | Overlap (-) | AUC-ROC (-) | F1-Score (%) | Accuracy (%) | Precision (%) | Recall (%) |
|---|---|---|---|---|---|---|---|---|---|
| ResNet-18 | CC and MLO | 7036 × 2800 | 128 | 0.5 | 0.846 ± 0.027 | 75.6 ± 4.8 | 76.0 ± 4.1 | 76.6 ± 4.4 | 76.0 ± 4.1 |
| 224 | 0 | 0.828 ± 0.033 | 75.8 ± 3.5 | 76.0 ± 3.5 | 75.8 ± 3.5 | 76.0 ± 3.5 | |||
| 224 | 0.25 | 0.850 ± 0.030 | 76.4 ± 4.1 | 76.6 ± 3.8 | 77.6 ± 4.3 | 76.6 ± 3.8 | |||
| 224 | 0.5 | 0.844 ± 0.026 | 77.0 ± 3.8 | 77.0 ± 3.8 | 77.4 ± 3.9 | 77.0 ± 3.8 | |||
| 448 | 0.5 | 0.828 ± 0.040 | 76.2 ± 5.7 | 76.6 ± 5.2 | 77.0 ± 5.0 | 76.6 ± 5.2 | |||
| 3518 × 1400 | 128 | 0.5 | 0.894 ± 0.022 | 79.8 ± 3.2 | 79.8 ± 2.6 | 80.2 ± 3.4 | 79.8 ± 2.6 | ||
| 224 | 0 | 0.892 ± 0.012 | 79.8 ± 1.7 | 80.0 ± 2.1 | 80.4 ± 2.1 | 80.0 ± 2.1 | |||
| 224 | 0.25 | 0.896 ± 0.017 | 81.8 ± 3.2 | 81.6 ± 3.2 | 82.4 ± 3.3 | 81.6 ± 3.2 | |||
| 224 | 0.5 | 0.892 ± 0.015 | 81.6 ± 1.9 | 81.6 ± 1.9 | 82.0 ± 1.7 | 81.6 ± 1.9 | |||
| 448 | 0.5 | 0.866 ± 0.039 | 77.2 ± 5.4 | 77.6 ± 4.7 | 78.2 ± 4.6 | 77.6 ± 4.7 |
| Feature Extractor | View | Image Size (px) | Patch Size (px) | Overlap (-) | AUC-ROC (-) | F1-Score (%) | Accuracy (%) | Precision (%) | Recall (%) |
|---|---|---|---|---|---|---|---|---|---|
| ResNet-18 | CC and MLO | 3518 × 1400 | 224 | 0.5 | 0.892 ± 0.015 | 81.6 ± 1.9 | 81.6 ± 1.9 | 82.0 ± 1.7 | 81.6 ± 1.9 |
| ResNet-34 | 0.892 ± 0.023 | 82.2 ± 2.6 | 82.2 ± 2.6 | 82.4 ± 2.4 | 82.2 ± 2.6 | ||||
| ResNet-50 | 0.878 ± 0.013 | 79.8 ± 3.5 | 80.2 ± 3.3 | 80.8 ± 2.2 | 80.2 ± 3.3 | ||||
| EfficientNet-B0 | 0.890 ± 0.019 | 81.4 ± 1.6 | 81.6 ± 1.4 | 82.2 ± 1.2 | 81.6 ± 1.4 |
| Edge Artefacts | AUC-ROC (-) | F1-Score (%) | Accuracy (%) | Precision (%) | Recall (%) |
|---|---|---|---|---|---|
| Absent | 0.846 ± 0.027 | 76.0 ± 3.7 | 76.4 ± 4.0 | 76.4 ± 4.0 | 76.4 ± 4.0 |
| Present | 0.866 ± 0.024 | 82.8 ± 2.0 | 82.8 ± 2.0 | 82.8 ± 2.0 | 82.8 ± 2.0 |
| Feature Extractor | View | Image Size (px) | Patch Size (px) | Overlap (-) | AUC-ROC (-) | F1-Score (%) | Accuracy (%) | Precision (%) | Recall (%) |
|---|---|---|---|---|---|---|---|---|---|
| ResNet-18 | CC | 1759 × 1400 | 224 | 0.5 | 0.838 ± 0.025 | 77.6 ± 2.7 | 77.4 ± 2.7 | 78.4 ± 2.8 | 77.4 ± 2.7 |
| MLO | 0.840 ± 0.006 | 77.8 ± 0.7 | 77.8 ± 0.7 | 79.0 ± 0.6 | 77.8 ± 0.7 | ||||
| CC or MLO | 0.864 ± 0.014 | 80.4 ± 1.7 | 80.4 ± 1.7 | 81.0 ± 1.4 | 80.4 ± 1.7 | ||||
| CC and MLO | 3518 × 1400 | 0.892 ± 0.015 | 83.6 ± 1.2 | 83.6 ± 1.2 | 83.6 ± 1.2 | 83.6 ± 1.2 |
| Transfer Learning | View | Image Size (px) | Patch Size (px) | Overlap (-) | AUC-ROC (-) | F1-Score (%) | Accuracy (%) | Precision (%) | Recall (%) |
|---|---|---|---|---|---|---|---|---|---|
| Not applied | CC and MLO | 2294 × 957 | 224 | 0.5 | 0.786 ± 0.050 | 72.4 ± 3.3 | 72.0 ± 3.1 | 75.4 ± 3.9 | 72.0 ± 3.1 |
| 4588 × 1914 | 0.772 ± 0.019 | 73.6 ± 0.5 | 73.0 ± 1.4 | 74.4 ± 1.0 | 73.0 ± 1.4 | ||||
| Applied | 2294 × 957 | 0.790 ± 0.013 | 73.6 ± 1.5 | 74.4 ± 1.2 | 73.8 ± 1.6 | 74.4 ± 1.2 | |||
| 4588 × 1914 | 0.848 ± 0.015 | 78.6 ± 2.0 | 78.4 ± 1.9 | 78.8 ± 2.0 | 78.4 ± 1.9 |
Disclaimer/Publisher’s Note: The statements, opinions and data contained in all publications are solely those of the individual author(s) and contributor(s) and not of MDPI and/or the editor(s). MDPI and/or the editor(s) disclaim responsibility for any injury to people or property resulting from any ideas, methods, instructions or products referred to in the content. |
© 2023 by the authors. Licensee MDPI, Basel, Switzerland. This article is an open access article distributed under the terms and conditions of the Creative Commons Attribution (CC BY) license (https://creativecommons.org/licenses/by/4.0/).
Share and Cite
Bobowicz, M.; Rygusik, M.; Buler, J.; Buler, R.; Ferlin, M.; Kwasigroch, A.; Szurowska, E.; Grochowski, M. Attention-Based Deep Learning System for Classification of Breast Lesions—Multimodal, Weakly Supervised Approach. Cancers 2023, 15, 2704. https://doi.org/10.3390/cancers15102704
Bobowicz M, Rygusik M, Buler J, Buler R, Ferlin M, Kwasigroch A, Szurowska E, Grochowski M. Attention-Based Deep Learning System for Classification of Breast Lesions—Multimodal, Weakly Supervised Approach. Cancers. 2023; 15(10):2704. https://doi.org/10.3390/cancers15102704
Chicago/Turabian StyleBobowicz, Maciej, Marlena Rygusik, Jakub Buler, Rafał Buler, Maria Ferlin, Arkadiusz Kwasigroch, Edyta Szurowska, and Michał Grochowski. 2023. "Attention-Based Deep Learning System for Classification of Breast Lesions—Multimodal, Weakly Supervised Approach" Cancers 15, no. 10: 2704. https://doi.org/10.3390/cancers15102704
APA StyleBobowicz, M., Rygusik, M., Buler, J., Buler, R., Ferlin, M., Kwasigroch, A., Szurowska, E., & Grochowski, M. (2023). Attention-Based Deep Learning System for Classification of Breast Lesions—Multimodal, Weakly Supervised Approach. Cancers, 15(10), 2704. https://doi.org/10.3390/cancers15102704

