Atypical Teratoid/Rhabdoid Tumor in Taiwan: A Nationwide, Population-Based Study
Abstract
Simple Summary
Abstract
1. Introduction
2. Materials and Methods
2.1. Study Design and Participants
2.2. Statistical Analysis
3. Results
3.1. Demographic and Clinical Characteristics
3.2. Distribution of Tumor Site and Treatment across Age Groups
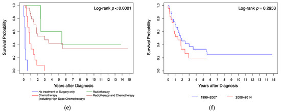
3.3. Prognostic Factors
4. Discussion
5. Conclusions
Author Contributions
Funding
Institutional Review Board Statement
Informed Consent Statement
Data Availability Statement
Acknowledgments
Conflicts of Interest
References
- Park, M.; Han, J.W.; Hahn, S.M.; Lee, J.A.; Kim, J.-Y.; Shin, S.H.; Kim, D.-S.; Yoon, H.I.; Hong, K.T.; Choi, J.Y.; et al. Atypical Teratoid/Rhabdoid Tumor of the Central Nervous System in Children Under the Age of 3 Years. Cancer Res. Treat. 2021, 53, 378–388. [Google Scholar] [CrossRef] [PubMed]
- Nesvick, C.L.; Lafay-Cousin, L.; Raghunathan, A.; Bouffet, E.; Huang, A.A.; Daniels, D.J. Atypical Teratoid Rhabdoid Tumor: Molecular Insights and Translation to Novel Therapeutics. J. Neurooncol. 2020, 150, 47–56. [Google Scholar] [CrossRef] [PubMed]
- Ma, X.-J.; Li, D.; Wang, L.; Hao, S.-Y.; Zhang, L.-W.; Zhang, J.-T.; Wu, Z. Overall Survival of Primary Intracranial Atypical Teratoid Rhabdoid Tumor Following Multimodal Treatment: A Pooled Analysis of Individual Patient Data. Neurosurg. Rev. 2020, 43, 281–292. [Google Scholar] [CrossRef] [PubMed]
- Yang, W.-C.; Yen, H.-J.; Liang, M.-L.; Chen, H.-H.; Lee, Y.-Y.; Chang, F.-C.; Lin, S.-C.; Wong, T.-T.; Hu, Y.-W.; Chen, Y.-W. Effect of Early Radiotherapy Initiation and High-Dose Chemotherapy on the Prognosis of Pediatric Atypical Teratoid Rhabdoid Tumors in Different Age Groups. J. Neuro-Oncol. 2020, 147, 619–631. [Google Scholar] [CrossRef] [PubMed]
- Nesvick, C.L.; Nageswara Rao, A.A.; Raghunathan, A.; Biegel, J.A.; Daniels, D.J. Case-Based Review: Atypical Teratoid/Rhabdoid Tumor. Neuro-Oncol. Pract. 2019, 6, 163–178. [Google Scholar] [CrossRef]
- Ostrom, Q.T.; Chen, Y.; de Blank, P.M.; Ondracek, A.; Farah, P.; Gittleman, H.; Wolinsky, Y.; Kruchko, C.; Cohen, M.L.; Brat, D.J.; et al. The Descriptive Epidemiology of Atypical Teratoid/Rhabdoid Tumors in the United States, 2001–2010. Neuro Oncol. 2014, 16, 1392–1399. [Google Scholar] [CrossRef]
- Lau, C.S.; Mahendraraj, K.; Chamberlain, R.S. Atypical Teratoid Rhabdoid Tumors: A Population-Based Clinical Outcomes Study Involving 174 Patients from the Surveillance, Epidemiology, and End Results Database (1973–2010). Cancer Manag. Res. 2015, 7, 301–309. [Google Scholar]
- Upadhyaya, S.A.; Robinson, G.W.; Onar-Thomas, A.; Orr, B.A.; Johann, P.; Wu, G.; Billups, C.A.; Tatevossian, R.G.; Dhanda, S.K.; Srinivasan, A.; et al. Relevance of Molecular Groups in Children with Newly Diagnosed Atypical Teratoid Rhabdoid Tumor: Results from Prospective St. Jude Multi-Institutional Trials. Clin. Cancer Res. 2021, 27, 2879. [Google Scholar] [CrossRef]
- Kim, H.Y.; Choi, S.A.; Koh, E.J.; Kim, K.H.; Phi, J.H.; Lee, J.Y.; Kim, S.-K. Combination Treatment of Ci-994 with Etoposide Potentiates Anticancer Effects Through a Topoisomerase ii-Dependent Mechanism in Atypical Teratoid/Rhabdoid Tumor (AT/RT). Front. Oncol. 2021, 11, 648023. [Google Scholar] [CrossRef]
- Oka, H.; Scheithauer, B.W. Clinicopathological Characteristics of Atypical Teratoid/Rhabdoid Tumor. Neurol. Med. Chir. 1999, 39, 510–518. [Google Scholar] [CrossRef][Green Version]
- Ren, Y.-M.; Wu, X.; You, C.; Zhang, Y.-K.; Li, Q.; Ju, Y. Multimodal Treatments Combined with Gamma Knife Surgery for Primary Atypical Teratoid/Rhabdoid Tumor of the Central Nervous System: A Single-Institute Experience of 18 Patients. Childs Nerv. Syst. 2018, 34, 627–638. [Google Scholar] [CrossRef] [PubMed]
- Louis, D.N.; Perry, A.; Wesseling, P.; Brat, D.J.; Cree, I.A.; Figarella-Branger, D.; Hawkins, C.; Ng, H.K.; Pfister, S.M.; Reifenberger, G.; et al. The 2021 WHO Classification of Tumors of the Central Nervous System: A Summary. Neuro-Oncology 2021, 23, 1231–1251. [Google Scholar] [CrossRef] [PubMed]
- Rao, S.J.B.; Konar, S.K.; Shukla, D.; Bhat, D.I.; Beniwal, M.; Rao, K.V.L.N.; Nandeesh, B.N.; Devi, B.I. Factors Influencing Survival of Children with Atypical Teratoid/Rhabdoid Tumors: A Single-Institute Experience in a Developing Country. World Neurosurg. 2019, 129, e264–e272. [Google Scholar] [CrossRef] [PubMed]
- Li, D.; Heiferman, D.M.; Syed, H.R.; Santos, J.G.; Bowman, R.M.; DiPatri, A.J.; Tomita, T.; Wadhwani, N.R.; Alden, T.D. Pediatric Primary Spinal Atypical Teratoid Rhabdoid Tumor: A Case Series and Review of the Literature. J. Neurosurg. Pediatr. 2019, 24, 267–283. [Google Scholar] [CrossRef] [PubMed]
- Reddy, A.T.; Strother, D.R.; Judkins, A.R.; Burger, P.C.; Pollack, I.F.; Krailo, M.D.; Buxton, A.B.; Williams-Hughes, C.; Fouladi, M.; Mahajan, A.; et al. Efficacy of High-Dose Chemotherapy and Three-Dimensional Conformal Radiation for Atypical Teratoid/Rhabdoid Tumor: A Report from the Children’s Oncology Group Trial ACNS0333. J. Clin. Oncol. 2020, 38, 1175–1185. [Google Scholar] [CrossRef] [PubMed]
- Chiang, C.J.; Wang, Y.W.; Lee, W.C. Taiwan’s Nationwide Cancer Registry System of 40 Years: Past, Present, and Future. J. Formos Med. Assoc. 2019, 118, 856–858. [Google Scholar] [CrossRef]
- Kao, C.W.; Chiang, C.J.; Lin, L.J.; Huang, C.W.; Lee, W.C.; Lee, M.Y. Accuracy of Long-form Data in the Taiwan Cancer Registry. J. Formos Med. Assoc. 2021, 120, 2037–2041. [Google Scholar] [CrossRef]
- Lafay-Cousin, L.; Hawkins, C.; Carret, A.S.; Johnston, D.; Zelcer, S.; Wilson, B.; Jabado, N.; Scheinemann, K.; Eisenstat, D.; Fryer, C.; et al. Central Nervous System Atypical Teratoid Rhabdoid Tumours: The Canadian Paediatric Brain Tumour Consortium experience. Eur. J. Cancer 2012, 48, 353–359. [Google Scholar] [CrossRef]
- Woehrer, A.; Slavc, I.; Waldhoer, T.; Heinzl, H.; Zielonke, N.; Czech, T.; Benesch, M.; Hainfellner, J.A.; Haberler, C. Incidence of Atypical Teratoid/Rhabdoid Tumors in Children. Cancer 2010, 116, 5725–5732. [Google Scholar] [CrossRef]
- Von Hoff, K.; Hinkes, B.; Dannenmann-Stern, E.; Von Bueren, A.O.; Warmuth-Metz, M.; Soerensen, N.; Emser, A.; Zwiener, I.; Schlegel, P.G.; Kuehl, J.; et al. Frequency, Risk-Factors and Survival of Children with Atypical Teratoid Rhabdoid Tumors (AT/RT) of the CNS Diagnosed Between 1988 and 2004, and Registered to the German HIT Database. Pediatr. Blood Cancer 2011, 57, 978–985. [Google Scholar] [CrossRef]
- Chi, S.N.; Zimmerman, M.A.; Yao, X.; Cohen, K.J.; Burger, P.; Biegel, J.A.; Rorke-Adams, L.B.; Fisher, M.J.; Janss, A.; Mazewski, C.; et al. Intensive Multimodality Treatment for Children with Newly Diagnosed CNS Atypical Teratoid Rhabdoid Tumor. J. Clin. Oncol. 2009, 27, 385–389. [Google Scholar] [CrossRef] [PubMed]
- Tekautz, T.M.; Fuller, C.E.; Blaney, S.; Fouladi, M.; Broniscer, A.; Merchant, T.E.; Krasin, M.; Dalton, J.; Hale, G.; Kun, L.E.; et al. Atypical Teratoid/Rhabdoid Tumors (ATRT): Improved Survival in Children 3 Years of Age and Older with Radiation Therapy and High-Dose Alkylator-Based Chemotherapy. J. Clin. Oncol. 2005, 23, 1491–1499. [Google Scholar] [CrossRef] [PubMed]
- Hilden, J.M.; Meerbaum, S.; Burger, P.; Finlay, J.; Janss, A.; Scheithauer, B.W.; Walter, A.W.; Rorke, L.B.; Biegel, J.A. Central Nervous System Atypical Teratoid/Rhabdoid Tumor: Results of Therapy in Children Enrolled in a Registry. J. Clin. Oncol. 2004, 22, 2877–2884. [Google Scholar] [CrossRef] [PubMed]
- Packer, R.J.; Biegel, J.A.; Blaney, S.; Finlay, J.; Geyer, J.R.; Heideman, R.; Hilden, J.; Janss, A.J.; Kun, L.; Vezina, G.; et al. Atypical Teratoid/Rhabdoid Tumor of the Central Nervous System: Report on Workshop. J. Pediatr. Hematol. Oncol. 2002, 24. [Google Scholar] [CrossRef]
- Morgenstern, D.A.; Gibson, S.; Brown, T.; Sebire, N.J.; Anderson, J. Clinical and Pathological Features of Paediatric Malignant Rhabdoid Tumours. Pediatr. Blood Cancer 2010, 54, 29–34. [Google Scholar] [CrossRef]
- Isaacs, H. Fetal and Neonatal Rhabdoid Tumor. J. Pediatr. Surg. 2010, 45, 619–626. [Google Scholar] [CrossRef] [PubMed]
- Yamasaki, K.; Kiyotani, C.; Terashima, K.; Watanabe, Y.; Kanamori, M.; Koga, Y.; Hata, N.; Iwasaki, F.; Goto, H.; Koh, K.; et al. Clinical Characteristics, Treatment, and Survival Outcome in Pediatric Patients with Atypical Teratoid/Rhabdoid Tumors: A Retrospective Study by the Japan Children’s Cancer Group. J. Neurosurg. Pediatr. 2019, 25, 111–120. [Google Scholar] [CrossRef] [PubMed]
- Johann, P.D.; Erkek, S.; Zapatka, M.; Kerl, K.; Buchhalter, I.; Hovestadt, V.; Jones, D.; Sturm, D.; Hermann, C.; Segura Wang, M.; et al. Atypical Teratoid/Rhabdoid Tumors Are Comprised of Three Epigenetic Subgroups with Distinct Enhancer Landscapes. Cancer Cell 2016, 29, 379. [Google Scholar] [CrossRef]
- Squire, S.E.; Chan, M.D.; Marcus, K.J. Atypical Teratoid/Rhabdoid Tumor: The Controversy Behind Radiation Therapy. J. Neurooncol. 2007, 81, 97–111. [Google Scholar] [CrossRef]
- Yang, W.C.; Yen, H.J.; Liang, M.L.; Chen, H.H.; Lee, Y.Y.; Wong, T.T.; Hu, Y.W.; Chen, Y.W. Role of Early and Aggressive Post-Operative Radiation Therapy in Improving Outcome for Pediatric Central Nervous System Atypical Teratoid/Rhabdoid Tumor. Childs Nerv. Syst. 2019, 35, 1013–1020. [Google Scholar] [CrossRef]
- Chen, Y.W.; Wong, T.T.; Ho, D.M.; Huang, P.I.; Chang, K.P.; Shiau, C.Y.; Yen, S.H. Impact of Radiotherapy for Pediatric CNS Atypical Teratoid/Rhabdoid Tumor (Single Institute Experience). Int. J. Radiat. Oncol. Biol. Phys. 2006, 64, 1038–1043. [Google Scholar] [CrossRef] [PubMed]
- Buscariollo, D.L.; Park, H.S.; Roberts, K.B.; Yu, J.B. Survival Outcomes in Atypical Teratoid Rhabdoid Tumor for Patients Undergoing Radiotherapy in a Surveillance, Epidemiology, and End Results Analysis. Cancer 2012, 118, 4212–4219. [Google Scholar] [CrossRef] [PubMed]
- Mulhern, R.K.; Merchant, T.E.; Gajjar, A.; Reddick, W.E.; Kun, L.E. Late Neurocognitive Sequelae in Survivors of Brain Tumours in Childhood. Lancet Oncol. 2004, 5, 399–408. [Google Scholar] [CrossRef]
- Merchant, T.E.; Hua, C.H.; Shukla, H.; Ying, X.; Nill, S.; Oelfke, U. Proton Versus Photon Radiotherapy for Common Pediatric Brain Tumors: Comparison of Models of Dose Characteristics and their Relationship to Cognitive Function. Pediatr. Blood Cancer 2008, 51, 110–117. [Google Scholar] [CrossRef]
- Merchant, T.E.; Li, C.; Xiong, X.; Kun, L.E.; Boop, F.A.; Sanford, R.A. Conformal Radiotherapy After Surgery for Paediatric Ependymoma: A Prospective Study. Lancet Oncol. 2009, 10, 258–266. [Google Scholar] [CrossRef]
- De Amorim Bernstein, K.; Sethi, R.; Trofimov, A.; Zeng, C.; Fullerton, B.; Yeap, B.Y.; Ebb, D.; Tarbell, N.J.; Yock, T.I.; MacDonald, S.M. Early Clinical Outcomes Using Proton Radiation for Children with Central Nervous System Atypical Teratoid Rhabdoid Tumors. Int. J. Radiat. Oncol. Biol. Phys. 2013, 86, 114–120. [Google Scholar] [CrossRef]
- Slavc, I.; Chocholous, M.; Leiss, U.; Haberler, C.; Peyrl, A.; Azizi, A.A.; Dieckmann, K.; Woehrer, A.; Peters, C.; Widhalm, G.; et al. Atypical Teratoid Rhabdoid Tumor: Improved Long-Term Survival with an Intensive Multimodal Therapy and Delayed Radiotherapy. The Medical University of Vienna Experience 1992–2012. Cancer Med. 2014, 3, 91–100. [Google Scholar] [CrossRef]
- Macdonald, T.; Rood, B. Central Nervous System Tumours of the Infant and Child. In Holland-Frei Cancer Medicine, 6th ed.; BC Decker: London, UK, 2003. [Google Scholar]
- Sasani, M.; Oktenoglu, T.; Ozer, A.F.; Sarioglu, A.C. Giant Supratentorial Atypical Teratoid/Rhabdoid Tumor Presentation: A Case of a Five-Year-Old Child with Favorable Outcome and Review of the Literature. Pediatr. Neurosurg. 2007, 43, 149–154. [Google Scholar] [CrossRef]
- Morin, A.; Soane, C.; Pierce, A.; Sanford, B.; Jones, K.L.; Crespo, M.; Zahedi, S.; Vibhakar, R.; Mulcahy Levy, J.M. Proteasome Inhibition as a Therapeutic Approach in Atypical Teratoid/Rhabdoid Tumors. Neuro-Oncol. Adv. 2020, 2, vdaa051. [Google Scholar] [CrossRef]
- Tran, H.M.; Wu, K.-S.; Sung, S.-Y.; Changou, C.A.; Hsieh, T.-H.; Liu, Y.-R.; Liu, Y.-L.; Tsai, M.-L.; Lee, H.-L.; Hsieh, K.L.-C.; et al. Upregulation of Protein Synthesis and Proteasome Degradation Confers Sensitivity to Proteasome Inhibitor Bortezomib in Myc-Atypical Teratoid/Rhabdoid Tumors. Cancers 2020, 12, 752. [Google Scholar] [CrossRef]
- Zin, F.; Cotter, J.A.; Haberler, C.; Dottermusch, M.; Neumann, J.; Schüller, U.; Schweizer, L.; Thomas, C.; Nemes, K.; Johann, P.D.; et al. Histopathological Patterns in Atypical Teratoid/rhabdoid tumors are Related to Molecular Subgroup. Brain Pathol. 2021, 31, e12967. [Google Scholar] [CrossRef] [PubMed]


| Variables | Total (N = 47) * |
|---|---|
| Mean age at diagnosis (months) * Median age at diagnosis (months) | 66.87 (±109.32) 23.3 (12.5–87.9) |
| Age group (months) | |
| 0–11 months | 11 (23.40%) |
| 12–35 months | 15 (31.91%) |
| ≥36 months | 21 (44.68%) |
| Gender, Male | 29 (61.70%) |
| Residence Location | |
| Northern Taiwan | 21 (44.68%) |
| Central Taiwan | 15 (31.91%) |
| Southern Taiwan | 11 (23.40%) |
| Tumor site | |
| Supratentorial | 11 (23.40%) |
| Infratentorial or Spine | 22 (46.81%) |
| Unspecified nervous system or Others | 14 (29.79%) |
| Treatment | |
| Surgery or no treatment | 6 (12.77%) |
| Chemotherapy (including SCT) | 12 (25.53%) |
| RT | 5 (10.64%) |
| RT + CT | 24 (51.06%) |
| Diagnosis year | |
| 2008–2014 | 23 (48.94%) |
| 1999–2007 | 24 (51.06%) |
| Tumor Site | Age < 3 Years (N = 26) | Age ≥ 3 Years (N = 21) | Total (N = 47) | p Value |
|---|---|---|---|---|
| Supratentorial | 3 (27%) | 8 (73%) | 11 | 0.082 a |
| Infratentorial or Spine | 15 (68%) | 7 (32) | 22 | |
| Unspecified nervous system or Others | 8 (57%) | 6 (43%) | 14 | |
| Treatment | (N = 26) | (N = 21) | (N = 47) | |
| Chemotherapy and/or radiotherapy | 20 (49%) | 21 (51%) | 41 | 0.026 b |
| Surgery or No treatment | 6 (100%) | 0 (0%) | 6 |
| Tumor Site | Chemotherapy Only (N = 12) | Radiotherapy with/ without Chemotherapy (N = 29) | Surgery or No Treatment (N = 6) | Total (N = 47) | p Value * | |
|---|---|---|---|---|---|---|
| Infratentorial or Spine | 7 (32%) | 12 (54%) | 3 (14%) | 22 | 0.698 | |
| Supratentorial, Unspecified or Others | 5 (20%) | 17 (68%) | 3 (12%) | 25 |
| Prognostic Factor | Univariate | Multivariate | ||||||
|---|---|---|---|---|---|---|---|---|
| HR | 95% CI | p Value * | HR | 95% CI | p Value * | |||
| Age (months) | ||||||||
| 0–11 m | Reference | Reference | ||||||
| 12–23 m | 0.113 | (0.039–0.330) | <0.001 | 0.130 | (0.036–0.468) | 0.002 | ||
| 24–35 m | 0.379 | (0.082–1.754) | 0.214 | 1.769 | (0.175–17.852) | 0.629 | ||
| ≥36 m | 0.078 | (0.028–0.216) | <0.001 | 0.356 | (0.066–1.929) | 0.231 | ||
| Gender | ||||||||
| Female | Reference | Reference | ||||||
| Male | 0.942 | (0.481–1.844) | 0.862 | 1.012 | (0.430–2.379) | 0.979 | ||
| Tumor site | ||||||||
| Supratentorial | Reference | Reference | ||||||
| Infratentorial or Spine | 3.121 | (1.146–8.497) | 0.026 | 3.234 | (1.049–9.973) | 0.041 | ||
| Unspecified nervous system or Others | 3.261 | (1.139–9.337) | 0.028 | 3.505 | (1.121–10.955) | 0.031 | ||
| Treatment | ||||||||
| Surgery or No treatment | Reference | Reference | ||||||
| Chemotherapy (including SCT) | 0.079 | (0.021–0.305) | <0.001 | 0.013 | (0.002–0.097) | <0.001 | ||
| Radiotherapy | 0.011 | (0.002–0.063) | <0.001 | 0.002 | (0.000–0.025) | <0.001 | ||
| Radiotherapy + Chemotherapy | 0.016 | (0.004–0.066) | <0.001 | 0.003 | (0.000–0.031) | <0.001 | ||
| Diagnosis year | ||||||||
| 1999–2007 | Reference | Reference | ||||||
| 2008–2014 | 1.439 | (0.725–2.856) | 0.298 | 1.316 | (0.477–3.632) | 0.596 | ||
Publisher’s Note: MDPI stays neutral with regard to jurisdictional claims in published maps and institutional affiliations. |
© 2022 by the authors. Licensee MDPI, Basel, Switzerland. This article is an open access article distributed under the terms and conditions of the Creative Commons Attribution (CC BY) license (https://creativecommons.org/licenses/by/4.0/).
Share and Cite
Liu, Y.-L.; Tsai, M.-L.; Chen, C.-I.; Yar, N.; Tsai, C.-W.; Lee, H.-L.; Kuo, C.-C.; Ho, W.-L.; Hsieh, K.L.-C.; Tseng, S.-H.; et al. Atypical Teratoid/Rhabdoid Tumor in Taiwan: A Nationwide, Population-Based Study. Cancers 2022, 14, 668. https://doi.org/10.3390/cancers14030668
Liu Y-L, Tsai M-L, Chen C-I, Yar N, Tsai C-W, Lee H-L, Kuo C-C, Ho W-L, Hsieh KL-C, Tseng S-H, et al. Atypical Teratoid/Rhabdoid Tumor in Taiwan: A Nationwide, Population-Based Study. Cancers. 2022; 14(3):668. https://doi.org/10.3390/cancers14030668
Chicago/Turabian StyleLiu, Yen-Lin, Min-Lan Tsai, Chang-I Chen, Noi Yar, Ching-Wen Tsai, Hsin-Lun Lee, Chia-Chun Kuo, Wan-Ling Ho, Kevin Li-Chun Hsieh, Sung-Hui Tseng, and et al. 2022. "Atypical Teratoid/Rhabdoid Tumor in Taiwan: A Nationwide, Population-Based Study" Cancers 14, no. 3: 668. https://doi.org/10.3390/cancers14030668
APA StyleLiu, Y.-L., Tsai, M.-L., Chen, C.-I., Yar, N., Tsai, C.-W., Lee, H.-L., Kuo, C.-C., Ho, W.-L., Hsieh, K. L.-C., Tseng, S.-H., Miser, J. S., Chang, C.-Y., Chang, H., Huang, W.-C., Wong, T.-T., Wu, A. T. H., & Yen, Y.-C. (2022). Atypical Teratoid/Rhabdoid Tumor in Taiwan: A Nationwide, Population-Based Study. Cancers, 14(3), 668. https://doi.org/10.3390/cancers14030668

