Natural Products/Bioactive Compounds as a Source of Anticancer Drugs
Abstract
Simple Summary
Abstract
1. Introduction
2. Methodology
3. Plant-Derived Bioactive Compounds as Anti-Cancerous Agents
3.1. Vinca Alkaloids and Their Derivatives
3.2. Camptothecin and Its Derivatives
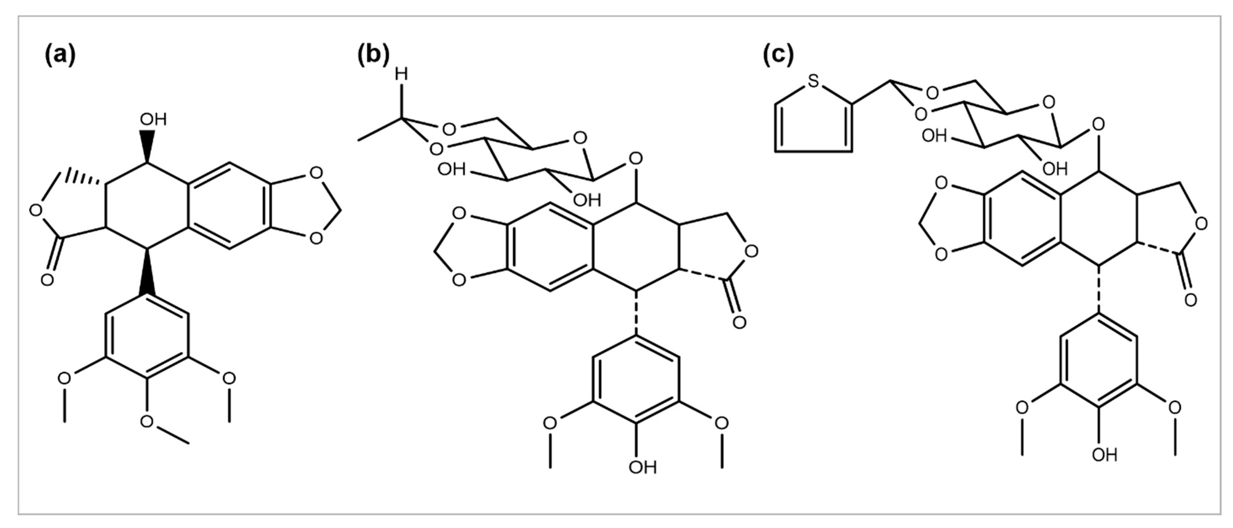
3.3. Podophyllotoxin and Its Semi-Synthetic Analogs
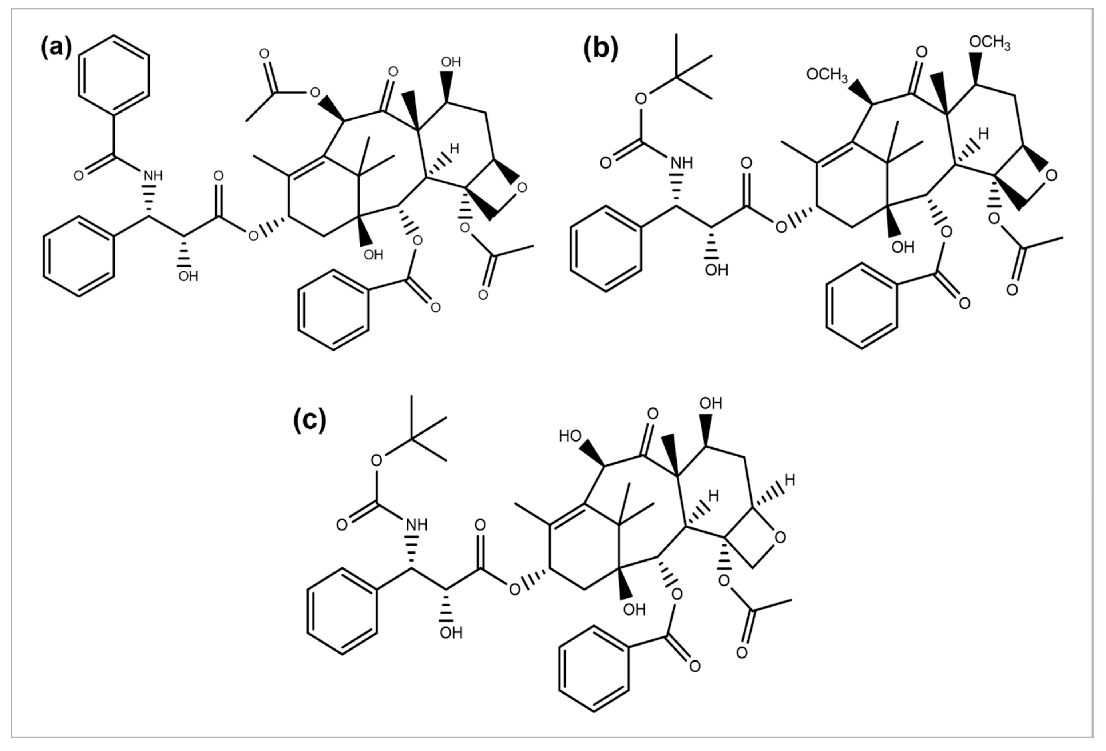
3.4. Taxane Diterpenoids
4. Some Other Plant-Derived Anticancer Agents
5. Mushrooms as a Source of Anticancer Agents
6. Conclusions
Author Contributions
Funding
Data Availability Statement
Conflicts of Interest
References
- Tan, G.; Gyllenhaal, C.; Soejarto, D. Biodiversity as a source of anticancer drugs. Curr. Drug Targets 2006, 7, 265–277. [Google Scholar] [CrossRef] [PubMed]
- De Mesquita, M.L.; de Paula, J.E.; Pessoa, C.; de Moraes, M.O.; Costa-Lotufo, L.V.; Grougnet, R.; Michel, S.; Tillequin, F.; Espindola, L.S. Cytotoxic activity of Brazilian Cerrado plants used in traditional medicine against cancer cell lines. J. Ethnopharmacol. 2009, 123, 439–445. [Google Scholar] [CrossRef] [PubMed]
- Hong, W.K.; Sporn, M.B. Recent advances in chemoprevention of cancer. Science 1997, 278, 1073–1077. [Google Scholar] [CrossRef] [PubMed]
- Chandra, S. Endophytic fungi: Novel sources of anticancer lead molecules. Appl. Microbiol. Biotechnol. 2012, 95, 47–59. [Google Scholar] [CrossRef] [PubMed]
- Srivastava, V.; Negi, A.S.; Kumar, J.; Gupta, M.; Khanuja, S.P. Plant-based anticancer molecules: A chemical and biological profile of some important leads. Bioorg. Med. Chem. 2005, 13, 5892–5908. [Google Scholar] [CrossRef]
- Newman, D.J.; Cragg, G.M. The discovery of anticancer drugs from natural sources. In Natural Products; Springer: Berlin/Heidelberg, Germany, 2005; pp. 129–168. [Google Scholar]
- Larkin, T. Herbs are often more toxic than magical. FDA Consumers 1983, 17, 4–10. [Google Scholar]
- Saxe, T. Toxicity of medicinal herbal preparations. Am. Fam. Physician 1987, 35, 135–142. [Google Scholar] [CrossRef]
- Madhuri, S.; Pandey, G. Some dietary agricultural plants with anticancer properties. Plant Arch. 2008, 8, 13–16. [Google Scholar]
- Sivalokanathan, S.; Ilayaraja, M.; Balasubramanian, M. Efficacy of Terminalia arjuna (Roxb.) on N-nitrosodiethylamine induced hepatocellular carcinoma in rats. Indian J. Exp. Biol. 2005, 43, 264–267. [Google Scholar]
- Chaudhary, A.; Singh, N. Contribution of world health organization in the global acceptance of Ayurveda. J. Ayurveda Integr. Med. 2011, 2, 176–186. [Google Scholar] [CrossRef]
- Anand, U.; Jacobo-Herrera, N.; Altemimi, A.; Lakhssassi, N. A comprehensive review on medicinal plants as antimicrobial therapeutics: Potential avenues of biocompatible drug discovery. Metabolites 2019, 9, 258. [Google Scholar] [CrossRef] [PubMed]
- Semeniuc, C.A.; Socaciu, M.-I.; Socaci, S.A.; Mureșan, V.; Fogarasi, M.; Rotar, A.M. Chemometric comparison and classification of some essential oils extracted from plants belonging to Apiaceae and Lamiaceae families based on their chemical composition and biological activities. Molecules 2018, 23, 2261. [Google Scholar] [CrossRef] [PubMed]
- Pengelly, A.; Bone, K. The Constituents of Medicinal Plants: An Introduction to the Chemistry and Therapeutics of Herbal Medicine; Routledge: Abingdon, UK, 2020. [Google Scholar] [CrossRef]
- Ahmad, I.; Mehmood, Z.; Mohammad, F. Screening of some Indian medicinal plants for their antimicrobial properties. J. Ethnopharmacol. 1998, 62, 183–193. [Google Scholar] [CrossRef] [PubMed]
- Singla, R.K.; De, R.; Efferth, T.; Mezzetti, B.; Sahab Uddin, M.d.; Sanusi; Ntie-Kang, F.; Wang, D.; Schultz, F.; Kharat, K.R.; et al. The International Natural Product Sciences Taskforce (INPST) and the power of Twitter networking exemplified through #INPST Hashtag Analysis. Phytomedicine 2023, 108, 154520. [Google Scholar] [CrossRef]
- Rosangkima, G.; Prasad, S. Antitumour activity of some plants from Meghalaya and Mizoram against murine ascites Dalton's lymphoma. Indian J. Exp. Biol. 2004, 42, 981–988. [Google Scholar]
- Cragg, G.M.; Newman, D.J. Plants as a source of anticancer agents. J. Ethnopharmacol. 2005, 100, 72–79. [Google Scholar] [CrossRef]
- Sohn, H.; Okos, M.R. Paclitaxel (taxol): From nutt to drug. J. Microbiol. Biotechnol. 1998, 8, 427–440. [Google Scholar]
- Kaur, R.; Kapoor, K.; Kaur, H. Plants as a source of anticancer agents. J. Nat. Prod. Plant Resour. 2011, 1, 119–124. [Google Scholar]
- Fouché, G.; Cragg, G.; Pillay, P.; Kolesnikova, N.; Maharaj, V.; Senabe, J. In vitro anticancer screening of South African plants. J. Ethnopharmacol. 2008, 119, 455–461. [Google Scholar] [CrossRef]
- Georgaki, S.; Skopeliti, M.; Tsiatas, M.; Nicolaou, K.A.; Ioannou, K.; Husband, A.; Bamias, A.; Dimopoulos, M.A.; Constantinou, A.I.; Tsitsilonis, O.E. Phenoxodiol, an anticancer isoflavene, induces immunomodulatory effects in vitro and in vivo. J. Cell Mol. Med. 2009, 13, 3929–3938. [Google Scholar] [CrossRef]
- Kinghorn, A.; Farnsworth, N.; Beecher, C.; Soejarto, D.; Cordell, G.; Pezzuto, J.; Wall, M.; Wani, M.; Brown, D.; O'neill, M.M.; et al. Novel strategies for plant-derived anticancer agents. Int. J. Pharmacogn. 1995, 33, 48–58. [Google Scholar] [CrossRef]
- Kinghorn, A.D.; Su, B.-N.; Jang, D.S.; Chang, L.C.; Lee, D.; Gu, J.-Q.; Carcache-Blanco, E.J.; Pawlus, A.D.; Lee, S.K.; Park, E.J. Natural inhibitors of carcinogenesis. Planta Med. 2004, 70, 691–705. [Google Scholar] [CrossRef] [PubMed]
- Powis, G. Anticancer Drugs: Antimetabolite Metabolism and Natural Anticancer Agents, 1st ed.; Pergamon: Oxford, UK, 1994; Section 140. [Google Scholar]
- Yun, T.K. Update from Asia: Asian studies on cancer chemoprevention. Ann. N. Y. Acad. Sci. 1999, 889, 157–192. [Google Scholar] [CrossRef] [PubMed]
- Kamath, K.; Park, K. Mucosal adhesive preparations. In Encyclopedia of Pharmaceutical Technology; Swarbrick, J., Boylan, J.C., Eds.; Marcel Dekker Inc.: New York, NY, USA, 1988; Volume 10, p. 133. [Google Scholar]
- Sagini, K.; Urbanelli, L.; Buratta, S.; Leonardi, L.; Emiliani, C. Nanovesicles from plants as edible carriers of bioactive compounds. AgroLife Sci. J. 2017, 6, 167–171. [Google Scholar]
- Shengquan, L.; Ngong, H.S. Design of low-molecular-weight prodrugs for targeted delivery of anticancer agents. In Proceedings of the 3rd International Conference and Exhibition on Pharmaceutics & Novel Drug Delivery Systems, Chicago, IL, USA, 8–10 April 2013. [Google Scholar]
- Kratz, F.; Müller, I.A.; Ryppa, C.; Warnecke, A. Prodrug strategies in anticancer chemotherapy. ChemMedChem 2008, 3, 20–53. [Google Scholar] [CrossRef]
- Sporn, M.B.; Liby, K.T. Cancer chemoprevention: Scientific promise, clinical uncertainty. Nat. Clin. Pract. Oncol. 2005, 2, 518–525. [Google Scholar] [CrossRef]
- Duffy, R.; Wade, C.; Chang, R. Discovery of anticancer drugs from antimalarial natural products: A MEDLINE literature review. Drug Discov. Today 2012, 17, 942–953. [Google Scholar] [CrossRef]
- Pereira, D.M.; Valentao, P.; Correia-da-Silva, G.; Teixeira, N.; Andrade, P.B. Plant secondary metabolites in cancer chemotherapy: Where are we? Curr. Pharm. Biotechnol. 2012, 13, 632–650. [Google Scholar] [CrossRef]
- Singh, S.; Awasthi, M.; Pandey, V.P.; Dwivedi, U.N. Natural products as anticancerous therapeutic molecules with special reference to enzymatic targets topoisomerase, COX, LOX and aromatase. Curr. Protein Pept. Sci. 2018, 19, 238–274. [Google Scholar] [CrossRef]
- Ertas Onmaz, N.; Demirezen Yilmaz, D.; Imre, K.; Morar, A.; Gungor, C.; Yilmaz, S.; Gundog, D.A.; Dishan, A.; Herman, V.; Gungor, G. Green synthesis of gold nanoflowers using Rosmarinus officinalis and Helichrysum italicum extracts: Comparative studies of their antimicrobial and antibiofilm activities. Antibiotics 2022, 11, 1466. [Google Scholar] [CrossRef]
- Song, N.; Ma, J.; Zhang, X.; Qu, D.; Hui, L.; Sang, C.; Li, H. Lappaconitine hydrochloride induces apoptosis and S phase cell cycle arrest through MAPK signaling pathway in human liver cancer HepG2 cells. Pharmacogn. Mag. 2021, 17, 334–341. [Google Scholar] [CrossRef]
- Lai, K.-C.; Huang, A.-C.; Hsu, S.-C.; Kuo, C.-L.; Yang, J.-S.; Wu, S.-H.; Chung, J.-G. Benzyl isothiocyanate (BITC) inhibits migration and invasion of human colon cancer HT29 cells by inhibiting matrix metalloproteinase-2/-9 and urokinase plasminogen (uPA) through PKC and MAPK signaling pathway. J. Agric. Food Chem. 2010, 58, 2935–2942. [Google Scholar] [CrossRef] [PubMed]
- Hong, Y.; Lee, J.; Moon, H.; Ryu, C.H.; Seok, J.; Jung, Y.-S.; Ryu, J.; Baek, S.J. Quercetin induces anticancer activity by upregulating pro-NAG-1/GDF15 in differentiated thyroid cancer cells. Cancers 2021, 13, 3022. [Google Scholar] [CrossRef] [PubMed]
- Guan, X.; Guan, Y. Artemisinin induces selective and potent anticancer effects in drug resistant breast cancer cells by inducing cellular apoptosis and autophagy and G2/M cell cycle arrest. JBUON 2020, 25, 1330–1336. [Google Scholar]
- Tsai, Y.-J.; Chen, B.-H. Preparation of catechin extracts and nanoemulsions from green tea leaf waste and their inhibition effect on prostate cancer cell PC-3. Int. J. Nanomed. 2016, 11, 1907–1926. [Google Scholar] [CrossRef]
- Hussein, N.A.E.M.; El-Toukhy, M.A.E.-F.; Kazem, A.H.; Ali, M.E.-S.; Ahmad, M.A.E.-R.; Ghazy, H.M.R.; El-Din, A.M.G. Protective and therapeutic effects of cannabis plant extract on liver cancer induced by dimethylnitrosamine in mice. Alex. J. Med. 2014, 50, 241–251. [Google Scholar] [CrossRef]
- Chen, M.; Xiao, C.; Jiang, W.; Yang, W.; Qin, Q.; Tan, Q.; Lian, B.; Liang, Z.; Wei, C. Capsaicin inhibits proliferation and induces apoptosis in breast cancer by down-regulating FBI-1-mediated NF-κB pathway. Drug Des. Dev. Ther. 2021, 15, 125–140. [Google Scholar] [CrossRef]
- Pramanik, K.C.; Fofaria, N.M.; Gupta, P.; Ranjan, A.; Kim, S.-H.; Srivastava, S.K. Inhibition of β-catenin signaling suppresses pancreatic tumor growth by disrupting nuclear β-catenin/TCF-1 complex: Critical role of STAT-3. Oncotarget 2015, 6, 11561–11574. [Google Scholar] [CrossRef]
- Boreddy, S.R.; Pramanik, K.C.; Srivastava, S.K. Pancreatic tumor suppression by benzyl isothiocyanate is associated with inhibition of PI3K/AKT/FOXO pathway. Clin. Cancer Res. 2011, 17, 1784–1795. [Google Scholar] [CrossRef]
- Kandelous, H.M.; Salimi, M.; Khori, V.; Rastkari, N.; Amanzadeh, A.; Salimi, M. Mitochondrial apoptosis induced by Chamaemelum nobile extract in breast cancer cells. Iranian J. Pharm. Res. 2016, 15, 197–204. [Google Scholar]
- Kongtawelert, P.; Wudtiwai, B.; Shwe, T.H.; Pothacharoen, P.; Phitak, T. Inhibitory effect of hesperidin on the expression of programmed death ligand (PD-L1) in breast cancer. Molecules 2020, 25, 252. [Google Scholar] [CrossRef] [PubMed]
- Ning, L.; Zhao, W.; Gao, H.; Wu, Y. Hesperidin induces anticancer effects on human prostate cancer cells via ROS-mediated necrosis like cell death. J. BUON 2020, 25, 2629–2634. [Google Scholar] [PubMed]
- Jiang, X.; Li, Y.; Feng, J.-L.; Nik Nabil, W.N.; Wu, R.; Lu, Y.; Liu, H.; Xi, Z.-C.; Xu, H.-X. Safrana l prevents prostate cancer recurrence by blocking the Re-activation of quiescent cancer cells via downregulation of S-phase kinase-associated protein 2. Front. Cell Dev. Biol. 2020, 8, 598620. [Google Scholar] [CrossRef] [PubMed]
- Zheng, Q.; Liu, Y.; Liu, W.; Ma, F.; Zhou, Y.; Chen, M.; Chang, J.; Wang, Y.; Yang, G.; He, G. Cucurbitacin B inhibits growth and induces apoptosis through the JAK2/STAT3 and MAPK pathways in SH-SY5Y human neuroblastoma cells. Mol. Med. Rep. 2014, 10, 89–94. [Google Scholar] [CrossRef]
- Yar Saglam, A.; Alp, E.; Elmazoglu, Z.; Menevse, S. Treatment with cucurbitacin B alone and in combination with gefitinib induces cell cycle inhibition and apoptosis via EGFR and JAK/STAT pathway in human colorectal cancer cell lines. Hum. Exp. Toxicol. 2016, 35, 526–543. [Google Scholar] [CrossRef]
- Xu, Y.; Fang, R.; Shao, J.; Cai, Z. Erianin induces triple-negative breast cancer cells apoptosis by activating PI3K/Akt pathway. Biosci. Rep. 2021, 41, BSR20210093. [Google Scholar] [CrossRef]
- Arya, R.K.; Singh, A.; Yadav, N.K.; Cheruvu, S.H.; Hossain, Z.; Meena, S.; Maheshwari, S.; Singh, A.K.; Shahab, U.; Sharma, C. Anti-breast tumor activity of Eclipta extract in-vitro and in-vivo: Novel evidence of endoplasmic reticulum specific localization of Hsp60 during apoptosis. Sci. Rep. 2015, 5, 18457. [Google Scholar] [CrossRef]
- Lin, X.; Wang, G.; Liu, P.; Han, L.; Wang, T.; Chen, K.; Gao, Y. Gallic acid suppresses colon cancer proliferation by inhibiting SRC and EGFR phosphorylation. Exp. Ther. Med. 2021, 21, 638. [Google Scholar] [CrossRef]
- Shi, C.-J.; Zheng, Y.-B.; Pan, F.-F.; Zhang, F.-W.; Zhuang, P.; Fu, W.-M. Gallic acid suppressed tumorigenesis by an LncRNA MALAT1-Wnt/β-catenin axis in hepatocellular carcinoma. Front. Pharmacol. 2021, 12, 708967. [Google Scholar] [CrossRef]
- Luo, W.; Sun, R.; Chen, X.; Li, J.; Jiang, J.; He, Y.; Shi, S.; Wen, H. ERK activation-mediated autophagy induction resists licochalcone A-induced anticancer activities in lung cancer cells in vitro. OncoTargets Ther. 2020, 13, 13437–13450. [Google Scholar] [CrossRef]
- Haasler, L.; Kondadi, A.K.; Tsigaras, T.; von Montfort, C.; Graf, P.; Stahl, W.; Brenneisen, P. The BH3 mimetic (±) gossypol induces ROS-independent apoptosis and mitochondrial dysfunction in human A375 melanoma cells in vitro. Arch. Toxicol. 2021, 95, 1349–1365. [Google Scholar] [CrossRef] [PubMed]
- Hsieh, Y.-S.; Chu, S.-C.; Huang, S.-C.; Kao, S.-H.; Lin, M.-S.; Chen, P.-N. Gossypol reduces metastasis and epithelial-mesenchymal transition by targeting protease in human cervical cancer. Am. J. Chin. Med. 2021, 49, 181–198. [Google Scholar] [CrossRef] [PubMed]
- Cao, H.; Sethumadhavan, K.; Cao, F.; Wang, T.T. Gossypol decreased cell viability and down-regulated the expression of a number of genes in human colon cancer cells. Sci. Rep. 2021, 11, 5922. [Google Scholar] [CrossRef] [PubMed]
- Cui, A.; Li, X.; Ma, X.; Wang, X.; Liu, C.; Song, Z.; Pan, F.; Xia, Y.; Li, C. Transcriptome and proteome analysis reveals corosolic acid inhibiting bladder cancer via targeting cell cycle and inducing mitophagy in vitro and in vivo. Res. Sq. 2021; preprint. [Google Scholar] [CrossRef]
- Zhang, C.; Niu, Y.; Wang, Z.; Xu, X.; Li, Y.; Ma, L.; Wang, J.; Yu, Y. Corosolic acid inhibits cancer progression by decreasing the level of CDK19-mediated O-GlcNAcylation in liver cancer cells. Cell Death Dis. 2021, 12, 889. [Google Scholar] [CrossRef]
- Zhang, B.Y.; Zhang, L.; Chen, Y.M.; Qiao, X.; Zhao, S.L.; Li, P.; Liu, J.F.; Wen, X.; Yang, J. Corosolic acid inhibits colorectal cancer cells growth as a novel HER2/HER3 heterodimerization inhibitor. Br. J. Pharmacol. 2021, 178, 1475–1491. [Google Scholar] [CrossRef]
- Li, J.; Guo, Q.; Lei, X.; Zhang, L.; Su, C.; Liu, Y.; Zhou, W.; Chen, H.; Wang, H.; Wang, F. Pristimerin induces apoptosis and inhibits proliferation, migration in H1299 lung cancer cells. J. Cancer 2020, 11, 6348–6355. [Google Scholar] [CrossRef]
- Kang, H.R.; Moon, J.Y.; Ediriweera, M.K.; Song, Y.W.; Cho, M.; Kasiviswanathan, D.; Cho, S.K. Dietary flavonoid myricetin inhibits invasion and migration of radioresistant lung cancer cells (A549-IR) by suppressing MMP-2 and MMP-9 expressions through inhibition of the FAK-ERK signaling pathway. Food Sci. Nutr. 2020, 8, 2059–2067. [Google Scholar] [CrossRef]
- Guon, T.E.; Chung, H.S. Hyperoside and rutin of Nelumbo nucifera induce mitochondrial apoptosis through a caspase-dependent mechanism in HT-29 human colon cancer cells. Oncol. Lett. 2016, 11, 2463–2470. [Google Scholar] [CrossRef]
- Kim, J.S.; Yoo, J.-M.; Park, J.E.; Kim, J.; Kim, S.-G.; Seok, Y.M.; Son, J.-H.; Kim, H.J. Anti-angiogenic effect of mountain ginseng in vitro and in vivo: Comparison with farm-cultivated ginseng. Mol. Med. Rep. 2021, 24, 615. [Google Scholar] [CrossRef]
- Kim, J.; Yoo, J.-M.; Kim, J.S.; Kim, S.-G.; Park, J.E.; Seok, Y.M.; Son, J.-H.; Kim, H.J. Anticancer effect of mountain ginseng on human breast cancer: Comparison with farm-cultivated ginseng. Evid. Based Complement. Alternat. Med. 2020, 2020, 2584783. [Google Scholar] [CrossRef]
- Tian, X.; Liu, M.; Huang, X.; Zhu, Q.; Liu, W.; Chen, W.; Zou, Y.; Cai, Y.; Huang, S.; Chen, A. Noscapine induces apoptosis in human colon cancer cells by regulating mitochondrial damage and Warburg effect via PTEN/PI3K/mTOR signaling pathway. OncoTargets Ther. 2020, 13, 5419–5428. [Google Scholar] [CrossRef] [PubMed]
- Geryani, M.A.; Mahdian, D.; Mousavi, S.H.; Hosseini, A. Ctotoxic and apoptogenic effects of Perovskia abrotanoides flower extract on MCF-7 and HeLa cell lines. Avicenna J. Phytomed. 2016, 6, 410–417. [Google Scholar] [PubMed]
- Zhang, D.-F.; Yang, Z.-C.; Chen, J.-Q.; Jin, X.-X.; Qiu, Y.-D.; Chen, X.-J.; Shi, H.-Y.; Liu, Z.-G.; Wang, M.-S.; Liang, G. Piperlongumine inhibits migration and proliferation of castration-resistant prostate cancer cells via triggering persistent DNA damage. BMC Complement. Med. Ther. 2021, 21, 195. [Google Scholar] [CrossRef] [PubMed]
- Wang, F.; Mao, Y.; You, Q.; Hua, D.; Cai, D. Piperlongumine induces apoptosis and autophagy in human lung cancer cells through inhibition of PI3K/Akt/mTOR pathway. Int. J. Immunopathol. Pharmacol. 2015, 28, 362–373. [Google Scholar] [CrossRef] [PubMed]
- De Almeida, G.C.; Oliveira, L.F.; Predes, D.; Fokoue, H.H.; Kuster, R.M.; Oliveira, F.L.; Mendes, F.A.; Abreu, J.G. Piperine suppresses the Wnt/β-catenin pathway and has anticancer effects on colorectal cancer cells. Sci. Rep. 2020, 10, 1161. [Google Scholar] [CrossRef]
- Zhang, Y.; Li, Y.; Sun, C.; Chen, X.; Han, L.; Wang, T.; Liu, J.; Chen, X.; Zhao, D. Effect of pterostilbene, a natural derivative of resveratrol, in the treatment of colorectal cancer through Top1/Tdp1-mediated DNA repair pathway. Cancers 2021, 13, 4002. [Google Scholar] [CrossRef]
- Harinantenaina, L.; Brodie, P.J.; Slebodnick, C.; Callmander, M.W.; Rakotobe, E.; Randrianasolo, S.; Randrianaivo, R.; Rasamison, V.E.; TenDyke, K.; Shen, Y. Antiproliferative compounds from Pongamiopsis pervilleana from the Madagascar dry forest. J. Nat. Prod. 2010, 73, 1559–1562. [Google Scholar] [CrossRef]
- Li, J.; Xiong, C.; Xu, P.; Luo, Q.; Zhang, R. Puerarin induces apoptosis in prostate cancer cells via inactivation of the Keap1/Nrf2/ARE signaling pathway. Bioengineered 2021, 12, 402–413. [Google Scholar] [CrossRef]
- Ward, A.B.; Mir, H.; Kapur, N.; Gales, D.N.; Carriere, P.P.; Singh, S. Quercetin inhibits prostate cancer by attenuating cell survival and inhibiting anti-apoptotic pathways. World J. Surg. Oncol. 2018, 16, 108. [Google Scholar] [CrossRef]
- Masraksa, W.; Tanasawet, S.; Hutamekalin, P.; Wongtawatchai, T.; Sukketsiri, W. Luteolin attenuates migration and invasion of lung cancer cells via suppressing focal adhesion kinase and non-receptor tyrosine kinase signaling pathway. Nutr. Res. Pract. 2020, 14, 127–133. [Google Scholar] [CrossRef] [PubMed]
- Li, M.; Jin, S.; Cao, Y.; Xu, J.; Zhu, S.; Li, Z. Emodin regulates cell cycle of non-small lung cancer (NSCLC) cells through hyaluronan synthase 2 (HA2)-HA-CD44/receptor for hyaluronic acid-mediated motility (RHAMM) interaction-dependent signaling pathway. Cancer Cell Int. 2021, 21, 19. [Google Scholar] [CrossRef] [PubMed]
- Fadlalla, K.; Watson, A.; Yehualaeshet, T.; Turner, T.; Samuel, T. Ruta graveolens extract induces DNA damage pathways and blocks Akt activation to inhibit cancer cell proliferation and survival. Anticancer Res. 2011, 31, 233–241. [Google Scholar] [PubMed]
- Lv, L.; Zhang, W.; Li, T.; Jiang, L.; Lu, X.; Lin, J. Hispidulin exhibits potent anticancer activity in vitro and in vivo through activating ER stress in non-small-cell lung cancer cells. Oncol. Rep. 2020, 43, 1995–2003. [Google Scholar] [CrossRef] [PubMed]
- Aktepe, O.H.; Şahin, T.K.; Güner, G.; Arik, Z.; Yalçin, Ş. Lycopene sensitizes the cervical cancer cells to cisplatin via targeting nuclear factorkappaB (NF- B) pathway. Turk. J. Med. Sci. 2021, 51, 368–374. [Google Scholar] [CrossRef] [PubMed]
- Cheng, J.; Miller, B.; Balbuena, E.; Eroglu, A. Lycopene protects against smoking-induced lung cancer by inducing base excision repair. Antioxidants 2020, 9, 643. [Google Scholar] [CrossRef]
- Czarnik-Kwaśniak, J.; Kwaśniak, K.; Kwasek, P.; Świerzowska, E.; Strojewska, A.; Tabarkiewicz, J. The influence of lycopene, [6]-gingerol, and silymarin on the apoptosis on U-118MG glioblastoma cells in vitro model. Nutrients 2019, 12, 96. [Google Scholar] [CrossRef]
- Preet, R.; Mohapatra, P.; Das, D.; Satapathy, S.R.; Choudhuri, T.; Wyatt, M.D.; Kundu, C.N. Lycopene synergistically enhances quinacrine action to inhibit Wnt-TCF signaling in breast cancer cells through APC. Carcinogenesis 2013, 34, 277–286. [Google Scholar] [CrossRef]
- Lin, S.; Zhuang, J.; Zhu, L.; Jiang, Z. Matrine inhibits cell growth, migration, invasion and promotes autophagy in hepatocellular carcinoma by regulation of circ_0027345/miR-345-5p/HOXD3 axis. Cancer Cell Int. 2020, 20, 246. [Google Scholar] [CrossRef]
- Wang, F.; Wang, L.; Qu, C.; Chen, L.; Geng, Y.; Cheng, C.; Yu, S.; Wang, D.; Yang, L.; Meng, Z. Kaempferol induces ROS-dependent apoptosis in pancreatic cancer cells via TGM2-mediated Akt/mTOR signaling. BMC Cancer 2021, 21, 396. [Google Scholar] [CrossRef]
- Zhu, L.; Xue, L. Kaempferol suppresses proliferation and induces cell cycle arrest, apoptosis, and DNA damage in breast cancer cells. Oncol. Res. 2019, 27, 629–634. [Google Scholar] [CrossRef] [PubMed]
- Bishayee, A.; Mandal, A. Trianthema portulacastrum Linn. exerts chemoprevention of 7, 12-dimethylbenz (a) anthracene-induced mammary tumorigenesis in rats. Mutat. Res. 2014, 768, 107–118. [Google Scholar] [CrossRef] [PubMed]
- Wu, H.; Chen, L.; Zhu, F.; Han, X.; Sun, L.; Chen, K. The cytotoxicity effect of resveratrol: Cell cycle arrest and induced apoptosis of breast cancer 4T1 cells. Toxins 2019, 11, 731. [Google Scholar] [CrossRef] [PubMed]
- Peng, L.; Jiang, D. Resveratrol eliminates cancer stem cells of osteosarcoma by STAT3 pathway inhibition. PLoS ONE 2018, 13, e0205918. [Google Scholar] [CrossRef]
- Buhrmann, C.; Shayan, P.; Goel, A.; Shakibaei, M. Resveratrol regulates colorectal cancer cell invasion by modulation of focal adhesion molecules. Nutrients 2017, 9, 1073. [Google Scholar] [CrossRef]
- Tsai, Y.; Xia, C.; Sun, Z. The inhibitory effect of 6-gingerol on ubiquitin-specific peptidase 14 enhances autophagy-dependent ferroptosis and anti-tumor in vivo and in vitro. Front. Pharmacol. 2020, 11, 598555. [Google Scholar] [CrossRef]
- Sp, N.; Kang, D.Y.; Lee, J.-M.; Bae, S.W.; Jang, K.-J. Potential anti-tumor effects of 6-gingerol in p53-dependent mitochondrial apoptosis and inhibition of tumor sphere formation in breast cancer cells. Int. J. Mol. Sci. 2021, 22, 4660. [Google Scholar] [CrossRef]
- Verma, A.; Singh, R. Induced dwarf mutant in Catharanthus roseus with enhanced antibacterial activity. Indian J. Pharm. Sci. 2010, 72, 655–657. [Google Scholar] [CrossRef]
- Jordan, M.A.; Thrower, D.; Wilson, L. Mechanism of inhibition of cell proliferation by Vinca alkaloids. Cancer Res. 1991, 51, 2212–2222. [Google Scholar]
- Jordan, M.A.; Wilson, L. Microtubules as a target for anticancer drugs. Nat. Rev. Cancer 2004, 4, 253–265. [Google Scholar] [CrossRef]
- Mamtani, R.; Vaughn, D.J. Vinflunine in the treatment of advanced bladder cancer. Expert Rev. Anticancer Ther. 2011, 11, 13–20. [Google Scholar] [CrossRef] [PubMed]
- Bachner, M.; De Santis, M. Vinflunine in the treatment of bladder cancer. Ther. Clin. Risk Manag. 2008, 4, 1243–1253. [Google Scholar] [CrossRef] [PubMed]
- Bennouna, J.; Delord, J.-P.; Campone, M.; Nguyen, L. Vinflunine: A new microtubule inhibitor agent. Clin. Cancer Res. 2008, 14, 1625–1632. [Google Scholar] [CrossRef] [PubMed]
- Kruczynski, A.; Barret, J.-M.; Etiévant, C.; Colpaert, F.; Fahy, J.; Hill, B.T. Antimitotic and tubulin-interacting properties of vinflunine, a novel fluorinated Vinca alkaloid. Biochem. Pharmacol. 1998, 55, 635–648. [Google Scholar] [CrossRef] [PubMed]
- Pourroy, B.; Carré, M.; Honoré, S.; Bourgarel-Rey, V.; Kruczynski, A.; Briand, C.; Braguer, D. Low concentrations of vinflunine induce apoptosis in human SK-N-SH neuroblastoma cells through a postmitotic G1 arrest and a mitochondrial pathway. Mol. Pharmacol. 2004, 66, 580–591. [Google Scholar] [CrossRef] [PubMed]
- Simoens, C.; Vermorken, J.B.; Korst, A.E.; Pauwels, B.; De Pooter, C.M.; Pattyn, G.G.; Lambrechts, H.A.; Breillout, F.; Lardon, F. Cell cycle effects of vinflunine, the most recent promising Vinca alkaloid, and its interaction with radiation, in vitro. Cancer Chemother. Pharmacol. 2006, 58, 210–218. [Google Scholar] [CrossRef] [PubMed]
- Cao, Z.; Zhu, S.; Xue, Z.; Zhang, F.; Zhang, L.; Zhang, Y.; Guo, Y.; Zhan, G.; Zhang, X.; Guo, Z. Isoquinoline alkaloids from Hylomecon japonica and their potential anti-breast cancer activities. Phytochemistry 2022, 202, 113321. [Google Scholar] [CrossRef]
- Freeling, J.L.; Scholl, J.L.; Eikanger, M.; Knoblich, C.; Potts, R.A.; Anderson, D.J.; Rower, J.E.; Farjoo, M.H.; Zhao, H.; Pillatzki, A. Pre-clinical safety and therapeutic efficacy of a plant-based alkaloid in a human colon cancer xenograft model. Cell Death Discov. 2022, 8, 135. [Google Scholar] [CrossRef]
- Liu, L.; Yan, J.; Cao, Y.; Yan, Y.; Shen, X.; Yu, B.; Tao, L.; Wang, S. Proliferation, migration and invasion of triple negative breast cancer cells are suppressed by berbamine via the PI3K/Akt/MDM2/p53 and PI3K/Akt/mTOR signaling pathways. Oncol. Lett. 2021, 21, 70. [Google Scholar] [CrossRef]
- Esnaashari, S.S.; Muhammadnejad, S.; Amanpour, S.; Amani, A. A combinational approach towards treatment of breast cancer: An analysis of noscapine-loaded polymeric nanoparticles and doxorubicin. AAPS PharmSciTech 2020, 21, 166. [Google Scholar] [CrossRef]
- Hsiang, Y.-H.; Hertzberg, R.; Hecht, S.; Liu, L. Camptothecin induces protein-linked DNA breaks via mammalian DNA topoisomerase I. J. Biol. Chem. 1985, 260, 14873–14878. [Google Scholar] [CrossRef] [PubMed]
- Oberlies, N.H.; Kroll, D.J. Camptothecin and taxol: Historic achievements in natural products research. J. Nat. Prod. 2004, 67, 129–135. [Google Scholar] [CrossRef] [PubMed]
- Pazdur, R.; Diaz-Canton, E.; Ballard, W.P.; Bradof, J.E.; Graham, S.; Arbuck, S.G.; Abbruzzese, J.L.; Winn, R. Phase II trial of 9-aminocamptothecin administered as a 72-hour continuous infusion in metastatic colorectal carcinoma. J. Clin. Oncol. 1997, 15, 2905–2909. [Google Scholar] [CrossRef] [PubMed]
- Farray, D.; Ahluwalia, M.S.; Snyder, J.; Barnett, G.H.; Cohen, B.H.; Suh, J.H.; Peereboom, D.M. Pre-irradiation 9-amino [20s] camptothecin (9-AC) in patients with newly diagnosed glioblastoma multiforme. Invest. New Drugs. 2006, 24, 177–180. [Google Scholar] [CrossRef] [PubMed]
- Scott, L.; Soepenberg, O.; Verweij, J.; de Jonge, M.; Th Planting, A.; McGovern, D.; Principe, P.; Obach, R.; Twelves, C. A multicentre phase I and pharmacokinetic study of BN80915 (diflomotecan) administered daily as a 20-min intravenous infusion for 5 days every 3 weeks to patients with advanced solid tumours. Ann. Oncol. 2007, 18, 569–575. [Google Scholar] [CrossRef]
- Zhu, A.X.; Ready, N.; Clark, J.W.; Safran, H.; Amato, A.; Salem, N.; Pace, S.; He, X.; Zvereva, N.; Lynch, T.J. Phase I and pharmacokinetic study of gimatecan given orally once a week for 3 of 4 weeks in patients with advanced solid tumors. Clin. Cancer Res. 2009, 15, 374–381. [Google Scholar] [CrossRef]
- Pecorelli, S.; Ray-Coquard, I.; Tredan, O.; Colombo, N.; Parma, G.; Tisi, G.; Katsaros, D.; Lhomme, C.; Lissoni, A.; Vermorken, J. Phase II of oral gimatecan in patients with recurrent epithelial ovarian, fallopian tube or peritoneal cancer, previously treated with platinum and taxanes. Ann. Oncol. 2009, 21, 759–765. [Google Scholar] [CrossRef]
- Trocóniz, I.F.; Cendrós, J.-M.; Soto, E.; Pruñonosa, J.; Perez-Mayoral, A.; Peraire, C.; Principe, P.; Delavault, P.; Cvitkovic, F.; Lesimple, T. Population pharmacokinetic/pharmacodynamic modeling of drug-induced adverse effects of a novel homocamptothecin analog, elomotecan (BN80927), in a Phase I dose finding study in patients with advanced solid tumors. Cancer Chemother. Pharmacol. 2012, 70, 239–250. [Google Scholar] [CrossRef]
- Kurzrock, R.; Goel, S.; Wheler, J.; Hong, D.; Fu, S.; Rezai, K.; Morgan-Linnell, S.K.; Urien, S.; Mani, S.; Chaudhary, I. Safety, pharmacokinetics, and activity of EZN-2208, a novel conjugate of polyethylene glycol and SN38, in patients with advanced malignancies. Cancer 2012, 118, 6144–6151. [Google Scholar] [CrossRef]
- Imbert, T. Discovery of podophyllotoxins. Biochimie 1998, 80, 207–222. [Google Scholar] [CrossRef]
- Sargent, J.M.; Elgie, A.W.; Williamson, C.J.; Hill, B.T. Ex vivo effects of the dual topoisomerase inhibitor tafluposide (F 11782) on cells isolated from fresh tumor samples taken from patients with cancer. Anti Cancer Drugs 2003, 14, 467–473. [Google Scholar] [CrossRef] [PubMed]
- Kinghorn, A.D.; Seo, E.-K. Plants as sources of drugs. In Agricultural Materials as Renewable Resources; Fuller, G., McKeon, T.A., Bills, D.D., Eds.; ACS Publications: Washington, DC, USA, 1996; Volume 647, pp. 179–193. [Google Scholar]
- Gelmon, K. The taxoids: Paclitaxel and docetaxel. The Lancet 1994, 344, 1267–1272. [Google Scholar] [CrossRef] [PubMed]
- Bissery, M.-C.; Nohynek, G.; Sanderink, G.-J.; Lavelle, F. Docetaxel (Taxotere): A review of preclinical and clinical experience. Part I: Preclinical experience. Anticancer Drugs 1995, 6, 339–355, 363–368. [Google Scholar] [CrossRef] [PubMed]
- Beaulieu, E.; Demeule, M.; Ghitescu, L.; Béliveau, R. P-glycoprotein is strongly expressed in the luminal membranes of the endothelium of blood vessels in the brain. Biochem. J. 1997, 326, 539–544. [Google Scholar] [CrossRef] [PubMed]
- Fellner, S.; Bauer, B.; Miller, D.S.; Schaffrik, M.; Fankhänel, M.; Spruß, T.; Bernhardt, G.; Graeff, C.; Färber, L.; Gschaidmeier, H. Transport of paclitaxel (Taxol) across the blood-brain barrier in vitro and in vivo. J. Clin. Invest. 2002, 110, 1309–1318. [Google Scholar] [CrossRef] [PubMed]
- Kemper, E.M.; van Zandbergen, A.E.; Cleypool, C.; Mos, H.A.; Boogerd, W.; Beijnen, J.H.; van Tellingen, O. Increased penetration of paclitaxel into the brain by inhibition of P-Glycoprotein. Clin. Cancer Res. 2003, 9, 2849–2855. [Google Scholar]
- Paller, C.J.; Antonarakis, E.S. Cabazitaxel: A novel second-line treatment for metastatic castration-resistant prostate cancer. Drug Des. Dev. Ther. 2011, 5, 117–124. [Google Scholar] [CrossRef]
- Bao, R.; Chan, P. Novel compounds in the treatment of lung cancer: Current and developing therapeutic agents. J. Exp. Pharmacol. 2011, 3, 21–34. [Google Scholar] [CrossRef]
- Wetzler, M.; Segal, D. Omacetaxine as an anticancer therapeutic: What is old is new again. Curr. Pharm. Des. 2011, 17, 59–64. [Google Scholar] [CrossRef]
- Fallen, R.S.; Gooderham, M. Ingenol mebutate: An introduction. Ski. Ther. Lett. 2012, 17, 1–3. [Google Scholar]
- Pisha, E.; Chai, H.; Lee, I.-S.; Chagwedera, T.E.; Farnsworth, N.R.; Cordell, G.A.; Beecher, C.W.; Fong, H.H.; Kinghorn, A.D.; Brown, D.M. Discovery of betulinic acid as a selective inhibitor of human melanoma that functions by induction of apoptosis. Nat. Med. 1995, 1, 1046–1051. [Google Scholar] [CrossRef] [PubMed]
- Shoeb, M. Anti-cancer agents from medicinal plants. Bangladesh J. Pharmacol. 2006, 1, 35–41. [Google Scholar] [CrossRef]
- Onwuchekwa, C.; Oluwole, F. Anti-gastric ulcer and antiinflammatory properties of betulinic acid in male albino rats. Sci. World J. 2010, 5, 15–17. [Google Scholar]
- Tzakos, A.G.; Kontogianni, V.G.; Tsoumani, M.; Kyriakou, E.; Hwa, J.; Rodrigues, F.A.; Tselepis, A.D. Exploration of the antiplatelet activity profile of betulinic acid on human platelets. J. Agric. Food Chem. 2012, 60, 6977–6983. [Google Scholar] [CrossRef]
- Dai, S.; Liu, Y.; Zhao, F.; Wang, H.; Shao, T.; Xu, Z.; Shou, L.; Chen, S.; Shu, Q. Aqueous extract of Taxus chinensis var. mairei targeting CD47 enhanced antitumor effects in non-small cell lung cancer. Biomed. Pharmacother. 2022, 154, 113628. [Google Scholar] [CrossRef] [PubMed]
- Wu, M.; Zhang, F.; Yu, Z.; Lin, J.; Yang, L. Chemical characterization and in vitro antitumor activity of a single-component polysaccharide from Taxus chinensis var. mairei. Carbohydr. Polym. 2015, 133, 294–301. [Google Scholar] [CrossRef] [PubMed]
- Naik, R.G.; Kattige, S.; Bhat, S.; Alreja, B.; De Souza, N.; Rupp, R. An antiinflammatory cum immunomodulatory piperidinylbenzopyranone from Dysoxylum binectariferum: Isolation, structure and total synthesis. Tetrahedron 1988, 44, 2081–2086. [Google Scholar] [CrossRef]
- Chao, S.-H.; Price, D.H. Flavopiridol inactivates P-TEFb and blocks most RNA polymerase II transcription in vivo. J. Biol. Chem. 2001, 276, 31793–31799. [Google Scholar] [CrossRef]
- de Azevedo, W.F.; Canduri, F.; da Silveira, N.J.F. Structural basis for inhibition of cyclin-dependent kinase 9 by flavopiridol. Biochem. Biophys. Res. Commun. 2002, 293, 566–571. [Google Scholar] [CrossRef]
- Hussain, S.-R.A.; Lucas, D.M.; Johnson, A.J.; Lin, T.S.; Bakaletz, A.P.; Dang, V.X.; Viatchenko-Karpinski, S.; Ruppert, A.S.; Byrd, J.C.; Kuppusamy, P. Flavopiridol causes early mitochondrial damage in chronic lymphocytic leukemia cells with impaired oxygen consumption and mobilization of intracellular calcium. Blood 2008, 111, 3190–3199. [Google Scholar] [CrossRef]
- Shapiro, G.I. Preclinical and clinical development of the cyclin-dependent kinase inhibitor flavopiridol. Clin. Cancer Res. 2004, 10, 4270–4275. [Google Scholar] [CrossRef] [PubMed]
- Akram, M.; Shahab-Uddin, A.A.; Usmanghani, K.; Hannan, A.; Mohiuddin, E.; Asif, M. Curcuma longa and curcumin: A review article. Rom. J. Biol. Plant Biol. 2010, 55, 65–70. [Google Scholar]
- Wilken, R.; Veena, M.S.; Wang, M.B.; Srivatsan, E.S. Curcumin: A review of anticancer properties and therapeutic activity in head and neck squamous cell carcinoma. Mol. Cancer. 2011, 10, 12. [Google Scholar] [CrossRef] [PubMed]
- Zaidman, B.-Z.; Yassin, M.; Mahajna, J.; Wasser, S.P. Medicinal mushroom modulators of molecular targets as cancer therapeutics. Appl. Microbiol. Biotechnol. 2005, 67, 453–468. [Google Scholar] [CrossRef]
- Wasser, S. Medicinal mushrooms as a source of anti-tumor and immunomodulating polysaccharides. Appl. Microbiol. Biotechnol. 2002, 60, 258–274. [Google Scholar] [CrossRef]
- Jong, S.; Birmingham, J. Medicinal benefits of the mushroom Ganoderma. Adv. Appl. Microbiol. 1992, 37, 101–134. [Google Scholar] [CrossRef]
- Wasser, S.P.; Weis, A.L. Medicinal properties of substances occurring in higher basidiomycetes mushrooms: Current perspectives. Int. J. Med. Mushrooms 1999, 1, 31–62. [Google Scholar] [CrossRef]
- Rutckeviski, R.; Corso, C.R.; Román-Ochoa, Y.; Cipriani, T.R.; Centa, A.; Smiderle, F.R. Agaricus bisporus β-(1→ 6)-d-glucan induces M1 phenotype on macrophages and increases sensitivity to doxorubicin of triple negative breast cancer cells. Carbohidr. Polym. 2022, 278, 118917. [Google Scholar] [CrossRef]
- Yoon, S.Y.; Lindroth, A.M.; Kwon, S.; Park, S.J.; Park, Y.J. Adenosine derivatives from Cordyceps exert anti-tumor effects against ovarian cancer cells through ENT1-mediated transport, induction of AMPK signaling, and consequent autophagic cell death. Biomed. Pharmacother. 2022, 153, 113491. [Google Scholar] [CrossRef]
- Cen, K.; Chen, M.; He, M.; Li, Z.; Song, Y.; Liu, P.; Jiang, Q.; Xu, S.; Jia, Y.; Shen, P. Sporoderm-broken spores of Ganoderma lucidum sensitizes ovarian cancer to cisplatin by ROS/ERK signaling and attenuates chemotherapy-related toxicity. Front. Pharmacol. 2022, 13, 826716. [Google Scholar] [CrossRef]
- Thimmaraju, A.; Govindan, S. Novel studies of characterization, antioxidant, anticoagulant and anticancer activity of purified polysaccharide from Hypsizygus ulmarius mushroom. Bioact. Carbohydr. Diet. Fibre 2022, 27, 100308. [Google Scholar] [CrossRef]
- Fekry, T.; Salem, M.F.; Abd-Elaziz, A.A.; Muawia, S.; Naguib, Y.M.; Khalil, H. Anticancer properties of selenium-enriched oyster culinary-medicinal mushroom, Pleurotus ostreatus (Agaricomycetes), in colon cancer in vitro. Int. J. Med. Mushrooms 2022, 24, 1–20. [Google Scholar] [CrossRef] [PubMed]
- Meng, T.; Yu, S.-S.; Ji, H.-Y.; Xu, X.-M.; Liu, A.-J. A novel acid polysaccharide from Boletus edulis: Extraction, characteristics and antitumor activities in vitro. Glycoconj. J. 2021, 38, 13–24. [Google Scholar] [CrossRef]
- Kaplan, Ö.; Tosun, N.G.; Özgür, A.; Tayhan, S.E.; Bilgin, S.; Türkekul, İ.; Gökce, İ. Microwave-assisted green synthesis of silver nanoparticles using crude extracts of Boletus edulis and Coriolus versicolor: Characterization, anticancer, antimicrobial and wound healing activities. J. Drug Deliv. Sci. Technol. 2021, 64, 102641. [Google Scholar] [CrossRef]
- Zhang, Y.; Zhou, R.; Liu, F.; Ng, T.B. Purification and characterization of a novel protein with activity against non-small-cell lung cancer in vitro and in vivo from the edible mushroom Boletus edulis. Int. J. Biol. Macromol. 2021, 174, 77–88. [Google Scholar] [CrossRef] [PubMed]
- Fogarasi, M.; Socaciu, M.-I.; Sălăgean, C.-D.; Ranga, F.; Fărcaș, A.C.; Socaci, S.A.; Socaciu, C.; Țibulcă, D.; Fogarasi, S.; Semeniuc, C.A. Comparison of different extraction solvents for characterization of antioxidant potential and polyphenolic composition in Boletus edulis and Cantharellus cibarius mushrooms from Romania. Molecules 2021, 26, 7508. [Google Scholar] [CrossRef] [PubMed]
- Nowakowski, P.; Markiewicz-Żukowska, R.; Gromkowska-Kępka, K.; Naliwajko, S.K.; Moskwa, J.; Bielecka, J.; Grabia, M.; Borawska, M.; Socha, K. Mushrooms as potential therapeutic agents in the treatment of cancer: Evaluation of anti-glioma effects of Coprinus comatus, Cantharellus cibarius, Lycoperdon perlatum and Lactarius deliciosus extracts. Biomed. Pharmacother. 2021, 133, 111090. [Google Scholar] [CrossRef]
- Fang, J.; Gao, S.; Islam, R.; Teramoto, Y.; Maeda, H. Extracts of Phellinus linteus, bamboo (Sasa senanensis) leaf and chaga mushroom (Inonotus obliquus) exhibit anti-tumor activity through activating innate immunity. Nutrients 2020, 12, 2279. [Google Scholar] [CrossRef]
- Jiao, C.; Chen, W.; Tan, X.; Liang, H.; Li, J.; Yun, H.; He, C.; Chen, J.; Ma, X.; Xie, Y. Ganoderma lucidum spore oil induces apoptosis of breast cancer cells in vitro and in vivo by activating caspase-3 and caspase-9. J. Ethnopharmacol. 2020, 247, 112256. [Google Scholar] [CrossRef]
- Haque, M.A.; Reza, A.A.; Nasrin, M.S.; Rahman, M.A. Pleurotus highking mushrooms potentiate antiproliferative and antimigratory activity against triple-negative breast cancer cells by suppressing Akt signaling. Integr. Cancer Ther. 2020, 19, 1534735420969809. [Google Scholar] [CrossRef]
- Kong, B.H.; Teoh, K.H.; Tan, N.H.; Tan, C.S.; Ng, S.T.; Fung, S.Y. Proteins from Lignosus tigris with selective apoptotic cytotoxicity towards MCF7 cell line and suppresses MCF7-xenograft tumor growth. PeerJ 2020, 8, e9650. [Google Scholar] [CrossRef] [PubMed]
- Tan, X.; Chen, W.; Jiao, C.; Liang, H.; Yun, H.; He, C.; Chen, J.; Ma, X.; Xie, Y. Anti-tumor and immunomodulatory activity of the aqueous extract of Sarcodon imbricatus in vitro and in vivo. Food Funct. 2020, 11, 1110–1121. [Google Scholar] [CrossRef] [PubMed]
- Wang, W.; Wang, L.-Y.; Yang, H.-R.; Zhang, Y.-P.; Zhang, H.-N.; Fan, H.; Zhao, X.-L.; Zhang, J.; Jia, W. Antitumor effect of By-1 from spent broth from submerged cultures of stout camphor medicinal mushroom, Taiwanofungus camphoratus (higher Basidiomycetes), on A549 adenocarcinoma cells. Int. J. Med. Mushrooms 2017, 19, 225–232. [Google Scholar] [CrossRef] [PubMed]
- Lau, M.F.; Chua, K.H.; Sabaratnam, V.; Kuppusamy, U.R. In vitro and in silico anticancer evaluation of a medicinal mushroom, Ganoderma neo-japonicum Imazeki, against human colonic carcinoma cells. Biotechnol. Appl. Biochem. 2021, 68, 902–917. [Google Scholar] [CrossRef]
- Ghosh, S.K.; Sanyal, T.; Bera, T. Anticancer activity of solvent extracts of Hexogonia glabra against cervical cancer cell lines. Asian Pac. J. Cancer Prev. 2020, 21, 1977–1986. [Google Scholar] [CrossRef]
- Ghosh, S.; Sanyal, T. Antiproliferative and apoptotic effect of ethanolic extract of Calocybe indica on PANC-1 and MIAPaCa2 cell lines of pancreatic cancer. Exp. Oncol. 2020, 42, 178–182. [Google Scholar] [CrossRef]
- Kao, C.H.; Greenwood, D.R.; Jamieson, S.M.; Coe, M.E.; Murray, P.M.; Ferguson, L.R.; Bishop, K.S. Anticancer characteristics of Fomitopsis pinicola extract in a xenograft mouse model—A preliminary study. Nutr. Cancer 2020, 72, 645–652. [Google Scholar] [CrossRef]
- Zhu, L.; Wu, M.; Li, P.; Zhou, Y.; Zhong, J.; Zhang, Z.; Li, Y.; Yao, W.; Xu, J. High-pressure supercritical CO2 extracts of Ganoderma lucidum fruiting body and their anti-hepatoma effect associated with the Ras/Raf/MEK/ERK signaling pathway. Front. Pharmacol. 2020, 11, 602702. [Google Scholar] [CrossRef]
- Cheng, A.-Y.; Chien, Y.-C.; Lee, H.-C.; Hsieh, Y.-H.; Yu, Y.-L. Water-extracted Ganoderma lucidum induces apoptosis and S-phase arrest via cyclin-CDK2 pathway in glioblastoma cells. Molecules 2020, 25, 3585. [Google Scholar] [CrossRef]
- Tsai, Y.T.; Kuo, P.H.; Kuo, H.P.; Hsu, C.Y.; Lee, Y.J.; Kuo, C.L.; Liu, J.Y.; Lee, S.L.; Kao, M.C. Ganoderma tsugae suppresses the proliferation of endometrial carcinoma cells via Akt signaling pathway. Environ. Toxicol. 2021, 36, 320–327. [Google Scholar] [CrossRef]
- Sadowska, A.; Zapora, E.; Sawicka, D.; Niemirowicz-Laskowska, K.; Surażyński, A.; Sułkowska-Ziaja, K.; Kała, K.; Stocki, M.; Wołkowycki, M.; Bakier, S. Heterobasidion annosum induces apoptosis in DLD-1 cells and decreases colon cancer growth in in vivo model. Int. J. Mol. Sci. 2020, 21, 3447. [Google Scholar] [CrossRef] [PubMed]
- Mondal, A.; Banerjee, D.; Majumder, R.; Maity, T.K.; Khowala, S. Evaluation of in vitro antioxidant, anticancer and in vivo antitumour activity of Termitomyces clypeatus MTCC 5091. Pharm. Biol. 2016, 54, 2536–2546. [Google Scholar] [CrossRef] [PubMed]
- Peng, C.-C.; Chen, K.-C.; Peng, R.Y.; Chyau, C.-C.; Su, C.-H.; Hsieh-Li, H.M. Antrodia camphorata extract induces replicative senescence in superficial TCC, and inhibits the absolute migration capability in invasive bladder carcinoma cells. J. Ethnopharmacol. 2007, 109, 93–103. [Google Scholar] [CrossRef] [PubMed]
- Jayachandran, M.; Xiao, J.; Xu, B. A critical review on health promoting benefits of edible mushrooms through gut microbiota. Int. J. Mol. Sci. 2017, 18, 1934. [Google Scholar] [CrossRef] [PubMed]
- Park, H.-J. Current uses of mushrooms in cancer treatment and their anticancer mechanisms. Int. J. Mol. Sci. 2022, 23, 10502. [Google Scholar] [CrossRef]
- Hetland, G.; Tangen, J.-M.; Mahmood, F.; Mirlashari, M.R.; Nissen-Meyer, L.S.H.; Nentwich, I.; Therkelsen, S.P.; Tjønnfjord, G.E.; Johnson, E. Antitumor, anti-inflammatory and antiallergic effects of Agaricus blazei mushroom extract and the related medicinal basidiomycetes mushrooms, Hericium erinaceus and Grifola frondosa: A review of preclinical and clinical studies. Nutrients 2020, 12, 1339. [Google Scholar] [CrossRef]
- Misgiati, M.; Widyawaruyanti, A.; Raharjo, S.J.; Sukardiman, S. Ergosterol isolated from Agaricus blazei Murill n-hexane extracts as potential anticancer MCF-7 activity. Pharmacogn. J. 2021, 13, 418–426. [Google Scholar] [CrossRef]
- Sun, Y.; Cheng, M.; Dong, L.; Yang, K.; Ma, Z.; Yu, S.; Yan, P.; Bai, K.; Zhu, X.; Zhang, Q. Agaricus blazei extract (FA-2-b-β) induces apoptosis in chronic myeloid leukemia cells. Oncol. Lett. 2020, 20, 270. [Google Scholar] [CrossRef]
- Jeitler, M.; Michalsen, A.; Frings, D.; Hübner, M.; Fischer, M.; Koppold-Liebscher, D.A.; Murthy, V.; Kessler, C.S. Significance of medicinal mushrooms in integrative oncology: A narrative review. Front. Pharmacol. 2020, 11, 580656. [Google Scholar] [CrossRef]
- Chay, W.Y.; Tham, C.K.; Toh, H.C.; Lim, H.Y.; Tan, C.K.; Lim, C.; Wang, W.-W.; Choo, S.-P. Coriolus versicolor (Yunzhi) use as therapy in advanced hepatocellular carcinoma patients with poor liver function or who are unfit for standard therapy. J. Altern. Complement. Med. 2017, 23, 648–652. [Google Scholar] [CrossRef]
- Twardowski, P.; Kanaya, N.; Frankel, P.; Synold, T.; Ruel, C.; Pal, S.K.; Junqueira, M.; Prajapati, M.; Moore, T.; Tryon, P. A phase I trial of mushroom powder in patients with biochemically recurrent prostate cancer: Roles of cytokines and myeloid-derived suppressor cells for Agaricus bisporus–induced prostate-specific antigen responses. Cancer 2015, 121, 2942–2950. [Google Scholar] [CrossRef] [PubMed]
- Torkelson, C.J.; Sweet, E.; Martzen, M.R.; Sasagawa, M.; Wenner, C.A.; Gay, J.; Putiri, A.; Standish, L.J. Phase 1 clinical trial of Trametes versicolor in women with breast cancer. ISRN Oncol. 2012, 2012, 251632. [Google Scholar] [CrossRef] [PubMed]





| Plant Source | Bioactive Compound/ Phytochemical | Cancer Cells Type | Study Type | Mode of Action | Ref |
|---|---|---|---|---|---|
| Aconitum sinomontanum | Lappaconitine | Liver | In vitro | Downregulation of Bcl-2 and upregulation of P53 and Bax expression | [36] |
| Alliaria petilata | Benzyl isothiocyanate | Colon | In vitro | MAPK and PKC pathways inhibition | [37] |
| Allium cepa | Quercetin | Thyroid | In vitro | Pro—NAG-1/GDF15 pathways upregulation | [38] |
| Artemisia annua | Artemisinin | Breast | In vitro | G2/M (cell cycle) arrest, autophagy, antiproliferative, apoptosis | [39] |
| Camellia sinensis | Catechins | Prostate | In vitro | Increased expression of cytochrome c and decreased expression of B-cell lymphoma-2 induced apoptosis | [40] |
| Cannabis sativa | Cannabinoids | Liver | In vivo | Anti-apoptotic | [41] |
| Capsicum annuum | Capsaicin | Breast | In vitro, in vivo | NF-kB inactivation mediated by the FBI-1 downregulation | [42] |
| Capsicum frutescens | Capsaicin | Pancreatic | In vitro, in vivo | β-catenin/TCF-1 signaling inhibition-mediated apoptosis | [43] |
| Carica papaya | Benzyl isothiocyanate | Pancreatic | In vitro, in vivo | FOXO/PI3K/AKT pathways-mediated tumor apoptosis | [44] |
| Chamaemelum nobile | Phenolic compounds | Breast | In vitro | Mitochondrial pathway activation-induced apoptosis | [45] |
| Citrus limon | Hesperidin | Breast | In vitro | NF-kB and Akt downregulation-mediated PD-L1 expression inhibition | [46] |
| Prostate | In vitro | ROS-induced apoptosis | [47] | ||
| Crocus sativus | Safranal | Prostate | In vitro, in vivo | Downregulation of NF-kB and AKT signaling pathways | [48] |
| Cucumis sativus | Cucurbitacin B | Neuroblastoma | In vitro | MAPKs- and JAK2/STAT3-mediated apoptosis | [49] |
| Cucurbitacin B (in combination with gefitinib) | Colorectal | In vitro | JAK/STAT and EGFR-induced apoptosis | [50] | |
| Denrobium chrysotoxum | Erianin | Breast | In vitro | PI3K/Akt pathway activation | [51] |
| Eclipta alba | Luteolin | Breast | In vitro, in vivo | Intrinsic apoptotic pathway activation | [52] |
| Galanthus nivalis | Gallic acid | Colon | In vitro, in vivo | EGFR and SRC phosphorylation inhibition | [53] |
| Liver | In vitro | Wnt/β-catenin pathway suppression | [54] | ||
| Glycyrrhiza glabra | Licochalcone A | Lung | In vitro | JNK suppression, P38 and ERK activation | [55] |
| Gossypium hirsutum | Gossypol | Skin | In vitro | Mitochondrial apoptosis | [56] |
| Cervical | In vitro, in vivo | FAK pathway inhibition and TGF-β1-mediated EMT reversal | [57] | ||
| Colon | In vitro | Downregulation of FAS, CLAUDIN1, GAPDH, ELK1, ZFAND5, IL2, and IL8 expression | [58] | ||
| Lagerstroemia speciosa | Corosolic acid | Bladder | In vitro, in vivo | SQSTM1/P62, UBB, and NBR upregulation | [59] |
| Liver | Ex vivo, in vitro, in vivo | YAP/CDK19/O-GlcNAcylation inactivation | [60] | ||
| Colon | In vitro, in vivo | HER2 and HER3 heterodimerization inhibition | [61] | ||
| Mortonia greggii | Pristimerin | Lung | In vitro | MMP2 and integrin β1 expression downregulation | [62] |
| Myrica nagi | Myricetin | Lung | In vitro | FAK-ERK pathway inhibition | [63] |
| Nelumbo nucifera | Hyperoside, rutin | Colon | In vitro | Mitochondrial pathway activation-induced apoptosis | [64] |
| Panax ginseng | Ginsenosides | Breast | In vitro, in vivo | VEGF-R2 pathway inhibition correlated with anti-angiogenesis | [65] |
| ROS generation, mitochondrial dysfunction, apoptosis | [66] | ||||
| Papaver somniferum | Noscapine | Colon | In vitro | AKT/PI3K/mTOR pathway inhibition | [67] |
| Perovskia abrotanoides | Tanshinones | Hella cell lines | In vitro | Antiproliferative, apoptosis | [68] |
| Piper longum | Piperlongumine | Prostate | In vitro | DNA damage-mediated proliferation inhibition | [69] |
| Lung | In vitro, in vivo | mTOR/AKT/PI3K pathway inhibition-induced apoptosis | [70] | ||
| Piper nigrum | Piperine | Colon | In vitro | Wnt/β-catenin pathway suppression | [71] |
| Polygonum cuspidatum | Pterostilbene | Colon | In vitro, in vivo | DNA repairing by Top1/Tdp1 pathway | [72] |
| Pongamiopsis pervilleana | Epipervilline | Ovarian | In vitro | Antiproliferative | [73] |
| Pueraria radix | Puerarin | Prostate | In vitro | Keap1/Nrf2/Are pathway inhibition | [74] |
| Quercus alba | Quercetin | Prostate | In vitro | ROS modulation, AKT/NF-kB pathway activation | [75] |
| Reseda luteola | Luteolin | Lung | In vitro | FAK-Src signaling inhibition | [76] |
| Rheum palmatum | Emodin | Lung | In vitro | HAS2-HACD44/RHAMM signaling pathway suppression | [77] |
| Ruta graveolens | Psoralens | Breast, colon, and prostate | In vitro | Inhibits proliferation of cancer cells | [78] |
| Salvia involucrate | Hispidulin | Lung | In vitro, in vivo | ER stress activation-induced apoptosis | [79] |
| Solanum lycopersicum | Lycopene | Cervical | In vitro | Bcl-2 downregulation and Bax upregulation | [80] |
| Lung | In vitro, in vivo | Increase in RARβ protein expression | [81] | ||
| Brain | In vitro | Caspases activation | [82] | ||
| Lycopene (in combination with quinacrine) | Breast | In vitro | Wnt-TCF signaling inhibition | [83] | |
| Sophora flavescens | Matrine | Liver | In vitro, in vivo | HOXD3 and circ-0027345 downregulation and miR-345-5p upregulation | [84] |
| Spinacia oleracea | Kaempferol | Pancreatic | In vitro | ROS-induced Akt/mTOR signaling inactivation | [85] |
| Breast | In vitro | Upregulation of caspase-3 and -9 and H2AX expression | [86] | ||
| Trianthema portulacastrum | Ecdysterone | Breast | In vivo | β-catenin/Wnt signaling inhibition inducing pro-apoptotic and antiproliferative effects | [87] |
| Vitis vinifera | Resveratrol | Breast | In vitro | Cell cycle inhibition, apoptosis | [88] |
| Osteosarcoma | In vitro, in vivo | STAT3 pathway and cell cycle inhibition | [89] | ||
| Colorectal | In vitro | NF-kB pathway inhibition, apoptosis | [90] | ||
| Zingiber officinale | Gingerol | Lung | In vitro, in vivo | A549 cells death by iron accumulation, USP14 expression inhibition | [91] |
| Breast | In vitro | ROS generation, activation of p53 expression mediated apoptosis, | [92] |
| Mushroom Specie | Extract/Bioactive Compound | Cancer Type | Study Type | Outcomes | Ref |
|---|---|---|---|---|---|
| Boletus edulis | Polysaccharide | Breast | In vitro (Ca761, MDA-MB231 cells) | Proliferation inhibition and mitochondrial apoptosis. | [149] |
| Antitumor protein | Non-small cell lung cancer | In vivo and in vitro (A549 cells) | Cell cycle arrest at G1 phase and apoptosis. | [151,152] | |
| Boletus edulis, Coriolus versicolor | Silver nanoparticles | Colorectal, breast and hepatocellular carcinoma | In vitro (HT-29, MCF-7, HUH-7 cells) | Cell viability inhibition by proliferation inhibition and ROS-generated apoptosis. | [150] |
| Cantharellus cibarius, Coprinus comatus, Lactarius deliciosus, Lycoperdon perlatum | Ethanol and water extracts | Glioblastoma | In vitro (LN-18, U87MG cells) | Proliferation inhibition, cell cycle arrest at G1 and G2/M phase induced apoptosis, metallo-proteinases inactivation. | [153] |
| Innotus obliquus | Hot water extract | Breast | In vivo (mice) | Anticancer activity by innate immunity activation | [154] |
| Ganoderma lucidum | Spore oil | Breast | In vitro (MDA-MB231 cells), in vivo (mice) | Mitochondrial apoptosis | [155] |
| Pleurotus highking | Purified fraction III | Breast | In vitro (HCC-1937, MDA-MB-231 cells) | Akt signaling suppression induced proliferation and migration inhibition | [156] |
| Lignosus tigris | Cold water extract | Breast | In vitro (MCF-7 cells), in vivo (mice) | Proliferation inhibition, signaling pathways induced apoptosis, and tumor growth inhibition. | [157] |
| Sarcodon imbricatus | Water extract | Breast | In vitro, in vivo (MCF-7, 4T1 cells) | Tumor growth inhibition by inhibiting migration and invasion of tumor cells and immunomodulatory activity. | [158] |
| Taiwanofungus camphoratus | Mycelia broth | Adenocarci-noma | In vitro (A549 cells) | Caspase-3 and ROS-induced apoptosis. | [159] |
| Ganoderma neojaponicum | Butanol, chloroform, hexane, and water extracts | Colon | In silico (HT29 and CT 116 cells), in vitro | Proliferation inhibition by apoptosis induction. | [160] |
| Hexagonia glabra | Water, ethyl acetate, and ethanol extract | Cervical cancer | In vitro (CaSki, HeLa, and SiHa cells) | Apoptosis induced by cell cycle arrest at G2/M and increased expression of caspase-3 and -9. | [161] |
| Calocyba indica | Ethanol extract | Pancreatic | In vitro (MIAPaCa2 and PANC-1 cells) | Modulation of p53 and caspase-3 and -9-induced apoptosis and growth inhibition. | [162] |
| Fomitopsis pinicola | Ethanol extract | Prostate cancer | In vivo (Mouse model-PCa cells) | Reduction in tumor growth. | [163] |
| Ganoderma lucidum | Ethanol extract | Hepatocarci-noma | In vitro (SK-Hep1 and QGY7703), in vivo (mice) | Ras/Raf/MEK/ERK pathways inhibition-mediated anticancer activity. | [164] |
| Water extract | Glioblastoma | In vitro (GBM8901 and U87MG cells) | Proliferation suppression, cell cycle arrest at S-phase, mitochondrial apoptosis. | [165] | |
| Ganoderma tsugae | Ethanol extract | Endometrial | In vitro (KLE, AN3 CA, and HEC-1-A cells) | Proliferation inhibition, G1/S phase cell arrest, Akt signaling pathway inhibition, mitochondrial apoptosis. | [166] |
| Heterobasidion annosum | Methanol extract | Colon | In vivo (mice) | Proliferation suppression by Akt signaling pathway. | [167] |
| Termitomyces clypeatus | Water soluble extract | Astrocytoma | In vitro (HepG2, U373MG, Y-79, MDA-MB-468, U937, HL-60, OAW-42, A549 cells), in vivo (Swiss albino mice) | Anti-tumor effect | [168] |
| Antrodia cinnamonea | Crude ethanol extract | Bladder | In vitro (tsgh-8301, RT4, T24 cells) | Cell death was mediated by anti-migratory activity and down-regulation of cyclin B1 and CDC2 | [169] |
| Mushroom Specie | Bioactive Compound | Cancer Type | Phase of Study | Status of Study | Identifier Number |
|---|---|---|---|---|---|
| Agaricus bisporus | Polysaccharides, lectin | Prostate | 1b | Completed | NCT00779168 |
| Agaricus bisporus | Polysaccharides, lectin | Breast cancer and cancer survivors | 1 | Completed | NCT00709020 |
| Agaricus blazei Murill | Agaricus polysaccharides | Multiple myeloma | 2 | Completed | NCT00970021 |
| Lentinula edodes | Genistein combined polysaccharide | Prostate | - | Completed | NCT00269555 |
| Lentinula edode | Arabinoxylan extract combined with L. edode | Hepatocellular carcinoma | - | Completed | NCT01018381 |
| Grifola frondosa | Polysaccharides | Breast carcinoma, lung neoplasms | 1 | Completed | NCT02603016 |
| Omphalotus illudens | Semi-synthetic derivative of illudin-S | Thyroid | 2 | Completed | NCT00124527 |
| Omphalotus illudens | Semi-synthetic derivative of illudin-S | Recurrent epithelial ovarian cancer | 2 | Completed | NCT00019552 |
| Trametes versicolor | PSK, Krestin, PSP | Breast | 1 | Completed | NCT00680667 |
Publisher’s Note: MDPI stays neutral with regard to jurisdictional claims in published maps and institutional affiliations. |
© 2022 by the authors. Licensee MDPI, Basel, Switzerland. This article is an open access article distributed under the terms and conditions of the Creative Commons Attribution (CC BY) license (https://creativecommons.org/licenses/by/4.0/).
Share and Cite
Asma, S.T.; Acaroz, U.; Imre, K.; Morar, A.; Shah, S.R.A.; Hussain, S.Z.; Arslan-Acaroz, D.; Demirbas, H.; Hajrulai-Musliu, Z.; Istanbullugil, F.R.; et al. Natural Products/Bioactive Compounds as a Source of Anticancer Drugs. Cancers 2022, 14, 6203. https://doi.org/10.3390/cancers14246203
Asma ST, Acaroz U, Imre K, Morar A, Shah SRA, Hussain SZ, Arslan-Acaroz D, Demirbas H, Hajrulai-Musliu Z, Istanbullugil FR, et al. Natural Products/Bioactive Compounds as a Source of Anticancer Drugs. Cancers. 2022; 14(24):6203. https://doi.org/10.3390/cancers14246203
Chicago/Turabian StyleAsma, Syeda Tasmia, Ulas Acaroz, Kálmán Imre, Adriana Morar, Syed Rizwan Ali Shah, Syed Zajif Hussain, Damla Arslan-Acaroz, Hayri Demirbas, Zehra Hajrulai-Musliu, Fatih Ramazan Istanbullugil, and et al. 2022. "Natural Products/Bioactive Compounds as a Source of Anticancer Drugs" Cancers 14, no. 24: 6203. https://doi.org/10.3390/cancers14246203
APA StyleAsma, S. T., Acaroz, U., Imre, K., Morar, A., Shah, S. R. A., Hussain, S. Z., Arslan-Acaroz, D., Demirbas, H., Hajrulai-Musliu, Z., Istanbullugil, F. R., Soleimanzadeh, A., Morozov, D., Zhu, K., Herman, V., Ayad, A., Athanassiou, C., & Ince, S. (2022). Natural Products/Bioactive Compounds as a Source of Anticancer Drugs. Cancers, 14(24), 6203. https://doi.org/10.3390/cancers14246203

